Next Article in Journal
Influence of Varying Fermentation Parameters of the Yeast Strain Cyberlindnera saturnus on the Concentrations of Selected Flavor Components in Non-Alcoholic Beer Focusing on (E)-β-Damascenone
Previous Article in Journal
Optimization of High-Pressure-Assisted Extraction of Cadmium and Lead from Kelp (Laminaria japonica) Using Response Surface Methodology
 
 
Font Type:
Arial Georgia Verdana
Font Size:
Aa Aa Aa
Line Spacing:
Column Width:
Background:
Article

Quantitative Risk Assessment of Bacillus cereus Growth during the Warming of Thawed Pasteurized Human Banked Milk Using a Predictive Mathematical Model

1
Tissue Bank, University Hospital Hradec Králové, 500 05 Hradec Králové, Czech Republic
2
Department of Histology and Embryology, Faculty of Medicine in Hradec Králové, Charles University, 500 03 Hradec Králové, Czech Republic
3
Food Research Institute Prague, 102 00 Prague, Czech Republic
4
Department of Clinical Microbiology, University Hospital Hradec Králové, 500 05 and Faculty of Medicine in Hradec Králové, Charles University, 500 03 Hradec Králové, Czech Republic
5
Department of Hospital Hygiene, University Hospital Hradec Králové, 500 05 Hradec Králové, Czech Republic
6
Department of Pediatrics, University Hospital Hradec Králové, 500 05 Hradec Králové, Czech Republic
7
Department of Obstetrics and Gynecology, University Hospital Hradec Králové, 500 05 Hradec Králové, Czech Republic
*
Author to whom correspondence should be addressed.
Foods 2022, 11(7), 1037; https://doi.org/10.3390/foods11071037
Submission received: 3 March 2022 / Revised: 28 March 2022 / Accepted: 1 April 2022 / Published: 2 April 2022
(This article belongs to the Section Dairy)

Abstract

Bacillus cereus is relatively resistant to pasteurization. We assessed the risk of B. cereus growth during warming and subsequent storage of pasteurized banked milk (PBM) in the warmed state using a predictive mathematical model. Holder pasteurization followed by storage below −18 °C was used. Temperature maps, water activity values, and B. cereus growth in artificially inoculated PBM were obtained during a simulation of manipulation of PBM after its release from a Human Milk Bank. As a real risk level, we chose a B. cereus concentration of 100 CFU/mL; the risk was assessed for three cases: 1. For an immediate post-pasteurization B. cereus concentration below 1 CFU/mL (level of detection); 2. For a B. cereus concentration of 10 CFU/mL, which is allowed in some countries; 3. For a B. cereus concentration of 50 CFU/mL, which is approved for milk formulas. In the first and second cases, no risk was detected after 1 h of storage in the warmed state, while after 2 h of storage, B. cereus concentrations of 102 CFU/mL were occasionally encountered. In the third case, exceeding the B. cereus concentration of 102 CFU/mL could be regularly expected after 2 h of storage. Based on these results, we recommend that post-pasteurization bacteriological analysis be performed as recommended by the European Milk Bank Association (EMBA) and using warmed PBM within 1 h after warming (no exceptions).

Graphical Abstract

1. Introduction

Over the past years, advances in neonatal intensive care have improved the survival of very-low-birth-weight neonates [1]. Feeding with pasteurized banked milk (PBM) has been regarded as an essential part of neonatal intensive care as it supports neurocognitive development [2,3], reduces the risk of obesity in later life [4], and protects cardiovascular health in adulthood [5]. Lowering the incidence of necrotizing enterocolitis in newborns fed PBM compared to that in babies fed milk formula is a significant advantage for this type of feeding [6]. On the other hand, due to the immaturity of the immune system in extremely-low-birth-weight neonates, they are at risk of opportunistic infections, such as B. cereus [7,8,9,10,11,12]. While in healthy newborns, feeding with PBM is temporary support in cases of the mother’s delayed or insufficient lactation, in very-low-birth-weight neonates, PBM represents the only option because breastfeeding is not possible. Preferably the PBM used is expressed by their mothers, with donated PBM being the second option. Standard Holder pasteurization followed by rapid chilling and/or freezing of human milk is recommended by the EMBA, which also recommends routine post-pasteurization bacteriological analysis [13]. Such analysis is not yet obligatory in the Czech Republic [14], nevertheless, Czech Human Milk Banks are obliged to perform regular evaluations of their pasteurization process as a part of the Hazard Analysis and Critical Points system (HACCP) and to perform corrective actions, as necessary [15]. Many human milk banks perform pre-pasteurization pooling of milk and take a post-pasteurization sample representing a large volume of the pooled milk [7,16]. The quality assurance system of our Human Milk Bank is based on avoidance of pooling and taking samples from each pasteurized bottle with a volume of 250 mL [15].
To facilitate risk evaluation, the predictive microbiology databases COMBASE and Pathogen Modeling Program are available. Lewin et al., 2020 [16] used a different prediction approach based on the Monte Carlo method using statistical data from disease cases and determined the probability of infection per 1 million doses of PBM. Lewin’s simulation study [16] remained limited to the safety of PBM at the moment of its release for distribution. An evaluation of B. cereus growth curves in milk products under different conditions based on experimental data and the COMBASE Predictive Models was published by Soleimaninanadegani [17]. Results of mathematical modeling of B. cereus growth in milk were also published by Teleken et al. [18], Ačai et al. [19], Larsen et al. [20], and Hyoun Wook, K. et al. [21]. They published predictive models to evaluate the kinetic behaviors of Bacillus cereus and Staphylococcus aureus in milk during storage at various temperatures.
In our previous retrospective study based on data from 2017–2020, we identified B. cereus as the most common cause of post-pasteurization PBM discard in our Human Milk Bank [15]. As extension of the previous investigation, we deal with assessing the residual risk that may occur during the warming of the thawed PBM and during temporary storage in the warmed state prior to administration to newborns at neonatal intensive care units (NICU).
In this paper, we used a predictive mathematical model created on real temperature history data, water activity, and B. cereus growth in artificially inoculated PBM to assess this risk. The risk was assessed for three cases: 1. An initial post-pasteurization B. cereus concentration of 1 colony-forming unit (CFU)/mL, which is equal to the level of detection; 2. a B. cereus concentration of 10 CFU/mL, which is allowed in some countries [13]; and 3. a B.cereus concentration of 50 CFU/mL, which is approved for milk formulas [22,23]. The actual risk level was set at 100 CFU of B. cereus/mL.
As some authors state, precise quantification of risks is more important than in the context of food manufacturing alone [24]. The originality of our work is in quantitative risk assessment of B. cereus growth in thawed human pasteurized milk during manipulation at neonatal units of Pediatric departments.

