Development and Validation of Benzophenone Derivatives in Packaged Cereal-Based Foods by Solid–Liquid Extraction and Ultrahigh-Performance Liquid Chromatography–Tandem Mass Spectrometry
Abstract
:1. Introduction
2. Materials and Methods
2.1. Reagents and Chemicals
2.2. Packaged Sample Collection and Preparation
2.3. Preparation of Standards
2.4. Analysis of UHPLC–MS/MS Method
2.5. Pretreatment Approaches
2.6. Method Validation
2.7. Statistical Analysis
3. Results and Discussion
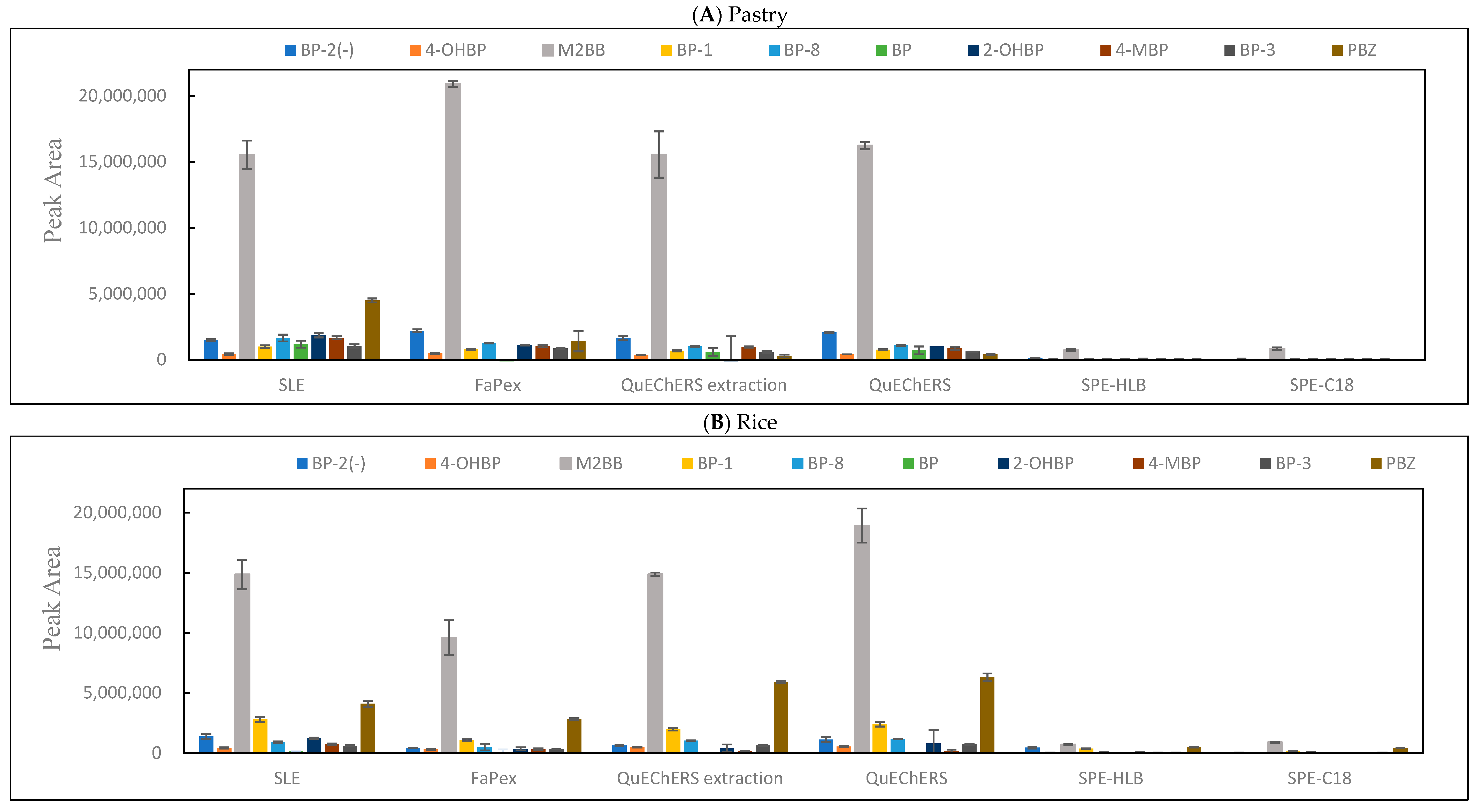
3.1. Selection of Sample Pretreatment Method
3.2. Method Validation
3.3. Applications of Samples of Popular Food Products in the Taiwanese Market
4. Conclusions
Supplementary Materials
Author Contributions
Funding
Institutional Review Board Statement
Informed Consent Statement
Data Availability Statement
Conflicts of Interest
References
- Laskowski, W.; Górska-Warsewicz, H.; Rejman, K.; Czeczotko, M.; Zwolińska, J. How Important are Cereals and Cereal Products in the Average Polish Diet? Nutrients 2019, 11, 679. [Google Scholar] [CrossRef] [PubMed] [Green Version]
- Seal, C.J.; Brownlee, I.A. Whole-grain foods and chronic disease: Evidence from epidemiological and intervention studies. Proc. Nutr. Soc. 2015, 74, 313–319. [Google Scholar] [CrossRef] [PubMed] [Green Version]
- Aune, D.; Keum, N.; Giovannucci, E.; Fadnes, L.T.; Boffetta, P.; Greenwood, D.C.; Tonstad, S.; Vatten, L.J.; Riboli, E.; Norat, T. Whole grain consumption and risk of cardiovascular disease, cancer, and all cause and cause specific mortality: Systematic review and dose-response meta-analysis of prospective studies. BMJ 2016, 353, i2716. [Google Scholar] [CrossRef] [PubMed] [Green Version]
- Suzuki, T.; Kitamura, S.; Khota, R.; Sugihara, K.; Fujimoto, N.; Ohta, S. Estrogenic and antiandrogenic activities of 17 benzophenone derivatives used as UV stabilizers and sunscreens. Toxicol. Appl. Pharmacol. 2005, 203, 9–17. [Google Scholar] [CrossRef]
- Benzophenon, I.A.R.C. Some Chemicals Present in Industrial and Consumer Products, Food and Drinking-Water; International Agency for Research on Cancer: Lyon, France, 2013; pp. 285–301.
- Jiménez-Díaz, I.; Zafra-Gómez, A.; Ballesteros, O.; Navalón, A. Analytical methods for the determination of personal care products in human samples: An overview. Talanta 2014, 129, 448–458. [Google Scholar] [CrossRef]
- Hayden, C.G.; Roberts, M.S. Systemic absorption of sunscreen after topical application. Lancet 1997, 350, 863–864. [Google Scholar] [CrossRef]
- Wang, L.; Asimakopoulos, A.G.; Moon, H.B.; Nakata, H.; Kannan, K. Benzotriazole, benzothiazole, and benzophenone compounds in indoor dust from the United States and East Asian countries. Environ. Sci. Technol. 2013, 47, 4752–4759. [Google Scholar] [CrossRef]
