The Risk of Salt Reduction in Dry-Cured Sausage Assessed by the Influence on Water Activity and the Survival of Salmonella
Abstract
:1. Introduction
2. Materials and Methods
2.1. Dry-Cured Sausage Preparation
2.2. Water Activity, Moisture, and pH
2.3. Behavior of Salmonella
2.4. Data Analysis
3. Results and Discussion
3.1. Effect of Salt Level, Phosphates, and Wine on aw, Moisture and pH
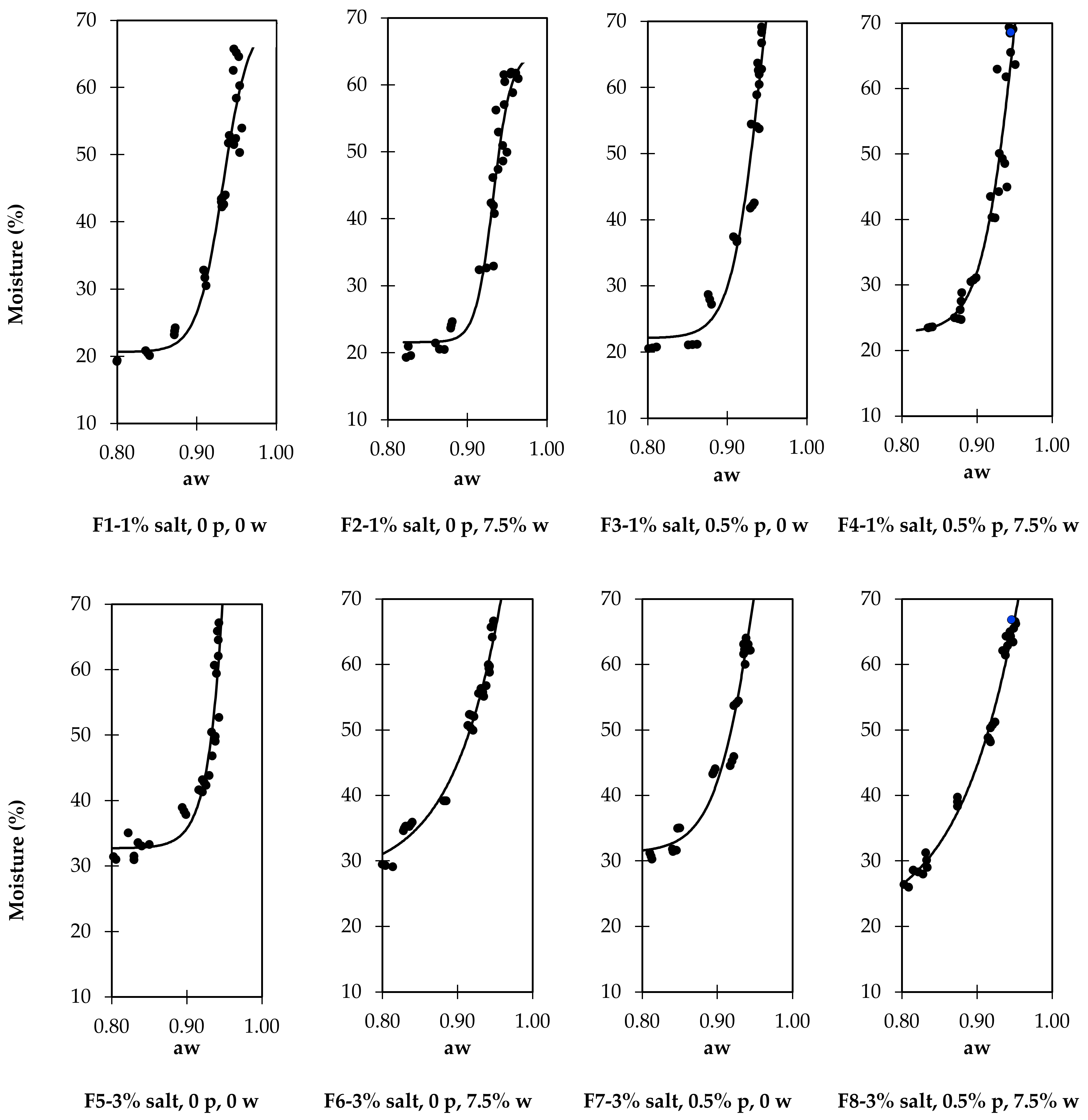
3.2. Relationship between aw and Moisture Loss
3.3. Salmonella Behaviour
4. Conclusions
Author Contributions
Funding
Acknowledgments
Conflicts of Interest
References
- Leistner, L. Shelf-stabel products and intermediate moisture foods based on meat. In Water Activity: Theory and Applications to Food; Rockland, L., Beauchat, L., Eds.; Marcel Dekker, Inc.: New York, NY, USA, 1987; pp. 295–327. [Google Scholar]
- Rao, N. Intermediate moisture foods based on meats—A review. Food Rev. Intern. 1997, 13, 519–551. [Google Scholar] [CrossRef]
- Wang, T.; Lin, L.; Ou, J.; Chen, M.; Yan, W. The inhibitory effects of varying water activity, pH, and nisin content on Staphylococcus aureus growth and enterotoxin a production in whipping cream. J. Food Saf. 2017, 37, e12280. [Google Scholar] [CrossRef]
- Gómez, I.; Janardhanan, R.; Ibañez, F.C.; Beriain, M.J. The effects of processing and preservation technologies on meat quality: Sensory and nutritional aspects. Foods 2020, 9, 1416. [Google Scholar] [CrossRef] [PubMed]
- Patarata, L.; Novais, M.; Fraqueza, M.; Silva, J. Influence of meat spoilage microbiota initial load on a naturally fermented sausage. Foods 2020, 9, 676. [Google Scholar] [CrossRef] [PubMed]
- IFT/FDA [Institute of Food Technologists/Food and Drug Administration]. Factors that influence microbial growth (Chapter 3). Compr. Rev. Food Sci. Food Saf. 2003, 2, 21–32. [Google Scholar] [CrossRef]
- EFSA. Opinion of the scientific panel on biological hazards on the request from the commission related to the effects of nitrites/nitrates on the microbiological safety of meat products. EFSA J. 2003, 14, 1–31. [Google Scholar]
- Ricci, A.; Allende, A.; Bolton, D.; Chemaly, M.; Davies, R.; Fernández Escámez, P.S.; Girones, R.; Herman, L.; Koutsoumanis, K.; Nørrung, B.; et al. Listeria monocytogenes contamination of ready-to-eat foods and the risk for human health in the EU. EFSA J. 2018, 16, 5134. [Google Scholar]
- Holck, A.; Axelsson, L.; McLeod, A.; Rode, M.; Heir, E. Health and safety considerations of fermented sausages. J. Food Qual. 2017, 3, 9753894. [Google Scholar] [CrossRef] [Green Version]
- Cazier, J.B.; Gekas, V. Water activity and its prediction: A review. Int. J. Food Prop. 2001, 4, 35–43. [Google Scholar] [CrossRef]
