Food Colour Additives: A Synoptical Overview on Their Chemical Properties, Applications in Food Products, and Health Side Effects
Abstract
1. Introduction
2. Uses, Characteristics and Side Effects of Food Colourants
2.1. Natural Food Colours and Food Colours Synthesized Equally to the Natural
2.1.1. Curcumin
2.1.2. Riboflavin and Riboflavin-5’-Phosphate
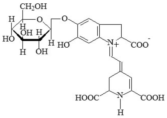
2.1.3. Cochineal, Carminic Acid or Carmines
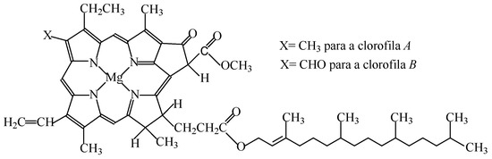
2.1.4. Chlorophylls, Chlorophyllins, and Copper Complexes of Chlorophylls and of Chlorophyllins
2.1.5. Caramels
2.1.6. Vegetable Carbon
2.1.7. Carotenes
2.1.8. Annatto Bixin and Annatto Norbixin
2.1.9. Paprika Extract
2.1.10. Lycopene
2.1.11. β-Apo-8′-carotenal (C 30)
2.1.12. Lutein
2.1.13. Canthaxanthin
2.1.14. Beetroot-Red
2.1.15. Anthocyanins
2.1.16. Calcium Carbonate
2.1.17. Titanium Dioxide
2.1.18. Iron Oxides and Iron Hydroxides
2.1.19. Aluminum
2.1.20. Silver
2.1.21. Gold
2.2. Synthetic Food Colours
2.2.1. Tartrazine
2.2.2. Quinoline Yellow
2.2.3. Sunset Yellow FCF
2.2.4. Azorubine
2.2.5. Amaranth
2.2.6. Ponceau 4R
2.2.7. Erythrosine
2.2.8. Allura Red AC
2.2.9. Patent Blue V
2.2.10. Indigotine
2.2.11. Brilliant Blue FCF
2.2.12. Green S
2.2.13. Brilliant Black PN
2.2.14. Brown HT
2.2.15. Litholrubine BK
3. Conclusions
Author Contributions
Funding
Conflicts of Interest
References
- Lidon, F.C.; Silvestre, M.M.A.S. Industrias Alimentares—Aditivos e Tecnologias; Escolar Editora: Lisboa, Portugal, 2007; ISBN 9789725922033. [Google Scholar]
- Lidon, F.C.; Silvestre, M.M.A.S. Princípios de Alimentação e Nutrição Humana; Escolar Editora: Lisboa, Portugal, 2010; ISBN 9789725922705. [Google Scholar]
- Commission Regulation (EU) No. 1129/2011. Amending Annex II to Regulation (EC) No. 1333/2008 of the European Parliament and of the Council by Establishing a Union List of Food Additives. J. Eur. Union 2011, L295, 1–177.
- Commission Directive 95/45/CE of the European Parliament and of the Council of 26 July 1995. Available online: https://eur-lex.europa.eu/legal-content/en/ALL/?uri=CELEX%3A31995L0045 (accessed on 5 December 2021).
- Commission Directive 99/75/CE of the European Parliament and of the Council of 22 July 1999. Available online: https://eur-lex.europa.eu/legal-content/EN/TXT/HTML/?uri=OJ:L:2021:099:FULL&from=ES (accessed on 5 December 2021).
- Regulation (EC) No. 1333/2008 of 16 December 2008. On Food Additives. Off. J. Eur. Union 2008, L 354, 16–33.
- Commission Regulation (EU) No. 231/2012 of 22 March 2012. Laying Down Specifications for Food Additives Listed in Annexes II and III to Regulation (EC) No. 1333/2008 of the European Parliament and of the Council. J. Eur. Union 2012, L83, 1–294.
- Commission Regulation (EU) No. 1274/2013 of the European Parliament and of the Council of 6 December 2013 Amending and Correcting Annexes II and III to Regulation (EC) No. 1333/2008 of the European Parliament and of the Council and the Annex to Commission Regulation (EU) No. 231/2012 as Regards Certain Food Additives. J. Eur. Union 2013, L328, 79–85.
- Commission Regulation (EU) No. 2015/1378 of the European Parliament and of the Council of 11 August 2015 amending Annex II to Regulation (EC) No. 1333/2008 of the European Parliament and of the Council as Regards the Use of Riboflavins (E 101) and Carotenes (E 160a) in Dried Potato Granules and Flakes. J. Eur. Union 2015, L213, 1–3.
- Commission Regulation (EU) No. 2020/771 of the European Parliament and of the Council of 11 June 2020 amending Annexes II and III to Regulation (EC) No. 1333/2008 of the European Parliament and of the Council and the Annex to Commission Regulation (EU) No. 231/2012 as Regards the Use of Annatto, Bixin, Norbixin (E 160b). J. Eur. Union 2020, L184, 25–42.