- Tsochatzis, E.D.; Lopes, J.A.; Hoekstra, E.; Emons, H. Development and validation of a multi-analyte GC-MS method for the determination of 84 substances from plastic food contact materials. Anal. Bioanal. Chem. 2020, 412, 5419–5434. [Google Scholar] [CrossRef]
- Ibarra, V.G.; de Quirós, A.R.B.; Losada, P.P.; Sendón, R. Identification of intentionally and non-intentionally added substances in plastic packaging materials and their migration into food products. Anal. Bioanal. Chem. 2018, 410, 3789–3803. [Google Scholar] [CrossRef]
- EFSA. EFSA statement on the presence of 4-methylbenzophenone found in breakfast cereals. EFSA J. 2009, 7, 243r. [Google Scholar]
- European Commission. Commission Regulation (EU) No 10/2011 of 14 January 2011 on plastic materials and articles intended to come into contact with food Text with EEA relevance. Off. J. Eur. Union 2011, 45, 42–130. [Google Scholar]
- Darbre, P.D. The history of endocrine-disrupting chemicals. Curr. Opin. Endocr. Metab. Res. 2019, 7, 26–33. [Google Scholar] [CrossRef]
- Huang, Y.; Law, J.C.F.; Lam, T.K.; Leung, K.S.Y. Risks of organic UV filters: A review of environmental and human health concern studies. Sci. Total Environ. 2021, 755, 142486. [Google Scholar] [CrossRef] [PubMed]
- Kim, S.; Choi, K. Occurrences, toxicities, and ecological risks of benzophenone-3, a common component of organic sunscreen products: A mini-review. Environ. Int. 2014, 70, 143–157. [Google Scholar] [CrossRef]
- Long, J.; Xia, W.; Li, J.; Zhou, Y.; Zhao, H.; Wu, C.; Liao, J.; Jiang, Y.; Li, C.; Li, Y. Maternal urinary benzophenones and infant birth size: Identifying critical windows of exposure. Chemosphere 2019, 219, 655–661. [Google Scholar] [CrossRef]
- Teiri, H.; Samaei, M.R.; Dehghani, M.; Azhdarpoor, A.; Hajizadeh, Y.; Mohammadi, F.; Kelishadi, R. The association of prenatal exposure to benzophenones with gestational age and offspring size at birth. Environ. Sci. Pollut. Res. 2021, 1–14. [Google Scholar] [CrossRef]
- NTP. Toxicology and carcinogenesis studies of benzophenone (CAS No. 119-61-9) in F344/N rats and B6C3F1 mice (feed studies). Natl. Toxicol. Program Tech. Rep. Ser. 2006, 533, 1–264. [Google Scholar]
- Anderson, W.A.; Castle, L. Benzophenone in cartonboard packaging materials and the factors that influence its migration into food. Food Addit Contam. 2003, 20, 607–618. [Google Scholar] [CrossRef]
- Bradley, E.L.; Stratton, J.S.; Leak, J.; Lister, L.; Castle, L. Printing ink compounds in foods: UK survey results. Food Addit. Contam. Part B Surveill. 2013, 6, 73–83. [Google Scholar] [CrossRef]
- Bugey, A.; Janin, Y.; Edder, P.; Bieri, S. Targeted multidimensional gas chromatography using a heart-cutting device and cryogenic focusing for the determination of benzophenone derivatives in foodstuffs. Anal. Bioanal. Chem. 2013, 405, 4177–4185. [Google Scholar] [CrossRef]
