The Wheat Starchy Endosperm Protein Gradient as a Function of Cultivar and N-fertilization Is Reflected in Mill Stream Protein Content and Composition
Abstract
:1. Introduction
2. Materials and Methods
2.1. Materials
2.2. Sample Set
2.3. Wheat Milling
2.4. Chemical Analysis
2.5. Light Microscopy
2.6. Modified Osborne Fractionation and Analytical RP-HPLC
2.7. Statistical Analysis
3. Results and Discussion
3.1. Effect of Kernel Protein Content on the Wheat Milling Yields
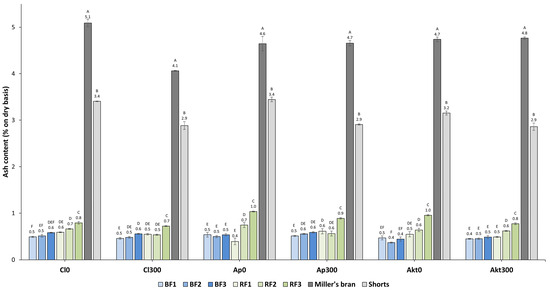
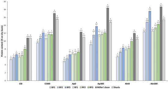
3.2. How Is the Protein Gradient within the Starchy Endosperm Reflected in the Mill Streams?
3.3. Analysis of the Protein Composition Gradient within the Starchy Endosperm Using the Break Fractions
3.4. Relevance of Sub-Aleurone in the Milling Industry
4. Conclusions
Supplementary Materials
Author Contributions
Funding
Data Availability Statement
Conflicts of Interest
References
- FAOSTAT. 2020. Available online: https://www.fao.org/faostat/en/#data/FBS (accessed on 29 August 2023).
- Barron, C.; Surget, A.; Rouau, X. Relative amounts of tissues in mature wheat (Triticum aestivum L.) grain and their carbohydrate and phenolic acid composition. J. Cereal Sci. 2007, 45, 88–96. [Google Scholar] [CrossRef]
- Marion, D.; Saulnier, L. Minor components and wheat quality: Perspectives on climate changes. J. Cereal Sci. 2020, 94, 103001. [Google Scholar] [CrossRef]
- Shewry, P.R.; Wan, Y.; Hawkesford, M.J.; Tosi, P. Spatial distribution of functional components in the starchy endosperm of wheat grains. J. Cereal Sci. 2020, 91, 102869. [Google Scholar] [CrossRef] [PubMed]
- Evers, T.; Millar, S. Cereal Grain Structure and Development: Some Implications for Quality. J. Cereal Sci. 2002, 36, 261–284. [Google Scholar] [CrossRef]
- Tosi, P.; Gritsch, C.S.; He, J.; Shewry, P.R. Distribution of gluten proteins in bread wheat (Triticum aestivum) grain. Ann. Bot. 2011, 108, 23–35. [Google Scholar] [CrossRef]
- Hermans, W.; Mutlu, S.; Michalski, A.; Langenaeken, N.A.; Courtin, C.M. The Contribution of Sub-Aleurone Cells to Wheat Endosperm Protein Content and Gradient Is Dependent on Cultivar and N-Fertilization Level. JAFC 2021, 69, 6444–6454. [Google Scholar] [CrossRef]
- He, J.; Penson, S.; Powers, S.J.; Hawes, C.; Shewry, P.R.; Tosi, P. Spatial Patterns of Gluten Protein and Polymer Distribution in Wheat Grain. JAFC 2013, 61, 6207–6215. [Google Scholar] [CrossRef]
- Hermans, W.; Geisslitz, S.; De Bondt, Y.; Langenaeken, N.A.; Scherf, K.A.; Courtin, C.M. NanoLC-MS/MS protein analysis on laser-microdissected wheat endosperm tissues: A comparison between aleurone, sub-aleurone and inner endosperm. Food Chem. 2024, 437, 137735. [Google Scholar] [CrossRef]
