Single-Cell Protein and Ethanol Production of a Newly Isolated Kluyveromyces marxianus Strain through Cheese Whey Valorization
Abstract
1. Introduction
2. Materials and Methods
2.1. Microorganism and Growth Media
2.2. Culture Conditions
2.3. Biomass and Single-Cell Protein Determination
2.4. Amino Acid Profile Determination
2.5. Evaluation of Ethanol and Organic Acids Production
2.6. Statistical Analysis
3. Results
3.1. Effect of Increased DCW Initial Lactose Concentrations in K. marxianus Strain EXF-5288 Growth
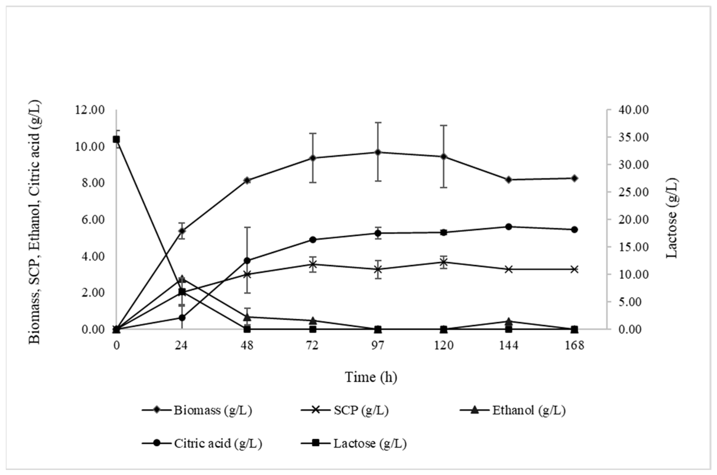
3.1.1. Biomass and Single-Cell Protein Production
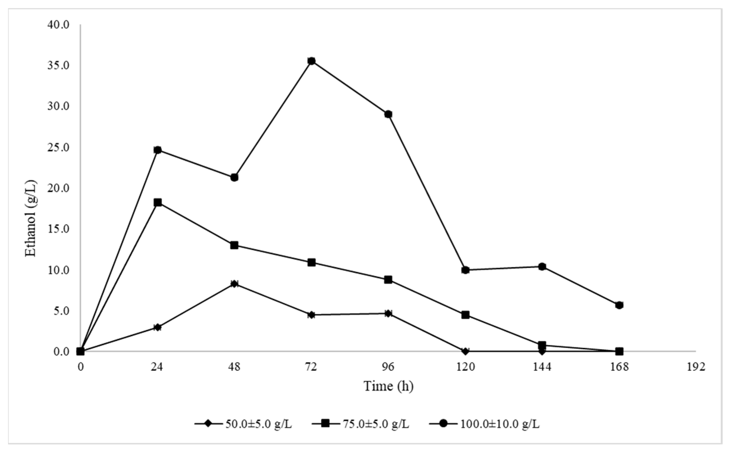
3.1.2. Ethanol and Organic Acids Production
3.2. Effect of Different Culture Temperatures in K. marxianus Strain EXF-5288 Growth in DCW
3.2.1. Biomass and Single-Cell Protein Production
3.2.2. Ethanol and Organic Acids Production
3.3. Effect of the Downgrade in DCW Initial Lactose Concentration in K. marxianus Strain EXF-5288 Growth
3.3.1. Biomass and Single-Cell Protein Production
3.3.2. Ethanol and Organic Acid Production
3.4. Effect of Upscale in Batch Bioreactor in K. marxianus Strain EXF-5288 Growth in DCW
3.5. Amino Acid Profile
4. Discussion
5. Conclusions
Supplementary Materials
Author Contributions
Funding
Institutional Review Board Statement
Informed Consent Statement
Data Availability Statement
Acknowledgments
Conflicts of Interest
References
- Lappa, I.K.; Papadaki, A.; Kachrimanidou, V. Cheese Whey Processing: Integrated Biorefinery. Foods 2019, 8, 347. [Google Scholar] [CrossRef] [PubMed]
- Bintsis, T.; Papademas, P. Sustainable Approaches in Whey Cheese Production: A Review. Dairy 2023, 4, 249–270. [Google Scholar] [CrossRef]
- Fernandez-Gutierrez, D.; Veillette, M.; Giroir-Fendler, A.; Ramirez, A.A.; Faucheux, N.; Heitz, M. Biovalorization of saccharides derived from industrial wastes such as whey: A review. Rev. Environ. Sci. Bio/Technol. 2017, 16, 147–174. [Google Scholar] [CrossRef]
- Eurostat. EU Dairies Increased Production in 2020—Products Eurostat News. Available online: https://ec.europa.eu/eurostat/web/products-eurostat-news/-/ddn-20211118-1 (accessed on 11 March 2024).
