Extraction of Mycosporine-like Amino Acids and Proteins from the Agarophyte Gelidium corneum Using Pulsed Power Techniques
Abstract
1. Introduction
2. Material and Methods
2.1. Collection and Preparation of Algal Material
2.2. Characterization of the Raw Material
2.3. Extraction Protocols
2.3.1. PEF- and HVED-Assisted Extraction
2.3.2. Control Extraction
2.4. Characterization of the Extract Solutions
2.4.1. Monitoring of the Extraction
2.4.2. Dry Weight of the Extracts
2.4.3. MAA Profiling and Quantification
2.4.4. Protein Quantification
2.4.5. FRAP Antioxidant Capacity
2.4.6. Statistical Analysis
3. Results and Discussion
3.1. Thermal and Physical Effects of PEF and HVED
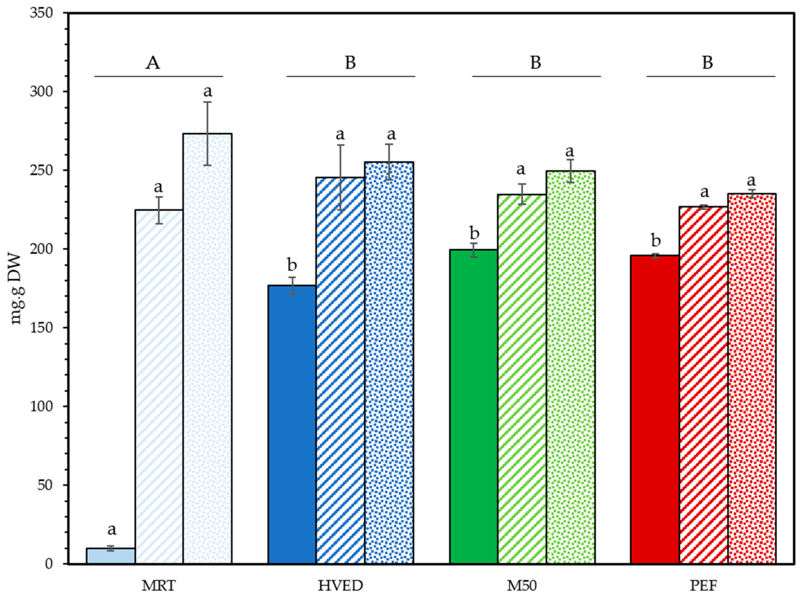
3.2. Effect of PEF and HVED on Total Soluble Compounds
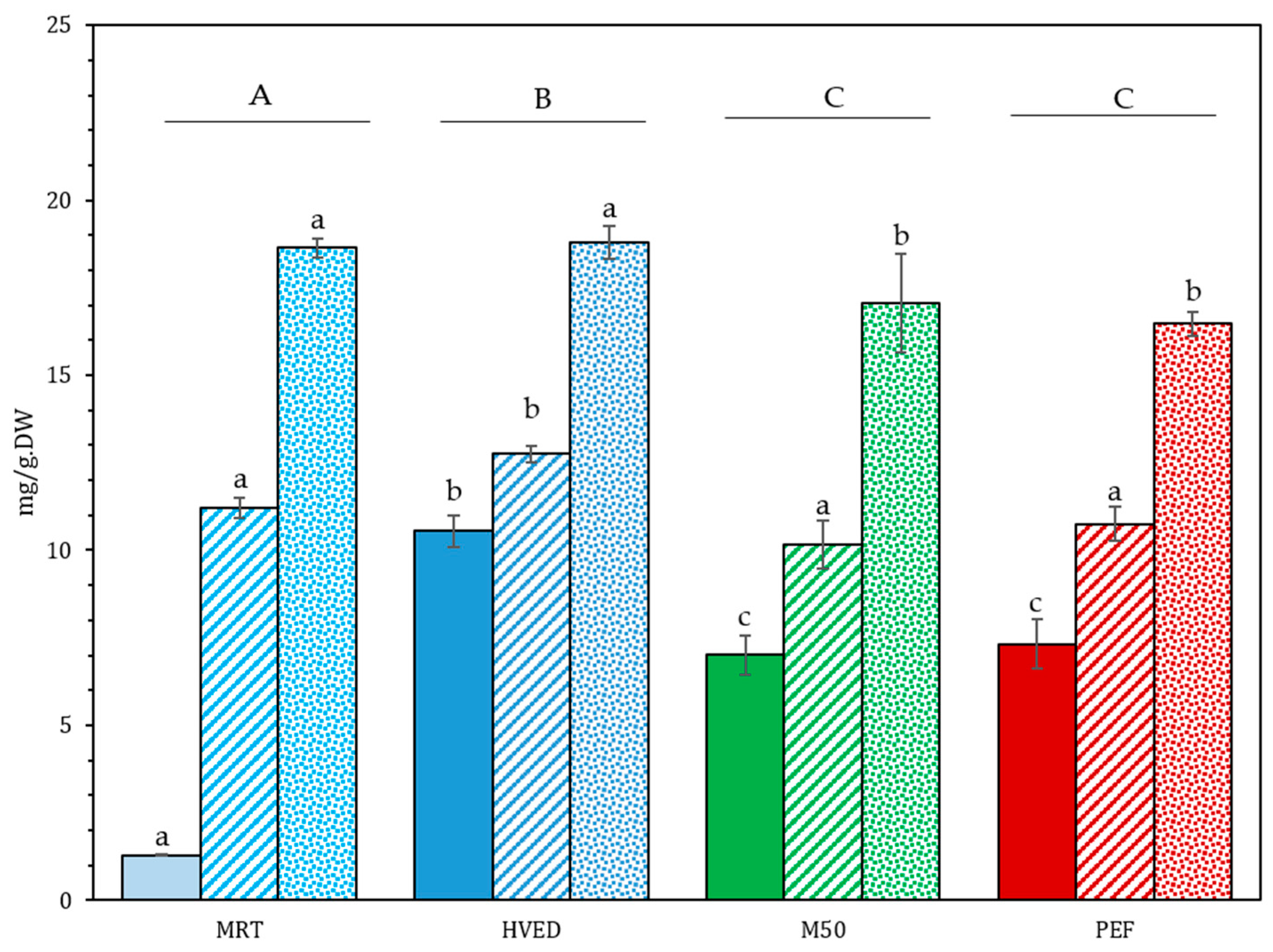
3.3. MAA Identification and Quantification: Influence of the Electrical Treatments on the MAA Extraction Yield
3.4. Protein Quantification
3.5. Antioxidant Activity of the Extracts
4. Conclusions
Supplementary Materials
Author Contributions
Funding
Data Availability Statement
Acknowledgments
Conflicts of Interest
References
- McHugh, D.J. Production and Utilization of Products from Commercial Seaweeds; McCugh, D.J., Ed.; FAO Fisher; Food and Agriculture Organization of the United Nations: Rome, Italy, 1987; ISBN 92-5-102612-2. [Google Scholar]
- Ferdouse, F.; Holdt, S.L.; Smith, R.; Murúa, P.; Yang, Z. The Global Status of Seaweed Production, Trade and Utilization. FAO Globefish Res. Programme 2018, 124, 120. [Google Scholar]
- McCugh, D.J. (Ed.) Agar. In A Guide to the Seaweed İndustry; Food and Agriculture Organization of the United Nations: Rome, Italy, 2001; pp. 1–12. ISBN 92-5-104958-0. [Google Scholar]
- Juanes, J.A.; Santleices, B.; McLachlan, J. International Workshop on Gelidium. In Proceedings of the International Workshop on Gelidium, Santander, Spain, 3–8 September 1990; Springer: Dordrecht, The Netherlands, 1991. ISBN 9781467300407. [Google Scholar]
- Armisen, R.; Galatas, F. Chapter 1—Production, Properties and Uses of Agar. In Production and Utilization of Products from Commercial Seaweeds; McHugh, D.J., Ed.; Food and Agriculture Organisation of the United Nations: Rome, Italy, 1987; pp. 1–57. ISBN 92-5-102612-2. [Google Scholar]
- Castejón, N.; Parailloux, M.; Izdebska, A.; Lobinski, R.; Fernandes, S.C.M. Valorization of the Red Algae Gelidium sesquipedale by Extracting a Broad Spectrum of Minor Compounds Using Green Approaches. Mar. Drugs 2021, 19, 574. [Google Scholar] [CrossRef] [PubMed]
- Cavaco, M.; Duarrte, A.; Freitas, M.V.; Afonso, C.; Bernardino, S.; Pereira, L.; Martins, M.; Mouga, T. Seasonal Nutritional Profile of Gelidium corneum (Rhodophyta, Gelidiaceae) from the Center of Portugal. Foods 2021, 10, 2394. [Google Scholar] [CrossRef] [PubMed]
