Co-Extraction Technique Improves Functional Capacity and Health-Related Benefits of Olive Oils: A Mini Review
Abstract
1. Introduction
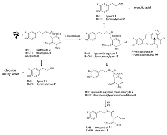
2. Olive Oil Phenolic Composition
- (i)
- Secoiridoids;
- (ii)
- Phenolic alcohols;
- (iii)
- Phenolic acids;
- (iv)
- Flavones;
- (v)
- Lignans.
3. Health Benefits of VOO Phenolic Compounds
4. Technological Aspects That Affect VOO Phenolic Composition
5. Health Implications of Phenolic-Enriched Olive Oils
6. Co-Extraction Technique to Enrich Olive Oil
7. Bioactive Ingredients from Plant Materials to Enrich Olive Oil
7.1. Olive Leaves to Enrich Olive Oil
7.2. Herbs, Spices, and Fruits to Enrich Olive Oil
8. Concluding Remarks and Future Directions
Funding
Data Availability Statement
Acknowledgments
Conflicts of Interest
References
- Sacchi, R.; della Medaglia, D.; Paduano, A.; Caporaso, N.; Genovese, A. Characterisation of Lemon-Flavoured Olive Oils. LWT Food Sci. Technol. 2017, 79, 326–332. [Google Scholar] [CrossRef]
- Malheiro, R.; Casal, S.; Teixeira, H.; Bento, A.; Pereira, J.A. Effect of Olive Leaves Addition during the Extraction Process of Overmature Fruits on Olive Oil Quality. Food Bioproc. Technol. 2013, 6, 509–521. [Google Scholar] [CrossRef]
- Ambra, R.; Natella, F.; Lucchetti, S.; Forte, V.; Pastore, G. α-Tocopherol, β-Carotene, Lutein, Squalene and Secoiridoids in Seven Monocultivar Italian Extra-Virgin Olive Oils. Int. J. Food Sci. Nutr. 2017, 68, 538–545. [Google Scholar] [CrossRef] [PubMed]
- Martakos, I.; Kostakis, M.; Dasenaki, M.; Pentogennis, M. Simultaneous Determination of Pigments, Tocopherols, and Squalene in Greek Olive Oils: A Study of the Influence of Cultivation and Oil-Production Parameters. Foods 2019, 9, 31. [Google Scholar] [CrossRef] [PubMed]
- Borello, E.; Domenici, V. Determination of Pigments in Virgin and Extra-Virgin Olive Oils: A Comparison between Two near UV-Vis Spectroscopic Techniques. Foods 2019, 8, 18. [Google Scholar] [CrossRef] [PubMed]
- Lazzerini, C.; Domenici, V. Pigments in Extra-Virgin Olive Oils Produced in Tuscany (Italy) in Different Years. Foods 2017, 6, 25. [Google Scholar] [CrossRef]
- Ramírez, E.; Gandul-Rojas, B.; Romero, C.; Brenes, M.; Gallardo-Guerrero, L. Composition of Pigments and Colour Changes in Green Table Olives Related to Processing Type. Food Chem. 2015, 166, 115–124. [Google Scholar] [CrossRef] [PubMed]
- Peršurić, A.S.I.; Damijanić, A.T. Connections between Healthy Behaviour, Perception of Olive Oil Health Benefits, and Olive Oil Consumption Motives. Sustainability 2021, 13, 7630. [Google Scholar] [CrossRef]
- Tarchoune, I.; Sgherri, C.; Eddouzi, J.; Zinnai, A.; Quartacci, M.F.; Zarrouk, M. Olive Leaf Addition Increases Olive Oil Nutraceutical Properties. Molecules 2019, 24, 545. [Google Scholar] [CrossRef]
- Benavente-García, O.; Castillo, J.; Lorente, J.; Ortuño, A.; del Rio, J.A. Antioxidant Activity of Phenolics Extracted from Olea europaea L. Leaves. Food Chem. 2000, 68, 457–462. [Google Scholar] [CrossRef]
- Ghomari, O.; Sounni, F.; Massaoudi, Y.; Ghanam, J.; Drissi Kaitouni, L.B.; Merzouki, M.; Benlemlih, M. Phenolic Profile (HPLC-UV) of Olive Leaves According to Extraction Procedure and Assessment of Antibacterial Activity. Biotechnol. Rep. 2019, 23, e00347. [Google Scholar] [CrossRef] [PubMed]
- Cecchi, L.; Migliorini, M.; Mulinacci, N. Virgin Olive Oil Volatile Compounds: Composition, Sensory Characteristics, Analytical Approaches, Quality Control, and Authentication. J. Agric. Food Chem. 2021, 69, 2013–2040. [Google Scholar] [CrossRef] [PubMed]
- Navas-López, J.F.; Cano, J.; de la Rosa, R.; Velasco, L.; León, L. Genotype by Environment Interaction for Oil Quality Components in Olive Tree. Eur. J. Agron. 2020, 119, 126115. [Google Scholar] [CrossRef]
- Yubero-Serrano, E.M.; Lopez-Moreno, J.; Gomez-Delgado, F.; Lopez-Miranda, J. Extra Virgin Olive Oil: More than a Healthy Fat. Eur. J. Clin. Nutr. 2019, 72, 8–17. [Google Scholar] [CrossRef]
- Finicelli, M.; Squillaro, T.; Galderisi, U.; Peluso, G. Polyphenols, the Healthy Brand of Olive Oil: Insights and Perspectives. Nutrients 2021, 13, 3831. [Google Scholar] [CrossRef]
- Lanza, B.; Ninfali, P. Antioxidants in Extra Virgin Olive Oil and Table Olives: Connections between Agriculture and Processing for Health Choices. Antioxidants 2020, 9, 41. [Google Scholar] [CrossRef]
