Quality and Shelf-Life Stability of Pork Meat Fillets Packaged in Multilayer Polylactide Films
Abstract
:1. Introduction
2. Materials and Methods
2.1. Materials
2.2. Film Characterization
2.2.1. Thickness and Conditioning
2.2.2. Thermal Characterization
2.2.3. Multilayer Structure Determination
2.2.4. Mechanical Analysis
2.2.5. Permeance Measurements
2.2.6. Optical Evaluation
2.3. Pork Meat Characterization
2.3.1. Preparation of Pork Meat Samples
2.3.2. Physico-Chemical Evaluation
2.3.3. Microbial Analysis
2.4. Statistical Analysis
3. Results and Discussion
3.1. Multilayer Structure
3.2. Mechanical Properties of Multilayers
3.3. Barrier Properties of Multilayers
3.4. Optical Properties of Multilayers
3.5. Physicochemical Properties of Packaged Pork Meat
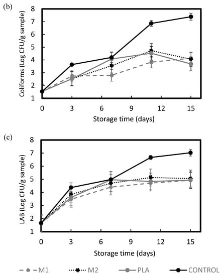
3.6. Microbial Analysis of Packaged Pork Meat
4. Conclusions
Author Contributions
Funding
Institutional Review Board Statement
Informed Consent Statement
Data Availability Statement
Acknowledgments
Conflicts of Interest
References
- Robertson, G.L. Packaging and food and beverage shelf life. In The Stability and Shelf Life of Food, 2nd ed.; Subramaniam, P., Ed.; Elsevier: Amsterdam, The Netherlands, 2016; pp. 77–106. [Google Scholar] [CrossRef]
- Torres-Giner, S.; Gil, L.; Pascual-Ramírez, L.; Garde-Belza, J.A. Packaging: Food waste reduction. In Encyclopedia of Polymer Applications; Mishra, M., Ed.; CRC Press: Boca Raton, FL, USA, 2019. [Google Scholar] [CrossRef]
- Baroni, L.; Cenci, L.; Tettamanti, M.; Berati, M. Evaluating the environmental impact of various dietary patterns combined with different food production systems. Eur. J. Clin. Nutr. 2007, 61, 279–286. [Google Scholar] [CrossRef] [PubMed] [Green Version]
- Radusin, T.; Torres-Giner, S.; Stupar, A.; Ristic, I.; Miletic, A.; Novakovic, A.; Lagaron, J.M. Preparation, characterization and antimicrobial properties of electrospun polylactide films containing Allium ursinum L. extract. Food Packag. Shelf Life 2019, 21, 100357. [Google Scholar] [CrossRef]
- Buntinx, M.; Willems, G.; Knockaert, G.; Adons, D.; Yperman, J.; Carleer, R.; Peeters, R. Evaluation of the Thickness and Oxygen Transmission Rate before and after Thermoforming Mono- and Multilayer Sheets into Trays with Variable Depth. Polymers 2014, 6, 3019–3043. [Google Scholar] [CrossRef] [Green Version]
- Domeño, C.; Aznar, M.; Nerín, C.; Isella, F.; Fedeli, M.; Bosetti, O. Safety by design of printed multilayer materials intended for food packaging. Food Addit. Contam. Part A 2017, 34, 1239–1250. [Google Scholar] [CrossRef]
- Suchek, N.; Fernandes, C.I.; Kraus, S.; Filser, M.; Sjögrén, H. Innovation and the circular economy: A systematic literature review. Bus. Strategy Environ. 2021, 30, 3686–3702. [Google Scholar] [CrossRef]
- Dixon, J. Packaging Materials: 9. Multilayer Packaging for Food and Beverages; Report Series; ILSI Europe: Bruxelles, Belgium, 2011; pp. 1–44. [Google Scholar]
- Abdin, M.; El-Beltagy, A.E.; El-sayed, M.E.; Naeem, M.A. Production and Characterization of Sodium Alginate/Gum Arabic Based Films Enriched with Syzygium cumini Seeds Extracts for Food Application. J. Polim. Environ. 2021, 1–12. [Google Scholar] [CrossRef]
- Eltabakh, M.; Kassab, H.; Badawy, W.; Abdin, M.; Abdelhady, S. Active Bio-composite Sodium Alginate/Maltodextrin Packaging Films for Food Containing Azolla pinnata Leaves Extract as Natural Antioxidant. J. Polim. Environ. 2021, 1–11. [Google Scholar] [CrossRef]
