Microstructural Changes in Vanilla planifolia Beans after Using High-Hydrostatic-Pressure Treatment in the Curing Process
Abstract
1. Introduction
2. Materials and Methods
2.1. Plant Material
2.2. HHP Treatment of Vanilla Beans and Curing Process
2.3. Microstructural Analysis
2.3.1. Stereomicroscopy (SM)
2.3.2. Confocal Laser Scanning Microscopy (CLSM)
2.3.3. Environmental Scanning Electron Microscopy (ESEM)
2.4. Image Analysis
2.5. Statistical Analysis
3. Results and Discussion
3.1. Stereoscopic Observations
3.2. Morphometric Parameters
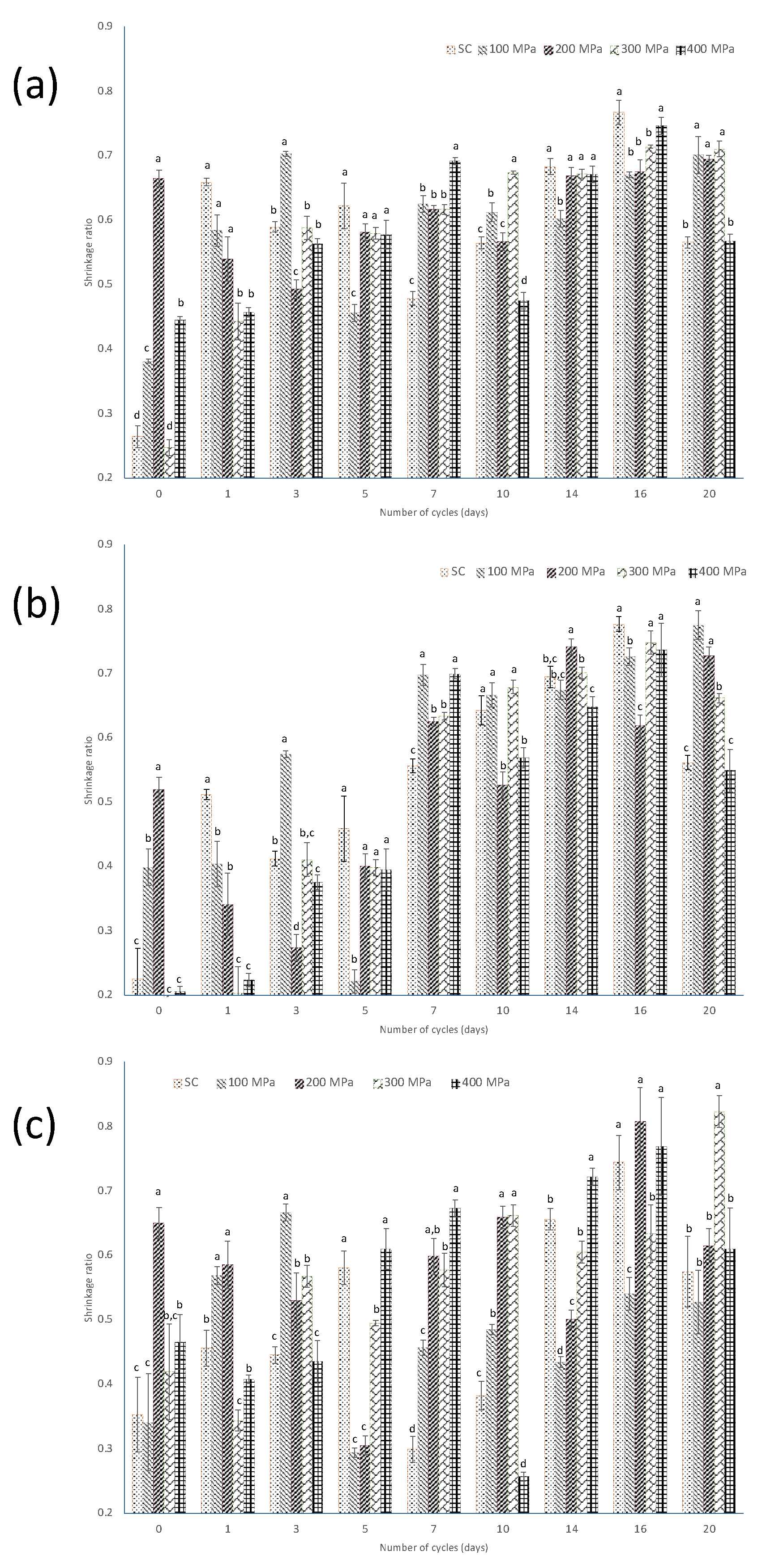
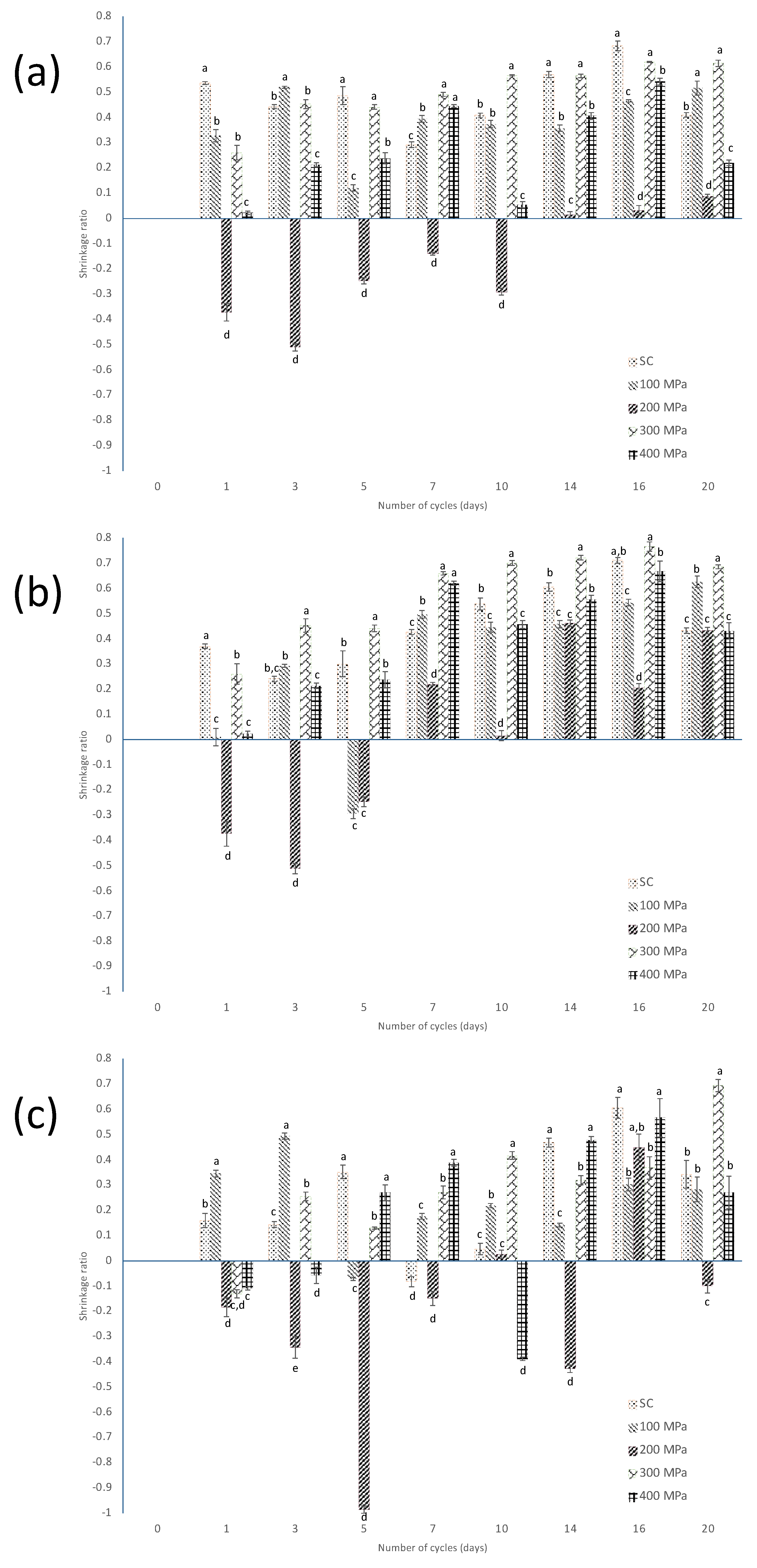
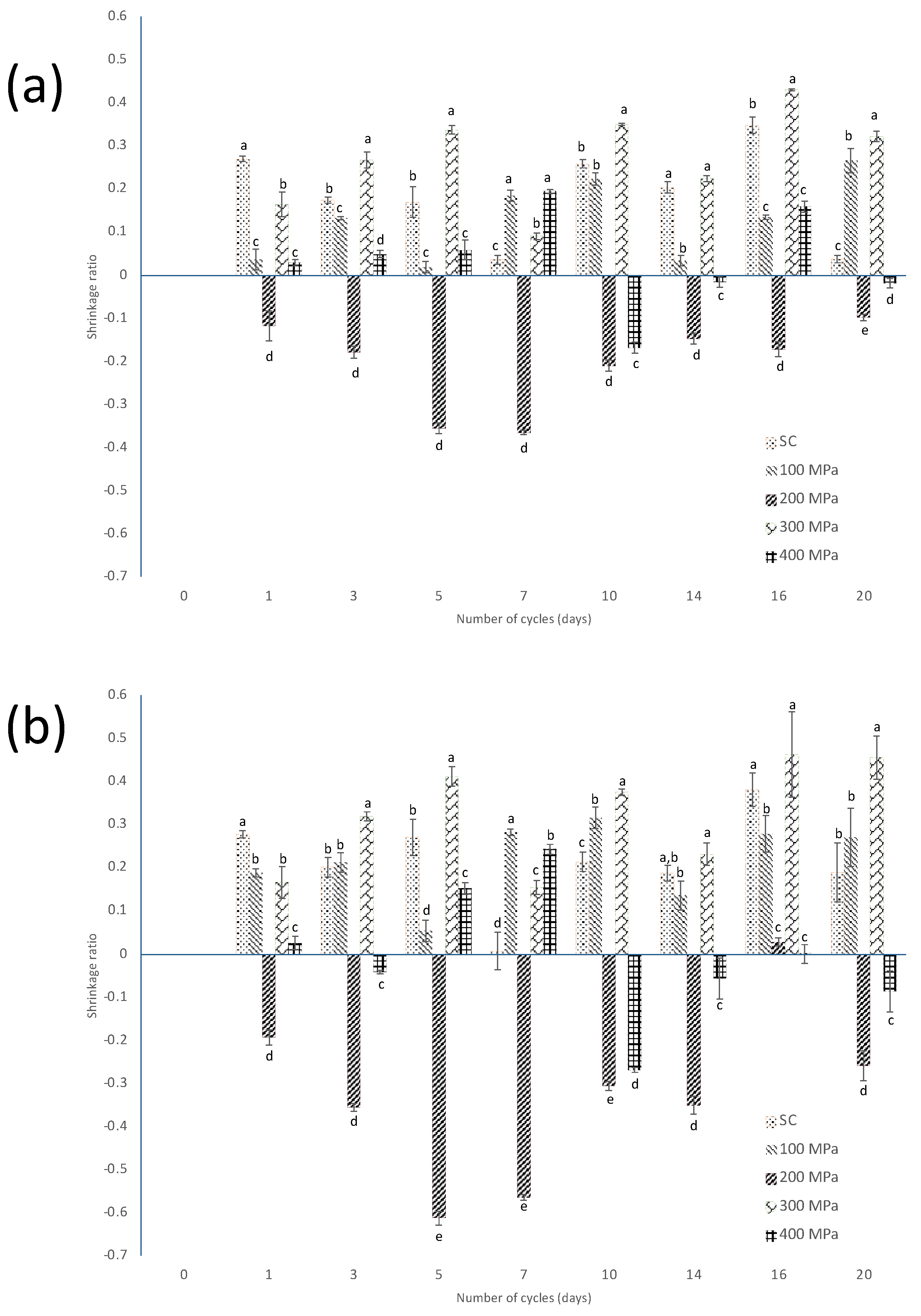
3.3. Shrinkage Ratio
3.4. Observations under CLSM
3.5. ESEM Analysis
4. Conclusions
Author Contributions
Funding
Institutional Review Board Statement
Informed Consent Statement
Data Availability Statement
Acknowledgments
Conflicts of Interest
References
- Soto-Arenas, M.A.; Cribb, P.J. A new infrageneric classification and synopsis of the genus Vanilla Plum. ex Mill. (Orchidaceae, Vanillinae). Lankesteriana 2010, 9, 355–398. [Google Scholar] [CrossRef]
- Salazar-Rojas, V.M.; Herrera-Cabrera, B.E.; Delgado-Alvarado, A.; Soto-Hernández, M.; Castillo-González, F.; Cobos-Peralta, M. Chemotypical variation in Vanilla planifolia Jack. (Orchidaceae) from the Puebla-Veracruz Totonacapan region. Genet. Resour. Crop. Evol. 2012, 59, 875–887. [Google Scholar] [CrossRef]
- Food and Agriculture Organization of the United Nations. FAOSTAT Statistical Database; FAO: Rome, Italy, 2023; Available online: https://www.fao.org/faostat/en/#data/QCL (accessed on 1 November 2023).