- Carter, B.G.; Cheng, N.; Kapoor, R.; Meletharayil, G.H.; Drake, M.A. Invited review: Microfiltration-derived casein and whey proteins from milk. J. Dairy Sci. 2021, 104, 2465–2479. [Google Scholar] [CrossRef] [PubMed]
- Antonia, M.; Monteiro, J.; Duarte, E. A Contribution for the Valorisation of Sheep and Goat Cheese Whey through Nanofiltration. Membranes 2018, 8, 114. [Google Scholar] [CrossRef] [PubMed]
- Królczyk, J.B.; Dawidziuk, T.; Janiszewska-Turak, E.; Sołowiej, B. Use of Whey and Whey Preparations in the Food Industry—A Review. Pol. J. Food Nutr. Sci. 2016, 66, 157–165. [Google Scholar] [CrossRef]
- Naziri, E.; Papadaki, E.; Savvidis, I.; Botsaris, G.; Gkatzionis, K.; Mugampoza, E.; Mantzouridou, F.T. Exploring the Potential of Halloumi Second Cheese Whey for the Production of Lactic Acid Cultures for the Dairy Industry. Sustainability 2023, 15, 9082. [Google Scholar] [CrossRef]
- Russo, G.L.; Langellotti, A.L.; Martín-García, B.; Verardo, V.; Romano, R.; Sacchi, R.; Masi, P. New Biotechnological Production of EPA by Pythium irregulare Using Alternative Sustainable Media Obtained from Food Industry By-Products and Waste. Sustainability 2023, 15, 1147. [Google Scholar] [CrossRef]
- Vasilakis, G.; Karayannis, D.; Massouras, T.; Politis, I.; Papanikolaou, S. Biotechnological Conversions of Mizithra Second Cheese Whey by Wild-Type Non-Conventional Yeast Strains: Production of Yeast Cell Biomass, Single-Cell Oil and Polysaccharides. Appl. Sci. 2022, 12, 11471. [Google Scholar] [CrossRef]
- Vyas, S.; Chhabra, M. Assessing oil accumulation in the oleaginous yeast Cystobasidium oligophagum JRC1 using dairy waste cheese whey as a substrate. 3 Biotech 2019, 9, 173. [Google Scholar] [CrossRef]
- Groeneveld, P.; Stouthamer, A.H.; Westerhoff, H.V. Super life—How and why ‘cell selection’ leads to the fastest-growing eukaryote. FEBS 2009, 276, 254–270. [Google Scholar] [CrossRef] [PubMed]
- Banat, I.M.; Nigam, P.; Marchant, R. Isolation of thermotolerant, fermentative yeasts growing at 52 °C and producing ethanol at 45 °C and 50 °C. World J. Microbiol. Biotechnol. 1992, 8, 259–263. [Google Scholar] [CrossRef] [PubMed]
- McTaggart, T.L.; Bever, D.; Bassett, S.; Da Silva, N.A. Synthesis of polyketides from low cost substrates by the thermotolerant yeast Kluyveromyces marxianus. Biotechnol. Bioeng. 2019, 116, 1721–1730. [Google Scholar] [CrossRef] [PubMed]
- Lane, M.M.; Morrissey, J.P. Kluyveromyces marxianus: A yeast emerging from its sister’s shadow. Fungal Biol. Rev. 2010. 24, 17–26. [CrossRef]
- Rocha, S.N.; Abrahão-Neto, J.; Gombert, A.K. Physiological diversity within the Kluyveromyces marxianus species. Mol. Microbiol. 2011, 100, 619–630. [Google Scholar] [CrossRef] [PubMed]
- Yadav, J.S.S.; Bezawada, J.; Elharche, S.; Yan, S.; Tyagi, R.D.; Surampalli, R.Y. Simultaneous single-cell protein production and COD removal with characterization of residual protein and intermediate metabolites during whey fermentation by K. marxianus. Bioprocess Biosyst. Eng. 2014, 37, 1017–1029. [Google Scholar] [CrossRef] [PubMed]