- EC Regulation No 432/2012 (25th May 2012). Establishing a List of Permitted Health Claims Made on Foods, Other than Those Referring to the Reduction of Disease Risk and to Children’s Development and Health. Eur. J. Eur. Union 2012, L136, 1–40. [Google Scholar]
- Reboredo-Rodríguez, P.; Figueiredo-González, M.; González-Barreiro, C.; Simal-Gándara, J.; Salvador, M.D.; Cancho-Grande, B.; Fregapane, G. State of the Art on Functional Virgin Olive Oils Enriched with Bioactive Compounds and Their Properties. Int. J. Mol. Sci. 2017, 18, 668. [Google Scholar] [CrossRef]
- Caponio, F.; Durante, V.; Varva, G.; Silletti, R.; Previtali, M.A.; Viggiani, I.; Squeo, G.; Summo, C.; Pasqualone, A.; Gomes, T.; et al. Effect of Infusion of Spices into the Oil vs. Combined Malaxation of Olive Paste and Spices on Quality of Naturally Flavoured Virgin Olive Oils. Food Chem. 2016, 202, 221–228. [Google Scholar] [CrossRef]
- González-Gamallo, S.; Gómez-Alonso, S.; Fregapane, G.; Salvador, M.D. New Virgin Olive Oil Based Products Using Fruits and Spices. In Proceedings of the 4th European Conference on Sensory and Consumer Research—A Sense of Quality, Vitoria-Gasteiz, Spain, 5 September 2010. [Google Scholar]
- Clodoveo, M.L.; Dipalmo, T.; Crupi, P.; Durante, V.; Pesce, V.; Maiellaro, I.; Lovece, A.; Mercurio, A.; Laghezza, A.; Corbo, F.; et al. Comparison Between Different Flavored Olive Oil Production Techniques: Healthy Value and Process Efficiency. Plant Foods Hum. Nutr. 2016, 71, 81–87. [Google Scholar] [CrossRef]
- Marzocchi, S.; Caboni, M.F.; Pasini, F. Co-Milling Process of Olives and Oleaginous Matrices with High Nutritional Value: A Preliminary Characterisation of the Obtained Oils. Int. J. Food. Sci. Nutr. 2022, 73, 1057–1066. [Google Scholar] [CrossRef]
- Cecchi, L.; Balli, D.; Urciuoli, S.; Urciuolo, A.; Bordiga, M.; Travaglia, F.; Zanoni, B.; Mulinacci, N. Co-Milling of Sound Olives with Fresh Chili Peppers Improves the Volatile Compound, Capsaicinoid and Sensory Profiles of Flavoured Olive Oil with Respect to the Typical Infusion. Food Chem. 2023, 404, 134696. [Google Scholar] [CrossRef] [PubMed]
- Bendini, A.; di Lecce, G.; Valli, E.; Barbieri, S.; Tesini, F.; Gallina Toschi, T. Olive Oil Enriched in Lycopene from Tomato By-Product through a Co-Milling Process. Int. J. Food Sci. Nutr. 2015, 66, 371–377. [Google Scholar] [CrossRef] [PubMed]
- Peres, F.; Roldão, M.; Mourato, M.; Martins, L.L.; Ferreira-Dias, S. Co-Processed Olive Oils with Thymus mastichina L.—New Product Optimization. Life 2021, 11, 1048. [Google Scholar] [CrossRef]
- Baiano, A.; Terracone, C.; Gambacorta, G.; Notte, E. la Changes in Quality Indices, Phenolic Content and Antioxidant Activity of Flavored Olive Oils during Storage. JAOCS J. Am. Oil Chem. Soc. 2009, 86, 1083–1092. [Google Scholar] [CrossRef]
- Marx, Í.M.G.; Casal, S.; Rodrigues, N.; Cruz, R.; Veloso, A.C.A.; Pereira, J.A.; Peres, A.M. Impact of Incorporating Olive Leaves during the Industrial Extraction of Cv. Arbequina Oils on the Physicochemical–Sensory Quality and Health Claim Fulfillment. Eur. Food Res. Technol. 2022, 248, 171–183. [Google Scholar] [CrossRef]
- Marx, Í.M.G.; Casal, S.; Rodrigues, N.; Cruz, R.; Peres, F.; Veloso, A.C.A.; Pereira, J.A.; Peres, A.M. Impact of Fresh Olive Leaves Addition during the Extraction of Arbequina Virgin Olive Oils on the Phenolic and Volatile Profiles. Food Chem. 2022, 393, 133327. [Google Scholar] [CrossRef]
- Marx, Í.M.G.; Rodrigues, N.; Veloso, A.C.A.; Casal, S.; Pereira, J.A.; Peres, A.M. Volatile-Olfactory Profiles of Cv. Arbequina Olive Oils Extracted without/with Olive Leaves Addition and Their Discrimination Using an Electronic Nose. J. Chem. 2021, 2021, 5058522. [Google Scholar] [CrossRef]
- Ammar, S.; Kelebek, H.; Zribi, A.; Abichou, M.; Selli, S.; Bouaziz, M. LC-DAD/ESI-MS/MS Characterization of Phenolic Constituents in Tunisian Extra-Virgin Olive Oils: Effect of Olive Leaves Addition on Chemical Composition. Food Res. Int. 2017, 100, 477–485. [Google Scholar] [CrossRef]
- Malheiro, R.; Rodrigues, N.; Bissaro, C.; Leimann, F.; Casal, S.; Ramalhosa, E.; Pereira, J.A. Improvement of Sensorial and Volatile Profiles of Olive Oil by Addition of Olive Leaves. Eur. J. Lipid Sci. Technol. 2017, 119, 1–11. [Google Scholar] [CrossRef]