- Tuormaa, T.E. The adverse effects of food additives on health: A review of the literature with special emphasis on childhood hyperactivity. J. Orthomol. Med. 1994, 9, 225–243. [Google Scholar]
- Mathur, N.R.A.; Chaudhary, V.; Methta, M.; Gupta, S. Sunset Yellow induce changes in the lipid profile in male albino rat. Biochem. Cell. Arch. 2005, 5, 197–200. [Google Scholar]
- Mathur, N.R.A.; Chaudhary, V.; Methta, M.; Krishnatrey, R. Effect of Sunset Yellow on testies in rats. Ecophysiol. Occup. Health 2005, 5, 1–3. [Google Scholar]
- McCann, D.; Barrett, A.; Cooper, A.; Crumpler, D.; Dalen, L.; Grimshaw, K.; Kitchin, E.; Lok, K.; Porteous, L.; Prince, E.; et al. Food additives and hyperactive behavior in 3-year-old and 8/9-year-old children in the community: A randomized, double-blinded, placebo-controlled trial. Lancet 2007, 370, 1560–1567. [Google Scholar] [CrossRef]
- Abdelmigid, H.M. Risk assessment of food coloring agents on DNA damage using RAPD markers. Open Biotech. J. 2009, 3, 96–102. [Google Scholar] [CrossRef]
- Voss, C. Veneno no Seu Prato? Utilidades e Riscos Dos Aditivos Alimentares, 3rd ed.; EDIDECO—Editores para a Defesa do Consumidor Lda.: Lisboa, Portugal, 2011. [Google Scholar]
- Kobylewski, S.; Jacobson, M.F. Toxicology of food dyes. Int. J. Occup. Environ. Health 2012, 18, 220–246. [Google Scholar] [CrossRef]
- Inetianbor, J.E.; Ykubu, J.M.; Ezeonu, S.C. Effects of food additives and preservatives on man—A review. Asian J. Sci. Tech. 2015, 6, 1118–1135. [Google Scholar]
- Chung, K.T. Azo dyes and human health: A review. J. Environ. Sci. Health Part C 2016, 34, 233–261. [Google Scholar] [CrossRef]
- Scientific Opinion. Opinion of the Panel on Food Additives, Flavourings, Processing Aids and Materials in Contact with Food on the food colour red 2G (E128) based on a request from the Commission related to the re-evaluation of all permitted food additives (Question No. EFSA-Q-2007-126). EFSA J. 2007, 5, 515. [Google Scholar] [CrossRef]
- Scientific Opinion. On the re-evaluation of Brown FK (E154) as a food additive. In: EFSA Panel on Food Additives and Nutrient Sources added to Food (ANS). EFSA J. 2010, 8, 1535. [Google Scholar] [CrossRef]
- FAO. Curcumin. Residue Monograph Prepared by the Meeting of the Joint FAO/WHO Expert Committee on Food Additives (JECFA), 61st Meeting 2003. Available online: http://www.fao.org (accessed on 10 August 2021).
- Scientific Opinion. On re-evaluation of Tartrazine (E102) as a food additive. In: EFSA Panel on Food Additives and Nutrient Sources added to Food (ANS). EFSA J. 2009, 7, 1331. [Google Scholar] [CrossRef]
- Hashem, M.M.; Atta, A.H.; Arbid, M.S.; Nada, S.A.; Mouneir, S.M.; Asaad, G.F. Toxicological impact of amaranth, sunset yellow and curcumin as food coloring agents in albino rats. J. Pioneer. Med. Sci. 2011, 1, 43. [Google Scholar]
- Anand, P.; Kunnumakkara, A.B.; Newman, R.A.; Aggarwal, B.B. Bioavailability of curcumin: Problems and promises: An old age disease with an age-old solution. Cancer Lett. 2007, 267, 133–164. [Google Scholar] [CrossRef]
- Kawanishi, S.; Oikawa, S.; Murata, M. Evaluation for safety of antioxidant chemopreventive agents. Antioxid. Redox Signal. 2005, 7, 1728–1739. [Google Scholar] [CrossRef] [PubMed]
- Fang, J.; Lu, J.; Holmgren, A. Thioredoxin reductase is irreversibly modified by curcumin a novel molecular mechanism for its anticancer activity. J. Biol. Chem. 2005, 280, 25284–25290. [Google Scholar] [CrossRef]
- Lopez-Lázaro, M. Dual role of hydrogen peroxide in cancer: Possible relevance to cancer chemoprevention and therapy. Cancer Lett. 2007, 252, 1–8. [Google Scholar] [CrossRef]
- Martín-Cordero, C.; López-Lázaro, M.; Gálvez, M.; Jesús-Ayuso, M. Curcumin as a DNA topoisomerase II poison. J. Enzyme Inhibition Med. Chem. 2003, 18, 505–509. [Google Scholar] [CrossRef]
- Tsvetkov, P.; Asher, G.; Reiss, V.; Shaul, Y.; Sachs, L.; Lotem, J. Inhibition of NAD (P) H: Quinone oxidoreductase 1 activity and induction of p53 degradation by the natural phenolic compound curcumin. Proc. Natl. Acad. Sci. USA 2005, 102, 5535–5540. [Google Scholar] [CrossRef]
