Evaluation of Loquat Jam Quality at Different Cooking Times Based on Physicochemical Parameters, GC-IMS and Intelligent Senses
Abstract
Highlights
- The color, energy, and texture properties of loquat jam changed with the prolongation of cooking time.
- The changes in the content of free amino acids, organic acids and volatile flavor substances with the cooking time caused variation in the olfactory and gustatory senses of loquat jam.
- There was a significant difference in the E-nose and E-tongue results of loquat jam cooked for 100 min and 120 min.
- Heating and the resulting intramolecular interactions caused changes in the physicochemical parameters of loquat jam.
- Free amino acids, organic acids, and volatile substances contributed significantly to the flavor composition of loquat jam.
- When the cooking time reached 120 min, the olfactory and gustatory senses of loquat jam underwent significant changes.
Abstract
1. Introduction
2. Materials and Methods
2.1. Material and Reagents
2.2. Production of Loquat Jam
2.3. Determination of Physicochemical Parameters
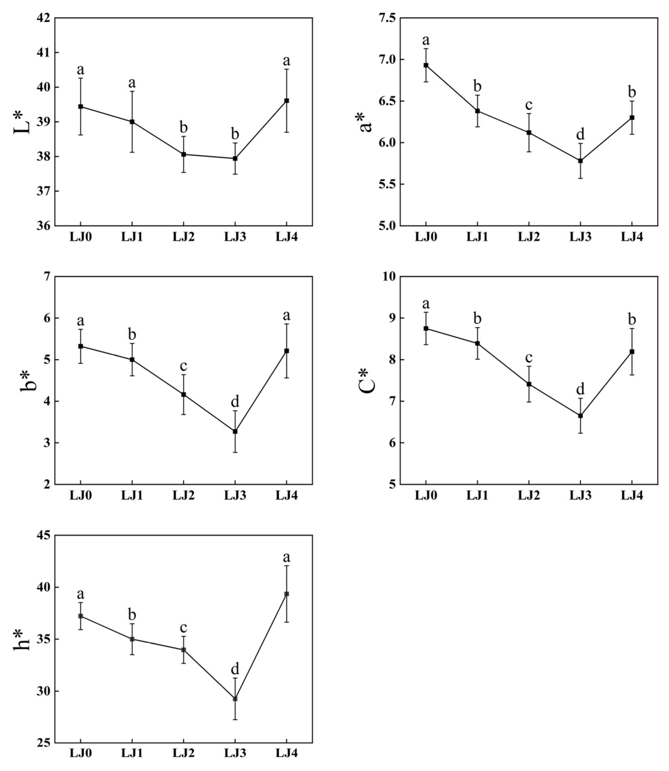
2.3.1. Colorimetric Analysis
2.3.2. Energy Analysis
2.3.3. Textural Properties Analysis
2.3.4. Determination of Free Amino Acids
2.3.5. Determination of Organic Acids
2.4. Analysis of Volatile Compounds by HS–GC-IMS
2.5. Analysis of Intelligent Senses
2.5.1. Analysis of E-Nose
2.5.2. Analysis of E-Tongue
2.6. Statistical Analysis
3. Results and Discussion
3.1. Physicochemical Properties Analysis
3.1.1. Colorimetric Analysis
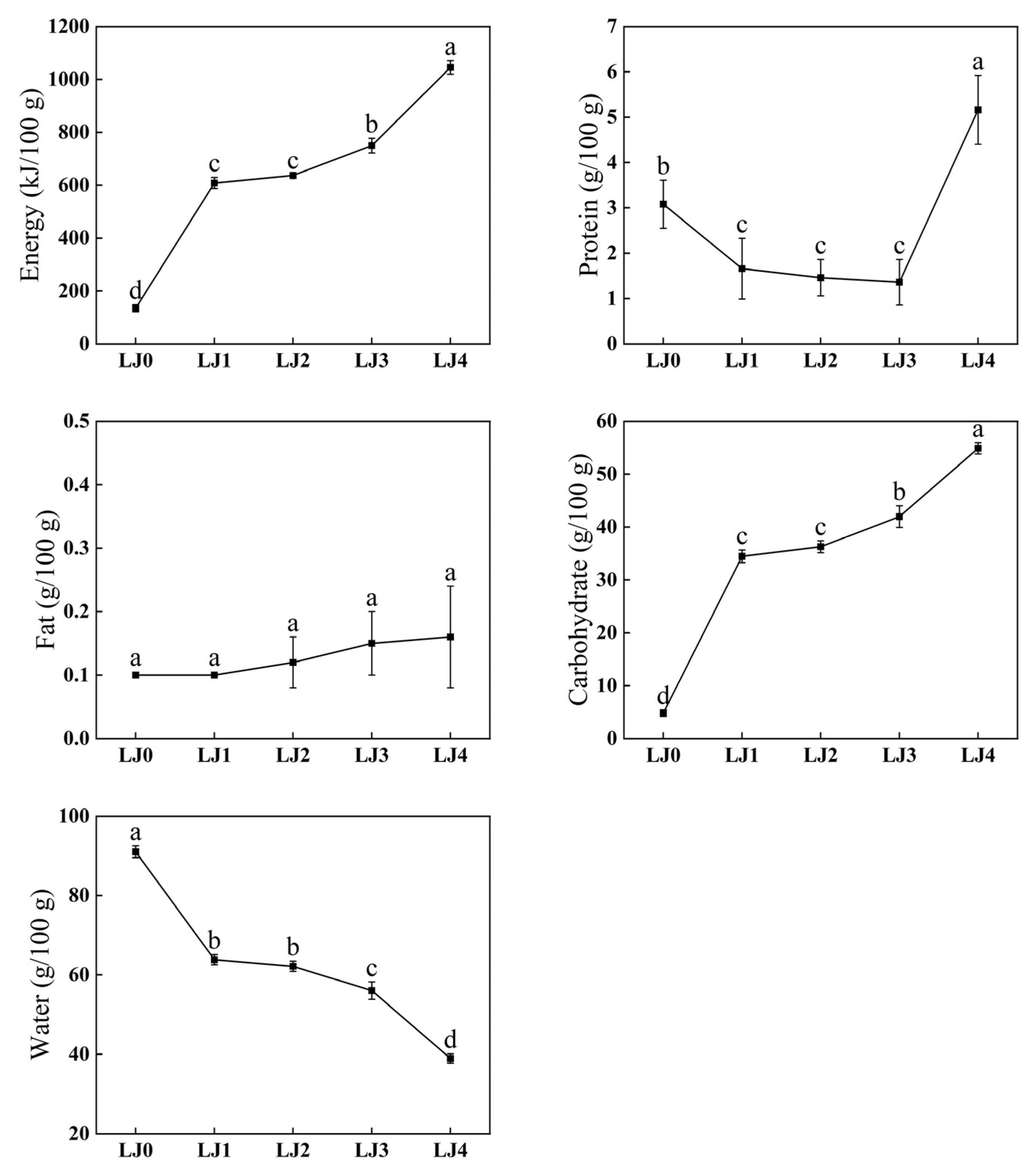
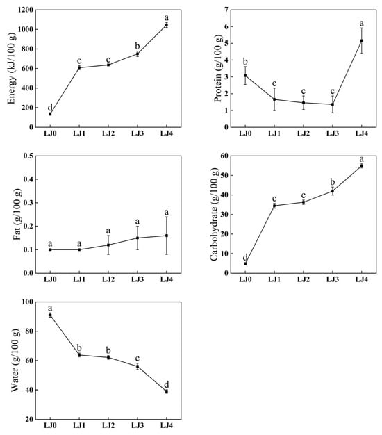
3.1.2. Energy Analysis
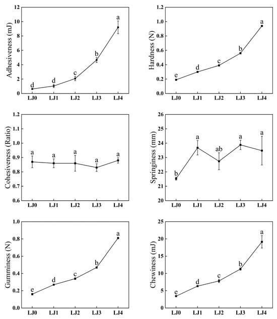
3.1.3. Textural Properties Analysis
3.1.4. Free Amino Acids Analysis
3.1.5. Organic Acids Analysis
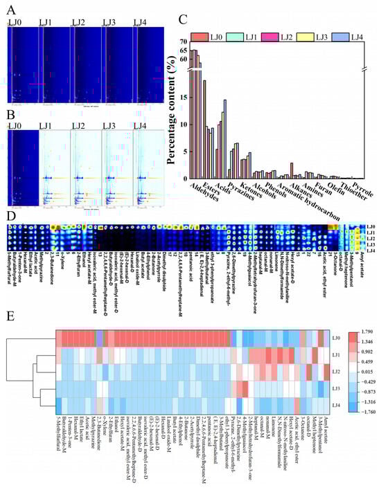
3.2. GC-IMS Analysis
3.2.1. Volatile Compounds Analysis
3.2.2. Principal Component Analysis and Orthogonal Partial Least Squares-Discriminant Analysis with Cross-Validation
3.3. Intelligent Senses Analysis
3.3.1. E-Nose Analysis
3.3.2. E-Tongue Analysis
4. Correlation Analysis
4.1. Correlation between E-Nose and GC–IMS
4.2. Correlation between E-Tongue and the Content of FAAs and Organic Acids
5. Conclusions
Author Contributions
Funding
Institutional Review Board Statement
Informed Consent Statement
Data Availability Statement
Conflicts of Interest
References
- Feng, S.; Shang, J.; Tan, T.; Wen, Q.; Meng, Q. Nondestructive quality assessment and maturity classification of loquats based on hyperspectral imaging. Sci. Rep. 2023, 13, 13189. [Google Scholar] [CrossRef] [PubMed]
- Zheng, M.Y.; Xia, Q.L.; Lu, S.M. Study on drying methods and their influences on effective components of loquat flower tea. LWT-Food Sci. Technol. 2015, 63, 14–20. [Google Scholar] [CrossRef]
- Shoaib, M.H.S.; Sattar, A.K.; Zora, S.; Saqib, A. Postharvest Biology and Technology of Loquat (Eriobotrya japonica Lindl.). Foods 2023, 12, 1329. [Google Scholar] [CrossRef]