- Sinha, A.K.; Sharma, U.K.; Sharma, N.A. Comprehensive review on vanilla flavor: Extraction, isolation and quantification of vanillin and other constituents. Int. J. Food Sci. Nutr. 2008, 59, 299–326. [Google Scholar] [CrossRef] [PubMed]
- Vijayalakshmi, S.; Disalva, X.; Chittaranjan, S.; Arun, A. Vanilla- natural vs. artificial: A review. Res. J. Pharm. Technol. 2019, 12, 3068–3072. [Google Scholar] [CrossRef]
- Peña-Barrientos, A.; Perea-Flores, M.J.; Vega-Cuellar, M.Á.; Flores-Vela, A.; Gómez-Patiño, M.B.; Arrieta-Báez, D.; Dávila-Ortiz, G. Chemical and microstructural characterization of vanilla waste compounds (Vanilla planifolia, Jackson) using eco-friendly technology. Waste Biomass Valorization 2022, 13, 271–286. [Google Scholar] [CrossRef]
- Peña-Barrientos, A.; Perea-Flores, M.D.J.; Martínez-Gutiérrez, H.; Patrón-Soberano, O.A.; González-Jiménez, F.E.; Vega-Cuellar, M.Á.; Dávila-Ortiz, G. Physicochemical, microbiological, and structural relationship of vanilla beans (Vanilla planifolia, Andrews) during traditional curing process and use of its waste. J. Appl. Res. Med. Aromat. Plants 2023, 32, 100445. [Google Scholar] [CrossRef]
- Mariezcurrena, M.; Zavaleta, H.A.; Waliszewski, K.N.; Sánchez, V. The effect of killing conditions on the structural changes in vanilla (Vanilla planifolia, Andrews) pods during the curing process. Int. J. Food Sci. Technol. 2008, 43, 1452–1457. [Google Scholar] [CrossRef]
- Buitimea-Cantúa, G.V.; Welti-Chanes, J.; Escobedo-Avellaneda, Z. Metabolite transformation and β-d-glucosidase activity during the high hydrostatic pressure assisted curing of vanilla beans (Vanilla planifolia) to improve phenolic compounds formation. Food Chem. 2022, 384, 132497. [Google Scholar] [CrossRef]