- Scientific Opinion. On the re-evaluation of curcumin (E100) as a food additive. In: EFSA Panel on Food Additives and Nutrient Sources added to Food (ANS). EFSA J. 2010, 8, 1679. [Google Scholar] [CrossRef]
- El-Malky, W.; Khiralla, G.; Salem, S. Nutritional study of some coloring agents on experimental rats. Int. J. Nutr. Food Sci. 2014, 3, 538–544. [Google Scholar] [CrossRef][Green Version]
- Hashem, M.M.; Atta, A.H.; Arbid, M.S.; Nada, S.A.; Asaad, G.F. Immunological studies on amaranth, sunset yellow and curcumin as food colouring agents in albino rats. Food Chem. Toxicol. 2010, 48, 1581–1586. [Google Scholar] [CrossRef]
- Noorafshan, A.; Ashkani-Esfahani, S. A review of therapeutic effects of curcumin. Curr. Pharmacol. Des. 2013, 19, 2031–2046. [Google Scholar] [CrossRef]
- Sharma, S.; Goyal, R.; Chakravarty, G.; Sharma, A. Tomato red toxicity: Haematological and serological changes in the blood of Swiss albino mice musculus. Indian J. Environ. Sci. 2006, 10, 145–148. [Google Scholar] [CrossRef]
- FAO. Riboflavins. Compendium of Food Additive Specifications. 67th Meeting 2006. FAO JECFA Monographs 1 2021. Available online: http://www.fao.org (accessed on 8 July 2021).
- Scientific Opinion. On the Re-Evaluation of Riboflavin (e 101 (i)) and Riboflavin-50-Phosphate Sodium (e 101 (ii)) as Food Additives. EFSA J. 2013, 11, 3357. [Google Scholar] [CrossRef]
- FAO. Cochineal Extract. Monograph 1. Prepared at the 55th JECFA 2000. Available online: http://www.fao.org (accessed on 8 August 2021).
- Scientific Opinion. On the re-evaluation of cochineal, carminic acid, carmines (E120) as a food additive. In: EFSA Panel on Food Additives and Nutrient Sources added to Food (ANS). EFSA J. 2015, 13, 4288. [Google Scholar] [CrossRef]
- Regulation (EC) No. 853/2004 of the European Parliament and of the Council of 29 April 2004. Laying down specific hygiene rules for food of animal origin. Off. J. Eur. Union 2004, L139, 55. 30.04.2004.
- WHO. Food Additive Series 46: Cochineal Extract, Carmine and Carminic Acid; Food Standards Agency: London, UK, 2020; Available online: https://inchem.org/documents/jecfa/jecmono/v46je03.htm (accessed on 15 September 2021).
- Scientific Opinion. On the re-evaluation of chlorophylls (E140(i)) as a food additive. In: EFSA Panel on Food Additives and Nutrient Sources added to Food (ANS). EFSA J. 2015, 13, 4089. [Google Scholar] [CrossRef]
- Scientific Opinion. On the re-evaluation of caramel colours (E 150 a,b,c,d) as food additives. EFSA J. 2011, 9, 2004. [Google Scholar] [CrossRef]
- EFSA Panel on Food Additives and Nutrient Sources added to Food (ANS). On the re-evaluation of vegetable carbon (E153) as a food additive. EFSA J. 2012, 10, 2592. [Google Scholar] [CrossRef]
- Scientific Opinion. On the re-evaluation of mixed carotenes (E 160a (i)) and beta-carotene (E 160a (ii)) as a food additive. EFSA J. 2012, 10, 2593. [Google Scholar] [CrossRef]
- Scientific Opinion. The safety of annatto extracts (E 160b) as a food additive. In: EFSA Panel on Food Additives and Nutrient Sources added to Food (ANS). EFSA J. 2016, 4, 4544. [Google Scholar] [CrossRef]
- Levy, L.W.; Regelado, E.; Navarette, S.; Watkins, R.H. Bixin and norbixin in human plasma: Determination and study of the absorption of a single dose of annatto food color. Analyst 1997, 122, 977–980. [Google Scholar] [CrossRef]
- Scientific Opinion. On the re-evaluation of paprika extract (E 160c) as a food additive. EFSA J. 2015, 13, 4320. [Google Scholar] [CrossRef]
- Scientific Opinion. Safety of synthetic lycopene. Scientific opinion of the Panel on Scientific Panel on Dietetic Products, Nutrition and Allergies (Question No EFSA-Q-2007-119). EFSA J. 2008, 6, 676. [Google Scholar] [CrossRef]
- Trumbo, P.R. Are there adverse effects of lycopene exposure? J. Nutr. 2005, 135, 2060S–2061S. [Google Scholar] [CrossRef]