- Dornez, E.; Gebruers, K.; Wiame, S.; Delcour, J.A.; Courtin, C.M. Insight into the Distribution of Arabinoxylans, Endoxylanases, and Endoxylanase Inhibitors in Industrial Wheat Roller Mill Streams. JAFC 2006, 54, 8521–8529. [Google Scholar] [CrossRef]
- Delcour, J.A.; Hoseney, R.C. Principles of Cereal Science and Technology, 3rd ed.; AACC International Press: St. Paul, MN, USA, 2010. [Google Scholar]
- Iqbal, Z.; Pasha, I.; Abrar, M.; Hanif, M.S.; Arif, A.T.; Masih, S. Protein concentration, composition and distribution in wheat flour mill streams. Annals. Food Sci. Technol. 2015, 16, 104–114. [Google Scholar]
- Pojić, M.M.; Spasojević, N.B.; Atlas, M.Đ. Chemometric Approach to Characterization of Flour Mill Streams: Chemical and Rheological Properties. Food Bioprocess Technol. 2014, 7, 1298–1309. [Google Scholar] [CrossRef]
- Tosi, P.; He, J.; Lovegrove, A.; Gonzáles-Thuillier, I.; Penson, S.; Shewry, P.R. Gradients in compositions in the starchy endo- sperm of wheat have implications for milling and processing. Trends Food Sci. Technol. 2018, 82, 1–7. [Google Scholar] [CrossRef] [PubMed]
- Sutton, K.H.; Simmons, L.D. Molecular Level Protein Composition of Flour Mill Streams from a Pilot-Scale Flour Mill and Its Relationship to Product Quality. Cereal Chem. 2006, 83, 52–56. [Google Scholar] [CrossRef]
- Wang, Y.G.; Khan, K.; Hareland, G.; Nygard, G. Distribution of Protein Composition in Bread Wheat Flour Mill Streams and Relationship to Breadmaking Quality. Cereal Chem. 2007, 84, 271–275. [Google Scholar] [CrossRef]
- Goesaert, H.; Brijs, K.; Veraverbeke, W.S.; Courtin, C.M.; Gebruers, K.; Delcour, J.A. Wheat flour constituents: How they impact bread quality, and how to impact their functionality. Trends Food Sci. 2005, 16, 12–30. [Google Scholar] [CrossRef]
- Jacobs, P.J.; Hemdane, S.; Claes, S.; Mulders, L.; Langenaeken, N.A.; Dewettinck, K.; Courtin, C.M. Wheat bran-associated subaleurone and endosperm proteins and their impact on bran-rich bread-making. J. Cereal Sci. 2018, 81, 99–107. [Google Scholar] [CrossRef]
- Shewry, P. What Is Gluten—Why Is It Special? Front. Nutr. 2019, 6, 101. [Google Scholar] [CrossRef]
- Janssen, F.; Courtin, C.M.; Wouters, A.G.B. Aqueous phase extractable protein of wheat bran and germ for the production of liquid and semi-solid foods. Crit. Rev. Food Sci. Nutr. 2023, 1–19. [Google Scholar] [CrossRef]
- Delcour, J.A.; Vanhamel, S.; De Geest, C. Physico-Chemical and Functional Properties of Rye Nonstarch Polysaccharides. I. Colorimetric Analysis of Pentosans and Their Relative Monosaccharide Compositions in Fractionated (Milled) Rye Products. Cereal Chem. 1989, 66, 107–111. [Google Scholar]
- Van de Vondel, J.; Janssen, F.; Wouters, A.G.B.; Delcour, J.A. Air-water interfacial and foaming properties of native protein in aqueous quinoa (Chenopodium quinoa Willd.) extracts: Impact of pH- and heat-induced aggregation. Food Hydrocoll. 2023, 144, 108945. [Google Scholar] [CrossRef]