- Alía, A.; Rodríguez, A.; Andrade, M.J.; Gómez, F.M.; Córdoba, J.J. Combined effect of temperature, water activity and salt content on the growth and gene expression of Listeria monocytogenes in a dry-cured ham model system. Meat Sci. 2019, 155, 16–19. [Google Scholar] [CrossRef]
- Martuscelli, M.; Lupieri, L.; Sacchetti, G.; Mastrocola, D.; Pittia, P. Prediction of the salt content from water activity analysis in dry-cured ham. J. Food Eng. 2017, 200, 29–39. [Google Scholar] [CrossRef]
- Linares, M.B.; Garrido, M.D.; Martins, C.; Patarata, L. Efficacies of garlic and L. sakei in wine-based marinades for controlling Listeria monocytogenes and Salmonella spp. in chouriço de vinho, a dry sausage made from wine-marinated pork. J. Food Sci. 2013, 78, 719–724. [Google Scholar] [CrossRef]
- Allan, M.C.; Grush, E.N.; Rajwa, B.P.; Butzke, C.E.; Mauer, L.J. Determination of the water activities of wines and spirits. Food Anal. Methods 2019, 12, 2753–2763. [Google Scholar] [CrossRef]
- Velezmoro, C.E.; Meirelles, A.J.A. Water activity in solutions containing organic acids. Dry. Technol. 1998, 16, 1789–1805. [Google Scholar] [CrossRef]
- Kawski, V.L.; Bertol, T.M.; dos Santos, M.J.H.; Sawitzki, M.C.; Fiorentini, A.M.; Coldebella, A.; Agnes, I.B.L. Sensory and physicochemical characteristics of salamis added with vegetable-based curing ingredients. Ciênc. Rural 2017, 47, e20151510. [Google Scholar] [CrossRef] [Green Version]
- Pinton, M.B.M.; Santos, B.; Lorenzo, J.J.M.; Cichoski, A.A.J.; Boeira, C.C.P.; Campagnol, P.P.C.B.; dos Santos, B.A.; Lorenzo, J.J.M.; Cichoski, A.A.J.; Boeira, C.C.P.; et al. Green technologies as a strategy to reduce NaCl and phosphate in meat products: An overview. Curr. Opin. Food Sci. 2021, 40, 1–5. [Google Scholar] [CrossRef]
- Thangavelu, K.P.; Kerry, J.P.; Tiwari, B.K.; McDonnell, C.K. Novel processing technologies and ingredient strategies for the reduction of phosphate additives in processed meat. Trends Food Sci. Technol. 2019, 94, 43–53. [Google Scholar] [CrossRef]
- Guilbert, S.; Guillard, V. Additifs et agents dépresseurs de l’activité de l’eau. In Additifs et Auxiliaires de Fabrication Dans les Industries Agroalimentaires; Reynal, B., Multon, J.-L., Eds.; Lavoisier: Paris, France, 2009; pp. 215–252. [Google Scholar]
- Trout, G.R.; Schmidt, G.R. Utilization of phosphates in meat products. Meat Process. 1983, 36, 24–27. [Google Scholar]
- Talon, R.; Lebert, I.; Leroy, S.; Garriga, M.; Aymerich, T.; Drosinos, E.H.H.; Ianieri, A.; Fraqueza, M.J.J.; Patarata, L.; Lauková, A. Microbial ecosystem of tradicional dry fermented sausages in mediterranean countries and Slovakia. In Mediterranean Ecosystems: Dynamics, Management and Conservation; Williams, G.S., Ed.; Nova Sciene Publishers: New York, NY, USA, 2012; Volume 33, pp. 115–127. [Google Scholar]