- Yadav, J.S.S.; Bezawada, J.; Ajila, C.M.; Yan, S.; Tyagi, R.D.; Surampalli, R.Y. Bioresource Technology Mixed culture of Kluyveromyces marxianus and Candida krusei for single-cell protein production and organic load removal from whey. Bioresour. Technol. 2014, 164, 119–127. [Google Scholar] [CrossRef] [PubMed]
- Roy, P.; Gahlawat, V.K.; Saravanan, C.; Singh, B.P. Enhancing bioflavor production by solid-state fermentation using Kluyveromyces marxianus and L-phenylalanine. J. Basic Microbiol. 2023, 63, 75–91. [Google Scholar] [CrossRef]
- Guneser, O.; Karagul, Y.; Muge, Y.; Hosoglu, I.; Ozmen, S.; Murat, T. Production of flavor compounds from rice bran by yeasts metabolisms of Kluyveromyces marxianus and Debaryomyces hansenii. Braz. J. Microbiol. 2022, 53, 1533–1547. [Google Scholar] [CrossRef] [PubMed]
- Karim, A.; Gerliani, N.; Aïder, M. Kluyveromyces marxianus: An emerging yeast cell factory for applications in food and biotechnology. Int. J. Food Microbiol. 2020, 333, 108818. [Google Scholar] [CrossRef]
- Sakihama, Y.; Hidese, R.; Hasunuma, T.; Kondo, A. Increased flux in acetyl-CoA synthetic pathway and TCA cycle of Kluyveromyces marxianus under respiratory conditions. Sci. Rep. 2019, 9, 5319. [Google Scholar] [CrossRef]
- Karim, A.; Aider, M. Bioconversion of electro-activated lactose, whey and whey permeate to produce single cell protein, ethanol, aroma volatiles, organic acids and fat by Kluyveromyces marxianus. Int. Dairy J. 2022, 129, 105334. [Google Scholar] [CrossRef]
- Adame-Soto, P.J.; Aréchiga-Carvajal, E.T.; González-Herrera, S.M.; Moreno-Jiménez, M.R.; Rutiaga-Quiñones, O.M. Characterization of mating type on aroma production and metabolic properties wild Kluyveromyces marxianus yeasts. World J. Microbiol. Biotechnol. 2023, 39, 216. [Google Scholar]
- Hoshida, H.; Kidera, K.; Takishita, R.; Fujioka, N.; Fukagawa, T.; Akada, R. Enhanced production of extracellular inulinase by the yeast Kluyveromyces marxianus in xylose catabolic state. J. Biosci. Bioeng. 2018, 125, 676–681. [Google Scholar] [CrossRef]
- Koukoumaki, D.I.; Tsouko, E.; Papanikolaou, S.; Ioannou, Z.; Diamantopoulou, P.; Sarris, D. Recent advances in the production of single cell protein from renewable resources and applications. Carbon Resour. Convers. 2023, 7, 100195. [Google Scholar] [CrossRef]
- Alvim, M.; Vital, C.; Barros, E.; Vieira, N.; da Silveira, F.; Balbino, T.; Diniz, R.; Brito, A.; Bazzolli, D.; de Oliveira Ramos, H.; et al. Ethanol stress responses of Kluyveromyces marxianus CCT 7735 revealed by proteomic and metabolomic analyses. Antonie Van Leeuwenhoek Int. J. Gen. Mol. Microbiol. 2019, 112, 827–845. [Google Scholar] [CrossRef]
- Latimer, G.W. Official Methods of Analysis of AOAC International, 19th ed.; AOAC International: Gaithersburg, MD, USA, 2012. [Google Scholar]