2. Materials and Methods

2.1. The Description of Practice before and after Delivery of PBM to Pediatric Departments

2.1.1. Human Milk Collection and Pasteurization

After collection and input analysis at the Human Milk Bank, standard Holder pasteurization at 62.5 °C for 30 min is performed. The warming phase is followed by rapid chilling in the cooling section of the pasteurization device. The milk is divided into sterile 100 mL distribution bottles in the laminar flow cabinet, and milk samples for post-pasteurization microbiological analysis are taken. Then, the milk is rapidly frozen in a blast freezer and stored in quarantine at −20 °C until it is released for clinical use by a qualified person at the Human Milk Bank. Technology details are presented in our previous paper [15].

2.1.2. Release of PBM for Clinical Application, Storage of Released PBM, and Instruction for Its Use

Only PBM with negative post-pasteurization microbiological findings is released for clinical use. The released PBM is stored in a freezer at −27 °C (Liebherr Premium, Liebherr Hausgeräte, Ochsenhausen, Germany) for no longer than three months. Released PBM is distributed upon demand to clinical departments daily, except on weekends; PBM is intended to be used within one hour after thawing and warming to body temperature.

2.1.3. Delivery of PBM from the Human Milk Bank and Manipulation after Delivery

Human Milk Bank nurses deliver PBM. Transport to the Department of Pediatrics or Obstetrics and Gynecology is performed in insulated plastic boxes used exclusively for this purpose. In clinical wards, PBM is stored in a freezer (Zanussi, Vallenoncello, Italy) in until thawing. Thawing is performed either slowly in the refrigerator (Tefcold, Viborg, Denmark) or rapidly in a warming device (Beurer, Baby care, Ulm, Germany). PBM is warmed in a water bath set at 45 °C until it reaches body temperature, usually in 20–30 min. According to Human Milk Bank instructions, the warmed milk must be used within one hour.

2.1.4. Feeding PBM to Newborns

Feeding warmed PBM to newborns is usually performed at 3 h intervals by clinical department nurses. In the NICU with preterm newborns, the warmed PBM is transferred into 10 mL sterile disposable syringes and administered via a gastric catheter. Usually, 5–8 premature newborns are fed from one 100 mL distribution bottle. Feeding newborns using baby bottles or syringes is performed in newborns of normal weight. The amount of one feeding is 30–40 mL.
A schematic description of the transport and administration of PBM is presented in Figure 1.

2.2. Simulation of PBM Manipulation after Delivery from the Milk Bank

The design of the experiment is presented in Figure 2.

2.2.1. Temperature History I Slow Thawing of Frozen PBM in the Refrigerator

In the first phase, temperature measurements of slow thawing were performed simultaneously in 4 bottles of 100 mL frozen PBM, which were placed in the lower part of the refrigerator (Liebherr Premium, Liebherr Hausgeräte, Ochsenhausen, Germany) with a temperature range of 2–8 °C. A thermocouple was placed in the middle of each bottle. The air temperature in the refrigerator was measured with a COMET S3120 (Comet System Ltd., Rožnov pod Radhoštěm, Czech Republic) memory thermometer, and the temperature profiles inside the bottles were measured with a 4-channel memory thermometer COMET M1200E (Comet System Ltd., Rožnov pod Radhoštěm, Czech Republic). The layout of the bottles within the refrigerator is shown in Figure 3. The measurement lasted 20 h.

2.2.2. Temperature History II Warming of Bottles Containing Thawed PBM

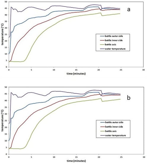
In the next phase, the temperatures inside the bottles containing the thawed milk were measured during warming in the water bath, routinely used for warming thawed milk before administration to newborns. Measurements were performed in two separate bottles from the previous experiment (bottles No. 2 and 4). A water bath heater (Canpol babies, Canpol Sp., zo. o, Warsaw, Poland) was used for warming (Figure 4). Figure 4 also shows the location of the temperature sensors (thermocouples). The water bath temperature, the temperature on the outer surface of the bottle, the temperature of the milk at the inner surface of the bottle, and the temperature of the milk in the middle of the bottle were measured simultaneously.

2.2.3. Water Activity and pH Measurement

Water activity was measured in 3 samples of thawed PBM using an Aw SPRINT TH-500 (Novasina AG, Lachen, Switzerland). The same samples were also used for pH measurement (Testo, Lenzkirch, Germany).

2.2.4. Experiment with PBM Inoculated with B. cereus

A total of 3 bottles of PBM were inoculated with B. cereus. The bacilli strain was isolated from PBM during routine testing in 2021. The B. cereus strain used in this study was randomly selected from the B. cereus strains isolated from bottles of PBM revealing post-pasteurization B. cereus positivity determined by MALDI-TOF MS (Bruker Daltonics, Hamburg, Germany). The common feature of all isolates was that they were well-adapted to all processing steps of the Human Milk Bank, i.e., initial storage in a refrigerator, standard Holder pasteurization followed by rapid chilling, shock freezing, and storage at −27 °C. The selected strain was stored in an ultra-freezing box at −70 °C ± 5 °C. After revitalization, the strain was suspended in sterile water, and 1 mL of suspension was inoculated into each milk bottle. The final inoculum in the milk bottle was calculated to be 1–5 × 103 CFU/mL, and the final inoculum was verified using the European Pharmacopoeia (EPh) 2.6.12 [25]. The bottles inoculated with B. cereus were placed into a water bath (Canpol babies, Canpol Sp., zo. o, Warsaw, Poland) adjusted to +45 °C. The milk samples for bacteriological testing were collected after 15, 60, 120, and 180 min. Two samples were taken from each bottle, one from the bottom of the bottle and the other from the upper layer of milk just below the surface. Bacterial counts were determined according to EPh 2.6.12 (see above).

