Effects of Endogenous Antioxidants in Camellia Oil on the Formation of 2-Monochloropropane-1, 3-diol Esters and 3-Monochloropropane-1,2-diol Esters during Thermal Processing
Abstract
1. Introduction
2. Materials and Methods
2.1. Materials and Chemicals
2.2. Methods
2.2.1. Oil Sample Preparation
2.2.2. Effects of Heating Temperature on the Formation of 2- and 3-MCPD Esters in the Model System
2.2.3. Effects of Heating Time on the Formation of 2- and 3-MCPD Esters in the Model System
2.2.4. Influence of Three Endogenous Antioxidants on the Formation of 2- and 3-MCPD Esters in the Model System
2.2.5. Determination of 2- and 3-MCPD Esters by GC-MS
2.2.6. Monitoring of Acyloxonium Ions in the Model System
2.2.7. Free Radical Analysis in the Model System
2.2.8. Statistical Analysis
3. Results and Discussion
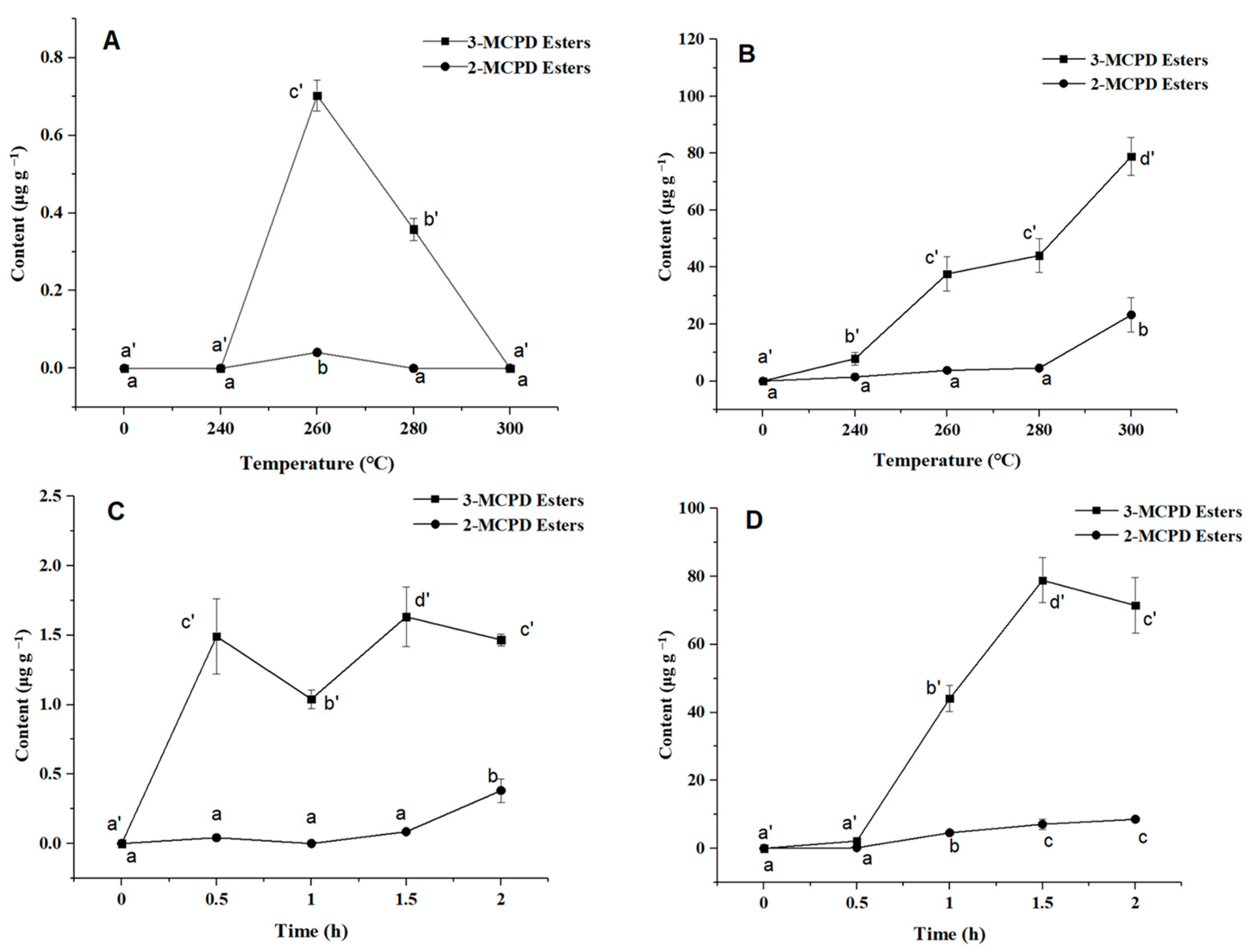
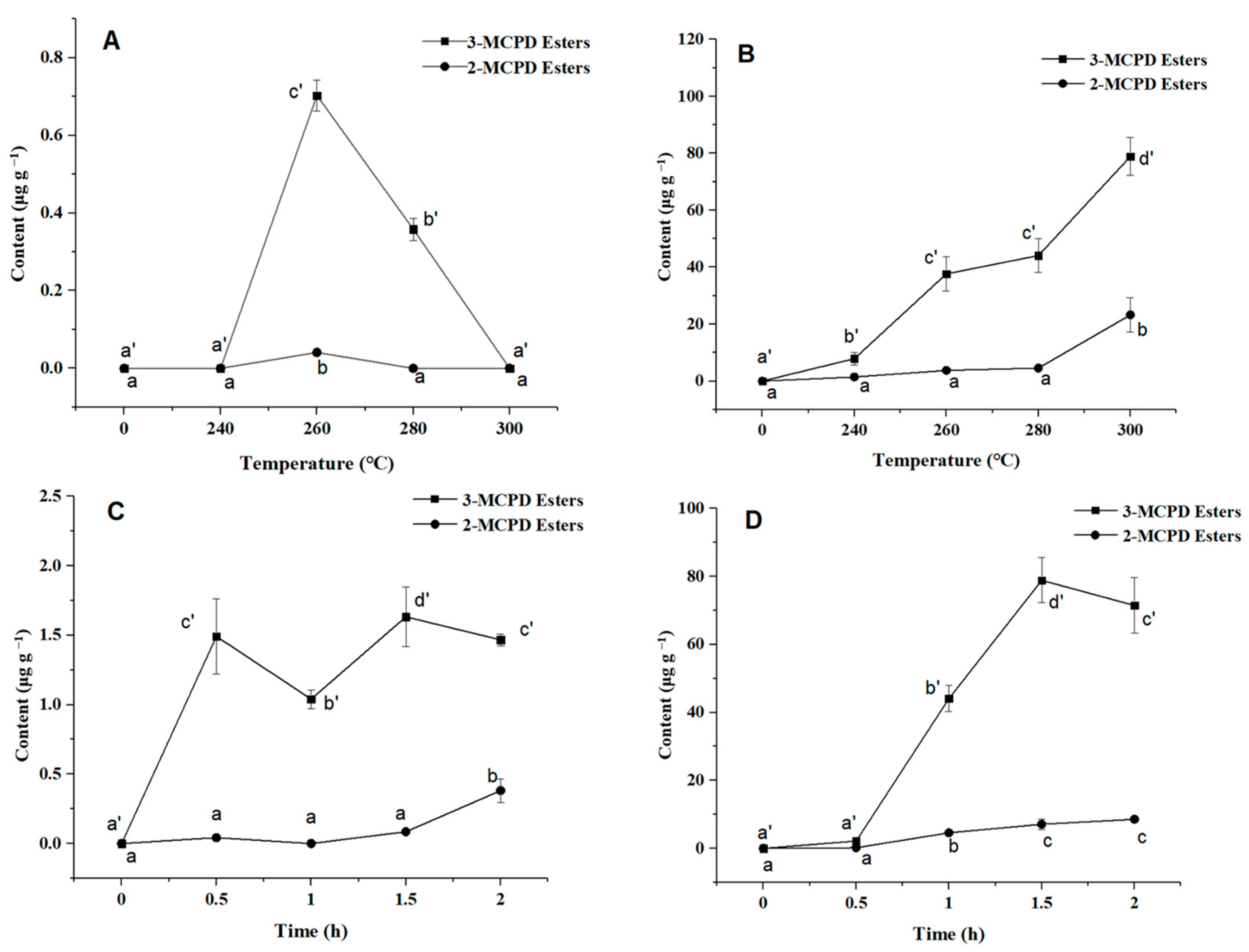
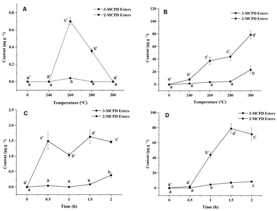
3.1. Effects of Heating Temperature on the Formation of 2- and 3-MCPD Esters
3.2. Effects of Heating Time on the Formation of 2- and 3-MCPD Esters
3.3. Effects of Endogenous Antioxidants on the Formation of 3-MCPD and 2-MCPD Esters
3.4. Monitoring of Acyloxonium Ions
3.5. Monitoring Free Radicals
3.5.1. Selection of the Spin-Trapping Reagent
3.5.2. Identification of Free Radicals in Camellia Oil
3.5.3. Effects of Endogenous Antioxidants on the Formation of Free Radicals
4. Conclusions
Author Contributions
Funding
Institutional Review Board Statement
Informed Consent Statement
Data Availability Statement
Conflicts of Interest
References
- Baer, I.; De la Calle, B.; Taylor, P. 3-MCPD in food other than soy sauce or hydrolysed vegetable protein (HVP). Anal. Bioanal. Chem. 2010, 396, 443–456. [Google Scholar] [CrossRef] [PubMed]
- Wong, Y.H.; Muhamad, H.; Abas, F.; Lai, O.M.; Nyam, K.L.; Tan, C.P. Effects of temperature and NaCl on the formation of 3-MCPD esters and glycidyl esters in refined, bleached and deodorized palm olein during deep-fat frying of potato chips. Food Chem. 2017, 219, 126–130. [Google Scholar] [CrossRef] [PubMed]