- Liguori, G.; Greco, G.; Gargano, F.; Gaglio, R.; Settanni, L.; Inglese, P. Effect of Mucilage-Based Edible Coating Enriched with Oregano Essential Oil on Postharvest Quality and Sensorial Attributes of Fresh-Cut Loquat. Coatings 2023, 13, 1387. [Google Scholar] [CrossRef]
- Wang, J.T.; Lu, Z.M. Optimization of processing technology for dried loquat fruits. Acta Hortic. 2018, 1205, 253–258. [Google Scholar] [CrossRef]
- Curi, N.P.; Nogueira, V.P.; Almeida, D.B.A.; Carvalho, S.D.C.; Pio, R.; Pasqual, M.; Souza, D.R.V. Processing potential of jellies from subtropical loquat cultivars. Food Sci. Technol. 2016, 37, 70–75. [Google Scholar] [CrossRef]
- Turgut, T.; Diler, A. The effect of addition Eriobotrya japonica L. marmalade on physicochemical, microbiological, and sensory properties of probiotic yogurts. Front. Nutr. 2023, 10, 1151037. [Google Scholar] [CrossRef] [PubMed]
- Nicola, F.; Antonino, P.; Ignazio, G.; Rosario, P.; Vincenzo, N.; Luca, S.; Aldo, T.; Raffaele, G.; Antonella, M.; Antonella, P.; et al. A novel microbiological approach to impact the aromatic composition of sour loquat beer. Food Biosci. 2023, 55, 103011. [Google Scholar] [CrossRef]
- Meng, F.B.; Lei, Y.T.; Li, Q.Z.; Li, Y.C.; Deng, Y.; Liu, D.Y. Effect of Lactobacillus plantarum and Lactobacillus acidophilus fermentation on antioxidant activity and metabolomic profiles of loquat juice. LWT 2022, 171, 114104. [Google Scholar] [CrossRef]
- Dhiman, A.; Suhag, R.; Thakur, D.; Gupta, V.; Prabhakar, P.K. Current Status of Loquat (Eriobotrya japonica Lindl.): Bioactive Functions, Preservation Approaches, and Processed Products. Food Rev. Int. 2021, 38 (Suppl. S1), 286–316. [Google Scholar] [CrossRef]
- Patricio, B.C.; Mônica, I.; Maciel, A.M.D.; Silva, E.F.A.B.; Danielle, C.; Hoffmann, R.R. Eriobotrya japonica fruits and its by-products: A promising fruit with bioactive profile and trends in the food application—A bibliometric review. Food Biosci. 2022, 50, 102099. [Google Scholar] [CrossRef]
- Zhu, W.Z.; Wang, Q.Y.; Xu, Y.; Hui, Z.Y.; Liu, J.; Zhou, X.Y. Effects of fat-to-lean ratio and cooking time on the water distribution, nutritional quality and fatty acid composition of traditional Chinese pork meatballs. Int. J. Food Prop. 2023, 26, 139–154. [Google Scholar] [CrossRef]
- Qiao, M.F.; Yi, Y.W.; Peng, Y.Q.; Ding, J.; Deng, J.; Lu, Y. Impact of Cooking Time and Methods on the Color, Texture, and Flavor of Chinese Prickly Ash. Curr. Top. Nutraceutical Res. 2018, 18, 56–62. [Google Scholar] [CrossRef]
- Muniz, A.; Du, X.F.; Shanks, M. Flavor impartment of mushroom on egg whites and sensory properties of egg whites with mushroom topping using quantitative descriptive analysis. J. Sci. Food Agric. 2021, 102, 73–84. [Google Scholar] [CrossRef] [PubMed]
- Malwade, V.V.; Bornare, D.T.; Patil, S.R. Engineering Properties of Pomegranate Fruits and Arils. Int. J. Eng. Res. 2018, 7, 124–126. [Google Scholar] [CrossRef]
- Zhang, L.; Xiong, S.; Du, T.; Xu, Y.; Madjirebaye, P.; Huang, G.; Guan, Q.; Xiong, T. Effect of microbiota succession on the dynamics of characteristic flavors and physicochemical properties during the soy sauce fermentation. Food Biosci. 2023, 54, 102883. [Google Scholar] [CrossRef]