- Kumar, P.; Chatli, M.K.; Verma, A.K.; Mehta, N.; Malav, O.P.; Kumar, D.; Sharma, N. Quality, functionality, and shelf life of fermented meat and meat products: A review. Crit. Rev. Food Sci. Nutr. 2017, 57, 2844–2856. [Google Scholar] [CrossRef]
- Laranjo, M.; Gomes, A.; Agulheiro-Santos, A.C.; Potes, M.E.; Cabrita, M.J.; Garcia, R.; Rocha, J.M.; Roseiro, L.C.; Fernandes, M.J.; Fraqueza, M.J.; et al. Impact of salt reduction on biogenic amines, fatty acids, microbiota, texture and sensory profile in traditional blood dry-cured sausages. Food Chem. 2017, 218, 129–136. [Google Scholar] [CrossRef]
- Fraqueza, M.J.; Laranjo, M.; Elias, M.; Patarata, L. Microbiological hazards associated with salt and nitrite reduction in cured meat products: Control strategies based on antimicrobial effect of natural ingredients and protective microbiota. Curr. Opin. Food Sci. 2021, 38, 32–39. [Google Scholar] [CrossRef]
- Puolanne, E.; Peltonen, J. The effects of high salt and low pH on the water-holding of meat. Meat Sci. 2013, 93, 167–170. [Google Scholar] [CrossRef] [PubMed]
- Fraqueza, M.; Patarata, L. Fermented Meat Products: From the Technology to the Quality Control. In Fermented Food Products; Sankaranarayanan, A., Amaresan, N., Dhanasekaran, D., Eds.; CRC Press: Boca Raton, FL, USA, 2020; pp. 197–237. [Google Scholar]
- ISO 1442; Meat and Meat Products—Determination of Moisture Content. ISO: Geneva, Switzerland, 1997.
- García-Díez, J.; Alheiro, J.; Pinto, A.L.; Soares, L.; Falco, V.; Fraqueza, M.J.; Patarata, L. Behaviour of food-borne pathogens on dry cured sausage manufactured with herbs and spices essential oils and their sensorial acceptability. Food Control 2016, 59, 262–270. [Google Scholar] [CrossRef]
- Colaço-do-Rosário, C.; Patarata, L.; Esteves, A.; Silva, J. Salsicharia Tradicional Transmontana: Caracterização, Monitorização e Experimentação da Tecnologia Artesanal. Relatório Final do Projecto PAMAF 3056; UTAD: Vila Real, Portugal, 2000. [Google Scholar]
- Patarata, L. Caracterização e Avaliação da Aptidão Tecnológica de Bactérias do Ácido Láctico e Micrococcaceae em Produtos de Salsicharia. Efeito da sua Utilização em Culturas de Arranque e de Formulação Acidificante no Fabrico de Linguiça Tradicional Transmontana. Ph.D. Thesis, Universidade de Trãs-os-Monte e Alto Douro, Vila Real, Portugal, 2002. [Google Scholar]
- USDA/FSIS [United States Department of Agriculture/Food Safety and Inspection Service]. FSIS Salmonella Compliance Guidelines for Small and Very Small Meat and Poultry Establishments that Produce Ready-to-Eat (RTE) Products and Revised Appendix A; Food Safety and Inspection Service, US Department of Agriculture: Washington, DC, USA, 2017.