- Dornez, E.; Cuyvers, S.; Holopainen, U.E.; Poutanen, K.; Delcour, J.A.; Courtin, C.M. Inactive Fluorescently Labeled Xylanase as a Novel Probe for Microscopic Analysis of Arabinoxylan Containing Cereal Cell Walls. JAFC 2011, 59, 6369–6375. [Google Scholar] [CrossRef] [PubMed]
- Schalk, K.; Lexhaller, B.; Koehler, P.; Scherf, K.A. Isolation and characterization of gluten protein types from wheat, rye, barley and oats for use as reference materials. PLoS ONE 2017, 12, e0172819. [Google Scholar] [CrossRef] [PubMed]
- Wieser, H.; Antes, S.; Seilmeier, W. Quantitative Determination of Gluten Protein Types in Wheat Flour by Reversed-Phase High-Performance Liquid Chromatography. Cereal Chem. 1998, 75, 644–650. [Google Scholar] [CrossRef]
- Hourston, J.E.; Ignatz, M.; Reith, M.; Leubner-Metzger, G.; Steinbrecher, T. Biomechanical properties of wheat grains: The im-plications on milling. J. R. Soc. Interface 2017, 14, 20160828. [Google Scholar] [CrossRef] [PubMed]
- Kent, N.L. Subaleurone endosperm cells of high protein content. Cereal Chem. 1966, 43, 585–601. [Google Scholar]
- Brouns, F.; Hemery, Y.; Price, R.; Anson, N.M. Wheat Aleurone: Separation, Composition, Health Aspects, and Potential Food Use. Crit. Rev. Food Sci. Nutr. 2012, 52, 553–568. [Google Scholar] [CrossRef] [PubMed]
- Bilge, G.; Sezer, B.; Eseller, K.E.; Berberoglu, H.; Koksel, H.; Boyaci, I.H. Ash analysis of flour sample by using laser- i nduced breakdown spectroscopy. Spectrochim. Acta B At. Spectrosc. 2016, 124, 74–78. [Google Scholar] [CrossRef]
- Meziani, S.; Nadaud, I.; Tasleem-Tahir, A.; Nurit, E.; Benguella, R.; Branlard, G. Wheat aleurone layer: A site enriched with nutrients and bioactive molecules with potential nutritional opportunities for breeding. J. Cereal Sci. 2021, 100, 103225. [Google Scholar] [CrossRef]
- Lexhaller, B.; Colgrave, M.L.; Scherf, K.A. Characterization and Relative Quantitation of Wheat, Rye, and Barley Gluten Protein Types by Liquid Chromatography–Tandem Mass Spectrometry. Front. Plant Sci. 2019, 10, 1530. [Google Scholar] [CrossRef]
- Hossain, K.; Ulven, C.; Glover, K.; Ghavami, F.; Simsek, S.; Alamri, M.S.; Kumar, A.; Mergoum, M. Interdependence of Cultivar and Environment on Fiber Composition in Wheat Bran. Aust. J. Crop Sci. 2013, 7, 525–531. [Google Scholar]




| Mill Fraction | Yield (%) | |||||
|---|---|---|---|---|---|---|
| Cl0 | Cl300 | Ap0 | Ap300 | Akt0 | Akt300 | |
| Flour | 66.7 ± 1.7 AB | 62.8 ± 1.7 B | 68.3 ± 0.2 A | 69.5 ± 0.4 A | 69.5 ± 0.0 A | 69.0 ± 0.4 A |
| BFtotal | 33.1 ± 1.5 A | 24.7 ± 0.4 B | 34.4 ± 1.1 A | 22.2 ± 0.4 BC | 34.6 ± 0.1 A | 20.3 ± 0.1 C |
| BF1 | 22.0 ± 1.7 A | 14.4 ± 0.1 B | 24.4 ± 0.9 A | 14.0 ± 0.4 B | 25.1 ± 0.3 A | 12.8 ± 0.1 B |
| BF2 | 6.7 ± 0.6 A | 5.9 ± 0.1 AB | 6.0 ± 0.1 AB | 5.1 ± 0.1 BC | 5.6 ± 0.2 ABC | 4.7 ± 0.1 C |