2.2.5. Quantitative Assessment of B. cereus in PBM

For this study, assessments were carried out in accordance with the European Pharmacopoeia (EPh) Chapter 2.6.12 [25]. A total of 500 μL of PBM was inoculated directly on two plates of Columbia agar (Oxoid Ltd., Basingstoke, UK), and the agars were incubated under ambient atmosphere and at 35 ± 2 °C. After 18–24 and 48 h, CFUs (colony-forming unit) per milliliter for each milk sample and time were determined.

2.2.6. Mathematical Modeling of B. cereus Growth

Temperature history data during thawing and warming of PBM are presented as supplementary data (Tables S1–S4 and Figures S5–S7). American Predictive Software, Pathogen Modeling Program version 8 (Agriculture Research Service, Washington, DC, USA) [26] was used for mathematical modeling of microorganism growth. This software allows to predict the growth of microorganisms during different conditions. The models are based on extensive experimental data of microbial behavior in liquid microbiological media and food. The growth model B. cereus—vegetative forms in Broth Culture was used for our predictions. The necessary data for growth include temperature history, water activity, and pH values. The results of the prediction are then the growth curves for the given conditions. Based on these predicted growth curves, appropriate conclusions were drawn regarding the shelf life of human milk after warming of thawed PBM to the delivery temperature. Authors of the model used three strains of B. cereus for its construction: an emetic toxin-producing strain isolated by R. Gilbert from cooked rice; B4AC, a diarrheal toxin-producing strain isolated by D. Mossel from pea soup; and T, a reference strain (all furnished by F. Busta) [27]. Predictions for the maximum storage time of 3 h at +42 °C (maximal optional temperature of this model) were made for pH and water activity of inoculated milk. Values of pH and water activity are presented in Table 1. The software predicted a minimum initial concentration of B. cereus of log 3 CFU/mL. This predicted dependence calculated percent increases for 1, 2, and 3 h. However, we needed an initial concentration of 1 to 100 CFU/g for our predictions. Therefore, based on the assumption that the increase in 3 h will be within the exponential growth phase, a shift of the growth curve was made to these lower initial concentrations. This shift can be made only if the microbial concentration is low and far from almost constant (no growth part of the curve). The predictions were made for initial concentrations, which were determined by microbial examination in experiments with PBM inoculated with B. cereus at initial warming times (Tables S1–S3). Other predictions were made for (1) the initial post-pasteurization B. cereus concentration of 1 CFU/mL, which was equal to the level of detection for B. cereus, (2) a concentration of 10 CFU/mL, which is a limit allowed in some countries, and (3) for a B. cereus concentration of 50 CFU/g, which is the approved limit for powdered milk formulas. Water activity 0.99 and pH = 6.6 were used for these PBM predictions.

2.2.7. Quantitative Assessment of B. cereus Growth during PBM Warming

A quantitative microbial examination was performed in three runs of rapidly warming the bottles with PBM thawed slowly in the refrigerator for 9 h. The air temperature in the refrigerator was measured by data loggers (TESTO) placed on the same shelf as the bottles. The bottles were put into the heater and stored there for 3 h. Sampling for quantitative bacteriology tests was performed in a laminar flow cabinet immediately after slow thawing and during the warming process after 15 min and 1, 2, and 3 h. For quantitative bacteriology testing, milk samples (2 mL) were put into sterile test tubes.

3. Results

3.1. Slow Thawing Temperature History of Frozen PBM in the Refrigerator

The temperature history of slow thawing is presented in Figure 5. Bulleted lists look like this:

3.2. Warming Temperature History of Bottles Containing Thawed PBM

Time–temperature history during the warming of thawed PBM (bottle No. 2 and No. 4) is described in chapter No. 2.2.2 and presented in Figure 6.

3.3. Water Activity and pH Measurement

Water activity and pH values are presented in Table 1.
Table 1. Water activity and pH of thawed PBM samples.
Table 1. Water activity and pH of thawed PBM samples.
PBM Sample No.Water ActivitypH
10.996.61
20.997.29
30.996.62

3.4. Results of the Experiment with Thawed PBM Inoculated with B. cereus

A summary of the results is shown in Figure 7. The results show that in sample No. 2 (green line), B. cereus growth was significant. After 60 min, an increase of one order of magnitude was detected in the sample taken from the bottom, and after 120 min, it had increased by two orders of magnitude.

3.5. Quantitative Assessment of B. cereus CFU during Warming

Changes in the B. cereus CFU/mL count during warming are presented in Table 2.
The milk in bottle MM7595A presented no growth, while at sample No. MM7599A, there was growth up to 25 CFU/mL after 180 min.

3.6. Prediction of B. cereus Growth

Based on the data presented above, the growth of B. cereus in pasteurized human milk was modeled. As initial B. cereus concentrations (CFU/mL), we used the data assessed in our previous study, where 80% of the samples had a quantity lower than 10 CFU/mL [15]. The resulting B. cereus growth models are included in the supplementary data section (Tables S1–S4, Figures S1–S3). The results showed the calculated CFU/mL values and the upper and lower uncertainty limits.

3.7. Risk Assessment Using the Predictive Mathematical Model for the Case of Keeping Existing Standard Operational Protocol (SOP) with the Total Post-Pasteurization Bacteriological Analysis

The total number of 100 and 50 mL PBM bottles that were processed and analyzed according to existing SOPs delivered to Pediatric Department Units from the Human Milk Bank in the period 2017–2020 is presented in Table 3 and Table 4. The Tables show that approximately one third of delivered 100 mL PBM bottles and three fourths of delivered 50 mL bottles were used at neonatal intensive care units (NICU).
The results of predictions for the initial post-pasteurization B. cereus concentration of 1 CFU/mL, which is equal to the limit of detection, are presented in Table 5 and Table 6.
Table 5 shows the prediction of B. cereus CFU concentrations after 1, 2, and 3 h of storage at +42 °C. The risk concentrations occasionally occurred after 2 and 3 h of warming. Table 6 shows the predictions for 2 and 3 h of storage at +42 °C. Table 6 presents the total B. cereus CFU number ingested per day by premature newborns in cases where 10 mL of PBM was thawed and warmed per one feeding with a feeding frequency of every 3 h intervals. Table 6 assumes an initial post-pasteurization concentration of 1 CFU/mL before warming of thawed PBM.
The data in Table 6 show that the administration of warmed PBM can be regarded as safe only if storage in the warmed state does not exceed one hour. After 2 h of storage at +42 °C, B. cereus numbers higher than 1000 CFU per day can occasionally be ingested. After 3 h of storage at +42 °C, the limit is regularly exceeded.