- Faraggi, D.; Reiser, B. Estimation of the area under the ROC curve. Stat. Med. 2002, 21, 3093–3106. [Google Scholar] [CrossRef] [PubMed]
- Istrati, D.; Ciuciu, A.S.; Vizireanu, C.; Ionescu, A.; Carballo, J. Impact of spices and wine-based marinades on tenderness, fragmentation of myofibrillar proteins and color stability in bovine biceps femoris muscle. J. Texture Stud. 2015, 46, 455–466. [Google Scholar] [CrossRef]
- Albuquerque, G.N.; Costa, R.G.; Barba, F.J.; Gómez, B.; Ribeiro, N.L.; Beltrão Filho, E.M.; Sousa, S.; Santos, J.G.; Lorenzo, J.M. Effect of organic acids on the quality of sheep "buchada": From food safety to physicochemical, nutritional, and sensorial evaluation. J. Food Process. Preserv. 2019, 43, 1–8. [Google Scholar] [CrossRef]
- Fennema, O. Water and ice water activity in muscle and related tissue. In Proceedings of the 37th Reciprocal Meat Conference, Pullman, WA, USA, 23–29 July 1983; pp. 19–23. [Google Scholar]
- Fraqueza, M.J.; Patarata, L.; Lauková, A. Protective cultures and bacteriocins in fermented meats. In Fermented Meat Products: Health Aspects; Zdolec, N., Ed.; CRC Press: Boca Raton, FL, USA, 2017; pp. 228–269. [Google Scholar]
- Costa-Corredor, A.; Pakowski, Z.; Lenczewski, T.; Gou, P. Simulation of simultaneous water and salt diffusion in dry fermented sausages by the Stefan-Maxwell equation. J. Food Eng. 2010, 97, 311–318. [Google Scholar] [CrossRef]
- Aykın-Dinçer, E.; Erbaş, M. Drying kinetics, adsorption isotherms and quality characteristics of vacuum-dried beef slices with different salt contents. Meat Sci. 2018, 145, 114–120. [Google Scholar] [CrossRef]
- Troller, J.; Christian, J.H. Water Activity and Food; Academic Press: New York, NY, USA, 1978. [Google Scholar]
- Yanniotis, S.; Blahovec, J. Model analysis of sorption isotherms. LWT 2009, 42, 1688–1695. [Google Scholar] [CrossRef]
- Maguer, M. Machanisms and influence of water binding on water activity. In Water Activity: Theory and Applications to Food; Rockland, L., Beauchat, L., Eds.; Marcel Dekker Inc.: New York, NY, USA, 1987; pp. 1–26. [Google Scholar]
- Elias, M.; Laranjo, M.; Potes, M.; Agulheiro-Santos, A.; Fernandes, M.; Garcia, R.; Fraqueza, M. Impact of a 25% Salt Reduction on the Microbial Load, Texture, and Sensory Attributes of a Traditional Dry-Cured Sausage. Foods 2020, 9, 554. [Google Scholar] [CrossRef]
- Arslan, N.; Toǧrul, H. Modelling of water sorption isotherms of macaroni stored in a chamber under controlled humidity and thermodynamic approach. J. Food Eng. 2005, 69, 133–145. [Google Scholar] [CrossRef]