- Lie, S. The EBC-Ninhydrin Method for Determination of Free Alpha Amino Nitrogen. J. Inst. Brew. 1973, 79, 37–41. [Google Scholar] [CrossRef]
- Basa, K.; Papanikolaou, S.; Dimopoulou, M.; Terpou, A.; Kallithraka, S.; Nychas, G.J.E. Trials of commercial- and wild-type Saccharomyces cerevisiae strains under aerobic and microaerophilic/anaerobic conditions: Ethanol production and must fermentation from grapes of Santorini (Greece) native varieties. Fermentation 2022, 8, 249. [Google Scholar] [CrossRef]
- Filippousi, R.; Tsouko, E.; Mordini, K.; Ladakis, D.; Koutinas, A.A.; Aggelis, G.; Papanikolaou, S. Sustainable arabitol production by a newly isolated Debaryomyces prosopidis strain cultivated on biodiesel-derived glycerol. Carbon Resour. Convers. 2022, 5, 92–99. [Google Scholar] [CrossRef]
- Hagman, A.; Säll, T.; Compagno, C.; Piskur, J. Yeast “Make-Accumulate-Consume” life strategy evolved as a multi-step process that predates the whole genome duplication. PLoS ONE 2013, 8, e68734. [Google Scholar] [CrossRef]
- Palaiogeorgou, A.M.; Papanikolaou, S.; de Castro, A.M.; Freire, D.M.G.; Kookos, I.K.; Koutinas, A.A. A newly isolated Enterobacter sp. strain produces 2,3-butanediol during its cultivation on low-cost carbohydrate-based substrates. FEMS Microbiol. Lett. 2019, 366, 280. [Google Scholar] [CrossRef] [PubMed]
- Sarris, D.; Rapti, A.; Papafotis, N.; Koutinas, A.A.; Papanikolaou, S. Production of added-value chemical compounds through bioconversions of olive-mill wastewaters blended with Crude glycerol by a Yarrowia lipolytica strain. Molecules 2019, 24, 222. [Google Scholar] [CrossRef] [PubMed]
- Dourou, M.; Mizerakis, P.; Papanikolaou, S.; Aggelis, G. Storage lipid and polysaccharide metabolism in Yarrowia lipolytica and Umbelopsis isabellina. Appl. Microbiol. Biotechnol. 2017, 101, 7213–7226. [Google Scholar] [CrossRef] [PubMed]
- Dashko, S.; Zhou, N.; Compagno, C.; Piškur, J. Why, when, and how did yeast evolve alcoholic fermentation? FEMS Yeast Res. 2014, 14, 826–832. [Google Scholar] [CrossRef] [PubMed]
- Piškur, J.; Rozpędowska, E.; Polakova, S.; Merico, A.; Compagno, C. How did Saccharomyces evolve to become a good brewer? Trends Genet. 2006, 22, 183–186. [Google Scholar] [CrossRef] [PubMed]
- Sarris, D.; Matsakas, L.; Aggelis, G.; Koutinas, A.A.; Papanikolaou, S. Aerated vs non-aerated conversions of molasses and olive mill wastewaters blends into bioethanol by Saccharomyces cerevisiae under non-aseptic conditions. Ind. Crops Prod. 2014, 56, 83–93. [Google Scholar] [CrossRef]
- Urit, T.; Li, M.; Bley, T.; Löser, C. Growth of Kluyveromyces marxianus and formation of ethyl acetate depending on temperature. Appl. Microbiol. Biotechnol. 2013, 97, 10359–10371. [Google Scholar] [CrossRef] [PubMed]