- Gallart-Ayala, H.; Nunez, O.; Moyano, E.; Galceran, M.T. Analysis of UV ink photoinitiators in packaged food by fast liquid chromatography at sub-ambient temperature coupled to tandem mass spectrometry. J. Chromatogr. A 2011, 1218, 459–466. [Google Scholar] [CrossRef] [PubMed] [Green Version]
- Jung, T.; Simat, T.J.; Altkofer, W.; Fugel, D. Survey on the occurrence of photo-initiators and amine synergists in cartonboard packaging on the German market and their migration into the packaged foodstuffs. Food Addit. Contam. Part A Chem. Anal. Control Expo. Risk Assess. 2013, 30, 1993–2016. [Google Scholar] [CrossRef] [PubMed]
- Van Den Houwe, K.; Van De Velde, S.; Evrard, C.; Van Hoeck, E.; Van Loco, J.; Bolle, F. Evaluation of the migration of 15 photo-initiators from cardboard packaging into Tenax® using ultra-performance liquid chromatography-tandem mass spectrometry (UPLC-MS/MS). Food Addit. Contam. Part A 2014, 31, 767–775. [Google Scholar] [CrossRef] [PubMed]
- Van Den Houwe, K.; Van Heyst, A.; Evrard, C.; Van Loco, J.; Bolle, F.; Lynen, F.; Van Hoeck, E. Migration of 17 Photoinitiators from Printing Inks and Cardboard into Packaged Food - Results of a Belgian Market Survey. Packag. Technol. Sci. 2016, 29, 121–131. [Google Scholar] [CrossRef]
- Chang, H.C.; Chen, Y.J.; Chang, M.H.; Liao, C.D.; Kao, Y.M.; Wang, D.Y.; Cheng, H.F. Novel multi-analyte method for detection of thirty photoinitiators in breakfast cereal and packaged juice. J. Chromatogr. B Analyt. Technol. Biomed. Life Sci. 2019, 1130–1131, 121788. [Google Scholar] [CrossRef] [PubMed]
- Huang, Y.F.; Chien, J.T.; Chen, H.C.; Liu, X.R.; Chang, J.P.; Huang, J.J. Rapid determination of benzophenone derivatives in cereals using FaPEx coupled with ultra–high-performance liquid chromatography–tandem mass spectrometry. J. Food Drug Anal. 2021, 29, 287–302. [Google Scholar] [CrossRef]
- Huang, Y.F.; Chang, J.P.; Chen, H.C.; Huang, Y.M. Simultaneous trace analysis of 10 benzophenone-type ultraviolet filters in fish through liquid chromatography–tandem mass spectrometry. Environ. Pollut. 2021, 286, 117306. [Google Scholar] [CrossRef]
- Chuang, W.C.; Chen, J.W.; Huang, C.H.; Shyu, T.H.; Lin, S.K. FaPEx® Multipesticide Residues Extraction Kit for Minimizing Sample Preparation Time in Agricultural Produce. J. AOAC Int. 2019, 102, 1864–1876. [Google Scholar] [CrossRef]
- Malachová, A.; Stránská, M.; Václavíková, M.; Elliott, C.T.; Black, C.; Meneely, J.; Hajšlová, J.; Ezekiel, C.N.; Schuhmacher, R.; Krska, R. Advanced LC–MS-based methods to study the co-occurrence and metabolization of multiple mycotoxins in cereals and cereal-based food. Anal. Bioanal. Chem. 2018, 410, 801–825. [Google Scholar] [CrossRef] [Green Version]
- Alimentarius. UC Guidelines on Performance Criteria for Methods of Analysis for the Determination of Pesticide Residues in Food and Feed. CXG90-2017. 2017. Available online: https://www.fao.org/fao-who-codexalimentarius/thematic-areas/pesticides/en/ (accessed on 1 April 2022).
