Replacing the Addition of Sulfite in Mustard Pickle Products by High-Hydrostatic-Pressure Processing to Delay Quality Deterioration during Storage
Abstract
1. Introduction
2. Materials and Methods
2.1. Samples
2.2. HHP Technology
2.3. Storage Test
2.4. Microbiological Analysis
2.5. Appearance and Color Value
2.6. Texture
2.7. pH and TVBN Values
2.8. HTS Analysis
2.9. Statistical Analysis
3. Results and Discussion
3.1. Effects of HHP Processing on the Microbial Quality of Mustard Pickle
3.2. Effects of High Pressure on the Appearance and Color Value of Mustard Pickle
3.3. Effects of High Pressure on the Texture of the Mustard Pickle
3.4. Quality Changes of HHP-Processed Mustard Pickle Samples after Storage at 25 °C
3.4.1. Microbial Quality
3.4.2. Chemical Quality
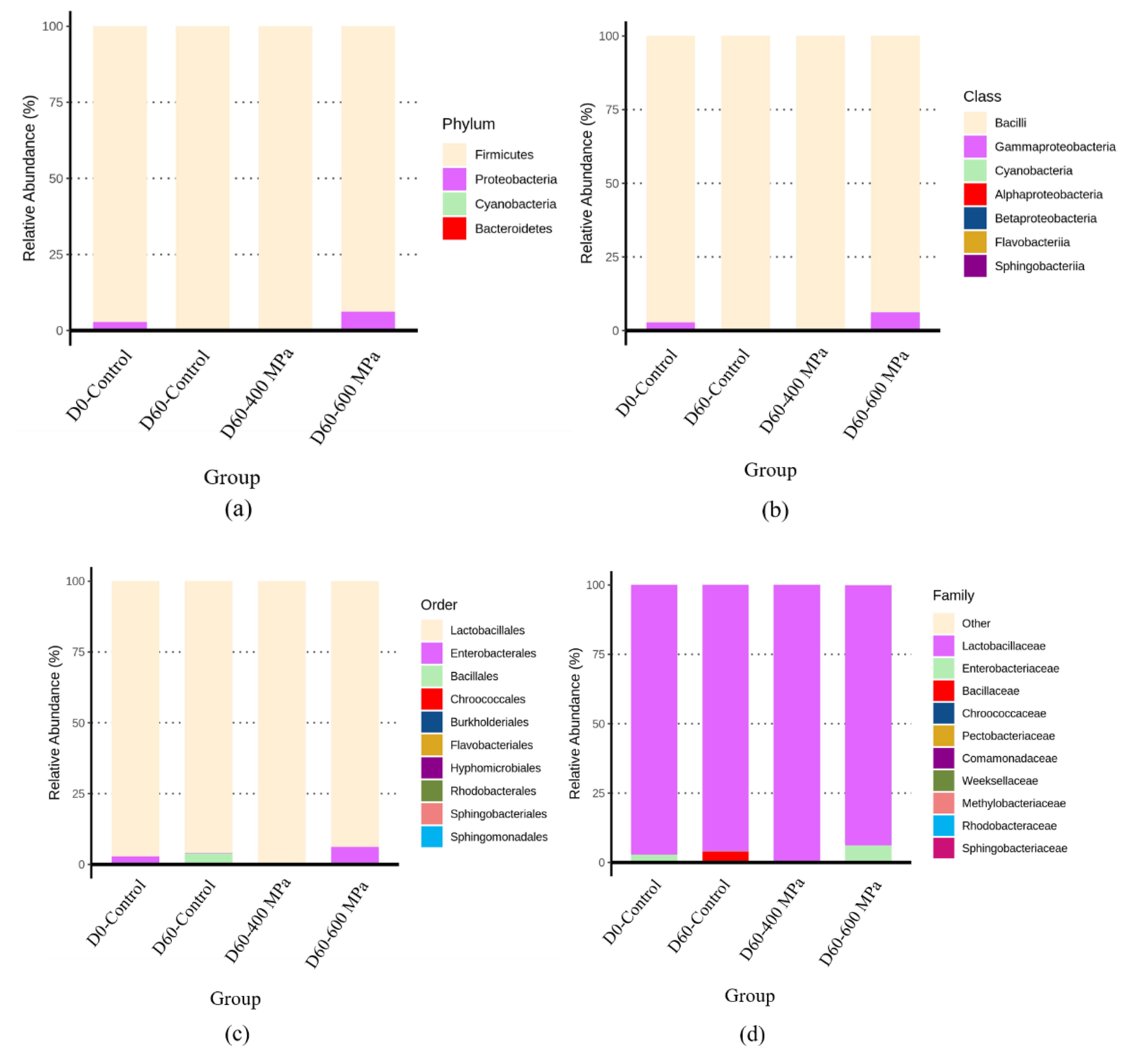
3.5. HTS Analysis of High-Pressure Samples
4. Conclusions
Author Contributions
Funding
Institutional Review Board Statement
Informed Consent Statement
Data Availability Statement
Conflicts of Interest
References
- Lee, C.S.; Fan, J.J.; Lee, H.C. Nutritional changes of mustard during pickling period. J. Chin. Agric. Chem. Soc. 1990, 28, 195–209. (In Chinese) [Google Scholar]
- Kung, H.F.; Lee, Y.H.; Teng, D.F.; Hsieh, P.C.; Wei, C.I.; Tsai, Y.H. Histamine formation by histamine-forming bacteria and yeast in mustard pickle products in Taiwan. Food Chem. 2006, 99, 579–585. [Google Scholar] [CrossRef]
- Lee, Y.C.; Hsieh, C.Y.; Chen, M.L.; Wang, C.Y.; Lin, C.S.; Tsai, Y.H. High pressure inactivation of histamine-forming bacteria Morganella morganii and Photobacterium phosphoreum. J. Food Prot. 2020, 83, 621–627. [Google Scholar] [CrossRef] [PubMed]
- Lin, C.S.; Lee, Y.C.; Kung, H.F.; Cheng, Q.L.; Ou, T.Y.; Chang, S.K.C.; Tsai, Y.H. Inactivation of microbial loads and retardation of quality loss in Asian hard clam (Meretrix lusoria) using high-hydrostatic-pressure processing during refrigerated storage. Food Control 2022, 133, 108533. [Google Scholar] [CrossRef]