- Wang, P.Y.; Shuang, F.F.; Yang, J.X.; Jv, Y.X.; Hu, R.Z.; Chen, T.; Yao, X.H.; Zhao, W.G.; Liu, L.; Zhang, D.Y. A rapid and efficient method of microwave-assisted extraction and hydrolysis and automatic amino acid analyzer determination of 17 amino acids from mulberry leaves. Ind. Crops Prod. 2022, 186, 115271. [Google Scholar] [CrossRef]
- Ahmed, M.E.; Hammam, A.R.A.; Ali, A.E.; Alsaleem, K.A.; Elfaruk, M.S.; Kamel, D.G.; Moneeb, A.H.M. Measurement of carbohydrates and organic acids in varieties of cheese using high-performance liquid chromatography. Food Sci. Nutr. 2023, 11, 2081–2085. [Google Scholar] [CrossRef]
- Gao, C.; Wang, R.; Zhang, F.; Sun, Z.C.; Meng, X.H. The process monitors of probiotic fermented sour cherry juice based on the HS-GC-IMS. Microchem. J. 2022, 180, 107537. [Google Scholar] [CrossRef]
- Li, S.Y.; Du, D.D.; Wang, J.; Wei, Z.B. Application progress of intelligent flavor sensing system in the production process of fermented foods based on the flavor properties. Crit. Rev. Food Sci. Nutr. 2022, 180, 1–30. [Google Scholar] [CrossRef]
- Zhao, X.; Feng, J.Y.; Laghi, L.; Deng, J.; Dao, X.F.; Tang, J.N.; Ji, L.L.; Zhu, C.L.; Picone, G. Characterization of Flavor Profile of “Nanx Wudl” Sour Meat Fermented from Goose and Pork Using Gas Chromatography-Ion Mobility Spectrometry (GC-IMS) Combined with Electronic Nose and Tongue. Foods 2023, 12, 2194. [Google Scholar] [CrossRef]
- He, Y.L.; Qin, H.Y.; Wen, J.L.; Cao, W.Y.; Yan, Y.P.; Sun, Y.N.; Yuan, P.Q.; Sun, B.W.; Fan, S.T.; Lu, W.P.; et al. Characterization of Key Compounds of Organic Acids and Aroma Volatiles in Fruits of Different Actinidia argute Resources Based on High-Performance Liquid Chromatography (HPLC) and Headspace Gas Chromatography–Ion Mobility Spectrometry (HS-GC-IMS). Foods 2023, 12, 3615. [Google Scholar] [CrossRef]
- Gou, M.; Bi, J.F.; Chen, Q.Q.; Wu, X.Y.; Fauconnier, M.L.; Qiao, Y.N. Advances and Perspectives in Fruits and Vegetables Flavor Based on Molecular Sensory Science. Food Rev. Int. 2023, 39, 3066–3079. [Google Scholar] [CrossRef]
- Wang, P.; Wang, H.F.; Zou, J.L.; Chen, L.; Chen, H.P.; Hu, Y.; Wang, F.; Liu, Y.P. Electronic Nose and Head Space GC-IMS Provide Insights into the Dynamic Changes and Regularity of Volatile Compounds in Zangju (Citrus reticulata cv. Manau Gan) Peel at Different Maturation Stages. Molecules 2023, 28, 5326. [Google Scholar] [CrossRef]
- Li, X.Y.; Li, Y.J.; Gao, J.; Mi, S.; Mao, K.; Zhang, T.; Wang, X.H.; Sang, Y.X. Chemical composition of naturally-fermented mixed fruit product and in vitro bioactivities. LWT 2023, 181, 114771. [Google Scholar] [CrossRef]
- Xia, A.N.; Meng, X.S.; Tang, X.J.; Zhang, Y.Z.; Lei, S.M.; Liu, Y.G. Probiotic and related properties of a novel lactic acid bacteria strain isolated from fermented rose jam. LWT 2021, 136, 110327. [Google Scholar] [CrossRef]