3.8. Risk Assessment in Post-Pasteurization B. cereus Concentrations Higher than 1 CFU/mL

The data on initial B. cereus post-pasteurization CFU quantities available in our previous paper [15] showed that in most cases, the concentrations were low, in 80% of cases less than 10 CFU/mL and in 90% of cases less than 25 CFU/mL. However, occasionally, concentrations as high as 100 B. cereus CFU/mL were found. Table 7 shows the prediction results for initial post-pasteurization concentrations of B. cereus of (1) 10 CFU/mL (as it is allowed in some countries), (2) 50 CFU/mL, which is a limit for milk formulas, and (3) the highest concentration found in our study, i.e., 100 CFU/mL after storage at +42 °C for 1, 2, and 3 h.
After 1 h of storage in the warmed state, dangerous concentrations of B. cereus of 102 CFU/mL were not regularly predicted for initial CFU concentrations of 10 and 50 CFU/mL. When the initial concentration of B. cereus was 50 CFU/mL, risk occasionally occurred (Table 7). However, after 2 h of storage, dangerous concentrations were achieved in both initial concentrations of 10 and 50 CFU/mL. After 3 h of storage, at-risk concentrations of B. cereus of 100 CFU/mL were regularly exceeded (Table 7).
Table 8 presents the total B. cereus CFU number ingested per day by premature newborns when they consumed 10 mL of thawed and warmed PBM per one feeding, and the feeding frequency was at 3 h intervals. Before warming of PBM, the initial post-pasteurization concentration was 10 or 50 CFU/mL.

4. Discussion

The traditional approach to evaluating the quality and microbiological safety of food products is based on a comparison of results of the bacteriological output analysis with limits set by the manufacturer, published data of manufacturers of similar products, and assessment of the compliance rate with existing national or international norms or recommendations. Such an approach was partly applied in our previous paper in which we compared the post-pasteurization discard rate with similar data published by French Human Milk Banks (HMBs) [15,22,28]. Such a comparison can provide relevant data only when similar processing and analysis methods are used. From this point of view, our data compares well with HMBs that use standard Holder pasteurization and MALDI mass spectrometry for post-pasteurization microbiological analysis. Cormontagne [22] reported that PBM discard rates, after introducing the MALDI method, fluctuated between 19.0 and 21.2%, while our discard rate fluctuated between 8.6 and 10.5%, with B. cereus being responsible for 67.24% of the discard. Cormontagne [22] reported that as much as 90% of PBM discard was caused by B. cereus. Noncompliance rates as high as 27.3%, mainly caused by B. cereus, were reported by Adjidé, 2019 [29]. Lewin, 2019 reported that the discard rates between 25 and 35% were typical in Canadian Human Milk Banks, and the proportion caused by B. cereus was between 80% and 90% [16]. Mallardi recently published a review of complex measures that substantially lowered the PBM discard rate from 19.5% to 14.3% [30].
Another critical factor is the manufacturer’s post-pasteurization discard limit. A limit of below 1 CFU/mL was used in our previous paper [15] and was equal to the limit published by Cormontagne [22], Adjidé [29], and Lewin [16]. Using this limit, Lewin predicted that the real B. cereus concentration fluctuates between 0.21 and 0.64 CFU/mL.
The results of quantitative post-pasteurization analysis published previously [15] were used for comparison with different B. cereus contamination limits included in HMBs standards or food norms. Table 9 shows 80% compliance of these samples with existing HMB microbiological safety post-pasteurization standards and 90% compliance with the norms set for food used for children under six months (Table 9). These data document the high microbiological safety of our PBM at the moment of delivery from the HMB.
Another approach to evaluating microbiological safety uses the limits for the total number of ingested B. cereus CFUs reported as dangerous. A range for the B. cereus ingested load of between 105 and 108 CFUs was presented by Vidic [31], while other sources [32] regard amounts as low as 103 to 104 as hazardous. A similar approach based on determining the maximum number of B. cereus CFUs ingested per one feeding was also applied in the simulation study presented by Lewin [11]. Other authors report dangerous concentrations of B. cereus CFUs per 1 g of food. Bacterial counts of 105 to 108 CFU/g of food can generate disease-relevant amounts of toxins in foods or the small intestine [33]. Most food-borne outbreaks caused by the B. cereus group have been associated with bacterial concentrations above 105 CFU/g of foodstuff. However, it is important to highlight that both emetic and diarrheal disease have been reported for B. cereus counts of 103 to 105 CFU/g [34].
There is a consensus that even post-pasteurization microbiological negativity of PBM does not eliminate the risk of its use. During feeding of newborns, the above-presented data of B. cereus concentration and/or of the total amount of CFUs ingested should not be exceeded.
The methods of predictive microbiology are generally regarded to be a standard tool for assessing the risk of food, the properties of which are changing over time because of the presence of viable bacteria. We used this method in the past for predicting the growth of several microbes, including B. cereus, during the processing of human milk [35] and for evaluating thermo- and baro-inactivation of E. faecium and St. epidermidis in human and cow milk [36,37]. This paper applies this method to simulate manipulations with thawed PBM in neonatal hospital wards.
The presented prediction showed different results when the maximal acceptable B. cereus concentration of 100 CFU/mL was used (Table 5, Table 6, Table 7 and Table 8), or if the total number of 1000 CFU/mL of B. cereus ingested per day was used as the acceptable upper limit (Table 6 and Table 8) (the total B. cereus CFU numbers ingested per day shown in Table 6 and Table 8 were calculated for a total amount of 80 mL of PBM used daily for the feeding of premature newborns). Based on the B. cereus CFU/g limit, the first approach showed a relatively wide range of safe initial B. cereus CFU post-pasteurization concentrations and warming times. When using our SOP discard criteria (Table 9) and our instructions to use PBM within 1 h of thawing [15] (Table 5), this limit was not exceeded even after 2 h of warming (Table 6); moreover, Table 7 demonstrated that even PBM with initial post-pasteurization B. cereus concentrations of 10, 50, and 100 CFU/mL PBM used within 1 h of warming could be considered relatively safe; however, 2 or 3 h of warming PBM with these initial B. cereus CFU post-pasteurization concentrations, which are compliant with the general food standards (Table 9), should not be considered safe.
When using the second approach, i.e., the total limit of B. cereus CFU ingested per day (Table 6 and Table 8), the range of both safe initial B. cereus CFU/mL concentrations and warming times were much narrower.
PBM compliant with our SOP was again proven safe if used within 1 h of warming. After 2 h, the total B. cereus CFU limit could occasionally be exceeded (Table 6). In case of using the PBM with an initial concentration of 10 CFU/mL, marginal total B. cereus CFU numbers could be expected after one hour of warming as shown in Table 8. PBM with initial concentrations of 50 CFU/mL, even if used within 1 h, produced unacceptable total CFU counts (Table 8).
Our calculations probably overestimated the risk for three reasons. The first is that the risk was calculated for a 100% proportion of B. cereus in the total PBM discard, while in reality, this proportion can vary between 70% [15] and 90% [22]. The second reason is our predictive mathematical model’s wide uncertainty limit range (Table 5, Table 6, Table 7 and Table 8). The third reason may be a prolonged lag phase in microbes damaged by the processing techniques described in our previous paper, i.e., pasteurization followed by rapid chilling and freezing [15]. This is supported by B. cereus growth diagrams (Figures S5–S7 in the supplementary data). Nevertheless, the results of the presented predictions (Table 5 and Table 6) support the current practice of HMBs and their post-pasteurization discard limits [13] (Table 9) and confirm the high level of safety of our past and current practices [15]. In this study oriented to the needs of the routine practice of HMBs, we did not consider the toxinogenicity of B. cereus isolates surviving pasteurization that was reported to occur in 15% in our previous paper [15]. Comparison of predictions using different B. cereus toxinogenic strains might be a subject of the future research.
Since a high proportion of PBM is used in neonatal intensive care units (Table 3 and Table 4), we recommend using the second approach to risk assessment based on an estimation of the total number of CFU ingested per day per newborn.