| BF3 | 4.5 ± 0.4 A | 4.5 ± 0.2 A | 4.1 ± 0.1 A | 3.1 ± 0.0 B | 3.9 ± 0.0 A | 2.9 ± 0.2 B |
| RFtotal | 33.5 ± 0.2 C | 38.6 ± 2.0 B | 33.9 ± 1.2 C | 47.3 ± 0.0 A | 34.9 ± 0.2 BC | 48.6 ± 0.5 A |
| RF1 | 26.4 ± 3.1 D | 33.0 ± 1.3 BC | 29.8 ± 0.8 CD | 38.0 ± 1.0 AB | 29.3 ± 0.4 CD | 39.3 ± 0.3 A |
| RF2 | 6.4 ± 2.6 A | 5.0 ± 0.7 A | 3.6 ± 0.5 A | 8.0 ± 0.4 A | 4.7 ± 0.6 A | 8.0 ± 0.1 A |
| RF3 | 0.8 ± 0.3 A | 0.5 ± 0.0 A | 0.5 ± 0.0 A | 1.3 ± 0.6 A | 0.9 ± 0.0 A | 1.3 ± 0.2 A |
| Miller’s bran | 31.5 ± 2.1 AB | 32.3 ± 0.3 A | 29.5 ± 0.4 ABC | 26.7 ± 1.0 C | 28.0 ± 0.2 BC | 26.8 ± 0.5 C |
| Shorts | 1.8 ± 0.5 B | 4.5 ± 1.4 A | 2.2 ± 0.3 AB | 3.8 ± 0.6 AB | 2.5 ± 0.1 AB | 4.2 ± 0.1 AB |
| Sample | Mill Fraction | Relative Gluten Content (%) | Gluten Composition (%) | |||||||
|---|---|---|---|---|---|---|---|---|---|---|
| ω-Gliadin | α-Gliadin | γ-Gliadin | D-LMW-GS | B/C-LMW-GS | HMW-GS | GLIA/GLU | LMW-GS/ HMW-GS | |||
| BF1 | 76.61 ± 0.51 C | 5.74 ± 0.05 B | 31.47 ± 0.36 AB | 30.51 ± 0.82 B | 0.87 ± 0.04 A | 23.61 ± 0.70 A | 7.79 ± 0.23 A | 2.10 ± 0.09 B | 3.14 ± 0.01 B | |
| Cl0 | BF2 | 78.54 ± 0.39 B | 5.79 ± 0.05 B | 31.88 ± 0.08 A | 31.24 ± 0.19 B | 0.86 ± 0.02 A | 22.83 ± 0.22 A | 7.41 ± 0.08 AB | 2.22 ± 0.03 B | 3.20 ± 0.01 A |
| BF3 | 81.15 ± 0.16 A | 6.09 ± 0.04 A | 31.12 ± 0.06 B | 33.20 ± 0.42 A | 0.85 ± 0.01 A | 21.64 ± 0.28 B | 7.10 ± 0.12 B | 2.38 ± 0.05 A | 3.17 ± 0.01 AB | |
| BF1 | 83.64 ± 0.87 A | 7.46 ± 0.19 B | 35.73 ± 0.54 A | 28.88 ± 1.23 A | 0.84 ± 0.04 B | 19.51 ± 1.01 AB | 7.56 ± 0.39 AB | 2.59 ± 0.19 AB | 2.69 ± 0.01 A | |
| Cl300 | BF2 | 85.53 ± 0.52 A | 7.81 ± 0.07 A | 36.16 ± 0.20 A | 30.53 ± 0.95 A | 0.82 ± 0.06 B | 17.80 ± 0.74 B | 6.88 ± 0.28 B | 2.93 ± 0.16 A | 2.71 ± 0.01 A |
| BF3 | 84.37 ± 1.12 A | 7.77 ± 0.11 AB | 34.03 ± 0.08 B | 28.13 ± 1.50 A | 1.01 ± 0.04 A | 21.15 ± 0.96 A | 7.90 ± 0.45 A | 2.33 ± 0.16 B | 2.81 ± 0.09 A | |
| BF1 | 77.45 ± 0.37 B | 7.45 ± 0.01 B | 33.66 ± 0.32 B | 25.14 ± 0.60 B | 0.91 ± 0.03 A | 25.03 ± 0.66 A | 7.82 ± 0.20 B | 1.96 ± 0.08 B | 3.32 ± 0.01 A | |
| Ap0 | BF2 | 81.20 ± 0.60 A | 7.63 ± 0.10 A | 34.99 ± 0.44 A | 27.22 ± 0.13 A | 0.82 ± 0.03 A | 22.22 ± 0.46 B | 7.13 ± 0.19 A | 2.32 ± 0.07 A | 3.23 ± 0.02 B |
| BF3 | 82.69 ± 0.70 A | 7.59 ± 0.04 A | 33.49 ± 0.44 B | 28.91 ± 0.84 A | 0.84 ± 0.04 A | 21.96 ± 0.96 B | 7.21 ± 0.31 A | 2.34 ± 0.14 A | 3.16 ± 0.01 C | |
| BF1 | 81.05 ± 0.34 C | 8.01 ± 0.16 A | 29.85 ± 0.46 A | 26.64 ± 0.46 A | 0.94 ± 0.02 B | 25.64 ± 0.72 B | 8.92 ± 0.35 B | 1.82 ± 0.08 A | 2.98 ± 0.04 A | |
| Ap300 | BF2 | 83.11 ± 0.33 B | 8.01 ± 0.18 A | 28.01 ± 0.73 B | 25.09 ± 0.50 B | 1.19 ± 0.08 A | 27.53 ± 1.02 A | 10.17 ± 0.30 A | 1.57 ± 0.09 B | 2.82 ± 0.03 B |
| BF3 | 84.46 ± 0.13 A | 7.79 ± 0.04 A | 26.29 ± 0.20 C | 24.74 ± 0.24 B | 1.32 ± 0.07 A | 29.19 ± 0.34 A | 10.67 ± 0.04 A | 1.43 ± 0.02 B | 2.86 ± 0.04 B | |