- Seefelder, W.; Varga, N.; Studer, A.; Williamson, G.; Scanlan, F.; Stadler, R. Esters of 3-chloro-1, 2-propanediol (3-MCPD) in vegetable oils: Significance in the formation of 3-MCPD. Food Addit. Contam. A 2008, 25, 391–400. [Google Scholar] [CrossRef] [PubMed]
- Lee, B.Q.; Khor, S.M. 3-Chloropropane-1, 2-diol (3-MCPD) in soy sauce: A review on the formation, reduction, and detection of this potential carcinogen. Compr. Rev. Food Sci. Food Saf. 2015, 14, 48–66. [Google Scholar] [CrossRef] [PubMed]
- Habermeyer, M.; Guth, S.; Eisenbrand, G. Identification of gaps in knowledge concerning toxicology of 3-MCPD and glycidol esters. Eur. J. Lipid Sci. Tech. 2011, 113, 314–318. [Google Scholar] [CrossRef]
- IARC Working Group on the Evaluation of Carcinogenic Risks to Humans. Some Chemicals Present in Industrial and Consumer Products, Food and Drinking-Water; IARC Publications: Lyon, France, 2012; Volume 101. [Google Scholar]
- WHO. Safety Evaluation of Certain Contaminants in Food. In Proceedings of the Eighty-Third Meeting of the Joint FAO/WHO Expert Committee on Food Additives (JECFA), Rome, Italy, 8–17 November 2018. [Google Scholar]
- Merkle, S.; Ostermeyer, U.; Rohn, S.; Karl, H.; Fritsche, J. Mitigation strategies for ester bound 2-/3-MCPD and esterified glycidol in pre-fried breaded and frozen fish products. Food Chem. 2018, 245, 196–204. [Google Scholar] [CrossRef]
- Santiago, J.K.; Silva, W.C.; Capristo, M.F.; Ferreira, M.C.; Ferrari, R.A.; Vicente, E.; Meirelles, A.J.A.; Arisseto, A.P.; Sampaio, K.A. Organic, conventional and sustainable palm oil (RSPO): Formation of 2-and 3-MCPD esters and glycidyl esters and influence of aqueous washing on their reduction. Food Res. Int. 2021, 140, 109998. [Google Scholar] [CrossRef]
- MacMahon, S.; Begley, T.H.; Diachenko, G.W. Occurrence of 3-MCPD and glycidyl esters in edible oils in the United States. Food Addit. Contam. A 2013, 30, 2081–2092. [Google Scholar] [CrossRef]
- Li, C.; Li, L.; Jia, H.; Wang, Y.; Shen, M.; Nie, S.; Xie, M. Formation and reduction of 3-monochloropropane-1, 2-diol esters in peanut oil during physical refining. Food Chem. 2016, 199, 605–611. [Google Scholar] [CrossRef]