- Su, M.S.; Zhang, B.; Ye, Z.W.; Chen, K.S.; Guo, J.; Gu, X.J.; Shen, J.Y. Pulp volatiles measured by an electronic nose are related to harvest season, TSS concentration and TSS/TA ratio among 39 peaches and nectarines. Sci. Hortic. 2013, 150, 146–153. [Google Scholar] [CrossRef]
- Zhang, X.N.; Su, M.S.; Zhou, H.J.; Leng, F.; Du, J.H.; Li, X.W.; Zhang, M.H.; Hu, Y.; Gao, Y.; Ye, Z.W. Effect of 1-methylcyclopropene on flat peach fruit quality based on electronic senses, LC-MS, and HS-SPME-GC-MS during shelf storage. LWT 2023, 173, 114388. [Google Scholar] [CrossRef]
- Li, X.Q.; Yang, Y.H.; Zhu, Y.T.; Ben, A.L.; Qi, J. A novel strategy for discriminating different cultivation and screening odor and taste flavor compounds in Xinhui tangerine peel using E-nose, E-tongue, and chemometrics. Food Chem. 2022, 384, 132519. [Google Scholar] [CrossRef]
- Shakerardakani, A.; Rahdari, M. Investigating the effects of storage time on fats, carbohydrates, proteins, taste, color, and texture attributes of roasted pistachios by two fixed and rotary methods. J. Nuts 2020, 11, 143–158. [Google Scholar] [CrossRef]
- Hao, Y.; Li, J.; Zhao, Z.; Xu, W.; Wang, L.; Lin, X.; Hu, X.; Li, C. Flavor characteristics of Shanlan rice wines fermented for different time based on HS-SPME-GC-MS-O, HS-GC-IMS, and electronic sensory analyses. Food Chem. 2024, 432, 137150. [Google Scholar] [CrossRef]
- Sifuentes-Nieves, I.; Velazquez, G.; Flores-Silva, P.C.; Hernández-Hernández, E.; Neira-Velázquez, G.; Gallardo-Vega, C.; Mendez-Montealvo, G. HMDSO plasma treatment as alternative to modify structural properties of granular starch. Int. J. Biol. Macromol. 2020, 144, 682–689. [Google Scholar] [CrossRef]
- Zhu, C.H.; Lu, Q.; Zhou, X.Y.; Li, J.X.; Yue, J.Q.; Wang, Z.R.; Pan, S.Y. Metabolic variations of organic acids, amino acids, fatty acids and aroma compounds in the pulp of different pummelo varieties. LWT 2020, 130, 109445. [Google Scholar] [CrossRef]
- Chen, C.L.; Pan, Y.J.; Niu, Y.F.; Peng, D.F.; Huang, W.J.; Shen, W.Y.; Jin, W.P.; Huang, Q.R. Modulating interfacial structure and lipid digestion of natural Camellia oil body by roasting and boiling processes. Food Chem. 2023, 402, 134198. [Google Scholar] [CrossRef]
- Yi, Y.; Han, M.M.; Huang, F.; Wang, L.M.; Min, T.; Wang, H.X. Effects of a Lysine-Involved Maillard Reaction on the Structure and In Vitro Activities of Polysaccharides from Longan Pulp. Molecules 2019, 24, 972. [Google Scholar] [CrossRef]
- Jin, W.G.; Zhao, S.B.; Sun, H.Y.; Pei, J.J.; Gao, R.C.; Jiang, P.C. Characterization and discrimination of flavor volatiles of different colored wheat grains after cooking based on GC-IMS and chemometrics. Curr. Res. Food Sci. 2023, 7, 100583. [Google Scholar] [CrossRef]
- Wang, X.; Rogers, K.M.; Li, Y.; Yang, S.; Chen, L.; Zhou, J. Untargeted and Targeted Discrimination of Honey Collected by Apis cerana and Apis mellifera Based on Volatiles Using HS-GC-IMS and HS-SPME-GC-MS. J. Agric. Food Chem. 2019, 67, 12144–12152. [Google Scholar] [CrossRef]
- Dou, X.J.; Zhang, L.X.; Yang, R.N.; Wang, X.; Yu, L.; Yue, X.F.; Ma, F.; Mao, J.; Wang, X.P.; Li, P.W. Adulteration detection of essence in sesame oil based on headspace gas chromatography-ion mobility spectrometry. Food Chem. 2022, 370, 131373. [Google Scholar] [CrossRef]