- Novoselić, A.; Klisović, D.; Lukić, I.; Lukić, M.; Brkić Bubola, K. The Use of Olive Leaves in Buža Olive Cultivar Oil Production: Exploring the Impact on Oil Yield and Chemical Composition. Agriculture 2021, 11, 917. [Google Scholar] [CrossRef]
- Sanmartin, C.; Taglieri, I.; Macaluso, M.; Sgherri, C.; Ascrizzi, R.; Flamini, G.; Venturi, F.; Quartacci, M.F.; Luro, F.; Curk, F.; et al. Cold-Pressing Olive Oil in the Presence of Cryomacerated Leaves of Olea or Citrus: Nutraceutical and Sensorial Features. Molecules 2019, 24, 2625. [Google Scholar] [CrossRef] [PubMed]
- di Giovacchino, L.; Angerosa, F.; di Giacinto, L. Effect of Mixing Leaves with Olives on Organoleptic Quality of Oil Obtained by Centrifugation. JAOCS J. Am. Oil Chem. Soc. 1996, 73, 371–374. [Google Scholar] [CrossRef]
- Khemakhem, I.; Ahmad-Qasem, M.H.; Catalán, E.B.; Micol, V.; García-Pérez, J.V.; Ayadi, M.A.; Bouaziz, M. Kinetic Improvement of Olive Leaves’ Bioactive Compounds Extraction by Using Power Ultrasound in a Wide Temperature Range. Ultrason. Sonochem. 2017, 34, 466–473. [Google Scholar] [CrossRef]
- Servili, M.; Selvaggini, R.; Esposto, S.; Taticchi, A.; Montedoro, G.F.; Morozzi, G. Health and Sensory Properties of Virgin Olive Oil Hydrophilic Phenols: Agronomic and Technological Aspects of Production That Affect Their Occurrence in the Oil. J. Chromatogr. A 2004, 1054, 113–127. [Google Scholar] [CrossRef]
- De Santis, S.; Cariello, M.; Piccinin, E.; Sabbà, C.; Moschetta, A. Extra Virgin Olive Oil: Lesson from Nutrigenomics. Nutrients 2019, 11, 2085. [Google Scholar] [CrossRef]
- Blanco-Benítez, M.; Calderón-Fernández, A.; Canales-Cortés, S.; Alegre-Cortés, E.; Uribe-Carretero, E.; Paredes-Barquero, M.; Gimenez-Bejarano, A.; Duque González, G.; Gómez-Suaga, P.; Ortega-Vidal, J.; et al. Biological Effects of Olive Oil Phenolic Compounds on Mitochondria. Mol. Cell Oncol. 2022, 9, 2044263. [Google Scholar] [CrossRef]
- Fabiani, R.; Vella, N.; Rosignoli, P. Epigenetic Modifications Induced by Olive Oil and Its Phenolic Compounds: A Systematic Review. Molecules 2021, 26, 273. [Google Scholar] [CrossRef]
- Parkinson, L.; Cicerale, S. The Health Benefiting Mechanisms of Virgin Olive Oil Phenolic Compounds. Molecules 2016, 21, 1734. [Google Scholar] [CrossRef]
- Rallo, L.; Díez, C.M.; Morales-Sillero, A.; Miho, H.; Priego-Capote, F.; Rallo, P. Quality of Olives: A Focus on Agricultural Preharvest Factors. Sci. Hortic. 2018, 233, 491–509. [Google Scholar] [CrossRef]
- Miho, H.; Moral, J.; Barranco, D.; Ledesma-Escobar, C.A.; Priego-Capote, F.; Díez, C.M. Influence of Genetic and Interannual Factors on the Phenolic Profiles of Virgin Olive Oils. Food Chem. 2021, 342, 128357. [Google Scholar] [CrossRef] [PubMed]
- Jimenez-Lopez, C.; Carpena, M.; Lourenço-Lopez, C.; Gallardo-Gomez, M.; Lorenzo, J.M.; Barba, F.J.; Pietro, M.A.; Simal-Gandara, J. Bioactive Compounds and Quality of Extra Virgin Olive Oil. Foods 2020, 9, 1014. [Google Scholar] [CrossRef] [PubMed]
- Antonini, E.; Farina, A.; Leone, A.; Mazzara, E.; Urbani, S.; Selvaggini, R.; Servili, M.; Ninfali, P. Phenolic Compounds and Quality Parameters of Family Farming versus Protected Designation of Origin (PDO) Extra-Virgin Olive Oils. J. Food Compos. Anal. 2015, 43, 75–81. [Google Scholar] [CrossRef]
- Serreli, G.; Deiana, M. Biological Relevance of Extra Virgin Olive Oil Polyphenols Metabolites. Antioxidants 2018, 7, 170. [Google Scholar] [CrossRef]
- Diamantakos, P.; Giannara, T.; Skarkou, M.; Melliou, E.; Magiatis, P. Influence of Harvest Time and Malaxation Conditions on the Concentration of Individual Phenols in Extra Virgin Olive Oil Related to Its Healthy Properties. Molecules 2020, 25, 2449. [Google Scholar] [CrossRef]
- Volk, J.; Sarafeddinov, A.; Unver, T.; Marx, S.; Tretzel, J.; Zotzel, J.; Warzecha, H. Two Novel Methylesterases from Olea europaea Contribute to the Catabolism of Oleoside-Type Secoiridoid Esters. Planta 2019, 250, 2083–2097. [Google Scholar] [CrossRef]
- Ryan, D.; Antolovich, M.; Prenzler, P.; Robards, K.; Lavee, S. Biotransformations of Phenolic Compounds in Olea europaea L. Sci. Hortic. 2002, 92, 147–176. [Google Scholar] [CrossRef]