- Borja, A.; Chust, G.; Fontán, A.; Garmendia, J.M.; Uyarra, M.C. Long-term decline of the canopy-forming algae Gelidium corneum, associated to extreme wave events and reduced sunlight hours, in the southeastern Bay of Biscay. Estuar. Coast. Shelf Sci. 2018, 205, 152–160. [Google Scholar] [CrossRef]
- Borja, Á.; Fontán, A.; Muxika, I. Interactions between climatic variables and human pressures upon a macroalgae population: Implications for management. Ocean Coast. Manag. 2013, 76, 85–95. [Google Scholar] [CrossRef]
- Santos, R.; Melo, R.A. Global shortage of technical agars: Back to basics (resource management). J. Appl. Phycol. 2018, 30, 2463–2473. [Google Scholar] [CrossRef] [PubMed]
- Mouga, T.; Fernandes, I.B. The Red Seaweed Giant Gelidium (Gelidium corneum) for New Bio-Based Materials in a Circular Economy Framework. Earth 2022, 3, 788–813. [Google Scholar] [CrossRef]
- Fregonese, A. Macerat Antioxydant Comprenant Un Melange D’algue Gelidium Sesquipedale Et De Solvant A Base D’eau De Mer. FR2978915A1, 10 August 2011. [Google Scholar]
- Sieber, F. Extrait D’algue Rouge Particulier Et Son Utilisation Pour Le Traitement De La Peau. FR3025426, 9 September 2014. [Google Scholar]
- De La Coba Luque, F.; Aguilera Arjona, J.; Lopez Figueroa, F. Use Of A Mixture Of Mycosporin-Type Amino Acids (Asterin 330 + Palythine) As An Antioxidant. WO2007026037A2, 28 August 2006. [Google Scholar]
- Lebbar, S.; Fanuel, M.; Le Gall, S.; Falourd, X.; Ropartz, D.; Bressollier, P.; Gloaguen, V.; Faugeron-Girard, C. Agar Extraction By-Products from Gelidium sesquipedale as a Source of Glycerol-Galactosides. Molecules 2018, 23, 3364. [Google Scholar] [CrossRef]
- Ferrera-Lorenzo, N.; Fuente, E.; Suárez-Ruiz, I.; Gil, R.R.; Ruiz, B. Pyrolysis characteristics of a macroalgae solid waste generated by the industrial production of Agar–Agar. J. Anal. Appl. Pyrolysis 2014, 105, 209–216. [Google Scholar] [CrossRef]
- Martínez-Sanz, M.; Cebrián-Lloret, V.; Mazarro-Ruiz, J.; López-Rubio, A. Improved performance of less purified cellulosic films obtained from agar waste biomass. Carbohydr. Polym. 2020, 233, 115887. [Google Scholar] [CrossRef]
- Karsten, U.; Sawall, T.; Hanelt, D.; Bischof, K.; Figueroa, F.L.; Flores-Moya, A.; Wiencke, C. An Inventory of UV-Absorbing Mycosporine-Like Amino Acids in Macroalgae from Polar to Warm-Temperate Regions. Bot. Mar. 1998, 41, 443–454. [Google Scholar] [CrossRef]
- Parailloux, M.; Godin, S.; Fernandes, S.C.M.; Lobinski, R. Untargeted Analysis for Mycosporines and Mycosporine-Like Amino Acids by Hydrophilic Interaction Liquid Chromatography (HILIC)—Electrospray Orbitrap MS2/MS3. Antioxidants 2020, 9, 1185. [Google Scholar] [CrossRef] [PubMed]