- Magdouli, S.; Saffar, T.; Guedri, T.; Tarek, R.; Brar, S.K.; Blais, J.F. Practical Aspects and Case Studies of Industrial Scale Fermentation. Biochemical and Cellular Aspects of Microbial Sensing: Making Sense of Applied Parameters. In Microbial Sensing in Fermentation; Wiley-Blackwell: Hoboken, NJ, USA, 2018; pp. 267–298. [Google Scholar]
- Martynova, J.; Kokina, A.; Kibilds, J.; Liepins, J.; Scerbaka, R.; Vigants, A. Effects of acetate on Kluyveromyces marxianus DSM 5422 growth and metabolism. Appl. Microbiol. Biotechnol. 2016, 100, 4585–4594. [Google Scholar] [CrossRef] [PubMed]
- Leonel, L.; Arruda, P.V.; Chandel, A.K.; Felipe, M.G.A. Kluyveromyces marxianus: A potential biocatalyst of renewable chemicals and lignocellulosic ethanol production. Crit. Rev. Biotechnol. 2021, 41, 1131–1152. [Google Scholar] [CrossRef]
- Fonseca, G.G.; Heinzle, E.; Wittmann, C.; Gombert, A.K. The yeast Kluyveromyces marxianus and its biotechnological potential. Appl. Microbiol. Biotechnol. 2008, 79, 339–354. [Google Scholar] [CrossRef]
- Tesfaw, A.; Toksoy, E.; Fassil, O. Evaluating crude whey for bioethanol production using non—Saccharomyces yeast, Kluyveromyces marxianus. SN Appl. Sci. 2021, 3, 42. [Google Scholar] [CrossRef]
- Tinoco, D.; Genier, H.L.A.; da Silveira, W.B. Technology valuation of cellulosic ethanol production by Kluyveromyces marxianus CCT 7735 from sweet sorghum bagasse at elevated temperatures. Renew. Energy 2021, 173, 188–196. [Google Scholar] [CrossRef]
- Beniwal, A.; Saini, P.; Kokkiligadda, A.; Vij, S. Physiological growth and galactose utilization by dairy yeast Kluyveromyces marxianus in mixed sugars and whey during fermentation. 3 Biotech 2017, 7, 349. [Google Scholar] [CrossRef] [PubMed]
- Pfeiffer, T.; Morley, A. An evolutionary perspective on the Crabtree effect. Front Mol. Biosci. 2014, 1, 17. [Google Scholar] [CrossRef] [PubMed]
- Sarris, D.; Papanikolaou, S. Biotechnological production of ethanol: Biochemistry, processes and technologies. Eng. Life Sci. 2016, 16, 307–329. [Google Scholar] [CrossRef]
- Roohina, F.; Mohammadi, M.; Najafpour, G.D. Immobilized Kluyveromyces marxianus cells in carboxymethyl cellulose for production of ethanol from cheese whey: Experimental and kinetic studies. Bioprocess Biosyst. Eng. 2016, 39, 1341–1349. [Google Scholar] [CrossRef]
- Murari, C.S.; Raphael, W.; Machado, C.; Schuina, G.L.; Luiz, V.; Bianchi, D. Biocatalysis and Agricultural Biotechnology Optimization of bioethanol production from cheese whey using Kluyveromyces marxianus URM 7404. Biocatal. Agric. Biotechnol. 2019, 20, 101182. [Google Scholar] [CrossRef]
- Fu, X.; Li, P.; Zhang, L.; Li, S. Understanding the stress responses of Kluyveromyces marxianus after an arrest during high-temperature ethanol fermentation based on integration of RNA-Seq and metabolite data. Appl. Microbiol. Biotechnol. 2019, 103, 2715–2729. [Google Scholar] [CrossRef]
- Gabardo, S.; Rech, R.; Augusto, C.; Antônio, M.; Ayub, Z. Dynamics of ethanol production from whey and whey permeate by immobilized strains of Kluyveromyces marxianus in batch and continuous bioreactors. Renew. Energy 2014, 69, 89–96. [Google Scholar] [CrossRef]