- Scientific Opinion. On the substantiation of health claims related to lycopene and protection of DNA, proteins and lipids from oxidative damage (ID 1608, 1609, 1611, 1662, 1663, 1664, 1899, 1942, 2081, 2082, 2142, 2374), protection of the skin from UV-induced (including photo-oxidative) damage (ID 1259, 1607, 1665, 2143, 2262, 2373), contribution to normal cardiac function (ID 1610, 2372), and maintenance of normal vision (ID 1827) pursuant to Article 13(1) of Regulation (EC) No 1924/2006. EFSA J. 2011, 9, 2031. [Google Scholar] [CrossRef]
- Story, E.N.; Kopec, R.E.; Schwartz, S.J.; Harris, G.K. An update on the health effects of tomato Lycopen. Ann. Rev. Food Sci. Technol. 2010, 1, 189–210. [Google Scholar] [CrossRef]
- Tierney, A.; Rumble, C.; Billings, L.; George, E. Effect of dietary and supplemental lycopene on cardiovascular risk factors: A systematic review and meta-Analysis. Adv. Nutr. 2020, 11, 1453–1488. [Google Scholar] [CrossRef]
- EFSA Panel on Food Additives and Nutrient Sources added to Food (ANS). On the re-evaluation of β-apo-8′-carotenal (E160e) as a food additive. EFSA J. 2012, 10, 2499. [Google Scholar] [CrossRef]
- Scientific Opinion. On the reconsideration of the ADI and a refined exposure assessment of β-apo-8′-carotenal (E 160e). EFSA J. 2014, 12, 3492. [Google Scholar] [CrossRef]
- Durojaye, B.O.; Riedl, K.M.; Curley, R.W.; Harrison, E.H. Uptake and metabolism of β-apo-8′-carotenal, β-apo-10′-carotenal, and β-apo-13-carotenone in Caco-2 cells. J. Lipids Res. 2019, 60, 1121–1135. [Google Scholar] [CrossRef]
- Shegokar, R.; Mitri, K. Carotenoid lutein: A promising candidate for pharmaceutical and nutraceutical applications. J. Diet. Suppl. 2012, 9, 183–210. [Google Scholar] [CrossRef] [PubMed]
- Scientific Opinion. On the re-evaluation of lutein (E 161b) as a food additive. EFSA J. 2010, 8, 1678. [Google Scholar] [CrossRef]
- Liu, X.H.; Yu, R.B.; Liu, R.; Hao, Z.X.; Han, C.C.; Zhu, Z.H.; Ma, L. Association between lutein and zeaxanthin status and the risk of cataract: A meta-analysis. Nutrients 2014, 6, 452–465. [Google Scholar] [CrossRef]
- Ma, L.; Hao, Z.X.; Liu, R.R.; Yu, R.B.; Shi, Q.; Pan, J.P. A dose-response meta-analysis of dietary lutein and zeaxanthin intake in relation to risk of age-related cataract. Graefes Arch. Clin. Exp. Ophthalmol. 2014, 252, 63–70. [Google Scholar] [CrossRef]
- Freudenheim, J.L.; Marshall, J.R.; Vena, J.E.; Laughlin, R.; Brasure, J.R.; Swanson, M.K.; Nemoto, T.; Graham, S. Premenopausal breast cancer risk and intake of vegetables, fruits, and related nutrients. J. Natl. Cancer Inst. 1996, 88, 340–348. [Google Scholar] [CrossRef] [PubMed]
- Hyang-Sook, K.; Bowen, P.; Longwen, C.; Duncan, C.; Ghosh, L. Effects of tomato sauce consumption on apoptotic cell death in prostate benign hyperplasia and carcinoma. Nutr. Cancer 2003, 47, 40–47. [Google Scholar] [CrossRef]
- Mejía, E.G.; Ramos, G.; Loarca, P. Antimutagenic activity of natural xanthophylls against aflotoxins B1 in Salmonella typhimurium. Environ. Mol. Mutagens. 1997, 30, 346–353. [Google Scholar] [CrossRef]
- Narisawa, T.; Fukaura, Y.; Hasebe, M.; Ito, M.; Aizawa, R.; Murakoshi, M.; Uemura, S.; Khachik, F.; Nishino, H. Inhibitory effects of natural carotenoids, alpha-carotene, beta-carotene, lycopene and lutein, on colonic aberrant crypt foci formation in rats. Cancer Lett. 1996, 107, 137–142. [Google Scholar] [CrossRef]
- Surai, P.F. The antioxidant properties of canthaxanthin and its potential effects in the poultry eggs and on embryonic development of the chick, Part 1. World Poult. Sci. J. 2012, 68, 465–476. [Google Scholar] [CrossRef]
- Surai, P.F. The antioxidant properties of canthaxanthin and its potential effects in the poultry eggs and on embryonic development of the chick, Part 2. World Poult. Sci. J. 2012, 68, 717–726. [Google Scholar] [CrossRef]
- FAO. Canthaxanthin. Combined Compendium of Food Additive Specifications, FAO JECFA Monographs 1. Corrected at the 69th JECFA 2005. Available online: http://www.fao.org (accessed on 2 September 2021).