- Fernandes, S.C.M.; Alonso-Varona, A.; Palomares, T.; Zubillaga, V.; Labidi, J.; Bulone, V. Exploiting Mycosporines as Natural Molecular Sunscreens for the Fabrication of UV-Absorbing Green Materials. ACS Appl. Mater. Interfaces 2015, 7, 16558–16564. [Google Scholar] [CrossRef]
- Tovar-Sánchez, A.; Sánchez-Quiles, D.; Basterretxea, G.; Benedé, J.L.; Chisvert, A.; Salvador, A.; Moreno-Garrido, I.; Blasco, J. Sunscreen Products as Emerging Pollutants to Coastal Waters. PLoS ONE 2013, 8, e65451. [Google Scholar] [CrossRef] [PubMed]
- Sánchez-Quiles, D.; Tovar-Sánchez, A. Sunscreens as a Source of Hydrogen Peroxide Production in Coastal Waters. Environ. Sci. Technol. 2014, 48, 9037–9042. [Google Scholar] [CrossRef] [PubMed]
- Sánchez-Quiles, D.; Tovar-Sánchez, A. Are sunscreens a new environmental risk associated with coastal tourism? Environ. Int. 2015, 83, 158–170. [Google Scholar] [CrossRef] [PubMed]
- Boussetta, N.; Vorobiev, E. Extraction of valuable biocompounds assisted by high voltage electrical discharges: A review. Comptes Rendus Chim. 2014, 17, 197–203. [Google Scholar] [CrossRef]
- Frost, T.; Novac, B.M.; Senior, P.; Pecastaing, L.; Reess, T. Experimental studies and simple numerical modeling of underwater electric discharges. J. Acoust. Soc. Am. 2022, 151, 2844–2855. [Google Scholar] [CrossRef]
- Boussetta, N.; Vorobiev, E.; Reess, T.; De Ferron, A.; Pecastaing, L.; Ruscassié, R.; Lanoisellé, J.-L. Scale-up of high voltage electrical discharges for polyphenols extraction from grape pomace: Effect of the dynamic shock waves. Innov. Food Sci. Emerg. Technol. 2012, 16, 129–136. [Google Scholar] [CrossRef]
- Barba, F.J.; Parniakov, O.; Pereira, S.A.; Wiktor, A.; Grimi, N.; Boussetta, N.; Saraiva, J.A.; Raso, J.; Martin-Belloso, O.; Witrowa-Rajchert, D.; et al. Current applications and new opportunities for the use of pulsed electric fields in food science and industry. Food Res. Int. 2015, 77, 773–798. [Google Scholar] [CrossRef]
- Ibrahimi, N.; Vallet, L.; Andre, F.M.; Ariztia, L.; Rivaletto, M.; de Ferron, A.S.; Novac, B.M.; Mir, L.M.; Pecastaing, L. A Subnanosecond Pulsed Electric Field System for Studying Cells Electropermeabilization. IEEE Trans. Plasma Sci. 2020, 48, 4242–4249. [Google Scholar] [CrossRef]
- Puértolas, E.; Luengo, E.; Álvarez, I.; Raso, J. Improving Mass Transfer to Soften Tissues by Pulsed Electric Fields: Fundamentals and Applications. Annu. Rev. Food Sci. Technol. 2012, 3, 263–282. [Google Scholar] [CrossRef] [PubMed]
- Polikovsky, M.; Fernand, F.; Sack, M.; Frey, W.; Mueller, G.; Golberg, A. Towards marine biorefineries: Selective proteins extractions from marine macroalgae Ulva with pulsed electric fields. Innov. Food Sci. Emerg. Technol. 2016, 37, 194–200. [Google Scholar] [CrossRef]