5. Conclusions

Our method of risk assessment using our predictive model confirmed the safety PBM used in compliance with our SOP as well as of PBM compliant with the existing HMB microbiological safety post-pasteurization standards.
The predictions showed that thawed PBM should be used within 1 h of warming. Exceeding this time limit can lead to dangerous CFU concentrations.
For assessing the safety of PBM in neonatal intensive care units, we recommend using the metric of total B. cereus CFU ingested per day per newborn.

Supplementary Materials

The following supporting information can be downloaded at: www.mdpi.com/article/10.3390/foods11071037/s1, Table S1: Prediction of B. cereus growth in thawed PBM for bottle No. 1; Table S2: Prediction of B. cereus growth in thawed PBM for bottle No. 2; Table S3: Prediction of B. cereus growth in thawed PBM for bottle No. 3. Table S4: Prediction of B. cereus growth during the warming of thawed PBM for different initial post-pasteurization CFU concentrations; Figure S1: Prediction of B. cereus growth in thawed PBM for bottle No. 1; Figure S2: Prediction of B. cereus growth in thawed PBM for bottle No. 2; Figure S3: Prediction of B. cereus growth in thawed PBM for bottle No. 3.

Author Contributions

M.J.; investigation, writing—original draft, P.M.; investigation, writing—review and editing, M.F.; data curation, A.L.; methodology, formal analysis; P.P.; methodology, L.H.; supervision, E.J.; data curation, M.K.; supervision, M.H.; writing—review and editing. All authors have read and agreed to the published version of the manuscript.

Funding

This project was supported by MH CZ–DRO (UHHK, 00179906) and grant projects SVV 260543/2020 from Charles University. The research was also supported by the Ministry of Agriculture of the Czech Republic (institutional support MZE-RO0318) and by METROFOOD-CZ project MEYS Grant No: LM2018100.

Institutional Review Board Statement

The study was approved by the Ethics Committee of University Hospital Hradec Králové; the approval number from the Ethics Committee was No. 201911I70P.

Informed Consent Statement

Subjects in the study gave written informed consent.

Data Availability Statement

No new data were created or analyzed in this study. Data sharing is not applicable to this article.

Acknowledgments

Authors would like to thank for the support to University Hospital Hradec Králové and Charles University, Ministry of Agriculture of the Czech Republic, institutional support MZE-RO0318, and METROFOOD-CZ project MEYS Grant No: LM2018100.

Conflicts of Interest

The authors declare no conflict of interest.