- Mataragas, M.; Bellio, A.; Rovetto, F.; Astegiano, S.; Decastelli, L.; Cocolin, L. Risk-based control of food-borne pathogens Listeria monocytogenes and Salmonella enterica in the Italian fermented sausages Cacciatore and Felino. Meat Sci. 2015, 103, 39–45. [Google Scholar] [CrossRef] [PubMed]
- Patarata, L.; Martins, S.; Silva, J.A.; Fraqueza, M.J. Red wine and garlic as a possible alternative to minimize the use of nitrite for controlling Clostridium sporogenes and Salmonella in a cured sausage: Safety and sensory implications. Foods 2020, 9, 206. [Google Scholar] [CrossRef] [PubMed] [Green Version]
- García-Díez, J.; Alheiro, J.; Pinto, A.L.; Falco, V.; Fraqueza, M.J.; Patarata, L. Synergistic activity of essential oils from herbs and spices used on meat products against food borne pathogens. Nat. Prod. Commun. 2017, 12, 281–286. [Google Scholar] [CrossRef] [PubMed]
- Verbakel, J.Y.; Steyerberg, E.W.; Uno, H.; De Cock, B.; Wynants, L.; Collins, G.S.; Van Calster, B. ROC curves for clinical prediction models part 1. ROC plots showed no added value above the AUC when evaluating the performance of clinical prediction models. J. Clin. Epidemiol. 2020, 126, 207–216. [Google Scholar] [CrossRef]






| Variable Ingredients | F1 | F2 | F3 | F4 | F5 | F6 | F7 | F8 |
|---|---|---|---|---|---|---|---|---|
| Salt | 1% | 1% | 1% | 1% | 3% | 3% | 3% | 3% |
| Phosphate (E451 + E4521) | - | - | 0.5% | 0.5% | - | - | 0.5% | 0.5% |
| Wine | - 1 | 7.5% | - 1 | 7.5% | - 1 | 7.5% | - 1 | 7.5% |
| Phase of Processing | 1% Salt | 3% Salt | p Value (Main Effects) | ||||||||
|---|---|---|---|---|---|---|---|---|---|---|---|
| No Phosphate | 0.5% Phosphate | No Phosphate | 0.5% Phosphate | Salt | p | Wine | |||||
| No Wine | 7.5% Wine | No Wine | 7.5% Wine | No Wine | 7.5% Wine | No Wine | 7.5% Wine | ||||
| aw | |||||||||||
| Stuffing | 0.95 ± 0.00 a | 0.96 ± 0.01 a | 0.95 ± 0.01 a | 0.95 ± 0.00 a | 0.94 ± 0.00 a | 0.95 ± 0.00 a | 0.95 ± 0.01 a | 0.95 ± 0.00 a | 0.053 | 0.335 | 0.863 |
| Smoking | 0.95 ± 0.00 ab | 0.95 ± 0.01 a | 0.94 ± 0.00 bc | 0.94 ± 0.00 bc | 0.94 ± 0.00 c | 0.94 ± 0.00 bc | 0.94 ± 0.00 bc | 0.95 ± 0.00 abc | 0.002 | 0.104 | 0.018 |
| 1 d drying | 0.95 ± 0.01 a | 0.95 ± 0.01 a | 0.94 ± 0.00 a | 0.94 ± 0.01 a | 0.94 ± 0.00 a | 0.94 ± 0.00 a | 0.94 ± 0.00 a | 0.94 ± 0.00 a | 0.148 | 0.295 | 0.886 |
| 5 d drying | 0.95 ± 0.01 a | 0.94 ± 0.00 ab | 0.94 ± 0.00 abc | 0.93 ± 0.00 bc | 0.93 ± 0.00 bc | 0.93 ± 0.00 c | 0.94 ± 0.00 abc | 0.94 ± 0.00 abc | 0.002 | 0.136 | 0.222 |
| 8 d drying | 0.93 ± 0.00 abc | 0.94 ± 0.01 a | 0.94 ± 0.00 ab | 0.93 ± 0.01 abc | 0.92 ± 0.00 abc | 0.92 ± 0.00 c | 0.93 ± 0.00 abc | 0.92 ± 0.00 bc | <0.001 | 0.667 | 0.262 |