- Roobab, U.; Shabbir, M.A.; Khan, A.W.; Arshad, R.N.; Bekhit, A.E.-D.; Zeng, X.-A.; Inam-Ur-Raheem, M.; Aadil, R.M. High-pressure treatments for better quality clean-label juices and beverages: Overview and advances. LWT 2021, 49, 111828. [Google Scholar] [CrossRef]
- Naderi, N.; Doyen, A.; House, J.D.; Pouliot, Y. The use of high hydrostatic pressure to generate folate-enriched extracts from the granule fraction of hen’s egg yolk. Food Chem. 2017, 232, 253–262. [Google Scholar] [CrossRef]
- Koutchma, T. Adapting High Hydrostatic Pressure (HPP) for Food Processing Operations; Academic Press: Cambridge, MA, USA, 2014. [Google Scholar]
- Yi, J.; Feng, H.; Bi, J.; Zhou, L.; Zhou, M.; Cao, J.; Li, J. High hydrostatic pressure induced physiological changes and physical damages in asparagus spears. Postharvest Biol. Technol. 2016, 118, 1–10. [Google Scholar] [CrossRef]
- Trejo, X.; Hendrickx, M.; Verlinden, B.; Van Buggenhout, S.; Smale, N.; Stewart, C.; Mawson, J. Understanding texture changes of high pressure processed fresh carrots: A microstructural and biochemical approach. J. Food Eng. 2006, 80, 873–884. [Google Scholar] [CrossRef]
- Préstamo, G.; Arroyo, G. High Hydrostatic pressure effects on vegetable structure. J. Food Sci. 1998, 63, 878–881. [Google Scholar] [CrossRef]
- Vázquez, J.L.; Quiles, A.; Hernando, I.; Pérez, I. Changes in the microstructure and location of some bioactive compounds in persimmons treated by high hydrostatic pressure. Postharvest Biol. Technol. 2011, 61, 137–144. [Google Scholar] [CrossRef]
- Brillouet, J.M.; Odoux, E.; Conejero, G. A set of data on green, ripening, and senescent vanilla pod (Vanilla planifolia; Orchidaceae): Anatomy, enzymes, phenolics and lipids. Fruits 2010, 65, 221–235. [Google Scholar] [CrossRef]