- Parrondo, J.; García, L.A.; Díaz, M. Nutrient balance and metabolic analysis in a Kluyveromyces marxianus fermentation with lactose-added whey. Braz. J. Chem. Eng. 2009, 26, 445–456. [Google Scholar] [CrossRef]
- Mo, W.; Wang, M.; Zhan, R.; Yu, Y.; He, Y.; Lu, H. Kluyveromyces marxianus developing ethanol tolerance during adaptive evolution with significant improvements of multiple pathways. Biotechnol. Biofuels 2019, 12, 63. [Google Scholar] [CrossRef] [PubMed]
- Xu, M.; Zhou, H.; Yang, X.; Angelidaki, I.; Zhang, Y. Sulfide restrains the growth of Methylocapsa acidiphila converting renewable biogas to single cell protein. Water Res. 2020, 184, 116138. [Google Scholar] [CrossRef] [PubMed]
- Agboola, J.O.; Lapeña, D.; Øverland, M.; Arntzen, M.Ø.; Mydland, L.T.; Hansen, J.Ø. Yeast as a novel protein source—Effect of species and autolysis on protein and amino acid digestibility in Atlantic salmon (Salmo salar). Aquaculture 2022, 546, 1–12. [Google Scholar] [CrossRef]
- Saravanan, K.; Rajendran, M.; Kathirvel, P. Utilization of Water Hyacinth (Eichhornia crassipes) as a Feasible Substrate for the Production of Single Cell Protein Using Saccharomyces cerevisiae (Baker’ s Yeast). Waste Biomass Valorization 2023, 14, 4231–4242. [Google Scholar] [CrossRef]
- Schultz, N.; Chang, L.; Hauck, A.; Reuss, M.; Syldatk, C. Microbial production of single-cell protein from deproteinized whey concentrates. Appl. Microbiol. Biotechnol. 2006, 69, 515–520. [Google Scholar] [CrossRef] [PubMed]
- Paul, D.; Mukhopadhyay, R.; Chatterjee, B.P.; Guha, A.K. Nutritional profile of food yeast Kluyveromyces fragilis biomass grown on whey. Appl. Biochem. Biotechnol. Part A Enzym. Eng. Biotechnol. 2002, 97, 209–218. [Google Scholar] [CrossRef] [PubMed]
- Øverland, M.; Karlsson, A.; Mydland, L.T.; Romarheim, O.H.; Skrede, A. Evaluation of Candida utilis, Kluyveromyces marxianus and Saccharomyces cerevisiae yeasts as protein sources in diets for Atlantic salmon (Salmo salar). Aquaculture 2013, 402–403, 1–7. [Google Scholar] [CrossRef]
- Yang, R.; Chen, Z.; Hu, P.; Zhang, S.; Luo, G. Two-Stage Fermentation Enhanced Single-Cell Protein Production by Yarrowia lipolytica from Food Waste. SSRN Electron. J. 2022, 361, 127677. [Google Scholar]
- Este, M.D.; Alvarado-morales, M.; Angelidaki, I. Amino acids production focusing on fermentation technologies—A review. Biotechnol. Adv. 2018, 36, 14–25. [Google Scholar] [CrossRef]



| Initial DCW Lactose (g/L) | Time (h) | Biomass, X (g/L) | SCP (g/L) | Laccons (g/L) | Ethanol (g/L) | Citric acid (g/L) | YΧ/Laccons (g/g) | YSCP/X (g/g) | YEth/Laccons (g/g) | YCit/Laccons (g/g) |
|---|---|---|---|---|---|---|---|---|---|---|
| 50.0 ± 5.0 | 48 a,c | 4.24 ± 0.04 C | 1.96 ± 0.13 | 53.9 ± 0.1 | 8.2 ± 0.0 C | 6.1 ± 0.2 | 0.08 ± 0.00 B | 0.46 ± 0.03 | 0.15 ± 0.00 C | 0.11 ± 0.00 |