- Postma, P.R.; Cerezo-Chinarro, O.; Akkerman, R.J.; Olivieri, G.; Wijffels, R.H.; Brandenburg, W.A.; Eppink, M.H.M. Biorefinery of the macroalgae Ulva lactuca: Extraction of proteins and carbohydrates by mild disintegration. J. Appl. Phycol. 2017, 30, 1281–1293. [Google Scholar] [CrossRef] [PubMed]
- Prabhu, M.S.; Levkov, K.; Livney, Y.D.; Israel, A.; Golberg, A. High-Voltage Pulsed Electric Field Preprocessing Enhances Extraction of Starch, Proteins, and Ash from Marine Macroalgae Ulva ohnoi. ACS Sustain. Chem. Eng. 2019, 7, 17453–17463. [Google Scholar] [CrossRef]
- Robin, A.; Kazir, M.; Sack, M.; Israel, A.; Frey, W.; Mueller, G.; Livney, Y.D.; Golberg, A. Functional Protein Concentrates Extracted from the Green Marine Macroalga Ulva sp., by High Voltage Pulsed Electric Fields and Mechanical Press. ACS Sustain. Chem. Eng. 2018, 6, 13696–13705. [Google Scholar] [CrossRef]
- Robin, A.; Sack, M.; Israel, A.; Frey, W.; Mueller, G.; Golberg, A. Deashing macroalgae biomass by pulsed electric field treatment. Bioresour. Technol. 2018, 255, 131–139. [Google Scholar] [CrossRef]
- Castejón, N.; Thorarinsdottir, K.A.; Einarsdóttir, R.; Kristbergsson, K.; Marteinsdóttir, G. Exploring the Potential of Icelandic Seaweeds Extracts Produced by Aqueous Pulsed Electric Fields-Assisted Extraction for Cosmetic Applications. Mar. Drugs 2021, 19, 662. [Google Scholar] [CrossRef]
- Stengel, D.B.; Walker, J.M. Natural Products from Marine Algae: Methods and Protocols; Stengel, D.B., Connan, S., Eds.; Springer Science + Buisness Media: New York, NY, USA, 2015; Volume 1308, ISBN 978-1-4939-2683-1. [Google Scholar]
- Fleurence, J.; Morançais, M.; Dumay, J. Seaweed proteins. In Proteins in Food Processing, 2nd ed.; Elsevier: Amsterdam, The Netherlands, 2018; pp. 245–262. [Google Scholar] [CrossRef]
- Angell, A.R.; Mata, L.; de Nys, R.; Paul, N.A. The protein content of seaweeds: A universal nitrogen-to-protein conversion factor of five. J. Appl. Phycol. 2015, 28, 511–524. [Google Scholar] [CrossRef]
- Bacqueyrisses, Y.; Reess, T.; de Ferron, A.S.; Tchalla, V.; Novac, B.M. Phenomenological Studies for Optimizing Subsonic Underwater Discharges. IEEE Trans. Plasma Sci. 2021, 49, 3615–3624. [Google Scholar] [CrossRef]
- Connan, S. Spectrophotometric Assays of Major Compounds Extracted from Algae. Methods Mol. Biol. 2015, 1308, 75–101. [Google Scholar] [CrossRef] [PubMed]
- Benzie, I.F.F.; Strain, J.J. The ferric reducing ability of plasma (FRAP) as a measure of “antioxidant power”: The FRAP assay. Anal. Biochem. 1996, 239, 70–76. [Google Scholar] [CrossRef] [PubMed]
- Matanjun, P.; Mohamed, S.; Mustapha, N.M.; Muhammad, K.; Ming, C.H. Antioxidant activities and phenolics content of eight species of seaweeds from north Borneo. J. Appl. Phycol. 2008, 20, 367–373. [Google Scholar] [CrossRef]