- European Parliament and Council Directive 94/36/EC. On clours for use in foodstuffs. J. Eur. Union 1994, L237, 13–29. [Google Scholar]
- Esatbeyoglu, T.; Rimbach, G. Canthaxanthin. From molecule to function. Mol. Nutr. Food Res. 2017, 61, 1600469. [Google Scholar] [CrossRef]
- Scientific Opinion. On the re-evaluation of canthaxanthin (E161g) as a food additive. In: EFSA Panel on Food Additives and Nutrient Sources added to Food (ANS). EFSA J. 2010, 8, 1852. [Google Scholar] [CrossRef]
- Scientific Opinion. Opinion of the scientific panel on additives and products or substances used in animal feed on the maximum residue limits for canthaxanthin in foodstuffs coming from animals fed with canthaxanthin used as a feed additive in accordance with Council Directive 70/524/EEC. EFSA J. 2007, 507, 1–19. [Google Scholar] [CrossRef]
- Commission Regulation (EC) No 775/2008. Establishing maximum residue limits for the feed additive canthaxanthin in addition to the conditions provided for in Directive 2003/7/EC. J. Eur. Union 2008, L207, 5–6.
- Commission Implementing Regulation (EU) No. 2015/1486. Concerning the authorisation of canthaxanthin as feed additive for certain categories of poultry, ornamental fish and ornamental birds. J. Eur. Union 2015, L229, 5–8.
- Devadiga, D.; Ahipa, T.N. Betanin: A red-violete pigment-Chemistry and applications. Chem. Technol. Nat. Synth. Dyes Pigments 2020, 5772, 88939. [Google Scholar] [CrossRef]
- Herbach, K.M.; Stintzing, F.C.; Carle, R. Betalain stability and degradation? Structural and chromatic aspects. J. Food Sci. 2006, 71, R41–R50. [Google Scholar] [CrossRef]
- Scientific Opinion. On the re-evaluation of beetroot red (E 162) as a food additive. EFSA J. 2015, 13, 4318. [Google Scholar] [CrossRef]
- Ceclu, L.; Nistor, O.-V. Red beetroot: Composition and health effects—A review. Nutr. Med. Diet Care 2020, 6, 43. [Google Scholar] [CrossRef]
- Belitz, H.D.; Grosch, W. Química de Los Alimentos. Spanish Translation of “Lehrbuch der Lebensmittelchemie”, 2nd ed.; López, R.C., Lorenzo, P.L., Rabinal, P.R., Escobar, J.E., Eds.; Editorial Acribia: Zaragoza, Spain, 1988; ISBN 8420008354 9788420008356. [Google Scholar]
- Woodward, G.; Kroon, P.; Cassidy, A. Anthocyanin stability and recovery: Implications for the analysis of clinical and experimental samples. J. Agric. Food Chem. 2009, 57, 5271–5278. [Google Scholar] [CrossRef]
- Andersen, Ø.M.; Jordheim, M. Anthocyanins—Food Applications. 5th Pigments in Food Congress—For Quality and Health; University of Helsinki: Helsinki, Finland, 2008; ISBN 9789521048463. [Google Scholar]
- Fossen, T.; Cabrita, L.; Andersen, O.M. Colour and stability of pure anthocyanins influenced by pH including the alkaline region. Food Chem. 1998, 63, 435–440. [Google Scholar] [CrossRef]
- Scientific opinion. On the re-evaluation of anthocyanins (E 163) as a food additive. EFSA J. 2013, 11, 3145. [Google Scholar] [CrossRef]
- Hrazdina, G. Anthocyanins, in the Flavomoids; Harborne, J.B., Malay, T.J., Eds.; Chapman & Hall: London, UK, 1982; pp. 135–188. [Google Scholar]
- Francis, F.J. Food colorants: Anthocyanins. Crit. Rev. Food Sci. Nutr. 1989, 28, 273–314. [Google Scholar] [CrossRef] [PubMed]
- De Rosso, V.V.; Morán Vieyra, F.E.; Mercadante, A.Z. Singlet oxygen quenching by anthocyanin’s flavylium cations. Free Radic. Res. 2008, 42, 885–891. [Google Scholar] [CrossRef] [PubMed]
- Scientific Opinion. On the substantiation of health claims related to various food(s)/food constituent(s) and protection of cells from premature aging, antioxidant activity, antioxidant content and antioxidant properties, and protection of DNA, proteins and lipids from oxidative damage pursuant to Article 13(1) of Regulation (EC) No 1924/20061. EFSA J. 2010, 8, 1489. [Google Scholar] [CrossRef][Green Version]
- Directive 2000/36/EC of the European Parliament and of the Council of the European Union of 23 June 2000-Relating to Cocoa and Chocolate Products Intended for Human Consumption. Available online: https://eur-lex.europa.eu/LexUriServ/LexUriServ.do?uri=CONSLEG:2000L0036:20081211:EN:PDF (accessed on 15 November 2021).