- Pastorelli, S.; Sanches-Silva, A.; Cruz, J.M.; Simoneau, C.; Losada, P.P. Study of the migration of benzophenone from printed paperboard packages to cakes through different plastic films. Eur. Food Res. Technol. 2008, 227, 1585–1590. [Google Scholar] [CrossRef]
- De Quirós, A.R.-B.; Paseiro-Cerrato, R.; Pastorelli, S.; Koivikko, R.; Simoneau, C.; Paseiro-Losada, P. Migration of Photoinitiators by Gas Phase into Dry Foods. J. Agric. Food Chem. 2009, 57, 10211–10215. [Google Scholar] [CrossRef] [PubMed]
- Koivikko, R.; Pastorelli, S.; Rodriguez-Bernaldo de Quiros, A.; Paseiro-Cerrato, R.; Paseiro-Losada, P.; Simoneau, C. Rapid multi-analyte quantification of benzophenone, 4-methylbenzophenone and related derivatives from paperboard food packaging. Food Addit. Contam. Part A Chem. Anal. Control Expo. Risk Assess. 2010, 27, 1478–1486. [Google Scholar] [CrossRef] [PubMed]
- Liu, X.R.; Huang, Y.F.; Huang, J.J. Identification of Benzophenone Analogs in Rice Cereal through Fast Pesticide Extraction and Ultrahigh-Performance Liquid Chromatography-Tandem Mass Spectrometry. Foods 2022, 11, 572. [Google Scholar] [CrossRef] [PubMed]




| Mass Spectrometer | Triple Quadrupole Shimadzu Tandem MS (Shimadzu-8045) | ||||||
|---|---|---|---|---|---|---|---|
| Ionization | Electrospray Ionization | ||||||
| Analyte Standards | MRM Iransition Ion (m/z) | Analyte SIL-Intenal Standards | MRM Transition Ion (m/z) | ||||
| Precursor Ion | Quantitated Ion (CE1, V) | Qualified Ion (CE2, V) | Precursor Ion | Quantitated Ion (CE1, V) | Qualified Ion (CE2, V) | ||
| BP-2 | [M − H]− 245.0 | 135.0 (12) | 109.0 (16) | d4-4OHBP | [M − H]+ 203.1 | 125.2 (23) | 105.10 (23) |
| 4-OHBP | [M − H]+ 199.0 | 121.1 (10) | 77.1 (10) | ||||
| M2BB | [M − H]+ 240.3 | 209.1 (17) | 152.0 (17) | ||||
| BP-1 | [M − H]+ 214.9 | 137.0 (23) | 105.0 (15) | d5-BP1 | [M − H]+ 220.1 | 137.0 (25) | 138.0 (25) |
| BP-8 | [M − H]+ 245.0 | 121.1 (13) | 151.0 (13) | d3-BP-8 | [M − H]+ 248.1 | 121.1 (28) | 154.1 (30) |
| BP | [M − H]+ 183.0 | 105.1 (19) | 77.2 (19) | d5-BP | [M − H]+ 188.1 | 105.1 (21) | 110.1 (22) |
| 2-OHBP | [M − H]+ 199.2 | 121.0 (11) | 93.0 (11) | 13C6-di-OHBP | [M − H]+ 221.0 | 137.0 (11) | 81.0 (24) |
| 4-MBP | [M − H]+ 197.0 | 105.1 (21) | 77.1 (10) | d3-4-MBP | [M − H]+ 200.2 | 105.1 (12) | 77.1 (12) |
| BP-3 | [M − H]+ 229.0 | 151.1 (25) | 105.1 (11) | d5-BP3 | [M − H]+ 234.1 | 151.0 (27) | 81.9 (26) |
| PBZ | [M − H]+ 259.0 | 105.0 (10) | 77.1 (29) | ||||
| Analytes | Pastry | ||||||
|---|---|---|---|---|---|---|---|