- Diamantakos, P.; Velkou, A.; Killday, K.B.; Gimisis, T.; Melliou, E.; Magiatis, P. Oleokoronal and Oleomissional: New Major Phenolic Ingredients of Extra Virgin Olive Oil. Olivae 2015, 122, 22–32. [Google Scholar]
- Johnson, R.; Melliou, E.; Zweigenbaum, J.; Mitchell, A.E. Quantitation of Oleuropein and Related Phenolics in Cured Spanish-Style Green, California-Style Black Ripe, and Greek-Style Natural Fermentation Olives. J. Agric. Food Chem. 2018, 66, 2121–2128. [Google Scholar] [CrossRef]
- De Leonardis, A.; Aretini, A.; Alfano, G.; MacCiola, V.; Ranalli, G. Isolation of a Hydroxytyrosol-Rich Extract from Olive Leaves (Olea europaea L.) and Evaluation of Its Antioxidant Properties and Bioactivity. Eur. Food Res. Technol. 2008, 226, 653–659. [Google Scholar] [CrossRef]
- Trichopoulou, A. Mediterranean Diet as Intangible Heritage of Humanity: 10 Years On. Nutr. Metab. Cardiovasc. Dis. 2021, 31, 1943–1948. [Google Scholar] [CrossRef] [PubMed]
- Battino, M.; Forbes-Hernández, T.Y.; Gasparrini, M.; Afrin, S.; Cianciosi, D.; Zhang, J.; Manna, P.P.; Reboredo-Rodríguez, P.; Varela Lopez, A.; Quiles, J.L.; et al. Relevance of Functional Foods in the Mediterranean Diet: The Role of Olive Oil, Berries and Honey in the Prevention of Cancer and Cardiovascular Diseases. Crit. Rev. Food Sci. Nutr. 2019, 59, 893–920. [Google Scholar] [CrossRef] [PubMed]
- Guasch-Ferré, M.; Willett, W.C. The Mediterranean Diet and Health: A Comprehensive Overview. J. Intern. Med. 2021, 290, 549–566. [Google Scholar] [CrossRef] [PubMed]
- Foscolou, A.; Critselis, E.; Panagiotakos, D. Olive Oil Consumption and Human Health: A Narrative Review. Maturitas 2018, 118, 60–66. [Google Scholar] [CrossRef] [PubMed]
- Castellano, J.M.; Perona, J.S. Effects of Virgin Olive Oil Phenolic Compounds on Health: Solid Evidence or Just Another Fiasco? Grasas Y Aceites 2021, 72. [Google Scholar] [CrossRef]
- Romani, A.; Ieri, F.; Urciuoli, S.; Noce, A.; Marrone, G.; Nediani, C.; Bernini, R. Health Effects of Phenolic Compounds Found in Extra-Virgin Olive Oil, by-Products, and Leaf of Olea europaea L. Nutrients 2019, 11, 1776. [Google Scholar] [CrossRef]
- Marcelino, G.; Hiane, P.A.; Freitas, K.D.; Santana, L.F.; Pott, A.; Donadon, J.R.; Guimarães, R.D. Effects of Olive Oil and Its Minor Components on Cardiovascular Diseases, Inflammation, and Gut Microbiota. Nutrients 2019, 11, 1826. [Google Scholar] [CrossRef]
- Turck, D.; Bresson, J.L.; Burlingame, B.; Dean, T.; Fairweather-Tait, S.; Heinonen, M.; Hirsch-Ernst, K.I.; Mangelsdorf, I.; McArdle, H.J.; Naska, A.; et al. Guidance for the Scientific Requirements for Health Claims Related to Antioxidants, Oxidative Damage and Cardiovascular Health: (Revision 1). EFSA J. 2018, 16, 1–21. [Google Scholar] [CrossRef]
- Marković, A.K.; Torić, J.; Barbarić, M.; Brala, C.J. Hydroxytyrosol, Tyrosol and Derivatives and Their Potential Effects on Human Health. Molecules 2019, 24, 2001. [Google Scholar] [CrossRef]
- De La Torre-Carbot, K.; Chávez-Servín, J.L.; Jaúregui, O.; Castellote, A.I.; Lamuela-Raventós, R.M.; Nurmi, T.; Poulsen, H.E.; Gaddi, A.V.; Kaikkonen, J.; Zunft, H.F.; et al. Elevated Circulating LDL Phenol Levels in Men Who Consumed Virgin Rather than Refined Olive Oil Are Associated with Less Oxidation of Plasma LDL. J. Nutr. 2010, 140, 501–508. [Google Scholar] [CrossRef]
- Giordano, E.; Dávalos, A.; Visioli, F. Chronic Hydroxytyrosol Feeding Modulates Glutathione-Mediated Oxido-Reduction Pathways in Adipose Tissue: A Nutrigenomic Study. Nutr. Metab. Cardiovasc. Dis. 2014, 24, 1144–1150. [Google Scholar] [CrossRef]
- López-Biedma, A.; Sánchez-Quesada, C.; Delgado-Rodríguez, M.; Gaforio, J.J. The Biological Activities of Natural Lignans from Olives and Virgin Olive Oils: A Review. J. Funct. Foods 2016, 26, 36–47. [Google Scholar] [CrossRef]
- Yin, M.; Jiang, N.; Guo, L.; Ni, Z.; Al-Brakati, A.Y.; Othman, M.S.; Abdel Moneim, A.E.; Kassab, R.B. Oleuropein Suppresses Oxidative, Inflammatory, and Apoptotic Responses Following Glycerol-Induced Acute Kidney Injury in Rats. Life Sci. 2019, 232, 116634. [Google Scholar] [CrossRef] [PubMed]
- Castejón, M.L.; Montoya, T.; Alarcón-de-la-Lastra, C.; Sánchez-Hidalgo, M. Potential Protective Role Exerted by Secoiridoids from Olea europaea L. in Cancer, Cardiovascular, Neurodegenerative, Aging-Related, and Immunoinflammatory Diseases. Antioxidants 2020, 9, 149. [Google Scholar] [CrossRef] [PubMed]