- Boussetta, N.; De Ferron, A.; Reess, T.; Pecastaing, L.; Lanoisellé, J.L.; Vorobiev, E. Improvement of polyphenols extraction from grape pomace using Pulsed Arc Electro-hydraulic Discharges. In Proceedings of the 2009 IEEE Pulsed Power Conference, Washington, DC, USA, 28 June–2 July 2009; pp. 1088–1093. [Google Scholar] [CrossRef]
- Xueling, Y.; Zhengzhong, Z.; Jinliang, C. Electrode Erosion of a High Energy Impulse Spark Gap Switch. Plasma Sci. Technol. 2005, 7, 3157–3160. [Google Scholar] [CrossRef]
- Vorobiev, E.; Lebovka, N. Selective Extraction of Molecules from Biomaterials by Pulsed Electric Field Treatment. In Handbook of Electroporation; Springer: Cham, Switzerland, 2016; Volume 1–4, pp. 1–16. ISBN 9783319328867. [Google Scholar]
- Matos, J.; Gomes, A.; Cardoso, C.; Afonso, C.; Campos, A.M.; Gomes, R.; Falé, P.; Delgado, I.; Coelho, I.; Castanheira, I.; et al. Commercial Red Seaweed in Portugal (Gelidium sesquipedale and Pterocladiella capillacea, Florideophyceae): Going beyond a Single-Purpose Product Approach by Valorizing Bioactivity. Thalass. Int. J. Mar. Sci. 2019, 36, 213–224. [Google Scholar] [CrossRef]
- Martínez-Sanz, M.; Gómez-Mascaraque, L.G.; Ballester, A.R.; Martínez-Abad, A.; Brodkorb, A.; López-Rubio, A. Production of unpurified agar-based extracts from red seaweed Gelidium sesquipedale by means of simplified extraction protocols. Algal Res. 2019, 38, 101420. [Google Scholar] [CrossRef]
- Saluri, M.; Kaldmäe, M.; Tuvikene, R. Reliable quantification of R-phycoerythrin from red algal crude extracts. J. Appl. Phycol. 2020, 32, 1421–1428. [Google Scholar] [CrossRef]
- Sharma, K.D.; Karki, S.; Thakur, N.S.; Attri, S. Chemical Composition, Functional Properties and Processing of Carrot—A Review. J. Food Sci. Technol. 2012, 49, 22–32. [Google Scholar] [CrossRef]
- Maehre, H.K.; Edvinsen, G.K.; Eilertsen, K.-E.; Elvevoll, E.O. Heat treatment increases the protein bioaccessibility in the red seaweed dulse (Palmaria palmata), but not in the brown seaweed winged kelp (Alaria esculenta). J. Appl. Phycol. 2015, 28, 581–590. [Google Scholar] [CrossRef]
- Karsten, U. Seaweed Acclimation to Salinity and Desiccation Stress. In Seaweed Biology; Springer: Berlin/Heidelberg, Germany, 2012; pp. 87–107. [Google Scholar]
- Burritt, D.J.; Larkindale, J.; Hurd, C.L. Antioxidant metabolism in the intertidal red seaweed Stictosiphonia arbuscula following desiccation. Planta 2002, 215, 829–838. [Google Scholar] [CrossRef]
- López-Cristoffanini, C.; Zapata, J.; Gaillard, F.; Potin, P.; Correa, J.A.; Contreras-Porcia, L. Identification of proteins involved in desiccation tolerance in the red seaweed Pyropia orbicularis (Rhodophyta, Bangiales). Proteomics 2015, 15, 3954–3968. [Google Scholar] [CrossRef] [PubMed]