- Groot, W.; van Krieken, J.; Sliekersl, O.; de Vos, S. Production and purification of lactic acid and lactide. In Poly(Lactic Acid): Synthesis, Properties, Processing and Applications; Auras, R.A., Lim, L.-T., Selke, S.E.M., Tsuji, H., Eds.; Wiley & Sons Inc.: Hoboken, NJ, USA, 2010; pp. 1–18. [Google Scholar]
- Södergård, A.; Stolt, M. Industrial production of high molecular weight poly(lactic acid). In Poly(Lactic Acid): Synthesis, Properties, Processing and Applications; Auras, R.A., Lim, L.-T., Selke, S.E.M., Tsuji, H., Eds.; Wiley & Sons Inc.: Hoboken, NJ, USA, 2010; pp. 27–41. [Google Scholar]
- Nofar, M.; Sacligil, D.; Carreau, P.J.; Kamal, M.R.; Heuzey, M.-C. Poly(lactic acid) blends: Processing, properties and applications. Int. J. Biol. Macromol. 2019, 125, 307–360. [Google Scholar] [CrossRef]
- Gürler, N.; Paşa, S.; Temel, H. Silane doped biodegradable starch-PLA bilayer films for food packaging applications: Mechanical, thermal, barrier and biodegradability properties. J. Taiwan Inst. Chem. Eng. 2021, 123, 261–271. [Google Scholar] [CrossRef]
- Torres-Giner, S.; Figueroa-Lopez, K.J.; Melendez-Rodriguez, B.; Prieto, C.; Pardo-Figuerez, M.; Lagaron, J.M. Emerging trends in biopolymers for food packaging. In Sustainable Food Packaging Technology, 1st ed.; Athanassiou, A., Ed.; Wiley VCH: Weinheim, Germany, 2021; pp. 1–33. [Google Scholar] [CrossRef]
- Gerometta, M.; Rocca-Smith, J.R.; Domenek, S.; Karbowiak, T. Physical and chemical stability of PLA in food packaging. In Reference Module in Food Science; Smithers, G.W., Ed.; Elsevier: Amsterdam, The Netherlands, 2019. [Google Scholar] [CrossRef]
- Dave, D.; Abdel, E.G. Meat Spoilage Mechanisms and Preservation Techniques: A Critical Review. Am. J. Agri Biol. Sci. 2011, 6, 486–510. [Google Scholar] [CrossRef] [Green Version]
- Antoniewski, M.N.; Barringer, S.A. Meat Shelf-life and Extension using Collagen/Gelatin Coatings: A Review. Crit. Rev. Food Sci. Nutr. 2010, 50, 644–653. [Google Scholar] [CrossRef] [PubMed]
- Jeremiah, L.E. Packaging alternatives to deliver fresh meats using short- or long-term distribution. Food Res. Int. 2001, 34, 749–772. [Google Scholar] [CrossRef]
- ASTM. Standard test method for tensile properties of thin plastic sheeting. In Annual Book of ASTM Standards; ASTM D882; American Society for Testing and Materials: Philadelphia, PA, USA, 2001; pp. 162–170. [Google Scholar]
- ASTM. Standard test methods for water vapor transmission of materials. In Annual Book of ASTM Standards; ASTM E96/E96M; American Society for Testing and Materials: Philadelphia, PA, USA, 2005; pp. 406–413. [Google Scholar]
- ASTM. Standard test method for oxygen gas transmission rate through plastic film and sheeting using a coulometric sensor. In Annual Book of ASTM Standards; ASTM 3985-95; American Society for Testing and Materials: Philadelphia, PA, USA, 2002; pp. 472–477. [Google Scholar]
- Andrade, J.; González-Martínez, C.; Chiralt, A. Antimicrobial PLA-PVA multilayer films containing phenolic compounds. Food Chem. 2022, 375, 131861. [Google Scholar] [CrossRef] [PubMed]
- Bonilla, J.; Fortunati, E.; Vargas, M.; Chiralt, A.; Kenny, J.M. Effects of chitosan on the physicochemical and antimicrobial proerties of PLA films. J. Food Eng. 2014, 119, 236–243. [Google Scholar] [CrossRef]
- Siu, G.M.; Draper, H.H. A survey of malonaldehyde content of retail meats and fish. J. Food Sci. 1978, 43, 1147–1149. [Google Scholar] [CrossRef]