- Nikou, T.; Liaki, V.; Stathopoulos, P.; Sklirou, A.D.; Tsakiri, E.N.; Jakschitz, T.; Bonn, G.; Trougakos, I.P.; Halabalaki, M.; Skaltsounis, L.A. Comparison Survey of EVOO Polyphenols and Exploration of Healthy Aging-Promoting Properties of Oleocanthal and Oleacein. Food Chem. Toxicol. 2019, 125, 403–412. [Google Scholar] [CrossRef] [PubMed]
- Serreli, G.; Deiana, M. Extra Virgin Olive Oil Polyphenols: Modulation of Cellular Pathways Related to Oxidant Species and Inflammation in Aging. Cells 2020, 9, 478. [Google Scholar] [CrossRef]
- Fernandes, J.; Fialho, M.; Santos, R.; Peixoto-Plácido, C.; Madeira, T.; Sousa-Santos, N.; Virgolino, A.; Santos, O.; Vaz Carneiro, A. Is Olive Oil Good for You? A Systematic Review and Meta-Analysis on Anti-Inflammatory Benefits from Regular Dietary Intake. Nutrition 2020, 69, 110559. [Google Scholar] [CrossRef]
- Vrdoljak, J.; Kumric, M.; Vilovic, M.; Kurir, T.T.; Bozic, J. Effects of Olive Oil and Its Components on Intestinal Inflammation and Inflammatory Bowel Disease. Nutrients 2022, 14, 757. [Google Scholar] [CrossRef]
- Lockyer, S.; Rowland, I.; Spencer, J.P.E.; Yaqoob, P.; Stonehouse, W. Impact of Phenolic-Rich Olive Leaf Extract on Blood Pressure, Plasma Lipids and Inflammatory Markers: A Randomised Controlled Trial. Eur J Nutr 2017, 56, 1421–1432. [Google Scholar] [CrossRef]
- Massaro, M.; Scoditti, E.; Carluccio, M.A.; Calabriso, N.; Santarpino, G.; Verri, T.; De Caterina, R. Effects of Olive Oil on Blood Pressure: Epidemiological, Clinical, and Mechanistic Evidence. Nutrients 2020, 12, 1548. [Google Scholar] [CrossRef]
- Moreno-Luna, R.; Muñoz-Hernandez, R.; Miranda, M.L.; Costa, A.F.; Jimenez-Jimenez, L.; Vallejo-Vaz, A.J.; Muriana, F.J.G.; Villar, J.; Stiefel, P. Olive Oil Polyphenols Decrease Blood Pressure and Improve Endothelial Function in Young Women with Mild Hypertension. Am. J. Hypertens. 2012, 25, 1299–1304. [Google Scholar] [CrossRef]
- Massaro, M.; Scoditti, E.; Carluccio, M.A.; De Caterina, R. Oxidative Stress and Vascular Stiffness in Hypertension: A Renewed Interest for Antioxidant Therapies? Vascul. Pharmacol. 2019, 116, 45–50. [Google Scholar] [CrossRef] [PubMed]
- Singh, A.; Kukreti, R.; Saso, L.; Kukreti, S. Oxidative Stress: A Key Modulator in Neurodegenerative Diseases. Molecules 2019, 24, 1583. [Google Scholar] [CrossRef]
- Angeloni, C.; Malaguti, M.; Barbalace, M.C.; Hrelia, S. Bioactivity of Olive Oil Phenols in Neuroprotection. Int. J. Mol. Sci. 2017, 18, 2230. [Google Scholar] [CrossRef] [PubMed]
- Lauretti, E.; Nenov, M.; Dincer, O.; Iuliano, L.; Praticò, D. Extra Virgin Olive Oil Improves Synaptic Activity, Short-Term Plasticity, Memory, and Neuropathology in a Tauopathy Model. Aging Cell 2020, 19, e13076. [Google Scholar] [CrossRef] [PubMed]
- Sun, W.; Wang, X.; Hou, C.; Yang, L.; Li, H.; Guo, J.; Huo, C.; Wang, M.; Miao, Y.; Liu, J.; et al. Oleuropein Improves Mitochondrial Function to Attenuate Oxidative Stress by Activating the Nrf2 Pathway in the Hypothalamic Paraventricular Nucleus of Spontaneously Hypertensive Rats. Neuropharmacology 2017, 113, 556–566. [Google Scholar] [CrossRef]
- Peng, S.; Zhang, B.; Yao, J.; Duan, D.; Fang, J. Dual Protection of Hydroxytyrosol, an Olive Oil Polyphenol, against Oxidative Damage in PC12 Cells. Food Funct. 2015, 6, 2091–2100. [Google Scholar] [CrossRef]
- Qosa, H.; Batarseh, Y.S.; Mohyeldin, M.M.; El Sayed, K.A.; Keller, J.N.; Kaddoumi, A. Oleocanthal Enhances Amyloid-β Clearance from the Brains of TgSwDI Mice and in Vitro across a Human Blood-Brain Barrier Model. ACS Chem. Neurosci. 2015, 6, 1849–1859. [Google Scholar] [CrossRef]
- Romero-Márquez, J.M.; Navarro-Hortal, M.D.; Jiménez-Trigo, V.; Muñoz-Ollero, P.; Forbes-Hernández, T.Y.; Esteban-Muñoz, A.; Giampieri, F.; Noya, I.D.; Bullón, P.; Vera-Ramírez, L.; et al. An Olive-Derived Extract 20% Rich in Hydroxytyrosol Prevents β-Amyloid Aggregation and Oxidative Stress, Two Features of Alzheimer Disease, via SKN-1/NRF2 and HSP-16.2 in Caenorhabditis Elegans. Antioxidants 2022, 11, 629. [Google Scholar] [CrossRef]
- COI/T.15/NC No 3/Rev. 15; Trade Standard Applying to Olive Oils and Olive Pomace Oils. COI/T.15/NC No 3/Rev. 17. International Olive Council: Madrid, Spain, 2021.