| Calibration Curve in Matrix-Matched | R2 | Calibration Curve in Solvent | R2 | Matrix Effect (%) | LOD (ng/g) | LOQ (ng/g) | |
| BP | y = 0.0933x − 0.0439 | 0.998 | y = 0.0963x − 0.1109 | 0.999 | 97 | 1.25 | 4.17 |
| BP-1 | y = 0.0585x − 0.0447 | 0.997 | y = 0.0509x − 0.0321 | 0.999 | 115 | 0.11 | 0.36 |
| BP-2 | y = 0.1406x − 0.0584 | 0.997 | y = 0.0898x + 0.0012 | 0.996 | 157 | 0.01 | 0.02 |
| BP-3 | y = 0.0651x + 0.0029 | 0.999 | y = 0.0673x − 0.0377 | 0.998 | 97 | 0.23 | 0.77 |
| BP-8 | y = 0.0807x + 0.028 | 0.999 | y = 0.0913x − 0.1022 | 0.999 | 88 | 0.20 | 0.65 |
| 2-OHBP | y = 0.0479x − 0.0016 | 0.996 | y = 0.0569x − 0.0855 | 0.998 | 84 | 0.40 | 2.00 |
| 4-OHBP | y = 0.0897x − 0.0721 | 0.999 | y = 0.1234x + 0.0056 | 0.997 | 73 | 0.08 | 0.26 |
| M2BB | y = 1.2919x + 0.6299 | 0.996 | y = 1.3811x − 0.2572 | 0.998 | 94 | 0.34 | 1.12 |
| 4-MBP | y = 0.0172x − 0.0011 | 0.999 | y = 0.0172x − 0.0034 | 0.999 | 100 | 0.40 | 1.60 |
| PBZ | y = 0.0419x − 0.1124 | 0.997 | y = 0.0268x − 0.0251 | 0.996 | 156 | 0.20 | 0.40 |
| Analytes | Rice | Noodle | ||||||||||||
|---|---|---|---|---|---|---|---|---|---|---|---|---|---|---|
| Calibration Curve in Matrix-Matched | R2 | Calibration Curve in Solvent | R2 | Matrix Effect (%) | LOD (ng/g) | LOQ (ng/g) | Calibration Curve in Matrix-Matched | R2 | Calibration Curve in Solvent | R2 | Matrix Effect (%) | LOD (ng/g) | LOQ (ng/g) | |
| BP | y= 0.555 + 0.261x | 0.999 | y = 0.093 + 0.304x | 0.999 | 82 | 0.04 | 0.4 | y = 0.755 + 0.255x | 0.996 | y = −0.184 + 0.377x | 0.999 | 115 | 0.04 | 0.4 |
| BP-1 | y = −0.050 + 0.169x | 0.999 | y = 0.066 + 0.152x | 0.999 | 81 | 0.1 | 0.4 | y = 0.460 + 0.166x | 0.996 | y = −0.060 + 0.172x | 0.999 | 83 | 0.1 | 0.4 |
| BP-2 | y = 0.048 + 0.278x | 0.999 | y = −0.194 + 0.140x | 0.995 | 60 | 0.01 | 0.02 | y = 0.410 + 0.215x | 0.997 | y = 0.190 + 0.074x | 0.996 | 26 | 0.01 | 0.02 |
| BP-3 | y = 0.062 + 0.217x | 0.999 | y = 0.077 + 0.212x | 0.999 | 76 | 0.03 | 0.04 | y = 0.391 + 0.192x | 0.997 | y = −0.045 + 0.275x | 0.999 | 114 | 0.01 | 0.02 |
| BP-8 | y = 0.038 + 0.194x | 0.999 | y = 0.067 + 0.301x | 0.999 | 96 | 0.04 | 0.3 | y = 0.319 + 0.165x | 0.996 | y = 0.079 + 0.295x | 0.998 | 138 | 0.03 | 0.3 |
| 2-OHBP | y = 0.011 + 0.077x | 0.998 | y = −0.006 + 0.116x | 0.999 | 100 | 0.02 | 0.4 | y = 0.429 + 0.090x | 0.997 | y = −0.096 + 0.092x | 0.998 | 44 | 0.04 | 0.4 |
| 4-OHBP | y = 0.088 + 0.185x | 0.999 | y = 0.130 + 0.157x | 0.998 | 81 | 0.3 | 1 | y = 0.206 + 0.134x | 0.999 | y = −0.074 + 0.142x | 0.995 | 103 | 0.3 | 1 |