| 120 b,d | 3.92 ± 0.01 | 2.30 ± 0.07 C | 53.4 ± 0.2 | 0.00 | 6.2 ± 0.1 C | 0.07 ± 0.00 | 0.58 ± 0.02 A | 0.00 | 0.12 ± 0.00 A | |
| 75.0 ± 5.0 | 24 c | 6.00 ± 0.61 | 3.36 ± 0.81 | 73.3 ± 0.2 | 18.2 ± 0.1 B | 2.7 ± 0.0 | 0.08 ± 0.00 | 0.56 ± 0.02 | 0.25 ± 0.00 B | 0.04 ± 0.00 |
| 120 d | 7.30 ± 0.10 | 3.30 ± 0.10 | 78.2 ± 0.1 | 4.4 ± 0.3 | 7.3 ± 0.2 B | 0.09 ± 0.00 | 0.45 ± 0.03 | 0.06 ± 0.00 | 0.09 ± 0.00 A | |
| 168 a,b | 9.40 ± 0.55 A | 3.96 ± 0.74 A | 78.2 ± 0.0 | 0.00 | 6.1 ± 0.1 | 0.12 ± 0.00 A | 0.42 ± 0.00 B | 0.00 | 0.08 ± 0.00 | |
| 100.0 ± 10.0 | 72 c | 3.63 ± 0.11 | 1.95 ± 0.02 | 101.5 ± 0.8 | 35.5 ± 0.2 A | 4.2 ± 0.0 | 0.04 ± 0.00 | 0.54 ± 0.01 | 0.35 ± 0.00 A | 0.04 ± 0.00 |
| 144 d | 4.03 ± 0.09 | 1.85 ± 0.02 | 110.0 ± 0.6 | 10.3 ± 0.2 | 8.3 ± 0.1 A | 0.04 ± 0.00 | 0.46 ± 0.01 | 0.09 ± 0.00 | 0.08 ± 0.00 A | |
| 168 a,b | 6.16 ± 0.07 B | 2.74 ± 0.03 B | 110.0 ± 0.2 | 5.7 ± 0.1 | 7.9 ± 0.1 | 0.06 ± 0.00 C | 0.45 ± 0.00 B | 0.05 ± 0.00 | 0.07 ± 0.00 |
| T °C | Time (h) | Biomass, X (g/L) | SCP (g/L) | Laccons (g/L) | Ethanol (g/L) | Citric Acid (g/L) | YΧ/Laccons (g/g) | YSCP/X (g/g) | YEth/Laccons (g/g) | YCit/Laccons (g/g) |
|---|---|---|---|---|---|---|---|---|---|---|
| 20.0 | 48 c | 7.53 ± 0.62 | 3.08 ± 0.36 | 71.2 ± 0.8 | 13.9 ± 0.7 B | 2.3 ± 0.0 | 0.10 ± 0.00 | 0.41 ± 0.01 | 0.20 ± 0.01 A | 0.03 ± 0.00 |
| 96 d | 11.13 ± 0.83 | 4.42 ± 0.37 | 75.9 ± 0.5 | 7.3 ± 0.8 | 6.8 ± 0.3 A | 0.14 ± 0.00 | 0.40 ± 0.01 | 0.10 ± 0.01 | 0.09 ± 0.00 A | |
| 144 a,b | 14.24 ± 0.70 A | 6.14 ± 0.66 A | 75.9 ± 0.5 | 0.00 | 5.0 ± 0.0 | 0.18 ± 0.00 A | 0.43 ± 0.03 A | 0.00 | 0.07 ± 0.00 | |
| 25.0 | 24 c | 6.53 ± 0.10 | 2.88 ± 0.10 | 64.8 ± 7.7 | 17.1 ± 0.5 A | 2.1 ± 0.1 | 0.10 ± 0.01 | 0.44 ± 0.01 | 0.27 ± 0.04 A | 0.03 ± 0.00 |
| 72 d | 8.79 ± 0.58 | 3.59 ± 0.21 | 69.9 ± 7.7 | 9.2 ± 1.0 | 6.9 ± 0.0 A | 0.13 ± 0.01 | 0.41 ± 0.01 | 0.13 ± 0.03 | 0.10 ± 0.01 A | |
| 144 b | 13.31 ± 0.66 | 5.45 ± 0.24 B | 69.7 ± 7.9 | 0.00 | 5.4 ± 0.5 | 0.20 ± 0.03 | 0.41 ± 0.04 A | 0.00 | 0.08 ± 0.02 | |
| 168 a | 13.80 ± 0.17 A | 5.31 ± 0.09 | 69.9 ± 7.7 | 0.00 | 6.1 ± 0.2 | 0.20 ± 0.02 A | 0.38 ± 0.01 | 0.00 | 0.09 ± 0.01 | |
| 30.0 | 24 c | 5.74 ± 0.21 | 2.49 ± 0.11 | 68.2 ± 2.5 | 15.9 ± 0.4 A | 1.9 ± 0.0 | 0.08 ± 0.00 | 0.44 ± 0.03 | 0.23 ± 0.00 A | 0.03 ± 0.00 |
| 120 d | 8.41 ± 1.14 | 3.47 ± 0.36 | 72.9 ± 2.5 | 4.0 ± 1.2 | 7.1 ± 0.4 A | 0.10 ± 0.00 | 0.41 ± 0.01 | 0.06 ± 0.02 | 0.10 ± 0.01 A | |
| 168 a,b | 10.06 ± 0.40 B | 4.11 ± 0.05 C | 72.9 ± 2.5 | 0.00 | 5.5 ± 0.0 | 0.14 ± 0.00 A | 0.41 ± 0.02 A | 0.00 | 0.08 ± 0.00 | |
| 35.0 | 24 c | 5.39 ± 0.14 | 2.29 ± 0.11 | 60.8 ± 3.8 | 17.3 ± 0.9 A | 2.3 ± 0.1 | 0.09 ± 0.01 | 0.43 ± 0.04 | 0.29 ± 0.03 A | 0.04 ± 0.00 |
| 120 d | 5.96 ± 1.54 | 2.64 ± 0.27 | 67.9 ± 1.7 | 3.2 ± 1.6 | 6.2 ± 0.1 A | 0.10 ± 0.01 | 0.46 ± 0.09 | 0.05 ± 0.02 | 0.09 ± 0.02 A | |
| 144 b | 7.88 ± 0.77 | 3.42 ± 0.20 | 67.95 ± 1.74 | 0.00 | 6.09 ± 0.02 | 0.12 ± 0.00 | 0.44 ± 0.09 | 0.00 | 0.09 ± 0.00 | |