- Commission Implementing Regulation (EU) 1348/2013. The Characteristics of Olive Oil and Olive- Residue Oil and on the Relevant Methods of Analysis Amending Regulation No 2568/91/EEC. Off. J. Eur. Union. 2013, L338, 31–67. [Google Scholar]
- Commission Implementing Regulation (EU) 2019/1604-of 27 September 2019-Amending Regulation (EEC) No 2568/91 on the Characteristics of Olive Oil and Olive-Residue Oil and on the Relevant Methods of Analysis. Available online: https://www.legislation.gov.uk/eur/2019/1604/introduction/adopted (accessed on 20 March 2023).
- Clodoveo, M.L. Malaxation: Influence on Virgin Olive Oil Quality. Past, Present and Future—An Overview. Trends Food Sci. Technol. 2012, 25, 13–23. [Google Scholar] [CrossRef]
- Novoselić, A.; Klisović, D.; Lukić, M.; Horvat, I.; Lukić, I.; Brkić Bubola, K. Influence of Small Amount of Water Addition in the Extraction Process on the Olive Oil Yield and Phenolic Compounds. Agric. Conspec. Sci. 2021, 86, 251–257. [Google Scholar]
- Miho, H.; Moral, J.; López-González, M.A.; Díez, C.M.; Priego-Capote, F. The Phenolic Profile of Virgin Olive Oil Is Influenced by Malaxation Conditions and Determines the Oxidative Stability. Food Chem. 2020, 314, 126183. [Google Scholar] [CrossRef]
- Taticchi, A.; Esposto, S.; Veneziani, G.; Minnocci, A.; Urbani, S.; Selvaggini, R.; Sordini, B.; Daidone, L.; Sebastiani, L.; Servili, M. High Vacuum-Assisted Extraction Affects Virgin Olive Oil Quality: Impact on Phenolic and Volatile Compounds. Food Chem. 2021, 342, 128369. [Google Scholar] [CrossRef]
- Titouh, K.; Mazari, A.; Aït Meziane, M.Z. Contribution to Improvement of the Traditional Extraction of Olive Oil by Pressure from Whole and Stoned Olives by Addition of a Co-Adjuvant (Talc). OCL 2020, 27, 23. [Google Scholar] [CrossRef]
- Guerrini, L.; Luca Pantani, O.; Parenti, A. The Impact of Vertical Centrifugation on Olive Oil Quality. J. Food Process. Eng. 2017, 40, e12489. [Google Scholar] [CrossRef]
- Artajo, L.S.; Romero, M.P.; Suárez, M.; Motilva, M.J. Partition of Phenolic Compounds during the Virgin Olive Oil Industrial Extraction Process. Eur. Food Res. Technol. 2007, 225, 617–625. [Google Scholar] [CrossRef]
- Statistics. I.N.I. Olive Oil Produced (Hl) by Geographic Localization (Agrarian Region), Type of Oil Press, Degree of Acidity and Extraction System Used; Yearly. Available online: https://www.ine.pt/xportal/xmain?xpid=INE&xpgid=ine_indicadores&indOcorrCod=0000709&contexto=bd&selTab=tab2 (accessed on 10 March 2023).
- Ghanbari Shendi, E.; Sivri Ozay, D.; Ozkaya, M.T. Effects of Filtration Process on the Minor Constituents and Oxidative Stability of Virgin Olive Oil during 24 Months Storage Time. OCL—Oilseeds Fats Crops Lipids 2020, 27, 37. [Google Scholar] [CrossRef]
- Farràs, M.; Fernández-Castillejo, S.; Rubió, L.; Arranz, S.; Catalán, Ú.; Subirana, I.; Romero, M.-P.; Castañer, O.; Pedret, A.; Blanchart, G.; et al. Phenol-Enriched Olive Oils Improve HDL Antioxidant Content in Hypercholesterolemic Subjects. A Randomized, Double-Blind, Cross-over, Controlled Trial. J. Nutr. Biochem. 2018, 51, 99–104. [Google Scholar] [CrossRef]
- Franceschi, C.; Garagnani, P.; Morsiani, C.; Conte, M.; Santoro, A.; Grignolio, A.; Monti, D.; Capri, M.; Salvioli, S. The Continuum of Aging and Age-Related Diseases: Common Mechanisms but Different Rates. Front. Med. 2018, 5, 61. [Google Scholar] [CrossRef]
- Mannina, L.; D’Imperio, M.; Gobbino, M.; D’Amico, I.; Casini, A.; Emanuele, M.C.; Sobolev, A.P. Nuclear magnetic resonance study of flavoured olive oils. Flavour Fragr. J. 2012, 27, 250–259. [Google Scholar] [CrossRef]
- Markhali, F.S. Effect of Processing on Phenolic Composition of Olive Oil Products and Olive Mill By-Products and Possibilities for Enhancement of Sustainable Processes. Processes 2021, 9, 953. [Google Scholar] [CrossRef]
- Caporaso, N.; Paduano, A.; Nicoletti, G.; Sacchi, R. Capsaicinoids, Antioxidant Activity, and Volatile Compounds in Olive Oil Flavored with Dried Chili Pepper (Capsicum Annuum). Eur. J. Lipid Sci. Technol. 2013, 115, 1434–1442. [Google Scholar] [CrossRef]
- Commission Regulation (EC) 1989/2003. Amending Regulation EEC 2568/91 on the Characteristics of Olive Oil and Olive-Pomace Oil and on the Relevant Methods of Analysis. Off. J. Eur. Communities 2003, L295, 57. [Google Scholar]