- Council Directive 2001/112/EC of 20 December 2001 Relating to Fruit Juices and Certain Similar Products Intended for Human Consumption. 2021. Available online: https://eur-lex.europa.eu/legal-content/en/ALL/?uri=CELEX%3A32001L0112 (accessed on 5 December 2021).
- Scientific Opinion. On the re-evaluation of calcium carbonate (E170) as a food additive. In EFSA Panel on Food Additives and Nutrient Sources added to Food (ANS). EFSA J. 2011, 9, 2318. [Google Scholar] [CrossRef]
- Jovanovic, B. Critical review of public health regulations of titanium dioxide, a human food additive. Integr. Environ. Assess. Manag. 2015, 11, 10–20. [Google Scholar] [CrossRef] [PubMed]
- Scientific Opinion. Safety assessment of titanium dioxide (E171) as a food additive. In: EFSA Panel on Food Additives and Flavourings (FAF). EFSA J. 2021, 19, 6585. [Google Scholar] [CrossRef]
- Scientific Opinion. On the re-evaluation of iron oxides and hydroxides (E 172) as food additives. EFSA J. 2015, 13, 4317. [Google Scholar] [CrossRef]
- Medina-Reyes, E.; Rodrígues-Ibarra, C.; Déciga-Alcara, A.; Diaz-Urbina, D.; Chirino, Y.; Pedraza-Chaverri, J. Food additives containing nanoparticles induce gastrotoxicity, hepatotoxicity and alterations in animal behavior: The unknown role of oxidative stress. Food Chem. Toxicol. 2020, 146, 111814. [Google Scholar] [CrossRef]
- Scientific Opinion. Scientific Opinion on the re-evaluation of silver (E174) as a food additive. In: EFSA Panel on Food Additives and Nutrient Sources added to Food (ANS). EFSA J. 2016, 14, 4364. [Google Scholar] [CrossRef]
- Scientific Opinion. On the re-evaluation of gold (E175) as a food additive. In: EFSA Panel on Food Additives and Nutrient Sources added to Food (ANS). EFSA J. 2016, 14, 4362. [Google Scholar] [CrossRef]
- Ai-Mashhedy, L.A.M.; Fijer, A.N. Acute toxicity of food additives tartazine and carmosine on white male mice. Int. J. PharmTech Res. 2016, 9, 364–367. [Google Scholar]
- FAO. Tartrazine. Compendium of Food Additive Specifications. Joint FAO/WHO Expert Committee on Food Additives (JECFA), 82nd Meeting 2016. FAO JECFA Monographs 19. FAO/WHO 2016. Available online: http://www.fao.org (accessed on 12 September 2021).
- Moutinho, I.L.D.; Bertges, L.C.; Assis, R.V.C. Prolonged use of the food dye tartrazine (FD&C yellow no. 5) and its effects on the gastric mucosa of wistar rats. Braz. J. Biol. 2007, 67, 141–145. [Google Scholar] [CrossRef] [PubMed]
- Rajan, J.; Simon, R.; Bosso, J. Prevalence of sensitivity to food and drug additives in patients with chronic idiopathic urticaria. J. Allergy Clin. Immunol. Pract. 2014, 2, 168–171. [Google Scholar] [CrossRef]
- Elhkim, M.; Heraud, F.; Bemrah, N. New considerations regarding the risk assessment on tartrazine. An update toxicological assessment, intolerance reactions and maximum theoretical daily intake in France. Regul. Toxicol. Pharmacol. 2007, 47, 308–316. [Google Scholar] [CrossRef]
- Mohamed, A.A.; Galal, A.A.; Elewa, Y.H. Comparative protective effects of royal jelly and cod liver oil against neurotoxic impact of tartrazine on male rat pups brain. Acta Histochem. 2015, 117, 649–658. [Google Scholar] [CrossRef] [PubMed]
- FAO. Quinoline Yellow. Compendium of food additive specifications. Joint FAO/WHO Expert Committee on Food Additives (JECFA), 82nd meeting 2016. FAO JECFA Monographs 19. FAO/WHO 2016. Available online: http://www.fao.org (accessed on 10 August 2021).