| M2BB | y = −0.068 + 0.737x | 0.999 | y = 1.223 + 0.524x | 0.995 | 71 | 1 | 2 | y = −0.748 + 0.498x | 0.999 | y = 0.087 + 0.488x | 0.996 | 127 | 1 | 2 |
| 4-MBP | y = 0.008 + 0.090x | 0.999 | y = 0.044 + 0.073x | 0.999 | 55 | 0.01 | 0.4 | y = 0.021 + 0.192x | 0.997 | y = 0.250 + 0.191x | 0.999 | 54 | 0.01 | 0.4 |
| PBZ | y = −0.035 + 0.047x | 0.998 | y = −0.030 + 0.084x | 0.999 | 106 | 0.03 | 0.3 | y = 0.155 + 0.022x | 0.996 | y = −0.013 + 0.055x | 0.998 | 113 | 0.1 | 0.4 |
| Analyte/ Spiked Levels (ng/g) | Pastry | Rice | Noodle | |||||||||||||||
|---|---|---|---|---|---|---|---|---|---|---|---|---|---|---|---|---|---|---|
| Within-Run (n = 5) | Between-Run (n = 15) | Within-Run (n = 5) | Between-Run (n = 15) | Within-Run (n = 5) | Between-Run (n = 15) | |||||||||||||
| 4 | 40 | 80 | 4 | 40 | 80 | 0.4 | 4 | 40 | 0.4 | 4 | 40 | 0.4 | 4 | 40 | 0.4 | 4 | 40 | |
| BP | 88 | 110 | 90 | 86 | 117 | 90 | 84 | 86 | 98 | 87 | 94 | 97 | 114 | 104 | 104 | 106 | 100 | 102 |
| BP-1 | 52 | 115 | 115 | 47 | 120 | 121 | 118 | 91 | 88 | 117 | 93 | 89 | 105 | 97 | 108 | 111 | 98 | 110 |
| BP-2 | 120 | 134 | 148 | 111 | 130 | 142 | 89 | 71 | 76 | 89 | 70 | 80 | 119 | 118 | 115 | 117 | 113 | 115 |
| BP-3 | 76 | 96 | 82 | 74 | 97 | 82 | 113 | 89 | 87 | 110 | 91 | 87 | 122 | 109 | 105 | 128 | 105 | 105 |
| BP-8 | 58 | 89 | 73 | 58 | 90 | 75 | 122 | 91 | 88 | 123 | 92 | 87 | 122 | 108 | 97 | 130 | 112 | 92 |
| 2-OHBP | 100 | 89 | 82 | 99 | 89 | 82 | 92 | 81 | 88 | 100 | 85 | 90 | 98 | 88 | 81 | 94 | 80 | 73 |
| 4-OHBP | 131 | 72 | 73 | 134 | 73 | 73 | 94 | 95 | 104 | 98 | 94 | 101 | 118 | 115 | 87 | 126 | 118 | 77 |
| M2BB | 123 | 104 | 97 | 123 | 106 | 112 | 110 | 75 | 77 | 102 | 80 | 74 | 145 | 103 | 97 | 152 | 104 | 94 |
| 4-MBP | 130 | 116 | 85 | 131 | 115 | 88 | 125 | 88 | 81 | 128 | 89 | 83 | 98 | 116 | 113 | 102 | 126 | 115 |
| PBZ | 146 | 51 | 45 | 150 | 50 | 44 | 111 | 104 | 75 | 109 | 115 | 73 | 98 | 88 | 75 | 106 | 86 | 96 |
| Analyte/ Spiked Levels (ng/g) | Pastry | Rice | Noodle | |||||||||||||||
|---|---|---|---|---|---|---|---|---|---|---|---|---|---|---|---|---|---|---|
| Within-Run (n =5) | Between-Run (n = 15) | Within-Run (n = 5) | Between-Run (n = 15) | Within-Run (n = 5) | Between-Run (n =1 5) | |||||||||||||
| 4 | 40 | 80 | 4 | 40 | 80 | 0.4 | 4 | 40 | 0.4 | 4 | 40 | 0.4 | 4 | 40 | 0.4 | 4 | 40 | |
| BP | 7 | 11 | 9 | 10 | 18 | 12 | 29 | 7 | 5 | 22 | 10 | 5 | 13 | 6 | 6 | 15 | 9 | 4 |
| BP-1 | 4 | 2 | 3 | 6 | 5 | 7 | 3 | 2 | 5 | 7 | 2 | 4 | 8 | 3 | 3 | 10 | 5 | 3 |