- Fernandes, S.S.; Coelho, M.S.; de las Mercedes Salas-Mellado, M. Bioactive Compounds as Ingredients of Functional Foods. In Bioactive Compounds; Elsevier: Amsterdam, The Netherlands, 2019; pp. 129–142. [Google Scholar]
- Calvano, C.D.; Tamborrino, A. Valorization of Olive By-Products: Innovative Strategies for Their Production, Treatment and Characterization. Foods 2022, 11, 768. [Google Scholar] [CrossRef]
- Gullón, P.; Gullón, B.; Astray, G.; Carpena, M.; Fraga-Corral, M.; Prieto, M.A.; Simal-Gandara, J. Valorization of By-Products from Olive Oil Industry and Added-Value Applications for Innovative Functional Foods. Food Res. Int. 2020, 137, 109683. [Google Scholar] [CrossRef]
- Borjan, D.; Leitgeb, M.; Knez, Ž.; Hrnčič, M.K. Microbiological and Antioxidant Activity of Phenolic Compounds in Olive Leaf Extract. Molecules 2020, 25, 5946. [Google Scholar] [CrossRef] [PubMed]
- Guinda, Á.; Castellano, J.M.; Santos-Lozano, J.M.; Delgado-Hervás, T.; Gutiérrez-Adánez, P.; Rada, M. Determination of Major Bioactive Compounds from Olive Leaf. LWT Food Sci. Technol. 2015, 64, 431–438. [Google Scholar] [CrossRef]
- Fki, I.; Sayadi, S.; Mahmoudi, A.; Daoued, I.; Marrekchi, R.; Ghorbel, H. Comparative Study on Beneficial Effects of Hydroxytyrosol-And Oleuropein-Rich Olive Leaf Extracts on High-Fat Diet-Induced Lipid Metabolism Disturbance and Liver Injury in Rats. Biomed. Res. Int. 2020, 2020, 1315202. [Google Scholar] [CrossRef]
- Abaza, L.; Taamalli, A.; Nsir, H.; Zarrouk, M. Olive Tree (Olea europeae L.) Leaves: Importance and Advances in the Analysis of Phenolic Compounds. Antioxidants 2015, 4, 682–698. [Google Scholar] [CrossRef] [PubMed]
- Özcan, M.M.; Matthäus, B. A Review: Benefit and Bioactive Properties of Olive (Olea europaea L.) Leaves. Eur. Food Res. Technol. 2017, 243, 89–99. [Google Scholar] [CrossRef]
- Gullón, P.; Gullón, B.; Romaní, A.; Rocchetti, G.; Lorenzo, J.M. Smart Advanced Solvents for Bioactive Compounds Recovery from Agri-Food by-Products: A Review. Trends Food Sci. Technol. 2020, 101, 182–197. [Google Scholar] [CrossRef]
- Rahmanian, N.; Jafari, S.M.; Wani, T.A. Bioactive Profile, Dehydration, Extraction and Application of the Bioactive Components of Olive Leaves. Trends Food Sci. Technol. 2015, 42, 150–172. [Google Scholar] [CrossRef]
- Mallamaci, R.; Budriesi, R.; Clodoveo, M.L.; Biotti, G.; Micucci, M.; Ragusa, A.; Curci, F.; Muraglia, M.; Corbo, F.; Franchini, C. Olive Tree in Circular Economy as a Source of Secondary Metabolites Active for Human and Animal Health beyond Oxidative Stress and Inflammation. Molecules 2021, 26, 1072. [Google Scholar]
- Abdelgawad, S.M.; Hassab, M.A.E.; Abourehab, M.A.S.; Elkaeed, E.B.; Eldehna, W.M. Olive Leaves as a Potential Phytotherapy in the Treatment of COVID-19 Disease; A Mini-Review. Front. Pharmacol. 2022, 13, 879118. [Google Scholar]
- Sevim, D.; Tuncay, O. Effect of Olive Leaves Addition before Extraction of Turkish Olive Cultivars on Olive Oil Minor Components and Antioxidant Activity. Open Access Sci. Rep. 2013, 2, 2–8. [Google Scholar] [CrossRef]
- Marx, Í.M.G.; Baptista, P.; Casal, S.; Rodrigues, N.; Cruz, R.; Veloso, A.C.A.; Pereira, J.A.; Peres, A.M. Inoculation of Cv. Arbequina Olives with Fungi Isolated from Leaves and Its Effect on the Extracted Oils’ Stability and Health-Related Composition. Eur. Food Res. Technol. 2022, 248, 2799–2808. [Google Scholar] [CrossRef]
- Vidal, A.M.; Moya, M.; Alcalá, S.; Romero, I.; Espínola, F. Enrichment of Refined Olive Oils with Phenolic Extracts of Olive Leaf and Exhausted Olive Pomace. Antioxidants 2022, 11, 204. [Google Scholar] [CrossRef]
- Şahin, S.; Sayım, E.; Bilgin, M. Effect of Olive Leaf Extract Rich in Oleuropein on the Quality of Virgin Olive Oil. J Food Sci Technol 2017, 54, 1721–1728. [Google Scholar] [CrossRef]
- Salvador, M.D.; González-Gamallo, S.; Gómez-Alonso, S.; Fregapane, G. Phenolic Compounds of Virgin Olive Oils Co-Processed with Citrus Fruits. In Proceedings of the 9th Euro Fed Lipid Congress, Rotterdam, The Netherlands, 18 September 2011; p. 281. [Google Scholar]
- Gómez-Alonso, S.; Salvador, M.D.; Fregapane, G. Sensory Profile of Virgin Olive Oils Co-Processed with Citrus Fruits Poster P2-113. In Proceedings of the 4th European Conference on Sensory and Consumer Research—A Sense of Quality, Vitoria-Gasteiz, Spain, 5–8 September 2010. [Google Scholar]