References

  1. Hilliard, N.J.; Schelonka, R.L.; Waites, K.B. Bacillus cereus bacteremia in preterm neonate. J. Clin. Microbiol. 2003, 41, 3441–3444. [Google Scholar] [CrossRef] [PubMed]
  2. Bier, J.A.; Oliver, T.; Ferguson, A.E.; Vohr, B.R. Human milk improves cognitive and motor development of premature infants during infancy. J. Hum. Lact. 2002, 18, 361–367. [Google Scholar] [CrossRef] [PubMed]
  3. Vohr, B.R.; Poindexter, B.B.; Dusick, A.M.; McKinley, L.T.; Wright, L.L.; Langer, J.C.; Poole, W.K. Beneficial effects of breast milk in the neonatal intensive care unit on the developmental outcome of extremely low birth weight infants at 18 months of age. Pediatrics 2006, 118, 115–123. [Google Scholar] [CrossRef] [PubMed]
  4. Mahon, J.; Claxton, I.; Wood, H. Modeling the cost-effectiveness of human milk and breastfeeding in preterm infants in the United Kingdom. Health Econ. Rev. 2016, 6, 54. [Google Scholar] [CrossRef] [PubMed]
  5. Singhal, A.; Cole, T.J.; Fewtrell, M.; Lucas, A. Breastmilk feeding and lipoprotein profile in adolescents born preterm follow-up of a prospective randomized study. Lancet 2004, 363, 1571–1578. [Google Scholar] [CrossRef]
  6. Wendelboe, A.M.; Smelser, C.; Lucero, C.A.; McDonald, L.C. Cluster of necrotizing enterocolitis in a neonatal intensive care unit: New Mexico, 2007. Am. J. Infect. Control 2010, 38, 144–148. [Google Scholar] [CrossRef]
  7. Decousser, J.W.; Ramarao, N.; Duport, C.; Dorval, M.; Bourgeois-Nicolaos, N.; Guinebretière, M.H.; Razafimahefa, H.; Doucet-Populaire, F. Bacillus cereus and severe intestinal infections in preterm neonates. Putative role of pooled breast milk. Am. J. Infect. Control 2013, 41, 918–921. [Google Scholar] [CrossRef]
  8. Ramarao, N.; Belotti, L.; Deboscker, S.; Ennahar-Vuillemin, M.; de Launay, J.; Lavigne, T.; Koebel, C.; Escande, B.; Guinebretière, M.H. Two unrelated episodes of Bacillus cereus bacteremia in a neonatal intensive care unit. Am. J. Infect. Control 2014, 42, 694–695. [Google Scholar] [CrossRef]
  9. Fournier, S.; Faraut-Derouin, V.; Casetta, A.; Frange, P.; Doit, C.; Fortineau, N.; Romain, O.; Patkai, J.; Chillaz, C.; Rigourd, V.; et al. Bactériémies à Bacillus cereus en réanimation néonatale à l’AP-HP en 2016. Bull. Epidémiol. Hebd. 2018, 25, 536–540. [Google Scholar]
  10. Glasset, B.; Herbin, S.; Granier, S.A.; Cavalié, L.; Lafeuille, E.; Guérin, C.; Ruimy, R.; Casagrande-Magne, F.; Levast, M.; Chautemps, M.; et al. Bacillus cereus, a serious cause of nosocomial infections: Epidemiologic and genetic survey. PLoS ONE 2018, 13, e0194346. [Google Scholar] [CrossRef]
  11. Lewin, A.; Quach, C.; Rigourd, V.; Picaud, J.C.; Perreault, T.; Frange, P.; Domingo, M.C.; Lalancette, C.; Delage, G.; Germain, M. Bacillus cereus infection in neonates and the absence of evidence for the role of banked human milk: Case reports and literature review. Infect. Control Hosp. Epidemiol. 2019, 40, 787–793. [Google Scholar] [CrossRef] [PubMed]
  12. Demers-Mathieu, V.; Mathijssen, G.; Fels, S.; Chace, D.H.; Medo, E. Impact of vaccination during pregnancy and staphylo-cocci concentration on the presence of Bacillus cereus in raw human milk. J. Perinatol. 2020, 40, 1323–1330. [Google Scholar] [CrossRef] [PubMed]
  13. Weaver, G.; Bertino, E.; Gebauer, C.; Grovslien, A.; Mileusnic-Milenovic, R.; Arslanoglu, S.; Barnett, D.; Boquien, C.Y.; Buf-fin, R.; Gaya, A.; et al. Recommendations for the Establishment and Operation of Human Milk Banks in Europe: A Consensus Statement from the European Milk Bank Association (EMBA). Front. Pediatr. 2019, 7, 53. [Google Scholar] [CrossRef] [PubMed]
  14. Decree of the Ministry of Health of Czech Republic No. 137/2004 Coll. Available online: https://www.zakonyprolidi.cz/cs/2004-137 (accessed on 17 March 2004).
  15. Jandová, M.; Měřička, P.; Fišerová, M.; Landfeld, A.; Paterová, P.; Hobzová, L.; Jarkovská, E.; Kacerovský, M.; Houška, M. Bacillus cereus as a major cause of discarding pasteurized human banked milk: A single human milk bank experience. Foods 2021, 10, 2955. [Google Scholar] [CrossRef]
  16. Lewin, A.; Delage, G.; Bernier, F.; Germain, M. Banked Human Milk and Quantitative Risk Assessment of Bacillus cereus Infection in Premature Infants: A Simulation Study. Can. J. Infect. Dis. Med. Microbiol. 2019, 2019, 6348281. [Google Scholar] [CrossRef]
  17. Soleimaninanadegani, M. Evaluation of critical level in Bacillus Cereus growth curve in milk products with different conditions based on experimental data and ComBase Predictive Models. WebmedCentral Microbiol. 2013, 4, WMC004403. [Google Scholar]
  18. Teleken, J.T.; Robazza, W.D.; Gomes, G.D. Mathematical modeling of microbial growth in milk. Food Sci. Technol. Int. 2011, 31, 891–896. [Google Scholar] [CrossRef]
  19. Ačai, P.; Valík, Ľ.; Liptáková, D. Quantitative risk assessment of Bacillus cereus in pasteurized milk produced in the Slovak Republic. Czech J. Food Sci. 2014, 32, 122–131. [Google Scholar] [CrossRef]
  20. Larsen, H.D.; Jørgensen, K. Growth of Bacillus cereus in pasteurized milk products. Int. J. Food Microbiol. 1999, 46, 173–176. [Google Scholar] [CrossRef]
  21. Kim, H.W.; Lee, S.-A.; Yoon, Y.; Paik, H.-D.; Ham, J.-S.; Han, S.-H.; Seo, K.-H.; Jang, A.; Park, B.-Y.; Oh, M.-H. Development of Kinetic Models Describing Kinetic Behavior of Bacillus Cereus and Staphylococcus Aureus in Milk. Korean Soc. Food Sci. Anim. Resour. 2013, 30, 2013. [Google Scholar] [CrossRef][Green Version]
  22. Cormontagne, D.; Rigourd, V.; Vidic, J.; Rizzotto, F.; Bille, E.; Ramarao, N. Bacillus cereus Induces Infections in Preterm Neonates: Implication at the Hospital and Human Milk Bank Level. Toxins 2021, 13, 123. [Google Scholar] [CrossRef] [PubMed]
  23. Commission of the European Communities. Amending Regulation (EC) No.2073/2005 on Microbiological Criteria for Foodstuffs; Commission Regulation (EC) No. 1441/2007; Commission of the European Communities: Luxemburg, 2007. [Google Scholar]
  24. Nauta, M.J. Modelling bacterial growth in quantitative microbiological risk assessment: Is it possible? Int. J. Food Microbiol. 2002, 73, 297–304. [Google Scholar] [CrossRef] [PubMed]
  25. The European Pharmacopoeia (Ph. Eur.) 6.0. 2612. Microbiological Testing of Non-Sterile Products and Water by Direct Inoculation on Agar; Council of Europe: Strasbourg, France, 2008; pp. 4398–4404. [Google Scholar]
  26. American Predictive Software. Pathogen Modeling Program Version 8 (Agriculture Research Service, Washington DC, USA). Available online: https://pmp.errc.ars.usda.gov/ (accessed on 15 September 2021).
  27. Benedict, R.C.; Partridge, T.; Wells, D.; Buchanan, R.L. Bacillus cereus: Aerobic Growth Kinetics. J. Food Prot. 1993, 56, 211–214. [Google Scholar] [CrossRef] [PubMed]
  28. Dewitte, C.; Courdent, P.; Chartier, C.; Dumoulin, D.; Courcol, R.; Pierrat, V. Contamination du lait maternel par une flore aériobie: Evaluation des pertes pour un lactarium. Arch. Pediatr. 2015, 22, 461–467. [Google Scholar] [CrossRef]
  29. Adjidé, C.C.; Léké, A.; Mullié, C. Bacillus cereus contamination of pasteurized human milk donations: Frequency, origin, seasonal distribution, molecular typing of strains and proposed corrective/preventive actions. J. Matern. Fetal Neonatal Med. 2020, 12, 1554–1561. [Google Scholar] [CrossRef]
  30. Mallardi, D.; Piemontese, P.; Liotto, N.; Colombo, R.M.; Dodaro, A.; Schiavello, A.; Tabasso, C.; Plevani, L.; Bezze, E.; Menis, C.; et al. New Operating Approach to Limit Bacillus Cereus Contamination of Donor Human Milk. J. Hum. Lact. 2022, 38, 102–107. [Google Scholar] [CrossRef]
  31. Vidic, J.; Chaix, C.; Manzano, M.; Heyndrickx, M. Food Sensing: Detection of Bacillus cereus Spores in Dairy Products. Biosensors 2020, 25, 15. [Google Scholar] [CrossRef]