- Sohn, K.H.; Lee, H.J. Effects of high pressure treatment on the quality and storage of kimchi. Int. J. Food Sci. Technol. 1998, 33, 359–365. [Google Scholar] [CrossRef]
- Park, S.Y.; Ha, J.H.; Kim, S.H.; Ha, S.D. Effects of high hydrostatic pressure on the inactivation of norovirus and quality of cabbage Kimchi. Food Control 2017, 81, 40–45. [Google Scholar] [CrossRef]
- Li, L.; Feng, L.; Yi, J.; Hua, C.; Chen, F.; Liao, X.; Wang, Z.; Hu, X. High hydrostatic pressure inactivation of total aerobic bacteria, lactic acid bacteria, yeasts in sour Chinese cabbage. Int. J. Food Microbiol. 2010, 142, 180–184. [Google Scholar] [CrossRef]
- Peñas, E.; Frias, J.; Gomez, R.; Vidal-Valverde, C. High hydrostatic pressure can improve the microbial quality of sauerkraut during storage. Food Control 2010, 21, 524–528. [Google Scholar] [CrossRef]
- Cao, R.; Zhang, J.; Meng, H.; Zhao, L.; Liu, Q. Microbial flora analysis of oyster: A comparison between traditional plate incubation method and high throughput sequencing technology. Food Sci. 2016, 37, 137–141. [Google Scholar]
- Caporaso, J.G.; Lauber, C.L.; Walters, W.A.; Berglyons, D.; Huntley, J.; Fierer, N. Ultra-high-throughput microbial community analysis on the Illumina HiSeq and MiSeq platforms. ISME J. 2012, 6, 1621–1624. [Google Scholar] [CrossRef]
- Hu, Y.; Zhang, L.; Liu, Q.; Wang, Y.; Chen, Q.; Kong, B. The potential correlation between bacterial diversity and the characteristic volatile flavour of traditional dry sausages from Northeast China. Food Microbiol. 2020, 91, 103505. [Google Scholar] [CrossRef]
- Cao, J.; Yang, J.; Hou, Q.; Xu, H.; Zheng, Y.; Zhang, H.; Zhang, L. Assessment of bacterial profiles in aged, home-made Sichuan paocai brine with varying titratable acidity by PacBio SMRT sequencing technology. Food Control 2017, 78, 14–23. [Google Scholar] [CrossRef]
- Chien, H.I.; Yen, Y.F.; Lee, Y.C.; Wei, P.C.; Huang, C.Y.; Tseng, C.H.; Yen, F.L.; Tsai, Y.H. Evaluation of microbial and chemical qualities and bacterial community in mustard pickle products, a traditional fermented vegetable in Taiwan studied using high-throughput sequencing. Biology, (Acceptance).