- Sonda, A.; Akram, Z.; Boutheina, G.; Flamini, G.; Mohamed, B. Effect of Addition of Olive Leaves before Fruits Extraction Process to Some Monovarietal Tunisian Extra-Virgin Olive Oils Using Chemometric Analysis. J. Agric. Food. Chem. 2014, 62, 251–263. [Google Scholar] [CrossRef]


| Natural Bioactive Ingredient | Amount Added (%) | Olive Cultivar | Main Findings | Reference |
|---|---|---|---|---|
| Olive leaves | 3% (w/w) of fresh leaves | Oils co-extracted from: - cv. Neb Jmel olives and leaves - cv. Oueslati olives and leaves | ↑ resistance to oxidation ↑ total chlorophyll ↑ total carotenoids ↑ α-tocopherol ↑ oleuropein derivatives contents ↑ total phenolic contents | [9] |
| 3% (w/w) of fresh leaves | Oils co-extracted from: -cv. Moraiolo olives and leaves - cv. Leccino olives and leaves | ↑ oleuropein aglycone | [33] | |
| 1, 2.5, 5, and 10% (w/w) of fresh leaves | Oils co-extracted from: -cv. Cobrançosa olives and leaves | ↑ α-tocopherol ↑ total chlorophyll ↑ total carotenoids | [2] | |
| 1, 2.5, and 5% (w/w) of fresh leaves | Oils co-extracted from: - cv. Buža olives and leaves | ↑ total chlorophyll ↑ total carotenoids ↓ phenolic compounds | [32] | |
| 1–5% (w/w) of fresh leaves | Oils co-extracted from: - cv. Dritta olives and leaves - cv. Leccino olives and leaves - cv. Castiglionese olives and leaves | ↑total chlorophyll ↑ total carotenoids ↑ total phenolic content | [34] | |
| 3% (w/w) of fresh leaves | Oils co-extracted from: - cvs. Chemlali, Chétoui, Zalmati, and crossbreeding Chemlali by Zalmati - with cvs. Chemlali, Chétoui, Zalmati, and crossbreeding Chemlali by Zalmati leaves | ↑ total tocopherols ↑ polyunsaturated fatty acids | [117] | |
| 1% (w/w) of fresh leaves | Oils co-extracted from: - cv. Arbequina olives with cv. Arbequina and Santulhana leaves | ↑ phenolic content ↑ total phenolic content ↑ oxidative stability ↑ total chlorophyll ↑ total carotenoids | [27] | |
| Tomato | 0.45–2.5% (w/w) | Oils co-extracted from cv. Correggiolo and blend of cvs. Moraiolo, Leccino and Correggiolo with tomato seed or skin | ↑ phenolic content ↑ carotenoids ↑ lycopene ↑ β-carotene ↑ tocopherols | [24] |
| Thyme and oregano | 1% (w/w) | Oils co-extracted from cv. Coratina with thyme and oregano | ↑ antioxidant capacity ↑ total phenolic content | [21] |
| Garlic Lemon Oregano Hot pepper Rosemary | 2–20% (w/w) | Oils co-extracted from cv. Peranzana with - garlic - lemon - oregano - hot pepper - rosemary | ↓ total phenolic content ↑ antioxidant activity | [26] |
| Thymus mastichina L. | 0.4−4.6% (w/w) | Oils co-extracted from cv. Galega Vulgar with Thymus mastichia L. | ↑ oxidative stability | [25] |
| Grape and pomegranate seeds | 25% (w/w) | Oils co-extracted from cv. Coratina with - grape seeds - pomegranate seeds | ↑ punicic acid ↑ γ-tocopherol ↓ total phenolic content | [22] |
Disclaimer/Publisher’s Note: The statements, opinions and data contained in all publications are solely those of the individual author(s) and contributor(s) and not of MDPI and/or the editor(s). MDPI and/or the editor(s) disclaim responsibility for any injury to people or property resulting from any ideas, methods, instructions or products referred to in the content. |
© 2023 by the author. Licensee MDPI, Basel, Switzerland. This article is an open access article distributed under the terms and conditions of the Creative Commons Attribution (CC BY) license (https://creativecommons.org/licenses/by/4.0/).
Share and Cite
Marx, Í.M.G. Co-Extraction Technique Improves Functional Capacity and Health-Related Benefits of Olive Oils: A Mini Review. Foods 2023, 12, 1667. https://doi.org/10.3390/foods12081667
Marx ÍMG. Co-Extraction Technique Improves Functional Capacity and Health-Related Benefits of Olive Oils: A Mini Review. Foods. 2023; 12(8):1667. https://doi.org/10.3390/foods12081667
Chicago/Turabian StyleMarx, Ítala M. G. 2023. "Co-Extraction Technique Improves Functional Capacity and Health-Related Benefits of Olive Oils: A Mini Review" Foods 12, no. 8: 1667. https://doi.org/10.3390/foods12081667
APA StyleMarx, Í. M. G. (2023). Co-Extraction Technique Improves Functional Capacity and Health-Related Benefits of Olive Oils: A Mini Review. Foods, 12(8), 1667. https://doi.org/10.3390/foods12081667