  32. European Food Safety Authority. Opinion of the Scientific Panel on Biological Hazards on Bacillus cereus and other Bacillus spp in foodstuffs. EFSA J. 2005, 175, 1–48. [Google Scholar]
  33. The German Federal Institute for Risk Assessment (BfR). Available online: https://www.bfr.bund.de/en/bacillus_cereus-54345.html (accessed on 12 December 2021).
  34. European Food Safety Authority. Risks for public health related to the presence of Bacillus cereus and other Bacillus spp. including Bacillus thuringiensis in foodstuffs. EFSA J. 2016, 14, 93. [Google Scholar]
  35. Měřička, P.; Houška, M.; Landfeld, A.; Čermák, M. Quantitative assessment of microbiological risk in processing and application of the pasteurized frozen human milk. In Proceedings of the 21st IIR International Congress of Refrigeration, Washington, DC, USA, 17–22 August 2003. Paper No. ICR0645. [Google Scholar]
  36. Schlemmerová, L.; Houška, M.; Špelina, V.; Strohalm, J.; Landfeld, A.; Měřička, P. Baroinactivation of Staphylococcus epidermidis–mathematical model and its verification using human and cow milk. Czech J. Food Sci. 2009, 27, 118–126. [Google Scholar] [CrossRef]
  37. Landfeld, A.; Strohalm, J.; Kýhos, K.; Průchová, J.; Houška, M.; Novotná, P.; Schlemmerová, L.; Šmuhařová, H.; Špelina, V.; Čermák, P.; et al. High pressure inactivation of Enterococcus faecium—Modelling and verification. Czech J. Food Sci. 2009, 27, 134–141. [Google Scholar] [CrossRef]
Figure 1. Schematic description PBM use after delivery.
Figure 1. Schematic description PBM use after delivery.
Foods 11 01037 g001
Figure 2. Schematic design of the experiment.
Figure 2. Schematic design of the experiment.
Foods 11 01037 g002
Figure 3. Position of 100 mL PBM bottles (No. 1–4) in the refrigerator during the measurement of the slow thawing temperature history, viewed from above.
Figure 3. Position of 100 mL PBM bottles (No. 1–4) in the refrigerator during the measurement of the slow thawing temperature history, viewed from above.
Foods 11 01037 g003
Figure 4. Temperature measurement during warming of bottles containing thawed PBM in a warming device adjusted to 45 °C (left); schematic of sensor positions (right).
Figure 4. Temperature measurement during warming of bottles containing thawed PBM in a warming device adjusted to 45 °C (left); schematic of sensor positions (right).
Foods 11 01037 g004
Figure 5. The temperature history of slow thawing of four 100 mL frozen PBM bottles in a refrigerator.
Figure 5. The temperature history of slow thawing of four 100 mL frozen PBM bottles in a refrigerator.
Foods 11 01037 g005
Figure 6. The temperature history of thawed PBM during warming of bottle No. 2 (a) and No. 4 (b).
Figure 6. The temperature history of thawed PBM during warming of bottle No. 2 (a) and No. 4 (b).
Foods 11 01037 g006
Figure 7. B. cereus growth during the warming of inoculated samples of thawed PBM.
Figure 7. B. cereus growth during the warming of inoculated samples of thawed PBM.
Foods 11 01037 g007
Table 2. Changes of B. cereus counts in thawed PBM during warming.
Table 2. Changes of B. cereus counts in thawed PBM during warming.
Bottle CodeTime of Warming (Minutes)B. cereus Count (CFU/mL)
MM7595A015
1515
609
1208
1808
MM7599A0<1
155
6013
12011
18025
Table 3. PBM in 100 mL distribution bottles delivered from the Human Milk Bank to Pediatric departments.
Table 3. PBM in 100 mL distribution bottles delivered from the Human Milk Bank to Pediatric departments.
YearNICUNeonatal Intermediate Care UnitHealthy Newborn UnitICUBottles TotalLiters Total
2017519688643517314,2681426.8
201838398168124012,1311213.1
2019516688120013,9781397.8
2020549112,06900175,8601756.0
Total19,69237,91315917357,9375793.7
Total (%)33.9965.440.270.37100.0N.A.
Table 4. PBM in 50 mL distribution bottles delivered from the Human Milk Bank to Pediatric departments.
Table 4. PBM in 50 mL distribution bottles delivered from the Human Milk Bank to Pediatric departments.
YearNICUNeonatal Intermediate Care UnitHealthy Newborn UnitICUBottles TotalLiters Total
20172791490042821.4
2018897451560140470.2
201997033200130265.1
2020683130069634.8
Total28299455603830191.5
Total (%)73.8624.671.470100.0N.A.
Table 5. The prediction of B. cereus CFU/mL concentration for an initial post-pasteurization concentration equal to the limit of detection and after 1, 2, and 3 h of storage at +42 °C (calculated mean values and the lower and upper limits of uncertainty).
Table 5. The prediction of B. cereus CFU/mL concentration for an initial post-pasteurization concentration equal to the limit of detection and after 1, 2, and 3 h of storage at +42 °C (calculated mean values and the lower and upper limits of uncertainty).
InitialCFU/mL CountPredicted Count (CFU/mL) after
1 h2 h3 h
11.56.069.0
CFU/mL lower
uncertainty limit
1.21.73.7
CFU/mL upper
uncertainty limit
3.62.6 × 1021.5 × 104
Remark: B. cereus concentration values representing risk are labeled red.
Table 6. The predicted number of B. cereus CFU ingested per day for initial post-pasteurization concentration of 1 CFU/mL after 1, 2 and 3 hours of warming.
Table 6. The predicted number of B. cereus CFU ingested per day for initial post-pasteurization concentration of 1 CFU/mL after 1, 2 and 3 hours of warming.
Time of Warming of Thawed PBM (Hours)Total PBM Volume Ingested per Day (mL)Predicted CFU Number Ingested per DayLower CFU Number Uncertainty LimitUpper CFU Number Uncertainty Limit
18012096288
28048013622,400
380550029612 × 106
Remark: CFU number values representing risk are labeled red.
Table 7. Prediction of B. cereus concentrations after 1, 2, and 3 h of storage at +42 °C for initial post-pasteurization concentrations of 10, 50, and 100 CFU/mL. Calculated values and the lower and upper limits of uncertainty are shown.
Table 7. Prediction of B. cereus concentrations after 1, 2, and 3 h of storage at +42 °C for initial post-pasteurization concentrations of 10, 50, and 100 CFU/mL. Calculated values and the lower and upper limits of uncertainty are shown.
Initial CFU/mL Count1050100
1 h Predicted CFU/mL count1575150
1 h CFU/mL lower uncertainty limit1259120
1 h CFU/mL upper uncertainty limit36180360
2 h Predicted CFU/mL count60.03.0 × 1026.0 × 102
2 h CFU/mL lower uncertainty limit17.087.01.7 × 102
2 h CFU/mL upper uncertainty limit2.6 × 1031.3 × 1042.6 × 104
3 h Predicted CFU/mL count6.9 × 1023.5 × 1036.9 × 103
3 h CFU/mL lower uncertainty limit37.01.9 × 1023.7 × 102
3 h CFU/mL upper uncertainty limit1.5 × 1057.9 × 1051.5 × 106
Remark: B. cereus concentration values representing risk are labeled red.
Table 8. The predicted number of B. cereus CFU ingested per day for initial post-pasteurization concentrations of 10 and 50 CFU/mL.
Table 8. The predicted number of B. cereus CFU ingested per day for initial post-pasteurization concentrations of 10 and 50 CFU/mL.
Initial CFU/mL CountTotal PBM Volume Ingested per Day (mL)Total CFU Ingested per DayTotal CFU Lower Uncertainty LimitTotal CFU Upper Uncertainty Limit
108012009602880
50806000472014,400
Table 9. Quantitative assessment of the post-pasteurization B. cereus contamination: compliance rate with different microbiological safety criteria.
Table 9. Quantitative assessment of the post-pasteurization B. cereus contamination: compliance rate with different microbiological safety criteria.
Criterionlimit (CFU/mL)Compliance Rate (%)Source
Below 120Own SOP, HMB standards of France, Australia, and USA [13]
Till 1080HMB standard of Italy, Sweden, and UK (Weaver 2019) [13]
Till 5090The norm for food used in children of age below 6 months [23]
Till 100100Codex Alimentarius (Cormontagne, 2021) [22]
Publisher’s Note: MDPI stays neutral with regard to jurisdictional claims in published maps and institutional affiliations.