- Jin, W.; Zhao, P.; Jiang, P.; Liu, J. Analysis of differential volatile organic compounds in different colored millet porridges by gas chromatography-ion mobility spectrometry combined with multivariate statistical analysis. Food Sci. 2023, 44, 277–284. [Google Scholar]
- del Mar Contreras, M.; Aparicio, L.; Arce, L. Usefulness of GC-IMS for rapid quantitative analysis without sample treatment: Focus on ethanol, one of the potential classification markers of olive oils. LWT 2020, 120, 108897. [Google Scholar] [CrossRef]
- Li, J.; Xu, Y.X.; Du, W.B.; Jin, L.X.; Ren, P.F.; Ren, F.; Xie, J.C. Comparative analysis of aroma compounds in Chinese traditional dry-rendered fat by HS/GC-IMS, SPME/GC-MS, and SPME/GC-O. J. Food Compos. Anal. 2022, 107, 104378. [Google Scholar] [CrossRef]
- Zhang, Y.C.; Lin, Q.B.; Zhong, H.N.; Zeng, Y. Identification and source analysis of volatile flavor compounds in paper packaged yogurt by headspace solid-phase microextraction-gas chromatography-mass spectrometry. Food Packag. Shelf Life 2022, 34, 100947. [Google Scholar] [CrossRef]
- Wang, X.R.; Yang, S.P.; He, J.N.; Chen, L.Z.; Zhang, J.Z.; Jin, Y.; Zhou, J.H.; Zhang, Y.X. A green triple-locked strategy based on volatile-compound imaging, chemometrics, and markers to discriminate winter honey and sapium honey using headspace gas chromatography-ion mobility spectrometry. Food Res. Int. 2019, 119, 960–967. [Google Scholar] [CrossRef] [PubMed]
- Jin, W.G.; Zhang, Z.H.; Zhao, S.B.; Liu, J.X.; Gao, R.C.; Jiang, P.F. Characterization of volatile organic compounds of different pigmented rice after puffing based on gas chromatography-ion migration spectrometry and chemometrics. Food Res. Int. 2023, 169, 112879. [Google Scholar] [CrossRef]










| Name | Retention Time/min | Standard Curves | R2 |
|---|---|---|---|
| tartaric acid | 3.107 | y = 1.911x + 7.331 | 0.9998 |
| malic acid | 3.716 | y = 0.755x − 0.626 | 0.9977 |
| lactic acid | 4.587 | y = 2.706x + 0.999 | 0.9999 |
| acetic acid | 4.846 | y = 1.786x − 4.665 | 0.9999 |
| citric acid | 6.601 | y = 0.541x + 0.999 | 0.9998 |
| succinic acid | 7.207 | y = 0.616x − 0.686 | 0.9962 |
| Sensors | Performance Description | Sensors | Performance Description |
|---|---|---|---|
| LY2/LG | Sensitive to oxidizing gas | P40/1 | Sensitive to fluorine |
| LY2/G | Sensitive to ammonia, carbon monoxide | T70/2 | Sensitive to aromatic compounds |
| LY2/AA | Sensitive to ethanol | PA/2 | Sensitive to ethanol, ammonia/organic amines |
| LY2/Gh | Sensitive to ammonia/organic amines | P30/1 | Sensitive to polar compounds (ethanol) |
| LY2/gCT1 | Sensitive to hydrogen sulfide | P40/2 | Sensitive to heteroatom/chloride/aldehydes |
| LY2/gCT | Sensitive to propane/butane | P30/2 | Sensitive to alcohol |
| T30/1 | Sensitive to organic solvents | T40/2 | Sensitive to aldehydes |
| P10/1 | Sensitive to hydrocarbons | T40/1 | Sensitive to chlorinated compounds |