- Odoux, E.; Brillouet, J.M. Anatomy, histochemistry and biochemistry of glucovanillin, oleoresin and mucilage accumulation sites in green mature vanilla pod (Vanilla planifolia; Orchidaceae): A comprehensive and critical reexamination. Fruits 2009, 64, 221–241. [Google Scholar] [CrossRef]
- Morales-Delgado, D.Y.; Téllez-Medina, D.I.; Rivero-Ramírez, N.L.; Arellano-Cárdenas, S.; López-Cortez, S.; Hernández-Sánchez, H.; Gutiérrez-López, G.; Cornejo-Mazón, M. Effect of convective drying on total anthocyanin content, antioxidant activity and cell morphometric parameters of strawberry parenchymal tissue (Fragaria x ananassa Dutch). Rev. Mex. De Ing. Química 2014, 13, 179–187. [Google Scholar]
- Sánchez-Segura, L.; Téllez-Medina, D.I.; Evangelista-Lozano, S.; García-Armenta, E.; Alamilla-Beltrán, L.; Hernández-Sánchez, H.; Jiménez-Aparicio, A.R.; Gutiérrez-López, G.F. Morpho-structural description of epidermal tissues related to pungency of Capsicum species. J. Food Eng. 2015, 152, 95–104. [Google Scholar] [CrossRef]
- Buitimea-Cantúa, G.V.; Chávez-Leal, V.; Soto-Caballero, M.C.; Tellez-Medina, D.I.; Welti-Chanes, J.; Escobedo-Avellaneda, Z. Enzymatic activity and its relationships with the total phenolic content and color change in the high hydrostatic pressure-assisted curing of vanilla bean (Vanilla planifolia). Molecules 2023, 28, 7606. [Google Scholar] [CrossRef]
- Tapia, A.P.; Téllez-Medina, D.I.; Perea, M.J.; Ortiz, E.; Dávila, G. Microstructure of mature green Mexican vanilla pods Vanilla planifolia (Andrews) by microscopy techniques and digital image analysis. In Hispanic Foods: Chemistry and Bioactive Compounds; Oxford University Press: New York, NY, USA, 2012; pp. 161–171. [Google Scholar] [CrossRef]