- Li, C.; Jia, H.; Shen, M.; Wang, Y.; Nie, S.; Chen, Y.; Zhou, Y.; Wang, Y.; Xie, M. Antioxidants inhibit formation of 3-monochloropropane-1, 2-diol esters in model reactions. J. Agric. Food Chem. 2015, 63, 9850–9854. [Google Scholar] [CrossRef]
- Matthäus, B.; Pudel, F.; Fehling, P.; Vosmann, K.; Freudenstein, A. Strategies for the reduction of 3-MCPD esters and related compounds in vegetable oils. Eur. J. Lipid Sci. Tech. 2011, 113, 380–386. [Google Scholar] [CrossRef]
- Sim, B.I.; Khor, Y.P.; Lai, O.M.; Yeoh, C.B.; Wang, Y.; Liu, Y.; Nehdi, I.A.; Tan, C.P. Mitigation of 3-MCPD esters and glycidyl esters during the physical refining process of palm oil by micro and macro laboratory scale refining. Food Chem. 2020, 328, 127147. [Google Scholar] [CrossRef]
- Nagy, K.; Redeuil, K.; Lahrichi, S.; Nicolas, M. Removal of organochlorines from vegetable oils and its benefits in preventing formation of monochloropropanediol diesters. Food Addit. Contam. A 2019, 36, 712–721. [Google Scholar] [CrossRef] [PubMed]
- Wong, Y.H.; Goh, K.M.; Nyam, K.L.; Nehdi, I.A.; Sbihi, H.M.; Tan, C.P. Effects of natural and synthetic antioxidants on changes in 3-MCPD esters and glycidyl ester in palm olein during deep-fat frying. Food Control 2019, 96, 488–493. [Google Scholar] [CrossRef]
- Yang, R.; Zhang, L.; Li, P.; Yu, L.; Mao, J.; Wang, X.; Zhang, Q. A review of chemical composition and nutritional properties of minor vegetable oils in China. Trends Food Sci. Tech. 2018, 74, 26–32. [Google Scholar] [CrossRef]
- Cheng, X.; Yang, T.; Wang, Y.; Zhou, B.; Yan, L.; Teng, L.; Wang, F.; Chen, L.; He, Y.; Guo, K.; et al. New method for effective identification of adulterated Camellia oil basing on Camellia oleifera- specific DNA. Arab. J. Chem. 2018, 11, 815–826. [Google Scholar] [CrossRef]
- Li, C.; Nie, S.; Zhou, Y.; Xie, M. Exposure assessment of 3-monochloropropane-1,2-diol esters from edible oils and fats in China. Food Chem. Toxicol. 2015, 75, 8–13. [Google Scholar] [CrossRef] [PubMed]