| P10/2 | Sensitive to methane | TA/2 | Sensitive to air quality |
| No | Component Name | CAS | RI | Rt [sec] | Relative Amount/% | Odor Description | ||||
|---|---|---|---|---|---|---|---|---|---|---|
| LJ0 | LJ1 | LJ2 | LJ3 | LJ4 | ||||||
| 1 | (E)-2-hexenal-D | C6728263 | 1223.4 | 779.477 | 14.62 ± 0.88 a | 2.12 ± 0.16 b | 2.19 ± 0.19 b | 2.49 ± 0.10 b | 2.72 ± 0.32 b | green, fruit |
| 2 | (E)-2-hexenal-M | C6728263 | 1222.1 | 775.097 | 14.42 ± 0.31 a | 4.75 ± 0.96 b | 4.07 ± 0.15 b | 4.25 ± 0.30 b | 3.99 ± 0.23 b | green, fruit |
| 3 | Hexanal-M | C66251 | 1092.5 | 454.779 | 6.16 ± 0.14 b | 6.89 ± 0.15 a | 6.68 ± 0.14 ab | 6.66 ± 0.31 ab | 6.82 ± 0.56 a | fruity, fatty, green, grassy |
| 4 | Hexanal-D | C66251 | 1091.7 | 453.82 | 8.05 ± 0.24 a | 2.06 ± 0.21 b | 1.77 ± 0.06 c | 1.49 ± 0.12 c | 1.63 ± 0.17 c | fruity, fatty, green, grassy |
| 5 | 3-Methylbutanal | C590863 | 848.3 | 259.115 | 1.52 ± 0.03 a | 0.81 ± 0.02 c | 0.79 ± 0.04 c | 0.85 ± 0.04 c | 1.09 ± 0.05 b | sweet, fruity, chocolate-like |
| 6 | nonanal-M | C124196 | 1395.8 | 1320.484 | 1.79 ± 0.07 d | 9.26 ± 0.58 a | 8.82 ± 0.17 a | 8.20 ± 0.18 b | 7.36 ± 0.25 c | orange, rose |
| 7 | heptanal-M | C111717 | 1189.5 | 668.819 | 0.49 ± 0.02 c | 3.05 ± 0.23 a | 2.91 ± 0.06 a | 2.54 ± 0.15 b | 2.55 ± 0.15 b | fruity, fresh, green, sweet, herbal |
| 8 | Butyraldehyde-D | C123728 | 845.7 | 257.622 | 1.71 ± 0.02 a | 0.33 ± 0.02 c | 0.33 ± 0.01 c | 0.32 ± 0.02 c | 0.44 ± 0.03 b | pungent |
| 9 | Butyraldehyde-M | C123728 | 847.3 | 258.556 | 2.92 ± 0.14 e | 4.98 ± 0.17 d | 5.46 ± 0.11 c | 6.42 ± 0.04 b | 8.15 ± 0.21 a | pungent |
| 10 | octanal-M | C124130 | 1294.6 | 1016.887 | 0.96 ± 0.04 c | 6.22 ± 0.77 a | 6.15 ± 0.35 a | 5.55 ± 0.46 ab | 5.12 ± 0.44 b | fatty, orange |
| 11 | octanal-D | C124130 | 1293.4 | 1013.09 | 0.29 ± 0.01 b | 1.09 ± 0.12 a | 1.17 ± 0.11 a | 1.19 ± 0.06 a | 1.20 ± 0.05 a | fatty, orange |
| 12 | (E, E)-2,4-heptadienal | C4313035 | 1023 | 374.873 | 3.40 ± 0.16 a | 2.23 ± 0.11 b | 2.21 ± 0.06 b | 2.21 ± 0.10 b | 2.29 ± 0.19 b | fatty, green |
| 13 | 5-Methylfurfural | C620020 | 932.4 | 307.316 | 8.85 ± 0.33 e | 21.50 ± 0.88 b | 22.40 ± 0.22 a | 20.19 ± 0.58 c | 14.66 ± 0.69 d | NA |
| 14 | ethyl 3-phenylpropanoate | C2021285 | 1362.2 | 1219.73 | 0.67 ± 0.07 e | 1.05 ± 0.03 d | 1.26 ± 0.09 c | 1.42 ± 0.10 b | 1.73 ± 0.07 a | fruit, honey |
| 15 | isovaleric acid, methyl ester-M | C556241 | 1012.4 | 362.634 | 5.49 ± 0.15 a | 4.96 ± 0.09 b | 4.22 ± 0.10 c | 3.34 ± 0.09 d | 2.96 ± 0.15 e | herbal, fruit |
| 16 | isovaleric acid, methyl ester-D | C556241 | 1015.1 | 365.734 | 11.27 ± 0.36 a | 1.48 ± 0.09 b | 1.14 ± 0.08 b | 1.15 ± 0.04 b | 1.19 ± 0.20 b | herbal, fruit |
| 17 | Hexyl acetate-M | C142927 | 989.6 | 340.149 | 0.14 ± 0.01 c | 0.25 ± 0.03 ab | 0.21 ± 0.02 b | 0.25 ± 0.02 ab | 0.31 ± 0.08 a | pleasant fruity, apple, cherry, pear, floral |
| 18 | Hexyl acetate-D | C142927 | 990.9 | 340.879 | 0.16 ± 0.01 b | 1.26 ± 0.11 a | 1.02 ± 0.09 a | 1.12 ± 0.13 a | 1.55 ± 0.60 a | pleasant fruity, apple, cherry, pear, floral |