- Chemat, F.; Rombaut, N.; Sicaire, A.-G.; Meullemiestre, A.; Fabiano-Tixier, A.-S.; Abert-Vian, M. Ultrasound assisted extraction of food and natural products. Mechanisms, techniques, combinations, protocols and applications. A review. Ultrason. Sonochem. 2017, 34, 540–560. [Google Scholar] [CrossRef] [PubMed]
- Quintano, E.; Ganzedo, U.; Díez, I.; Figueroa, F.L.; Gorostiaga, J.M. Solar radiation (PAR and UVA) and water temperature in relation to biochemical performance of Gelidium corneum (Gelidiales, Rhodophyta) in subtidal bottoms off the Basque coast. J. Sea Res. 2013, 83, 47–55. [Google Scholar] [CrossRef]
- Hoyer, K.; Karsten, U.; Sawall, T.; Wiencke, C. Photoprotective substances in Antarctic macroalgae and their variation with respect to depth distribution, different tissues and developmental stages. Mar. Ecol. Prog. Ser. 2001, 211, 117–129. [Google Scholar] [CrossRef]
- Karsten, U.; Wiencke, C. Factors Controlling the Formation of UV-absorbing Mycosporine-like Amino Acids in the Marine Red Alga Palmaria palmata from Spitsbergen (Norway). J. Plant Physiol. 1999, 155, 407–415. [Google Scholar] [CrossRef]
- Pace, C.N.; Treviño, S.; Prabhakaran, E.; Scholtz, J.M. Protein structure, stability and solubility in water and other solvents. Philos. Trans. R. Soc. B Biol. Sci. 2004, 359, 1225–1235. [Google Scholar] [CrossRef]
- Siegel, B.Z.; Siegel, S.M. The Chemical Composition of Algal Cell Walls. CRC Crit. Rev. Microbiol. 1973, 3, 1–26. [Google Scholar] [CrossRef]
- Vanegas, C.; Hernon, A.; Bartlett, J. Influence of Chemical, Mechanical, and Thermal Pretreatment on the Release of Macromolecules from Two Irish Seaweed Species. Sep. Sci. Technol. 2013, 49, 30–38. [Google Scholar] [CrossRef]
- Fleurence, J. The Enzymatic Degradation of Algal Cell Walls: A Useful Approach for Improving Protein Accessibility? J. Appl. Phycol. 1999, 11, 313–314. [Google Scholar] [CrossRef]
- Magnusson, M.; Glasson, C.R.; Vucko, M.J.; Angell, A.; Neoh, T.L.; de Nys, R. Enrichment processes for the production of high-protein feed from the green seaweed Ulva ohnoi. Algal Res. 2019, 41, 101555. [Google Scholar] [CrossRef]
- Samarakoon, K.; Jeon, Y.-J. Bio-functionalities of proteins derived from marine algae—A review. Food Res. Int. 2012, 48, 948–960. [Google Scholar] [CrossRef]
- Baghel, R.S.; Trivedi, N.; Reddy, C. A simple process for recovery of a stream of products from marine macroalgal biomass. Bioresour. Technol. 2016, 203, 160–165. [Google Scholar] [CrossRef] [PubMed]
- de la Coba, F.; Aguilera, J.; Figueroa, F.L.; de Gálvez, M.V.; Herrera, E. Antioxidant activity of mycosporine-like amino acids isolated from three red macroalgae and one marine lichen. J. Appl. Phycol. 2008, 21, 161–169. [Google Scholar] [CrossRef]