- Poisson, C.; Hervais, V.; Lacrampe, M.F.; Kraweczak, P. Optimization of PE/Binder/PA Extrusion Blow-Molded Films. II. Adhesion Properties Improvement Using Binder/EVA Blends. J. Appl. Polym. Sci. 2006, 101, 118–127. [Google Scholar] [CrossRef]
- Maes, C.; Luyten, W.; Herremans, G.; Peeters, R.; Carleer, R.; Buntinx, M. Recent Updates on the Barrier Properties of Ethylene Vinyl Alcohol Copolymer (EVOH): A Review. Polym. Rev. 2018, 58, 209–246. [Google Scholar] [CrossRef] [Green Version]
- Allen, N.S.; Edge, M.; Rodriguez, M.; Liauw, C.M.; Fontan, E. Aspects of the thermal oxidation of ethylene vinyl acetate copolymer. Polym. Degrad. Stab. 2000, 68, 363–371. [Google Scholar] [CrossRef]
- Ortiz-Barajas, D.L.; Arévalo-Prada, J.A.; Fenollar, O.; Rueda-Ordóñez, Y.J.; Torres-Giner, S. Torrefaction of coffee husk flour for the development of injection-molded green composite pieces of polylactide with high sustainability. Appl. Sci. 2020, 10, 6468. [Google Scholar] [CrossRef]
- Quiles-Carrillo, L.; Montava-Jordà, S.; Boronat, T.; Sammon, C.; Balart, R.; Torres-Giner, S. On the use of gallic acid as a potential natural antioxidant and ultraviolet light stabilizer in cast-extruded bio-based high-density polyethylene films. Polymers 2020, 12, 31. [Google Scholar] [CrossRef] [Green Version]
- Alvarez, V.A.; Ruseckaite, R.A.; Vázquez, A. Kinetic analysis of thermal degradation in poly(ethylene-vinyl alcohol) copolymers. J. Appl. Polym. Sci. 2003, 90, 3157–3163. [Google Scholar] [CrossRef]
- Valdés, A.; Martínez, C.; Garrigos, M.C.; Jimenez, A. Multilayer films based on poly(lactic acid)/gelatin supplemented with cellulose nanocrystals and antioxidant extract from almond shell by-product and its application on hass avocado preservation. Polymers 2021, 13, 3615. [Google Scholar] [CrossRef] [PubMed]
- Quiles-Carrillo, L.; Montanes, N.; Pineiro, F.; Jorda-Vilaplana, A.; Torres-Giner, S. Ductility and Toughness Improvement of Injection-Molded Compostable Pieces of Polylactide by Melt Blending with Poly(ε-caprolactone) and Thermoplastic Starch. Materials 2018, 11, 2138. [Google Scholar] [CrossRef] [PubMed] [Green Version]
- Rojas-Lema, S.; Quiles-Carrillo, L.; Garcia-Garcia, D.; Melendez-Rodriguez, B.; Balart, R.; Torres-Giner, S. Tailoring the properties of thermo-compressed polylactide films for food packaging applications by individual and combined additions of lactic acid oligomer and halloysite nanotubes. Molecules 2020, 25, 1976. [Google Scholar] [CrossRef] [Green Version]
- Lagarón, J.M. Multifunctional and nanoreinforced polymers for food packaging. In Multifunctional and Nanoreinforced Polymers for Food Packaging; Lagarón, J.-M., Ed.; Woodhead Publishing: Sawston, UK, 2011; pp. 1–28. [Google Scholar]
- Massey, L.K. Permeability Properties of Plastics and Elastomers; William Andrew Publishing: Norwich, NY, USA, 2003. [Google Scholar]
- Quiles-Carrillo, L.; Montanes, N.; Lagaron, J.M.; Balart, R.; Torres-Giner, S. In situ compatibilization of biopolymer ternary blends by reactive extrusion with low-functionality epoxy-based styrene–acrylic oligomer. J. Polym. Environ. 2019, 27, 84–96. [Google Scholar] [CrossRef]
- Gabirondo, E.; Melendez-Rodriguez, B.; Arnal, C.; Lagaron, J.M.; Martínez de Ilarduya, A.; Sardon, H.; Torres-Giner, S. Organocatalyzed closed-loop chemical recycling of thermo-compressed films of poly(ethylene furanoate). Polym. Chem. 2021, 12, 1571–1580. [Google Scholar] [CrossRef]
- Trinh, B.M.; Chang, C.C.; Mekonnen, T.H. Facile fabrication of thermoplastic starch/poly(lactic acid) multilayer films with superior gas and moisture barrier properties. Polymer 2021, 223, 123679. [Google Scholar] [CrossRef]