| 19 | Butyl acetate | C123864 | 854.2 | 262.483 | 0.14 ± 0.01 a | 0.06 ± 0.02 c | 0.07 ± 0.01 bc | 0.08 ± 0.01 bc | 0.09 ± 0.02 b | fruity, sweet, pineapple |
| 20 | Ethyl lactate | C97643 | 835.7 | 251.898 | 0.31 ± 0.04 b | 0.45 ± 0.02 a | 0.41 ± 0.01 a | 0.41 ± 0.02 a | 0.46 ± 0.04 a | rum, fruit, cream |
| 21 | Acetic acid, ethyl ester | C141786 | 891.2 | 283.73 | 0.01 ± 0.00 d | 0.11 ± 0.01 d | 0.45 ± 0.08 c | 0.61 ± 0.08 c | 0.86 ± 0.19 a | pleasant, sweet, fruity |
| 22 | Amyl acetate | C628637 | 929.4 | 305.6 | 0.09 ± 0.03 b | 0.26 ± 0.08 a | 0.29 ± 0.04 a | 0.27 ± 0.04 a | 0.29 ± 0.03 a | sweet, banana-like |
| 23 | 1-Penten-3-one | C1629589 | 1026.6 | 378.94 | 0.46 ± 0.03 d | 0.64 ± 0.01 c | 0.68 ± 0.02 c | 0.79 ± 0.03 b | 1.00 ± 0.06 a | pungent |
| 24 | 2,3-Butanedione | C431038 | 985.8 | 337.958 | 0.10 ± 0.02 d | 0.24 ± 0.01 c | 0.22 ± 0.01 c | 0.29 ± 0.01 b | 0.34 ± 0.02 a | quinone |
| 25 | 2-Butanone | C78933 | 868.2 | 270.497 | 2.25 ± 0.11 a | 0.57 ± 0.02 d | 0.62 ± 0.03 d | 0.76 ± 0.02 c | 0.95 ± 0.03 b | NA |
| 26 | Methyl heptenone | C110930 | 1339.5 | 1151.847 | 0.26 ± 0.02 c | 0.81 ± 0.06 ab | 0.80 ± 0.08 b | 0.86 ± 0.04 ab | 0.92 ± 0.07 a | fruity, lemon |
| 27 | 2-Methyltetrahydrofuran-3-one | C3188009 | 1290.5 | 1003.458 | 0.25 ± 0.01 e | 1.05 ± 0.06 d | 1.15 ± 0.02 c | 1.28 ± 0.05 b | 1.48 ± 0.05 a | wintergreen |
| 28 | 3-Octanone | C106683 | 1013.7 | 364.123 | 0.13 ± 0.03 b | 0.17 ± 0.02 a | 0.11 ± 0.01 b | 0.09 ± 0.01 c | 0.07 ± 0.01 c | fruity, lavender |
| 29 | Acetic acid | C64197 | 1506.8 | 1653.411 | 3.60 ± 0.23 e | 9.12 ± 0.44 d | 10.06 ± 0.17 c | 11.45 ± 0.47 b | 13.21 ± 0.53 a | sourness, pungent |
| 30 | pentanoic acid | C109524 | 915.5 | 297.651 | 1.42 ± 0.10 a | 0.77 ± 0.12 b | 0.70 ± 0.05 bc | 0.58 ± 0.06 c | 0.56 ± 0.07 c | unpleasant |
| 31 | Linalool oxide-M | C60047178 | 1054.2 | 410.658 | 0.73 ± 0.04 a | 0.59 ± 0.09 a | 0.68 ± 0.13 a | 0.59 ± 0.05 a | 0.69 ± 0.12 a | floral, woody-earthy |
| 32 | 3-Methylpentanol | C589355 | 848.2 | 259.029 | 0.09 ± 0.00 c | 0.25 ± 0.03 b | 0.28 ± 0.04 ab | 0.27 ± 0.02 ab | 0.31 ± 0.04 a | fruity, green, slightly pungent |
| 33 | Ethanol | C64175 | 890.2 | 283.158 | 0.30 ± 0.01 c | 0.47 ± 0.02 a | 0.35 ± 0.05 b | 0.42 ± 0.03 a | 0.42 ± 0.03 a | alcohol |
| 34 | 4-Ethylphenol | C123079 | 1206.1 | 721.533 | 1.04 ± 0.05 a | 0.57 ± 0.03 c | 0.61 ± 0.02 c | 0.70 ± 0.05 b | 0.73 ± 0.06 b | woody-phenolic, sweet |
| 35 | 4-Methylguaiacol | C93516 | 1144.1 | 566.278 | 0.12 ± 0.01 d | 0.44 ± 0.02 c | 0.53 ± 0.02 b | 0.70 ± 0.02 a | 0.68 ± 0.02 a | sweet, spicy, vanilla-like |
| 36 | 2,6-Dimethylpyrazine | C108509 | 887.3 | 281.479 | 0.29 ± 0.01 d | 0.85 ± 0.03 c | 0.94 ± 0.05 b | 1.15 ± 0.03 a | 1.16 ± 0.05 a | coffee, fried peanuts |
| 37 | Methylpyrazine | C109080 | 836.3 | 252.24 | 1.06 ± 0.08 d | 1.58 ± 0.04 c | 1.59 ± 0.04 c | 1.73 ± 0.04 b | 1.82 ± 0.05 a | nutty, cocoa, green, roasted, chocolate, meaty |
| 38 | Pyrazine, 2-ethyl-6-methyl- | C13925036 | 991 | 340.956 | 0.55 ± 0.04 d | 2.79 ± 0.11 c | 3.02 ± 0.13 c | 3.62 ± 0.09 b | 4.30 ± 0.47 a | roasted baked potato |