- Zhang, H.; Chen, J.; Huang, L.; Chen, L.; Wang, J.; Qi, X.; Sun, L.; Liao, N.; Zhang, R. Occurrence and risk assessment of 3-and 2-monochloropropanediol (MCPD) esters in vegetable oils and related products from Zhejiang market. Food Addit. Contam. A 2020, 37, 931–937. [Google Scholar] [CrossRef]
- Ilko, V.; Zelinková, Z.; Doležal, M.; Velíšek, J. 3-Chloropropane-1, 2-diol fatty acid esters in potato products. Czech J. Food Sci. 2011, 29, 411–419. [Google Scholar] [CrossRef]
- Jędrkiewicz, R.; Głowacz, A.; Gromadzka, J.; Namieśnik, J. Determination of 3-MCPD and 2-MCPD esters in edible oils, fish oils and lipid fractions of margarines available on Polish market. Food Control 2016, 59, 487–492. [Google Scholar] [CrossRef]
- Zhao, Y.; Zhang, Y.; Zhang, Z.; Liu, J.; Wang, Y.-L.; Gao, B.; Niu, Y.; Sun, X.; Yu, L. Formation of 3-MCPD fatty acid esters from monostearoyl glycerol and the thermal stability of 3-MCPD monoesters. J. Agric. Food Chem. 2016, 64, 8918–8926. [Google Scholar] [CrossRef] [PubMed]
- Zhang, Z.; Gao, B.; Zhang, X.; Jiang, Y.; Xu, X.; Yu, L. Formation of 3-monochloro-1, 2-propanediol (3-MCPD) di-and monoesters from tristearoylglycerol (TSG) and the potential catalytic effect of Fe2+ and Fe3+. J. Agric. Food Chem. 2015, 63, 1839–1848. [Google Scholar] [CrossRef] [PubMed]
- Liu, S.; Hu, H.; Yu, Y.; Zhao, J.; Liu, L.; Zhao, S.; Xie, J.; Li, C.; Shen, M. Simultaneous determination of tocopherols, phytosterols, and squalene in vegetable oils by high performance liquid chromatography-tandem mass spectrometry. Food Anal. Method 2021, 14, 1567–1576. [Google Scholar] [CrossRef]
- Rahn, A.K.K.; Yaylayan, V.A. Monitoring cyclic acyloxonium ion formation in palmitin systems using infrared spectroscopy and isotope labelling technique. Eur. J. Lipid Sci. Tech. 2011, 113, 330–334. [Google Scholar] [CrossRef]
- Short, H.B. Chemically Accurate Calculations of Rate Constants of Spin Trap-Hydroxyl Radical Addition Reactions. Bachelor’s Thesis, East Tennessee State University, Johnson City, TN, USA, 2015. Available online: https://dc.etsu.edu/cgi/viewcontent.cgi?article=1306&context=honors (accessed on 5 December 2023).