- Lee, Y.C.; Kung, H.F.; Chen, S.L.; Lin, C.S.; Huang, C.Y.; Arakawa, O.; Tseng, C.H.; Tsai, Y.H. Effect of high-pressure treatment on blue marlin (Makaira nigricans) quality during storage. J. Aquat. Food Prod. Technol. 2022, 31, 271–284. [Google Scholar] [CrossRef]
- Chen, H.C.; Huang, Y.R.; Hsu, H.H.; Lin, C.S.; Chen, W.C.; Lin, C.M.; Tsai, Y.H. Determination of histamine and biogenic amines in fish cubes (Tetrapturus angustirostris) implicated in a food-borne poisoning. Food Control 2010, 21, 13–18. [Google Scholar] [CrossRef]
- Cobb, B.F.; Alaniz, I.A.; Thompson, C.A. Biochemical and microbial studies on shrimp: Nitrogen and amine nitrogen analysis. J. Food Sci. 1973, 38, 431–435. [Google Scholar] [CrossRef]
- Cheftel, J.C. Review: High pressure, microbial inactivation and food preservation. Food Sci. Technol. Int. 1995, 1, 75–90. [Google Scholar] [CrossRef]
- Bao, R.; Fan, A.; Hu, X.; Liao, X.; Chen, F. Effects of high pressure processing on the quality of pickled radish during refrigerated storage. Innov. Food Sci. Emerg. Technol. 2016, 38, 206–212. [Google Scholar] [CrossRef]
- Oey, I.; Van der Plancken, I.; Van Loey, A.; Hendrickx, M. Does high pressure processing influence nutritional aspects of plant based food systems? Trends Food Sci. Technol. 2008, 19, 300–308. [Google Scholar] [CrossRef]
- Cruz-Romero, M.; Kerry, J.P.; Kelly, A.L. Changes in the microbiological and physicochemical quality of high-pressure-treated oysters (Crassostrea gigas) during chilled storage. Food Control 2008, 19, 1139–1147. [Google Scholar] [CrossRef]
- Lavinas, F.C.; Miguel, M.A.L.; Lopes, M.L.M.; Valente Mesquita, V.L. Effect of high hydrostatic pressure on cashew apple (Anacardium occidentale L.) juice preservation. J. Food Sci. 2008, 73, 273–277. [Google Scholar] [CrossRef] [PubMed]
- Chao, S.H.; Wu, R.J.; Watanabe, K.; Tsai, Y.C. Diversity of lactic acid bacteria in suan-tsai and fu-tsai, traditional fermented mustard products of Taiwan. Int. J. Food Microbiol. 2009, 135, 203–210. [Google Scholar] [CrossRef] [PubMed]
- Jeong, S.H.; Lee, S.H.; Jung, J.Y.; Choi, E.J.; Jeon, C.O. Microbial succession and Metabolite changes during long-term storage of Kimchi. J. Food Sci. 2013, 78, M763–M769. [Google Scholar] [CrossRef] [PubMed]
- Jung, J.Y.; Lee, S.H.; Kim, J.M.; Park, M.S.; Bae, J.W.; Hahn, Y.; Madsen, E.L.; Jeon, C.O. Metagenomic analysis of Kimchi, a traditional Korean fermented food. Appl. Environ. Microbiol. 2011, 77, 264–2274. [Google Scholar] [CrossRef]
- Yang, J.; Cao, J.; Xu, H.; Hou, Q.; Yu, Z.; Zhang, H.; Sun, Z. Bacterial diversity and community structure in Chongqing radish paocai technology. J. Sci. Food Agric. 2018, 98, 3234–3245. [Google Scholar] [CrossRef]






| Treatments | APC (log CFU/g) | LAB (log CFU/g) | Yeast (log CFU/g) |
|---|---|---|---|
| Control (0.1 MPa) | 6.99 ± 0.02 a,* | 6.99 ± 0.08 a | 1.41 ± 0.34 |
| 200 MPa | 6.73 ± 0.06 b | 6.56 ± 0.02 b | <1 |
| 300 MPa | 6.32 ± 0.01 c | 6.53 ± 0.12 b | <1 |
| 400 MPa | 4.23 ± 0.10 d | 4.67 ± 0.06 c | <1 |
| 500 MPa | 4.03 ± 0.19 e | 3.97 ± 0.06 d | <1 |
| 600 MPa | 3.81 ± 0.01 f | 3.75 ± 0.08 e | <1 |