| BF1 | 78.50 ± 0.21 B | 6.10 ± 0.05 A | 27.88 ± 0.41 A | 21.30 ± 0.76 A | 1.20 ± 0.03 A | 32.51 ± 0.93 A | 11.02 ± 0.24 A | 1.24 ± 0.06 A | 3.06 ± 0.02 A | |
| Akt0 | BF2 | 80.90 ± 1.00 A | 6.52 ± 0.26 A | 29.73 ± 1.34 A | 23.11 ± 1.41 A | 1.08 ± 0.08 A | 29.36 ± 2.20 A | 10.20 ± 0.72 A | 1.47 ± 0.18 A | 2.98 ± 0.02 B |
| BF3 | 82.19 ± 0.29 A | 6.44 ± 0.02 A | 28.46 ± 1.04 A | 23.37 ± 1.84 A | 1.06 ± 0.07 A | 29.96 ± 1.99 A | 10.72 ± 0.84 A | 1.40 ± 0.17 A | 2.90 ± 0.04 C | |
| BF1 | 84.50 ± 0.35 C | 10.09 ± 0.35 A | 28.76 ± 0.86 A | 21.54 ± 0.89 B | 1.35 ± 0.05 A | 26.41 ± 1.38 A | 11.85 ± 0.66 A | 1.53 ± 0.13 A | 2.34 ± 0.02 B | |
| Akt300 | BF2 | 85.78 ± 0.34 B | 10.22 ± 0.29 A | 28.44 ± 0.70 A | 21.92 ± 0.55 AB | 1.33 ± 0.05 A | 26.70 ± 1.05 A | 11.38 ± 0.44 A | 1.54 ± 0.10 A | 2.46 ± 0.03 A |
| BF3 | 87.29 ± 0.18 A | 10.17 ± 0.25 A | 28.26 ± 0.51 A | 23.45 ± 0.22 A | 1.36 ± 0.05 A | 25.71 ± 0.58 A | 11.05 ± 0.35 A | 1.62 ± 0.06 A | 2.45 ± 0.04 A | |
Disclaimer/Publisher’s Note: The statements, opinions and data contained in all publications are solely those of the individual author(s) and contributor(s) and not of MDPI and/or the editor(s). MDPI and/or the editor(s) disclaim responsibility for any injury to people or property resulting from any ideas, methods, instructions or products referred to in the content. |
© 2023 by the authors. Licensee MDPI, Basel, Switzerland. This article is an open access article distributed under the terms and conditions of the Creative Commons Attribution (CC BY) license (https://creativecommons.org/licenses/by/4.0/).
Share and Cite
Hermans, W.; Busschaert, J.; De Bondt, Y.; Langenaeken, N.A.; Courtin, C.M. The Wheat Starchy Endosperm Protein Gradient as a Function of Cultivar and N-fertilization Is Reflected in Mill Stream Protein Content and Composition. Foods 2023, 12, 4192. https://doi.org/10.3390/foods12234192
Hermans W, Busschaert J, De Bondt Y, Langenaeken NA, Courtin CM. The Wheat Starchy Endosperm Protein Gradient as a Function of Cultivar and N-fertilization Is Reflected in Mill Stream Protein Content and Composition. Foods. 2023; 12(23):4192. https://doi.org/10.3390/foods12234192
Chicago/Turabian StyleHermans, Wisse, Justine Busschaert, Yamina De Bondt, Niels A. Langenaeken, and Christophe M. Courtin. 2023. "The Wheat Starchy Endosperm Protein Gradient as a Function of Cultivar and N-fertilization Is Reflected in Mill Stream Protein Content and Composition" Foods 12, no. 23: 4192. https://doi.org/10.3390/foods12234192
APA StyleHermans, W., Busschaert, J., De Bondt, Y., Langenaeken, N. A., & Courtin, C. M. (2023). The Wheat Starchy Endosperm Protein Gradient as a Function of Cultivar and N-fertilization Is Reflected in Mill Stream Protein Content and Composition. Foods, 12(23), 4192. https://doi.org/10.3390/foods12234192