- Oren, A.; Gunde-Cimerman, N. Mycosporines and mycosporine-like amino acids: UV protectants or multipurpose secondary metabolites? FEMS Microbiol. Lett. 2007, 269, 1–10. [Google Scholar] [CrossRef] [PubMed]
- Nishida, Y.; Kumagai, Y.; Michiba, S.; Yasui, H.; Kishimura, H. Efficient Extraction and Antioxidant Capacity of Mycosporine-Like Amino Acids from Red Alga Dulse Palmaria palmata in Japan. Mar. Drugs 2020, 18, 502. [Google Scholar] [CrossRef]
- Puértolas, E.; Cregenzán, O.; Luengo, E.; Alvarez, I.; Raso, J. Pulsed-electric-field-assisted extraction of anthocyanins from purple-fleshed potato. Food Chem. 2013, 136, 1330–1336. [Google Scholar] [CrossRef]
- Medina-Meza, I.G.; Barbosa-Cánovas, G.V. Assisted extraction of bioactive compounds from plum and grape peels by ultrasonics and pulsed electric fields. J. Food Eng. 2015, 166, 268–275. [Google Scholar] [CrossRef]
- Sánchez-Moreno, C.; Plaza, L.; Elez-Martínez, P.; De Ancos, B.; Martín-Belloso, O.; Cano, M.P. Impact of High Pressure and Pulsed Electric Fields on Bioactive Compounds and Antioxidant Activity of Orange Juice in Comparison with Traditional Thermal Processing. J. Agric. Food Chem. 2005, 53, 4403–4409. [Google Scholar] [CrossRef]
- Barba, F.J.; Brianceau, S.; Turk, M.; Boussetta, N.; Vorobiev, E. Effect of Alternative Physical Treatments (Ultrasounds, Pulsed Electric Fields, and High-Voltage Electrical Discharges) on Selective Recovery of Bio-compounds from Fermented Grape Pomace. Food Bioprocess Technol. 2015, 8, 1139–1148. [Google Scholar] [CrossRef]





| Algal State | Solid to Liquid Ratio | Extraction Identification | Extraction Conditions |
|---|---|---|---|
| FRESH DRY POWDER | 1:20 w/v | PEF | PEF (500 kJ/kgsol; 20 kV/cm; 620 pulses, 200 J) + maceration at room temperature |
| HVED | HVED (500 kJ/kgsol; 750 J, 300 pulses) + maceration at room temperature | ||
| 1:40 w/v | MRT | Room temperature maceration | |
| M50 | Maceration at 50 °C for 10 min + maceration at room temperature |
| MRT | HVED | M50 | PEF | ||
|---|---|---|---|---|---|
| ∑ MAAs (mg/gDW) | Fresh | 0.037 ± 0.002 | 0.81 ± 0.05 | 0.45 ± 0.13 | 0.45 ± 0.01 |
| Dry | 0.59 ± 0.02 | 0.54 ± 0.05 | 0.57 ± 0.2 | 0.61 ± 0.16 | |
| Powder | 0.43 ± 0.12 | 0.59 ± 0.19 | 0.64 ± 0.05 | 0.61 ± 0.04 | |
| Palythine (mg/gDW) | Fresh | 0.002 ± 0.001 | 0.07 ± 0.03 | 0.02 ± 0.02 | 0.03 ± 0.03 |
| Dry | 0.04 ± 0.04 | 0.11 ± 0.08 | 0.04 ± 0.05 | 0.06 ± 0.07 | |
| Powder | 0.03 ± 0.02 | 0.05 ± 0.06 | 0.04 ± 0.04 | 0.04 ± 0.04 | |
| Shinorine (mg/gDW) | Fresh | 0.001 ± 0.001 | 0.07 ± 0.05 | 0.04 ± 0.05 | 0.03 ± 0.04 |
| Dry | 0.05 ± 0.05 | 0.03 ± 0.03 | 0.05 ± 0.06 | 0.06 ± 0.07 | |
| Powder | 0.04 ± 0.05 | 0.04 ± 0.04 | 0.05 ± 0.05 | 0.04 ± 0.05 | |
| Asterina (mg/gDW) | Fresh | 0.034 ± 0.002 | 0.68 ± 0.07 | 0.39 ± 0.10 | 0.395 ± 0.002 |