| Treatments | L* | a* | b* | W | ΔE |
|---|---|---|---|---|---|
| Control (0.1 MPa) | 39.34 ± 0.12 *,d | 3.74 ± 0.62 a | 30.62 ± 1.61 a | 33.04 ± 0.19 e | - |
| 200 MPa | 42.49 ± 0.08 c | 2.96 ± 0.06 a | 28.19 ± 0.18 a | 35.16 ± 0.53 d | 6.83 ± 2.02 e |
| 300 MPa | 42.90 ± 0.05 c | 3.12 ± 0.83 a | 29.76 ± 1.11 a | 35.27 ± 0.67 d | 10.58 ± 4.68 d |
| 400 MPa | 43.57 ± 0.07 b | 2.33 ± 0.11 b | 26.33 ± 0.03 b | 38.37 ± 0.04 c | 15.41 ± 1.17 c |
| 500 MPa | 46.08 ± 0.09 a | 2.29 ± 0.03 b | 24.66 ± 0.08 b | 39.95 ± 0.07 b | 24.70 ± 1.73 b |
| 600 MPa | 46.29 ± 0.07 a | 2.09 ± 0.07 b | 21.88 ± 1.83 c | 41.95 ± 0.70 a | 45.72 ± 7.89 a |
| Treatments | Hardness (g) | Cohesiveness | Springiness (mm) | Chewiness (mJ) |
|---|---|---|---|---|
| Control (0.1 MPa) | 222.75 ± 52.56 *,d | 0.48 ± 0.05 a | 3.70 ± 0.12 a | 3.87 ± 0.08 c |
| 200 MPa | 334.33 ± 48.02 c | 0.52 ± 0.07 a | 3.84 ± 0.08 a | 6.52 ± 1.15 b |
| 300 MPa | 465.08 ± 29.56 b | 0.44 ± 0.06 a | 3.82 ± 0.08 a | 7.50 ± 0.77 b |
| 400 MPa | 471.00 ± 34.15 b | 0.51 ± 0.11 a | 3.90 ± 0.01 a | 9.08 ± 1.84 a |
| 500 MPa | 604.17 ± 82.46 a | 0.38 ± 0.03 a | 3.76 ± 0.19 a | 8.51 ± 1.49 a |
| 600 MPa | 618.80 ± 85.44 a | 0.44 ± 0.03 a | 3.73 ± 0.13 a | 9.94 ± 0.78 a |
Disclaimer/Publisher’s Note: The statements, opinions and data contained in all publications are solely those of the individual author(s) and contributor(s) and not of MDPI and/or the editor(s). MDPI and/or the editor(s) disclaim responsibility for any injury to people or property resulting from any ideas, methods, instructions or products referred to in the content. |
© 2023 by the authors. Licensee MDPI, Basel, Switzerland. This article is an open access article distributed under the terms and conditions of the Creative Commons Attribution (CC BY) license (https://creativecommons.org/licenses/by/4.0/).
Share and Cite
Chien, H.-I.; Lee, Y.-C.; Yen, Y.-F.; Wei, P.-C.; Hwang, C.-C.; Kuo, C.-H.; Yen, F.-L.; Tsai, Y.-H. Replacing the Addition of Sulfite in Mustard Pickle Products by High-Hydrostatic-Pressure Processing to Delay Quality Deterioration during Storage. Foods 2023, 12, 317. https://doi.org/10.3390/foods12020317
Chien H-I, Lee Y-C, Yen Y-F, Wei P-C, Hwang C-C, Kuo C-H, Yen F-L, Tsai Y-H. Replacing the Addition of Sulfite in Mustard Pickle Products by High-Hydrostatic-Pressure Processing to Delay Quality Deterioration during Storage. Foods. 2023; 12(2):317. https://doi.org/10.3390/foods12020317
Chicago/Turabian StyleChien, Hung-I, Yi-Chen Lee, Yu-Fan Yen, Pi-Chen Wei, Chiu-Chu Hwang, Chia-Hung Kuo, Feng-Lin Yen, and Yung-Hsiang Tsai. 2023. "Replacing the Addition of Sulfite in Mustard Pickle Products by High-Hydrostatic-Pressure Processing to Delay Quality Deterioration during Storage" Foods 12, no. 2: 317. https://doi.org/10.3390/foods12020317
APA StyleChien, H.-I., Lee, Y.-C., Yen, Y.-F., Wei, P.-C., Hwang, C.-C., Kuo, C.-H., Yen, F.-L., & Tsai, Y.-H. (2023). Replacing the Addition of Sulfite in Mustard Pickle Products by High-Hydrostatic-Pressure Processing to Delay Quality Deterioration during Storage. Foods, 12(2), 317. https://doi.org/10.3390/foods12020317