| 11 d drying | 0.93 ± 0.00 a | 0.93 ± 0.00 a | 0.93 ± 0.00 a | 0.92 ± 0.00 b | 0.92 ± 0.00 b | 0.92 ± 0.00 b | 0.92 ± 0.00 b | 0.92 ± 0.00 b | <0.001 | 0.009 | 0.003 |
| 17 d drying | 0.91 ± 0.00 b | 0.92 ± 0.01 a | 0.91 ± 0.00 b | 0.90 ± 0.00 c | 0.90 ± 0.00 c | 0.88 ± 0.00 d | 0.90 ± 0.00 c | 0.87 ± 0.00 d | <0.001 | <0.001 | <0.001 |
| 24 d drying | 0.87 ± 0.00 a | 0.88 ± 0.00 a | 0.88 ± 0.00 a | 0.88 ± 0.00 a | 0.84 ± 0.01 bc | 0.84 ± 0.00 cd | 0.85 ± 0.00 b | 0.83 ± 0.00 d | <0.001 | 0.214 | 0.045 |
| 32 d drying | 0.84 ± 0.00 cd | 0.87 ± 0.00 ab | 0.86 ± 0.00 b | 0.87 ± 0.00 a | 0.83 ± 0.00 de | 0.83 ± 0.00 cde | 0.84 ± 0.00 c | 0.82 ± 0.01 e | <0.001 | <0.001 | 0.002 |
| 46 d drying | 0.80 ± 0.01 c | 0.83 ± 0.00 a | 0.81 ± 0.00 bc | 0.84 ± 0.00 a | 0.80 ± 0.00 bc | 0.81 ± 0.01 bc | 0.81 ± 0.00 b | 0.80 ± 0.00 bc | <0.001 | 0.003 | <0.001 |
| Moisture | |||||||||||
| Stuffing | 65.18 ± 0.46 c | 61.46 ± 0.40 d | 75.69 ± 0.43 a | 69.44 ± 0.86 b | 65.84 ± 1.08 c | 65.49 ± 1.02 c | 74.77 ± 0.52 a | 66.18 ± 0.54 c | 0.721 | <0.001 | <0.001 |
| Smoking | 60.43 ± 1.68 c | 61.27 ± 0.57 bc | 68.07 ± 1.00 a | 67.80 ± 1.63 a | 60.70 ± 1.10 c | 59.38 ± 0.49 c | 63.07 ± 0.76 bc | 64.76 ± 1.31 ab | 0.001 | <0.001 | 0.690 |
| 1 d drying | 53.09 ± 0.66 c | 57.39 ± 1.09 b | 63.05 ± 0.48 a | 62.83 ± 0.77 a | 50.71 ± 1.49 c | 57.41 ± 1.69 b | 62.46 ± 0.44 a | 64.30 ± 0.57 a | 0.468 | <0.001 | <0.001 |
| 5 d drying | 51.19 ± 0.62 c | 51.30 ± 1.26 c | 60.46 ± 1.25 a | 49.33 ± 0.63 cd | 46.79 ± 2.43 d | 55.68 ± 0.51 b | 61.29 ± 0.96 a | 62.12 ± 0.59 a | <0.001 | <0.001 | 0.593 |
| 8 d drying | 43.73 ± 0.22 d | 47.39 ± 1.01 c | 54.13 ± 0.28 a | 44.26 ± 0.59 d | 42.72 ± 0.35 d | 52.20 ± 0.13 b | 54.05 ± 0.29 a | 50.77 ± 0.37 b | <0.001 | <0.001 | 1.000 |
| 11 d drying | 42.62 ± 0.30 d | 41.74 ± 0.67 d | 42.17 ± 0.34 d | 40.31 ± 0.03 e | 41.47 ± 0.14 de | 50.32 ± 0.29 a | 45.22 ± 0.56 c | 48.50 ± 0.26 b | <0.001 | 0.934 | <0.001 |
| 17 d drying | 31.68 ± 0.94 de | 32.68 ± 0.21 d | 37.06 ± 0.30 c | 30.82 ± 0.24 e | 38.38 ± 0.43 bc | 39.16 ± 0.02 b | 43.64 ± 0.32 a | 39.03 ± 0.59 b | <0.001 | <0.001 | <0.001 |
| 24 d drying | 23.73 ± 0.42 e | 24.18 ± 0.39 e | 27.97 ± 0.61 d | 27.52 ± 1.07 d | 33.29 ± 0.20 b | 35.58 ± 0.27 a | 34.99 ± 0.01 ab | 30.12 ± 0.90 c | <0.001 | 0.005 | 0.043 |
| 32 d drying | 20.47 ± 0.30 e | 20.85 ± 0.45 e | 21.15 ± 0.04 e | 24.87 ± 0.10 d | 32.49 ± 1.83 b | 34.95 ± 0.29 a | 31.60 ± 0.14 b | 28.28 ± 0.25 c | <0.001 | 0.055 | 0.032 |
| 46 d drying | 18.99 ± 0.48 d | 19.97 ± 0.71 d | 20.65 ± 0.10 d | 23.55 ± 0.05 c | 30.39 ± 1.13 a | 29.27 ± 0.16 a | 30.70 ± 0.38 a | 26.38 ± 0.35 b | <0.001 | 0.025 | 0.171 |