| Dry | 0.51 ± 0.04 | 0.37 ± 0.18 | 0.49 ± 0.16 | 0.52 ± 0.12 | |
| Powder | 0.36 ± 0.09 | 0.5 ± 0.17 | 0.56 ± 0.06 | 0.52 ± 0.05 |
| MRT | HVED | M50 | PEF | |
|---|---|---|---|---|
| Fresh | 2.53% | 10.68% | 2.73% | 2.60% |
| Dry | 4.92% | 2.81% | 2.40% | 2.30% |
| Powder | 2.85% | 3.48% | 2.61% | 3.31% |
| Protein Ratio of Dry Extracts | ||||
|---|---|---|---|---|
| MRT | HVED | M50 | PEF | |
| Fresh | 13.25 ± 0.18 | 5.97 ± 0.26 | 3.51 ± 0.28 | 3.86 ± 0.37 |
| Dry | 4.88 ± 0.13 | 5.14 ± 0.09 | 4.41 ± 0.29 | 4.08 ± 0.18 |
| Powder | 6.82 ± 0.10 | 7.36 ± 0.18 | 6.83 ± 0.57 | 6.19 ± 0.12 |
| % Extracted Protein | ||||
| MRT | HVED | M50 | PEF | |
| Fresh | 0.77 ± 0.01 | 6.32 ± 0.27 | 4.20 ± 0.33 | 4.39 ± 0.42 |
| Dry | 6.57 ± 0.17 | 7.56 ± 0.14 | 6.21 ± 0.41 | 6.31 ± 0.28 |
| Powder | 11.16 ± 0.17 | 11.25 ± 0.28 | 10.21 ± 0.85 | 9.86 ± 0.20 |
Disclaimer/Publisher’s Note: The statements, opinions and data contained in all publications are solely those of the individual author(s) and contributor(s) and not of MDPI and/or the editor(s). MDPI and/or the editor(s) disclaim responsibility for any injury to people or property resulting from any ideas, methods, instructions or products referred to in the content. |
© 2023 by the authors. Licensee MDPI, Basel, Switzerland. This article is an open access article distributed under the terms and conditions of the Creative Commons Attribution (CC BY) license (https://creativecommons.org/licenses/by/4.0/).
Share and Cite
McReynolds, C.; Adrien, A.; Silvestre de Ferron, A.; Boussetta, N.; Grimi, N.; Pecastaing, L.; Fernandes, S.C.M. Extraction of Mycosporine-like Amino Acids and Proteins from the Agarophyte Gelidium corneum Using Pulsed Power Techniques. Foods 2023, 12, 1473. https://doi.org/10.3390/foods12071473
McReynolds C, Adrien A, Silvestre de Ferron A, Boussetta N, Grimi N, Pecastaing L, Fernandes SCM. Extraction of Mycosporine-like Amino Acids and Proteins from the Agarophyte Gelidium corneum Using Pulsed Power Techniques. Foods. 2023; 12(7):1473. https://doi.org/10.3390/foods12071473
Chicago/Turabian StyleMcReynolds, Colin, Amandine Adrien, Antoine Silvestre de Ferron, Nadia Boussetta, Nabil Grimi, Laurent Pecastaing, and Susana C. M. Fernandes. 2023. "Extraction of Mycosporine-like Amino Acids and Proteins from the Agarophyte Gelidium corneum Using Pulsed Power Techniques" Foods 12, no. 7: 1473. https://doi.org/10.3390/foods12071473
APA StyleMcReynolds, C., Adrien, A., Silvestre de Ferron, A., Boussetta, N., Grimi, N., Pecastaing, L., & Fernandes, S. C. M. (2023). Extraction of Mycosporine-like Amino Acids and Proteins from the Agarophyte Gelidium corneum Using Pulsed Power Techniques. Foods, 12(7), 1473. https://doi.org/10.3390/foods12071473