| 168 a | 8.55 ± 0.02 B | 3.21 ± 0.17 C | 67.95 ± 1.74 | 0.00 | 6.05 ± 0.16 | 0.13 ± 0.00 A | 0.38 ± 0.09 A | 0.00 | 0.09 ± 0.00 |
| Culture Configuration | Time (h) | Biomass, X (g/L) | SCP (g/L) | Laccons (g/L) | Ethanol (g/L) | Citric Acid (g/L) | YΧ/Laccons (g/g) | YSCP/X (g/g) | YEth/Laccons (g/g) | YCit/Laccons (g/g) |
|---|---|---|---|---|---|---|---|---|---|---|
| 70.0 ± 5.0 g/L Shake flasks | 48 c | 7.53 ± 0.62 | 3.08 ± 0.36 | 71.2 ± 0.8 | 13.9 ± 0.7 B | 2.3 ± 0.0 | 0.10 ± 0.00 | 0.41 ± 0.01 | 0.20 ± 0.01 B | 0.03 ± 0.00 |
| 96 d | 11.13 ± 0.83 | 4.42 ± 0.37 | 75.9 ± 0.5 | 7.3 ± 0.8 | 6.8 ± 0.3 B | 0.14 ± 0.00 | 0.40 ± 0.01 | 0.10 ± 0.01 | 0.09 ± 0.00 B | |
| 144 a,b | 14.24 ± 0.70 A | 6.14 ± 0.66 A | 75.9 ± 0.5 | 0.00 | 5.0 ± 0.0 | 0.18 ± 0.00 A | 0.43 ± 0.03 A | 0.00 | 0.07 ± 0.00 | |
| 65.0 ± 5.0 g/L Stirred bioreactor | 72 c,d | 3.37 ± 0.06 | 1.16 ± 0.02 | 57.1 ± 0.4 | 19.2 ± 0.2 A | 10.5 ± 0.3 A | 0.06 ± 0.00 | 0.34 ± 0.00 | 0.34 ± 0.01 A | 0.18 ± 0.01 A |
| 120 a,b | 3.63 ± 0.02 B | 1.35 ± 0.05 B | 59.5 ± 0.3 | 17.4 ± 0.3 | 8.6 ± 0.4 | 0.06 ± 0.00 B | 0.37 ± 0.01 A | 0.29 ± 0.01 | 0.14 ± 0.01 |
Disclaimer/Publisher’s Note: The statements, opinions and data contained in all publications are solely those of the individual author(s) and contributor(s) and not of MDPI and/or the editor(s). MDPI and/or the editor(s) disclaim responsibility for any injury to people or property resulting from any ideas, methods, instructions or products referred to in the content. |
© 2024 by the authors. Licensee MDPI, Basel, Switzerland. This article is an open access article distributed under the terms and conditions of the Creative Commons Attribution (CC BY) license (https://creativecommons.org/licenses/by/4.0/).
Share and Cite
Koukoumaki, D.I.; Papanikolaou, S.; Ioannou, Z.; Mourtzinos, I.; Sarris, D. Single-Cell Protein and Ethanol Production of a Newly Isolated Kluyveromyces marxianus Strain through Cheese Whey Valorization. Foods 2024, 13, 1892. https://doi.org/10.3390/foods13121892
Koukoumaki DI, Papanikolaou S, Ioannou Z, Mourtzinos I, Sarris D. Single-Cell Protein and Ethanol Production of a Newly Isolated Kluyveromyces marxianus Strain through Cheese Whey Valorization. Foods. 2024; 13(12):1892. https://doi.org/10.3390/foods13121892
Chicago/Turabian StyleKoukoumaki, Danai Ioanna, Seraphim Papanikolaou, Zacharias Ioannou, Ioannis Mourtzinos, and Dimitris Sarris. 2024. "Single-Cell Protein and Ethanol Production of a Newly Isolated Kluyveromyces marxianus Strain through Cheese Whey Valorization" Foods 13, no. 12: 1892. https://doi.org/10.3390/foods13121892
APA StyleKoukoumaki, D. I., Papanikolaou, S., Ioannou, Z., Mourtzinos, I., & Sarris, D. (2024). Single-Cell Protein and Ethanol Production of a Newly Isolated Kluyveromyces marxianus Strain through Cheese Whey Valorization. Foods, 13(12), 1892. https://doi.org/10.3390/foods13121892