- Abbey, J. Colorants. Encyclopedia of Food Safety: Hazards and Diseases; Motarjemi, Y., Moy, G., Todd, E.D.C., Eds.; Academic Press: Cambridge, MA, USA, 2013; Volume 2, pp. 459–465. ISBN 9780123786135. [Google Scholar]
- FAO. Sunset Yellow FCF. FAO JECFA Monographs 5 (2008), Superseding Specifications Prepared at the 28th JECFA (1984), Published in Combined Compendium of Food Additive Specifications, FAO JECFA Monographs 1 (2005) 2008. Available online: http://www.fao.org (accessed on 2 September 2021).
- EFSA. Reconsideration of the temporary ADI and refined exposure assessment for Sunset Yellow FCF (E 110). EFSA J. 2014, 12, 3765. [Google Scholar] [CrossRef]
- Scientific Opinion. On re-evaluation of Sunset Yellow FCF (E110) as a food additive. In: EFSA Panel on Food Additives and Nutrient Sources added to Food (ANS). EFSA J. 2009, 7, 1330. [Google Scholar] [CrossRef]
- Yadav, A.; Kumar, A.; Tripathi, A.; Das, M. Sunset yellow FCF, a permitted food dye, alters functional responses of splenocytes at non-cytotoxic dose. Toxicol. Lett. 2013, 217, 197–204. [Google Scholar] [CrossRef]
- Gupta, V.K.; Mittal, A.; Malviya, A.; Mittal, J. Adsorption of carmoisine A from wastewater using waste materials-bottom ash and deoiled soya. J. Colloid Interface Sci. 2009, 335, 24–33. [Google Scholar] [CrossRef]
- Smith, J.; Hong-Shum, L. Food Additives Data Book, 2nd ed.; Wiley-Backwell: Hoboken, NJ, USA, 2011; pp. 196–198. ISBN 978-1-405-19543-0. [Google Scholar]
- Snehalatha, M.; Ravikumar, C.; Joe, I.H.; Sekar, N.; Jayakumar, V. Spectroscopic analysis and DFT calculations of a food additive carmoisine. Spectrochim. Acta Part A Mol. Biomol. Spectrosc. 2009, 72, 654–662. [Google Scholar] [CrossRef]
- FAO. Azorubine. FNP 31/1 (1984) and in FNP 52 (1992). Metals and Arsenic Specifications Revised at the 59th JECFA 2002. Available online: http://www.fao.org (accessed on 5 September 2021).
- Scientific Opinion. On the re-evaluation of azorubine/Carmoisine (E122) as a food additive. EFSA J. 2009, 7, 1332. [Google Scholar] [CrossRef]
- Pai, V.V.; Bhandari, P.; Kikkeri, N.N.; Athanikar, S.B.; Sori, T. Fixed drug eruption to fluconazole: A case report and review of literature. Indian J. Pharmacol. 2012, 44, 643–645. [Google Scholar] [CrossRef] [PubMed]
- FAO. Amaranth. FNP 31/1 (1984) and in FNP 52 (1992). Metals and Arsenic Specifications Revised at the 59th JECFA 2002. Available online: http://www.fao.org (accessed on 5 September 2021).
- Scientific Opinion. On the re-evaluation of amaranth (E123) as a food additive. EFSA J. 2010, 8, 1649. [Google Scholar] [CrossRef]
- FAO. Ponceau 4R. FAO JECFA Monographs 11 (2011), Superseding Specifications Prepared at the 28th JECFA (1984), Published in the Combined Compendium of Food Additive Specifications, FAO JECFA Monographs 1 (2005) 2011. Available online: http://www.fao.org (accessed on 5 September 2021).
- FAO. Erythrosine. Compendium of Food Additive Specifications. Joint FAO/WHO Expert Committee on Food Additives (JECFA), 86th Meeting 2018. FAO JECFA Monographs 22. FAO/WHO 2018. Available online: http://www.fao.org (accessed on 5 September 2021).
- Scientific Opinion. On the re-evaluation of Erythrosine (E100) as a food additive. In: EFSA Panel on Food Additives and Nutrient Sources added to Food (ANS). EFSA J. 2011, 9, 1854. [Google Scholar] [CrossRef]
- FAO. Allura Red AC. Compendium of Food Additive Specifications. Joint FAO/WHO Expert Committee on Food Additives (JECFA), 82nd Meeting 2016. FAO JECFA Monographs 19. FAO/WHO 2016. Available online: http://www.fao.org (accessed on 5 September 2021).
- EFSA. Refined exposure assessment for Allura Red AC (E 129). EFSA J. 2015, 13, 4007. [Google Scholar] [CrossRef]
- FAO. Patent Blue V. FAO JECFA Monographs 5 (2008), Superseding Specifications Prepared at the 31st JECFA (1987), Published in the Combined Compendium of Food Additive Specifications, FAO JECFA Monographs 1 (2005) 2008. Available online: http://www.fao.org (accessed on 5 September 2021).