- Talupula, B.K. Cytotoxicity of PBN spin trap on A204 cells. Inventi Impact Pharm Tech. 2011, 2, 9–17. [Google Scholar]
- Villamena, F.A.; Locigno, E.J.; Rockenbauer, A.; Hadad, C.M.; Zweier, J.L. Theoretical and experimental studies of the spin trapping of inorganic radicals by 5, 5-dimethyl-1-pyrroline N-oxide (DMPO). 2. Carbonate radical anion. J. Phys. Chem. A 2007, 111, 384–391. [Google Scholar] [CrossRef]
- Jerzykiewicz, M.; Ćwieląg-Piasecka, I.; Jezierski, A. Pro- and Antioxidative Effect of α-Tocopherol on Edible Oils, Triglycerides and Fatty Acids. J. Am. Oil Chem. Soc. 2013, 90, 803–811. [Google Scholar] [CrossRef]
- Zuta, P.C.; Simpson, B.K.; Zhao, X.; Leclerc, L. The effect of α-tocopherol on the oxidation of mackerel oil. Food Chem. 2007, 100, 800–807. [Google Scholar] [CrossRef]
- Gordon, M.H.; Magos, P. The effect of sterols on the oxidation of edible oils. Food Chem. 1983, 10, 141–147. [Google Scholar] [CrossRef]
- Yoshida, Y.; Niki, E. Antioxidant effects of phytosterol and its components. J. Nutr. Sci. Vitaminol. 2003, 49, 277–280. [Google Scholar] [CrossRef]
- Psomiadou, E.; Tsimidou, M. On the role of squalene in olive oil stability. J. Agric. Food Chem. 1999, 47, 4025–4032. [Google Scholar] [CrossRef] [PubMed]






Disclaimer/Publisher’s Note: The statements, opinions and data contained in all publications are solely those of the individual author(s) and contributor(s) and not of MDPI and/or the editor(s). MDPI and/or the editor(s) disclaim responsibility for any injury to people or property resulting from any ideas, methods, instructions or products referred to in the content. |
© 2024 by the authors. Licensee MDPI, Basel, Switzerland. This article is an open access article distributed under the terms and conditions of the Creative Commons Attribution (CC BY) license (https://creativecommons.org/licenses/by/4.0/).
Share and Cite
Liu, S.; Shen, M.; Xie, J.; Liu, B.; Li, C. Effects of Endogenous Antioxidants in Camellia Oil on the Formation of 2-Monochloropropane-1, 3-diol Esters and 3-Monochloropropane-1,2-diol Esters during Thermal Processing. Foods 2024, 13, 261. https://doi.org/10.3390/foods13020261
Liu S, Shen M, Xie J, Liu B, Li C. Effects of Endogenous Antioxidants in Camellia Oil on the Formation of 2-Monochloropropane-1, 3-diol Esters and 3-Monochloropropane-1,2-diol Esters during Thermal Processing. Foods. 2024; 13(2):261. https://doi.org/10.3390/foods13020261
Chicago/Turabian StyleLiu, Shanshan, Mingyue Shen, Jianhua Xie, Bohan Liu, and Chang Li. 2024. "Effects of Endogenous Antioxidants in Camellia Oil on the Formation of 2-Monochloropropane-1, 3-diol Esters and 3-Monochloropropane-1,2-diol Esters during Thermal Processing" Foods 13, no. 2: 261. https://doi.org/10.3390/foods13020261
APA StyleLiu, S., Shen, M., Xie, J., Liu, B., & Li, C. (2024). Effects of Endogenous Antioxidants in Camellia Oil on the Formation of 2-Monochloropropane-1, 3-diol Esters and 3-Monochloropropane-1,2-diol Esters during Thermal Processing. Foods, 13(2), 261. https://doi.org/10.3390/foods13020261