- Hernández, J.A.; Pavón, G.; García, M.A. Analytical solution of mass transfer equation considering shrinkage for modeling food-drying kinetics. J. Food Eng. 2000, 45, 1–10. [Google Scholar] [CrossRef]
- Khraisheh, M.A.; McMinn, W.A.; Magee, T.R. Quality and structural changes in starchy foods during microwave and convective drying. Food Res. Int. 2004, 37, 347–503. [Google Scholar] [CrossRef]
- Guiné, R.P.F.; Ramos, M.A.; Figueiredo, M. Shrinkage characteristics andporosity of pears during drying. Dry. Technol. 2006, 24, 1525–1530. [Google Scholar] [CrossRef]
- Pinto, L.A.; Tobinga, S. Diffusive model with shrinkage in the thin-layer drying of fish muscles. Dry. Technol. 2006, 24, 509–516. [Google Scholar] [CrossRef]
- Tapia, A.P. Cambios Bioquímicos y Microestructurales en Vainas de Vainilla (Vanilla planifolia; Orchidaceae) Durante el Beneficio Tradicional Realizado en México. Ph.D. Thesis, Instituto Politécnico Nacional, Mexico City, Mexico, 2011; 119p. [Google Scholar]
- Yang, Z.; Duan, X.; Yang, J.; Wang, H.; Liu, F.; Xu, X.; Pan, S. Effects of high hydrostatic pressure and thermal treatment on texture properties of pickled kohlrabi. LWT 2022, 157, 113078. [Google Scholar] [CrossRef]
- García-Plazaola, J.I.; Fernández-Marín, B.; Duke, S.O.; Hernández, A.; López-Arbeloa, F.; Becerril, J.M. Autofluorescence: Biological functions and technical applications. Plant Sci. 2015, 236, 136–145. [Google Scholar] [CrossRef]








Disclaimer/Publisher’s Note: The statements, opinions and data contained in all publications are solely those of the individual author(s) and contributor(s) and not of MDPI and/or the editor(s). MDPI and/or the editor(s) disclaim responsibility for any injury to people or property resulting from any ideas, methods, instructions or products referred to in the content. |