- Xiong, Y.; Chen, M.; Warner, R.D.; Fang, Z. Incorporating nisin and grape seed extract in chitosan-gelatine edible coating and its effect on cold storage of fresh pork. Food Control 2020, 110, 107018. [Google Scholar] [CrossRef]
- Wang, G.; Liu, Y.; Yong, H.; Zong, S.; Jin, C.; Liu, J. Effect of ferulic acid-grafted-chitosan coating on the quality of pork during refrigerated storage. Foods 2021, 10, 1374. [Google Scholar] [CrossRef]
- Athayde, D.R.; Flores, D.R.M.; da Silva, J.S.; Genro, A.L.G.; Silva, M.S.; Klein, B.; Cichoski, A.J. Application of electrolyzed water for improving pork meat quality. Food Res. Int. 2017, 100, 757–763. [Google Scholar] [CrossRef]
- Daniloski, D.; Petkoska, A.T.; Galić, K.; Ščetar, M.; Kurek, M.; Vaskoska, R.; Nedelkoska, D.N. The effect of barrier properties of polymeric films on the shelf-life of vacuum packaged fresh pork meat. Meat Sci. 2019, 158, 107880. [Google Scholar] [CrossRef] [PubMed]
- Stella, S.; Garavaglia, D.; Francini, S.; Viganò, V.; Bernardi, C.; Tirloni, E.A. Evaluation of the weight loss of raw beef cuts vacuumpackaged with two different techniques. Ital. J. Food Saf. 2019, 8, 8111. [Google Scholar] [CrossRef] [PubMed]
- Cayuela, J.M.; Gil, M.D.; Bañón, S.; Garrido, M.D. Effect of vacuum and modified atmosphere packaging on the quality of pork loin. Eur. Food Res. Technol. 2004, 219, 316–320. [Google Scholar] [CrossRef]
- Bağdatli, A.; Kayaardi, S. Influence of storage period and packaging methods on quality attributes of fresh beef steaks. CyTA J. Food 2015, 13, 124–133. [Google Scholar] [CrossRef] [Green Version]
- Song, N.B.; Lee, J.H.; Al Mijan, M.; Song, K.B. Development of a chicken feather protein film containing clove oil and its application in smoked salmon packaging. LWT Food Sci. Technol. 2014, 57, 453–460. [Google Scholar] [CrossRef]
- Qin, Y.-Y.; Yang, J.-Y.; Lu, H.-B.; Wang, S.-S.; Yang, J.; Yang, X.-C.; Cao, J.-X. Effect of chitosan film incorporated with tea polyphenol on quality and shelf life of pork meat patties. Int. J. Biol. Macromol. 2013, 61, 312–316. [Google Scholar] [CrossRef]
- Sheard, P.R.; Enser, M.; Wood, J.D.; Nute, G.R.; Gill, B.P.; Richardson, R.I. Shelf life and quality of pork and pork products with raised n-3 PUFA. Meat Sci. 2000, 55, 213–221. [Google Scholar] [CrossRef]
- Hutchings, J.B. Instrumental specification. In Food Colour and Appearance; Springer: New York, NY, USA, 1999; pp. 199–237. [Google Scholar] [CrossRef]
- Faustman, C.; Sun, Q.; Mancini, R.; Suman, S.P. Myoglobin and lipid oxidation interactions: Mechanistic bases and control. Meat Sci. 2010, 86, 86–94. [Google Scholar] [CrossRef]
- Karamucki, T.; Jakubowska, M.; Rybarczyk, A.; Gardzielewska, J. The influence of myoglobin on the colour of minced pork loin. Meat Sci. 2013, 94, 234–238. [Google Scholar] [CrossRef]
- Xu, F.; Wang, C.; Wang, H.; Xiong, Q.; Wei, Y.; Shao, X. Antimicrobial action of flavonoids from Sedum aizoon L. against lactic acid bacteria in vitro and in refrigerated fresh pork meat. J. Funct. Foods 2018, 40, 744–750. [Google Scholar] [CrossRef]
- Huang, L.; Zhao, J.; Chen, Q.; Zhang, Y. Rapid detection of total viable count (TVC) in pork meat by hyperspectral imaging. Food Res. Int. 2013, 54, 821–828. [Google Scholar] [CrossRef]
- European Commission. Commission Regulation (EC) No 2073/2005 of 15 November 2005 on Microbiological Criteria for Foodstuffs. Available online: https://data.europa.eu/eli/reg/2005/2073/oj (accessed on 12 September 2021).