| BP-2 | 2 | 2 | 3 | 7 | 10 | 9 | 2 | 11 | 16 | 9 | 15 | 16 | 13 | 11 | 6 | 11 | 9 | 10 |
| BP-3 | 2 | 4 | 2 | 5 | 6 | 4 | 1 | 3 | 3 | 5 | 4 | 2 | 7 | 1 | 1 | 6 | 6 | 1 |
| BP-8 | 4 | 3 | 1 | 4 | 4 | 6 | 3 | 2 | 1 | 2 | 1 | 3 | 5 | 4 | 4 | 6 | 9 | 5 |
| 2-OHBP | 5 | 2 | 3 | 9 | 11 | 13 | 10 | 8 | 14 | 11 | 9 | 18 | 5 | 9 | 19 | 8 | 13 | 18 |
| 4-OHBP | 7 | 4 | 5 | 11 | 6 | 6 | 5 | 1 | 12 | 8 | 3 | 9 | 26 | 6 | 8 | 16 | 10 | 13 |
| M2BB | 4 | 6 | 5 | 7 | 8 | 16 | 12 | 20 | 16 | 19 | 20 | 18 | 8 | 7 | 3 | 7 | 9 | 6 |
| 4-MBP | 3 | 2 | 3 | 5 | 3 | 6 | 2 | 10 | 7 | 4 | 6 | 7 | 3 | 5 | 2 | 7 | 21 | 2 |
| PBZ | 8 | 6 | 7 | 15 | 11 | 11 | 12 | 10 | 20 | 9 | 13 | 16 | 18 | 6 | 14 | 25 | 28 | 19 |
| Analytes | Country | Matrix | Analytical Methods | LOD/LOQ; Recovery (%) | Range (ng/g) | References |
|---|---|---|---|---|---|---|
| BP | UK | Food packaged in printed cardboard boxes, including cakes, burgers, rice | SLE with ACN and dichloromethane (DCM)–GC–MS | 10/50 ng/mL | 180–2000 | Anderson et al. [19] |
| BP PBZ | Spain | Packaged baby food (cereals) | QuEChERS–HPLC–MS/MS | –/2.3 ng/g; Re = 97% –/0.7 ng/g; Re = 88% | Cereals: BP <LOD-40 PBZ: ND | Gallart et al. [22] |
| BP 4-MBP 4-OHBP | Germany | Cake, cookies cereals, couscous, noodles | SLE with ACN–HPLC–MS/MS | 38/113 ng/g; Re = 94% 2.5/7.5 ng/g; Re = 89% 2.5/7.5 ng/g: Re = 86% | Cakes: BP:59, 4-MBP:13; noodles: BP:15; couscous: BP:867-1559 | Jung et al. [23] |
| BP | UK | Cakes, cereals, sandwiches, burgers, snacks | SLE with ACN and DCM–GC–MS | NA | Cakes: <LOD-439 | Bradley et al. [20] |
| BP | Switzerland | Cereal-based foods packaged in a cardboard box | PLE –GC–MS | –/60 ng/g; Re = 96–112% | 5–7 × 106 | Bugey et al. [21] |
| BP 4-MBP | Belgium | Breadcrumbs, rice, pasta, cereals | SLE with ACN–UPLC–MS/MS | 31/94 ng/g; Re = 87% 13/13 ng/g; Re = 92% | BP in breadcrumbs 5.2 and rice 3.6 | Van Den Houwe et al. [24] |
| BP, 4-MBP 4-OHBP | Belgium | Cardboard-packaged dry foods (cereals, bread crumbs, pasta, rice) | SLE with ACN–SPE(HLB)–UPLC–MS/MS | BP, 4-MBP: 4/10 ng/g 4-OHBP: 0.1/0.6 ng/g | BP <4–20 | Van Den Houwe et al. [25] |
| BP | Spain | Plastic-packaged foods (cakes, cookies, snacks) | SLE with ACN–GC–MS | 10/250 ng/mL; Re = 85–115% | Cakes <10–54 | Ibarra et al. [10] |
| 9PIs: BP, 4-MBP, 2-OHBP | Taiwan | Cereals | QuEChERS–UPLC–MS/MS | LOD: 20, 10, 40 ng/g; Re = 84–123% | <LOD | Chang et al. [26] |
| BP and nine BPs | Taiwan | Cereals of oatmeal and corn flakes | FaPEx–UHPLC–MS/MS | 0.001–0.3/0.03–0.8 ng/g; Re = 79–121% | BP:14–1084;4-MBP:1–66; BP-3: 0.1–8 | Huang et al. [27] |