Share and Cite

MDPI and ACS Style

Jandová, M.; Měřička, P.; Fišerová, M.; Landfeld, A.; Paterová, P.; Hobzová, L.; Jarkovská, E.; Kacerovský, M.; Houška, M. Quantitative Risk Assessment of Bacillus cereus Growth during the Warming of Thawed Pasteurized Human Banked Milk Using a Predictive Mathematical Model. Foods 2022, 11, 1037. https://doi.org/10.3390/foods11071037

AMA Style

Jandová M, Měřička P, Fišerová M, Landfeld A, Paterová P, Hobzová L, Jarkovská E, Kacerovský M, Houška M. Quantitative Risk Assessment of Bacillus cereus Growth during the Warming of Thawed Pasteurized Human Banked Milk Using a Predictive Mathematical Model. Foods. 2022; 11(7):1037. https://doi.org/10.3390/foods11071037

Chicago/Turabian Style

Jandová, Miroslava, Pavel Měřička, Michaela Fišerová, Aleš Landfeld, Pavla Paterová, Lenka Hobzová, Eva Jarkovská, Marian Kacerovský, and Milan Houška. 2022. "Quantitative Risk Assessment of Bacillus cereus Growth during the Warming of Thawed Pasteurized Human Banked Milk Using a Predictive Mathematical Model" Foods 11, no. 7: 1037. https://doi.org/10.3390/foods11071037

APA Style

Jandová, M., Měřička, P., Fišerová, M., Landfeld, A., Paterová, P., Hobzová, L., Jarkovská, E., Kacerovský, M., & Houška, M. (2022). Quantitative Risk Assessment of Bacillus cereus Growth during the Warming of Thawed Pasteurized Human Banked Milk Using a Predictive Mathematical Model. Foods, 11(7), 1037. https://doi.org/10.3390/foods11071037

Note that from the first issue of 2016, this journal uses article numbers instead of page numbers. See further details here.

Article Metrics

Back to TopTop