| Film | Thickness (µm) | |||||
|---|---|---|---|---|---|---|
| Layer 1 | Layer 2 | Layer 3 | Layer 4 | Layer 5 | Total | |
| PLA | 1 | 18 | 1 | - | - | 20 |
| M1 | 21 | 5 | 22 | 90 | - | 138 |
| M2 | 5 | 17 | 5 | 16 | 60 | 103 |
| Film | Thicknesses (µm) | Water Vapor Permeance × 1011 (kg.m−2.Pa−1.s−1) | Limonene Permeance × 1010 (kg.m−2.Pa−1.s−1) | Oxygen Permeance × 1014 (m3.m−2.Pa−1.s−1) |
|---|---|---|---|---|
| PLA | 20 ± 1 a | 92.59 ± 5.82 a | 2.20 ± 0.17 a | 11.54 ± 2.02 a |
| M1 | 137 ± 3 b | 0.58 ± 0.40 b | 1.51 ± 0.14 b | 0.02 ± 0.00 b |
| M2 | 98 ± 2 c | 2.32 ± 1.67 c | 0.69 ± 0.04 c | 0.97 ± 0.03 c |
| Film | L* | Cab* | hab* | Ti (550 nm) |
|---|---|---|---|---|
| PLA | 94.9 ± 1.0 a | 4.3 ± 1.0 a | 127 ± 7.0 a | 0.93 ± 0.004 a |
| M1 | 84.6 ± 1.0 b | 2.6 ± 0.4 b | 132 ± 4.0 a | 0.90 ± 0.01 b |
| M2 | 85.6 ± 1.0 b | 1.9 ± 0.2 c | 148 ± 1.4 b | 0.91 ± 0.01 b |
| Film | Storage Time (Days) | |||
|---|---|---|---|---|
| 3 | 7 | 11 | 15 | |
| pH | ||||
| Control | 5.43 ± 0.01 a4 | 5.84 ± 0.15 a3 | 7.06 ± 0.09 a2 | 7.66 ± 0.13 a1 |
| PLA | 5.44 ± 0.02 a3 | 5.88 ± 0.05 a1 | 5.56 ± 0.02 b2 | 5.25 ± 0.04 b4 |
| M1 | 5.41 ± 0.02 a1 | 5.30 ± 0.01 b2 | 5.32 ± 0.02 c2 | 5.24 ± 0.01 b3 |
| M2 | 5.42 ± 0.03 a1 | 5.33 ± 0.01 b2 | 5.30 ± 0.01 c3 | 5.21 ± 0.01 b4 |
| Weight loss (%) | ||||
| PLA | 1.930 ± 0.300 a3 | 3.400 ± 1.160 a3 | 8.410 ± 1.500 a2 | 14.130 ± 1.300 a1 |
| M1 | 0.050 ± 0.004 b3 | 0.020 ± 0.010 b4 | 0.100 ± 0.010 b2 | 1.520 ± 0.800 b1 |
| M2 | 0.010 ± 0.001 c3 | 0.040 ± 0.010 c2 | 0.170 ± 0.110 c1 | 0.210 ± 0.100 c1 |
Publisher’s Note: MDPI stays neutral with regard to jurisdictional claims in published maps and institutional affiliations. |
© 2022 by the authors. Licensee MDPI, Basel, Switzerland. This article is an open access article distributed under the terms and conditions of the Creative Commons Attribution (CC BY) license (https://creativecommons.org/licenses/by/4.0/).
Share and Cite
Hernández-García, E.; Vargas, M.; Torres-Giner, S. Quality and Shelf-Life Stability of Pork Meat Fillets Packaged in Multilayer Polylactide Films. Foods 2022, 11, 426. https://doi.org/10.3390/foods11030426
Hernández-García E, Vargas M, Torres-Giner S. Quality and Shelf-Life Stability of Pork Meat Fillets Packaged in Multilayer Polylactide Films. Foods. 2022; 11(3):426. https://doi.org/10.3390/foods11030426
Chicago/Turabian StyleHernández-García, Eva, María Vargas, and Sergio Torres-Giner. 2022. "Quality and Shelf-Life Stability of Pork Meat Fillets Packaged in Multilayer Polylactide Films" Foods 11, no. 3: 426. https://doi.org/10.3390/foods11030426
APA StyleHernández-García, E., Vargas, M., & Torres-Giner, S. (2022). Quality and Shelf-Life Stability of Pork Meat Fillets Packaged in Multilayer Polylactide Films. Foods, 11(3), 426. https://doi.org/10.3390/foods11030426