© 2024 by the authors. Licensee MDPI, Basel, Switzerland. This article is an open access article distributed under the terms and conditions of the Creative Commons Attribution (CC BY) license (https://creativecommons.org/licenses/by/4.0/).
Share and Cite
Rivero-Angeles, K.D.; Buitimea-Cantúa, G.V.; Dávila-Ortiz, G.; López-Villegas, E.O.; Welti-Chanes, J.; Escobedo-Avellaneda, Z.; Téllez-Medina, D.I. Microstructural Changes in Vanilla planifolia Beans after Using High-Hydrostatic-Pressure Treatment in the Curing Process. Foods 2024, 13, 177. https://doi.org/10.3390/foods13020177
Rivero-Angeles KD, Buitimea-Cantúa GV, Dávila-Ortiz G, López-Villegas EO, Welti-Chanes J, Escobedo-Avellaneda Z, Téllez-Medina DI. Microstructural Changes in Vanilla planifolia Beans after Using High-Hydrostatic-Pressure Treatment in the Curing Process. Foods. 2024; 13(2):177. https://doi.org/10.3390/foods13020177
Chicago/Turabian StyleRivero-Angeles, Katia D., Génesis V. Buitimea-Cantúa, Gloria Dávila-Ortiz, Edgar O. López-Villegas, Jorge Welti-Chanes, Zamantha Escobedo-Avellaneda, and Darío I. Téllez-Medina. 2024. "Microstructural Changes in Vanilla planifolia Beans after Using High-Hydrostatic-Pressure Treatment in the Curing Process" Foods 13, no. 2: 177. https://doi.org/10.3390/foods13020177
APA StyleRivero-Angeles, K. D., Buitimea-Cantúa, G. V., Dávila-Ortiz, G., López-Villegas, E. O., Welti-Chanes, J., Escobedo-Avellaneda, Z., & Téllez-Medina, D. I. (2024). Microstructural Changes in Vanilla planifolia Beans after Using High-Hydrostatic-Pressure Treatment in the Curing Process. Foods, 13(2), 177. https://doi.org/10.3390/foods13020177