| 39 | 2-Ethylfuran | C3208160 | 990.4 | 340.636 | 0.30 ± 0.01 d | 0.85 ± 0.02 a | 0.68 ± 0.02 b | 0.58 ± 0.02 c | 0.55 ± 0.08 c | burnt, coffee |
| 40 | 2-Acetylpyrrole | C1072839 | 1113.5 | 497.191 | 0.10 ± 0.01 a | 0.07 ± 0.00 c | 0.07 ± 0.01 c | 0.08 ± 0.01 bc | 0.09 ± 0.02 ab | bread, walnut, licorice |
| 41 | Limonene | C138863 | 1146.9 | 572.615 | 0.06 ± 0.00 b | 0.46 ± 0.03 a | 0.47 ± 0.07 a | 0.46 ± 0.05 a | 0.40 ± 0.04 a | pleasant, pine-like, lemon-like |
| 42 | Dimethyl disulphide | C624920 | 1122.8 | 518.217 | 0.14 ± 0.01 a | 0.13 ± 0.01 a | 0.13 ± 0.01 a | 0.14 ± 0.01 a | 0.14 ± 0.01 a | NA |
| 43 | o-Xylene | C95476 | 907.1 | 292.82 | 0.24 ± 0.04 c | 0.44 ± 0.09 b | 0.46 ± 0.07 b | 0.68 ± 0.06 a | 0.78 ± 0.13 a | sweet |
| 44 | 2,2,4,6,6-Pentamethylheptane-D | C13475826 | 921.2 | 300.897 | 2.68 ± 0.15 a | 0.60 ± 0.05 bc | 0.66 ± 0.07 bc | 0.56 ± 0.06 c | 0.74 ± 0.04 b | NA |
| 45 | 2,2,4,6,6-Pentamethylheptane-M | C13475826 | 922 | 301.379 | 0.09 ± 0.02 b | 0.08 ± 0.01 bc | 0.07 ± 0.00 c | 0.08 ± 0.00 bc | 0.11 ± 0.01 a | NA |
| 46 | N-nitroso-N-methylaniline | C614006 | 1305 | 1048.326 | 0.09 ± 0.00 c | 0.59 ± 0.07 a | 0.49 ± 0.05 b | 0.53 ± 0.02 ab | 0.50 ± 0.05 b | NA |
| 47 | N, N-Dimethylformamide | C68122 | 1311 | 1066.309 | 0.20 ± 0.05 c | 0.69 ± 0.09 a | 0.59 ± 0.02 b | 0.57 ± 0.05 b | 0.59 ± 0.03 b | ammonia-like |
Disclaimer/Publisher’s Note: The statements, opinions and data contained in all publications are solely those of the individual author(s) and contributor(s) and not of MDPI and/or the editor(s). MDPI and/or the editor(s) disclaim responsibility for any injury to people or property resulting from any ideas, methods, instructions or products referred to in the content. |
© 2024 by the authors. Licensee MDPI, Basel, Switzerland. This article is an open access article distributed under the terms and conditions of the Creative Commons Attribution (CC BY) license (https://creativecommons.org/licenses/by/4.0/).
Share and Cite
Qiao, M.; Xiong, H.; Cai, X.; Jiang, Y.; Zhao, X.; Miao, B. Evaluation of Loquat Jam Quality at Different Cooking Times Based on Physicochemical Parameters, GC-IMS and Intelligent Senses. Foods 2024, 13, 340. https://doi.org/10.3390/foods13020340
Qiao M, Xiong H, Cai X, Jiang Y, Zhao X, Miao B. Evaluation of Loquat Jam Quality at Different Cooking Times Based on Physicochemical Parameters, GC-IMS and Intelligent Senses. Foods. 2024; 13(2):340. https://doi.org/10.3390/foods13020340
Chicago/Turabian StyleQiao, Mingfeng, Huan Xiong, Xuemei Cai, Yuqin Jiang, Xinxin Zhao, and Baohe Miao. 2024. "Evaluation of Loquat Jam Quality at Different Cooking Times Based on Physicochemical Parameters, GC-IMS and Intelligent Senses" Foods 13, no. 2: 340. https://doi.org/10.3390/foods13020340
APA StyleQiao, M., Xiong, H., Cai, X., Jiang, Y., Zhao, X., & Miao, B. (2024). Evaluation of Loquat Jam Quality at Different Cooking Times Based on Physicochemical Parameters, GC-IMS and Intelligent Senses. Foods, 13(2), 340. https://doi.org/10.3390/foods13020340