| Formulation (n = 30) | Boltzmann Sigmoid Aw = a + (b − a)/(1 + exp((c − ML)/d)) | R2 | RMSE | |||
|---|---|---|---|---|---|---|
| a | b | c | d | |||
| F1-1% salt, 0 p, 0 w | 0.948 | −73.103 | 100.966 | 8.747 | 0.980 | 0.008 |
| F2-1% salt, 0 p, 7.5% w | 0.952 | −28.335 | 100.553 | 10.577 | 0.941 | 0.011 |
| F3-1% salt, 0.5% p, 0 w | 0.948 | −15.601 | 119.355 | 13.058 | 0.933 | 0.013 |
| F4-1% salt, 0.5% p, 7.5% w | −19.618 | 0.945 | 108.252 | −11.584 | 0.942 | 0.009 |
| F5-3% salt, 0 p, 0 w | 0.939 | 0.792 | 29.897 | 2.899 | 0.960 | 0.011 |
| F6-3% salt, 0 p, 7.5% w | 0.951 | 0.734 | 30.092 | 8.312 | 0.969 | 0.009 |
| F7-3% salt, 0.5% p, 0 w | 0.949 | 0.638 | 47.813 | 9.845 | 0.965 | 0.009 |
| F8-3% salt, 0.5% p, 7.5% w | 0.734 | 0.955 | 33.096 | −10.302 | 0.988 | 0.006 |
| Total (n = 240) | 0.945 | 0.839 | 28.470 | 0.737 | 0.025 | |
| Experiment | Predicted from Each Formulation | |||||||
|---|---|---|---|---|---|---|---|---|
| F1 | F2 | F3 | F4 | F5 | F6 | F7 | F8 | |
| Present work | ||||||||
| F1-1% salt, 0 p, 0 w 1 | 0.7 (0.0–2.5) | 1.3 (0.0–4.2) | 2.7 (0.0–12.1) | 1.4 (0.0–6.9) | 3.0 (0.0–10.1) | 4.9 (0.2–10.9) | 1.3 (0.1–3.6) | 3.6 (0.1–8.2) |
| F2-1% salt, 0 p, 7.5% w | 1.3 (0.0–5.4) | 0.9 (0.0–3.2) | 2.4 (0.0–10.0) | 1.6 (0.1–7.0) | 3.1 (0.0–8.9) | 4.2 (0.1–10.6) | 1.0 (0.0–3.3) | 3.0 (0.0–7.9) |
| F3-1% salt, 0.5% p, 0 w | 8.1 (0.1–34.7) | 8.8 (0.0–34.8) | 0.9 (0.0–3.9) | 3.2 (0.1–14.2) | 4.6 (0.0–12.4) | 6.9 (0.1–14.3) | 4.3 (0.0–14.3) | 5.7 (0.0–12.2) |
| F4-1% salt, 0.5% p, 7.5% w | 1.5 (0.0–6.2) | 2.6 (0.0–9.2) | 1.7 (0.1–6.8) | 0.7 (0.0–2.7) | 4.5 (0.0–11.3) | 6.4 (0.0–12.5) | 2.3 (0.0–6.8) | 5.0 (0.1–10.0) |
| F5-3% salt, 0 p, 0 w | 4.3 (0.1–14.2) | 3.5 (0.0–12.4) | 4.6 (0.1–15.3) | 3.9 (0.1–13.9) | 0.8 (0.0–3.2) | 2.3 (0.0–5.7) | 2.8 (0.1–11.1) | 2.0 (0.1–5.2) |
| F6-3% salt, 0 p, 7.5% w | 4.8 (0.1–13.1) | 4.3 (0.2–11.1) | 5.1 (0.0–14.7) | 4.5 (0.1–13.0) | 1.7 (0.0–5.4) | 0.7 (0.0–2.9) | 3.6 (0.0–9.8) | 1.2 (0.0–4.3) |
| F7-3% salt, 0.5% p, 0 w | 1.6 (0.1–5.0) | 1.1 (0.0–3.3) | 3.3 (0.0–11.2) | 2.1 (0.0–7.7) | 2.7 (0.0–6.3) | 4.3 (0.1–8.8) | 0.7 (0.0–2.6) | 3.0 (0.0–6.4) |
| F8-3% salt, 0.5% p, 7.5% w | 4.1 (0.1–10.8) | 3.3 (0.1–8.2) | 4.9 (0.0–14.4) | 4.1 (0.1–11.9) | 1.6 (0.0–3.9) | 1.3 (0.0–4.6) | 2.7 (0.0–7.4) | 0.5 (0.0–1.8) |
| External data | ||||||||
| Lower salt level (salt/moisture ≤ 2) 1 | 2.7 (0.0–20.4) | 3.6 (0.1–22.7) | 2.9 (0.0–19.3) | 2.3 (0.0–13.9) | 8.6 (0.3–13.2) | 9.6 (0.5–15.7) | 3.8 (0.1–13.5) | 7.5 (0.5–13.8) |
| Higher salt level (salt/moisture > 2) 2 | 7.5 (0.0–25.5) | 7.4 (0.1–26.3) | 10.0 (0.0–28.2) | 6.9 (0.2–23.6) | 5.1 (0.0–15.7) | 6.0 (0.0–15.5) | 5.3 (0.2–18.1) | 5.0 (0.0–13.3) |