| BP and nine BPs | Taiwan | Pastries, rice, noodles | SLE with ACN–UHPLC–MS/MS | 0.01–1.3/0.02–4.2 ng/g; Re = 44–150%, 70–128%, 73–152% | BP: 0.4–115; BP-1: 0.6–3; BP-3: 0.4–85; 2-OHBP: 0.5–25; 4-MBP:0.4–14.4 | This study |
| Analytes | Pastry (n = 25) | Rice (n = 50) | Noodle (n = 10) | p-Value a | ||||||
|---|---|---|---|---|---|---|---|---|---|---|
| DR (%) | Mean (SD) | Range | DR (%) | Mean (SD) | Range | DR (%) | Mean (SD) | Range | ||
| BP | 100 | 26.8 (32.6) | 1.8–115.4 | 92 | 1.2 (2.0) | 0.4–13.4 | 50 | 0.7 (0.7) | 0.4–1.9 | <0.0001 |
| BP-1 | 76 | 1.6 (0.7) | 0.6–2.7 | 2 | 0.9 | – | 0.67 | |||
| BP-3 | 32 | 21.6 (37.6) | 0.4–85.3 | |||||||
| 2-OHBP | 56 | 6.9 (6.4) | 0.7–23.0 | 38 | 0.8 (3.6) | 0.5–25.3 | <0.0001 | |||
| 4-OHBP | 4 | 1.5 | – | 10 | 1.4 | – | ||||
| 4-MBP | 100 | 5.1 (4.2) | 0.5–14.4 | 16 | 0.1 (0.2) | 0.4–0.9 | 0.0001 | |||
Publisher’s Note: MDPI stays neutral with regard to jurisdictional claims in published maps and institutional affiliations. |
© 2022 by the authors. Licensee MDPI, Basel, Switzerland. This article is an open access article distributed under the terms and conditions of the Creative Commons Attribution (CC BY) license (https://creativecommons.org/licenses/by/4.0/).
Share and Cite
Huang, Y.-F.; Huang, J.-J.; Liu, X.-R. Development and Validation of Benzophenone Derivatives in Packaged Cereal-Based Foods by Solid–Liquid Extraction and Ultrahigh-Performance Liquid Chromatography–Tandem Mass Spectrometry. Foods 2022, 11, 1362. https://doi.org/10.3390/foods11091362
Huang Y-F, Huang J-J, Liu X-R. Development and Validation of Benzophenone Derivatives in Packaged Cereal-Based Foods by Solid–Liquid Extraction and Ultrahigh-Performance Liquid Chromatography–Tandem Mass Spectrometry. Foods. 2022; 11(9):1362. https://doi.org/10.3390/foods11091362
Chicago/Turabian StyleHuang, Yu-Fang, Jun-Jie Huang, and Xuan-Rui Liu. 2022. "Development and Validation of Benzophenone Derivatives in Packaged Cereal-Based Foods by Solid–Liquid Extraction and Ultrahigh-Performance Liquid Chromatography–Tandem Mass Spectrometry" Foods 11, no. 9: 1362. https://doi.org/10.3390/foods11091362
APA StyleHuang, Y.-F., Huang, J.-J., & Liu, X.-R. (2022). Development and Validation of Benzophenone Derivatives in Packaged Cereal-Based Foods by Solid–Liquid Extraction and Ultrahigh-Performance Liquid Chromatography–Tandem Mass Spectrometry. Foods, 11(9), 1362. https://doi.org/10.3390/foods11091362