| Moisture Loss | Aw Predicted from Each Formulation | |||||||
|---|---|---|---|---|---|---|---|---|
| F1 | F2 | F3 | F4 | F5 | F6 | F7 | F8 | |
| 20% | 0.94 | 0.94 | 0.94 | 0.94 | 0.93 | 0.90 | 0.93 | 0.91 |
| 25% | 0.94 | 0.93 | 0.94 | 0.93 | 0.92 | 0.87 | 0.92 | 0.89 |
| 30% | 0.93 | 0.91 | 0.93 | 0.92 | 0.86 | 0.84 | 0.90 | 0.86 |
| 35% | 0.91 | 0.89 | 0.92 | 0.91 | 0.81 | 0.81 | 0.88 | 0.83 |
| Variable | Beta | SE 1 | Wald χ2 | p-Value | OR 2 | 95% CI 3 |
|---|---|---|---|---|---|---|
| 5-log reduction | ||||||
| Intercept | 54.33 | 10.37 | 27.46 | <0.0001 | ||
| aw × 100 | −0.68 | 0.13 | 28.26 | <0.0001 | 0.51 | 0.39–0.65 |
| Salt, 3% | 2.01 | 0.68 | 8.77 | 0.003 | 7.49 | 1.98–28.36 |
| Phosphate, 0.5% | 0.97 | 0.66 | 2.17 | 0.141 | 2.63 | 0.73–9.49 |
| Wine, 7.5% | 1.26 | 0.68 | 3.49 | 0.062 | 3.53 | 0.94–13.26 |
| 2-log reduction | ||||||
| Intercept | 61.28 | 11.58 | 28.02 | <0.0001 | ||
| aw × 100 | −0.67 | 0.12 | 28.74 | <0.0001 | 0.51 | 0.40–0.65 |
| Salt, 3% | 2.69 | 0.48 | 31.86 | <0.0001 | 14.72 | 5.79–37.44 |
| Phosphate, 0.5% | −0.62 | 0.45 | 1.93 | 0.165 | 0.54 | 0.22–1.29 |
| Wine, 7.5% | 0.94 | 0.45 | 4.32 | 0.038 | 2.56 | 1.06–6.19 |
Publisher’s Note: MDPI stays neutral with regard to jurisdictional claims in published maps and institutional affiliations. |
© 2022 by the authors. Licensee MDPI, Basel, Switzerland. This article is an open access article distributed under the terms and conditions of the Creative Commons Attribution (CC BY) license (https://creativecommons.org/licenses/by/4.0/).
Share and Cite
Patarata, L.; Fernandes, L.; Silva, J.A.; Fraqueza, M.J. The Risk of Salt Reduction in Dry-Cured Sausage Assessed by the Influence on Water Activity and the Survival of Salmonella. Foods 2022, 11, 444. https://doi.org/10.3390/foods11030444
Patarata L, Fernandes L, Silva JA, Fraqueza MJ. The Risk of Salt Reduction in Dry-Cured Sausage Assessed by the Influence on Water Activity and the Survival of Salmonella. Foods. 2022; 11(3):444. https://doi.org/10.3390/foods11030444
Chicago/Turabian StylePatarata, Luis, Liliana Fernandes, José António Silva, and Maria João Fraqueza. 2022. "The Risk of Salt Reduction in Dry-Cured Sausage Assessed by the Influence on Water Activity and the Survival of Salmonella" Foods 11, no. 3: 444. https://doi.org/10.3390/foods11030444
APA StylePatarata, L., Fernandes, L., Silva, J. A., & Fraqueza, M. J. (2022). The Risk of Salt Reduction in Dry-Cured Sausage Assessed by the Influence on Water Activity and the Survival of Salmonella. Foods, 11(3), 444. https://doi.org/10.3390/foods11030444