- Scientific Opinion. 2013. Scientific Opinion on the Re-Evaluation of Patent Blue Y (E131) as a food additive. In EFSA Panel on Food Additives and Nutrient Sources added to Food (ANS). EFSA J. 2013, 11, 2818. [Google Scholar] [CrossRef]
- FAO. Indigotine. Compendium of Food Additive Specifications. Joint FAO/WHO Expert Committee on Food Additives (JECFA), 86th Meeting 2018. FAO JECFA Monographs 22. FAO/WHO 2018. Available online: http://www.fao.org (accessed on 5 September 2021).
- Scientific Opinion. On the re-evaluation of Indigo Carmine (E 132) as a food additive. EFSA J. 2014, 12, 3768. [Google Scholar] [CrossRef]
- FAO. Brilliant Blue FCF. Compendium of Food Additive Specifications. Joint FAO/WHO Expert Committee on Food Additives (JECFA), 84th Meeting 2017. FAO JECFA Monographs 20. FAO/WHO 2017. Available online: http://www.fao.org (accessed on 5 September 2021).
- Lucová, M.; Hojerová, J.; Pažoureková, S.; Klimová, Z. Absorption of triphenylmethane dyes Brilliant Blue and Patent Blue through intact skin, shaven skin and lingual mucosa from daily life products. Food Chem. Toxicol. 2014, 52, 19–27. [Google Scholar] [CrossRef]
- Scientific Opinion. On the re-evaluation of brilliant blue FCF (E133) as a food additive. EFSA J. 2010, 8, 1853. [Google Scholar] [CrossRef]
- FAO. Green S. FNP 52 (1992). Metals and Arsenic Specifications Revised at the 59th JECFA 2002. Available online: http://www.fao.org (accessed on 5 September 2021).
- Scientific Opinion. On the re-evaluation of Green S (E142) as a food additive. In: EFSA Panel on Food Additives and Nutrient Sources added to Food (ANS). EFSA J. 2010, 8, 1851. [Google Scholar] [CrossRef]
- FAO. Brilliant Black PN. Compendium of Food Additive Specifications. Joint FAO/WHO Expert Committee on Food Additives (JECFA), 87th Meeting 2019. FAO JECFA Monograph 23 (2019) 2019. Available online: http://www.fao.org (accessed on 17 September 2021).
- Scientific Opinion. On the re-evaluation of Brilliant Black PN (E151) as a food additive. In: EFSA Panel on Food Additives and Nutrient Sources added to Food (ANS). EFSA J. 2010, 8, 1540. [Google Scholar] [CrossRef]
- FAO. Brown HT. FNP 52 (1992). Metals and Arsenic Specifications Revised at the 59th JECFA 2002. Available online: http://www.fao.org (accessed on 21 September 2021).
- Scientific Opinion. On the re-evaluation of Brown HT (E155) as a food additive. In: EFSA Panel on Food Additives and Nutrient Sources added to Food (ANS). EFSA J. 2010, 8, 1536. [Google Scholar] [CrossRef]
- FAO. Litholrubine B.K FNP 52 (1992). Metals and Arsenic Specifications Revised at the 59th JECFA 2002. Available online: http://www.fao.org (accessed on 28 September 2021).
- Scientific Opinion. On the re-evaluation of Litholrubine BK (E180) as a food additive. In: EFSA Panel on Food Additives and Nutrient Sources added to Food (ANS). EFSA J. 2010, 8, 1586. [Google Scholar] [CrossRef]






























| Additive Code | Designation | Description (Colour and Appearance) |
|---|---|---|
| E 140(i) | Chlorophylls | Waxy solid ranging in colour from olive green to dark green depending on the content of coordinated magnesium |
| E 140(ii) | Chlorophyllins | Dark green to blue/black powder |
| E 141 (i) | Copper complexes of chlorophylls | Waxy solid ranging in colour from blue green to dark green depending on the source material |
| E 141(ii) | Copper complexes of chlorophyllins | Dark green to blue/black powder |
| Additive Code | Designation | Preparation |
|---|---|---|
| E 150a | Plain Caramel, Caustic caramel | Controlled heating of carbohydrates with or without addition of acids or bases. No sulphite or ammonium compounds are used. |
| E 150b | Caustic Sulphite Caramel | Controlled heating of carbohydrates with or without addition of acids or bases, in the presence of sulphite compounds (a). No ammonium compounds are used. |
| E 150c | Ammonia Caramel | Controlled heating of carbohydrates with or without addition of acids or bases, in the presence of ammonium compounds (b). No sulphite compounds are used. |
| E 150d | Sulphite Ammonia Caramel | Controlled heating of carbohydrates with or without addition of acids or bases, in the presence of both sulphite and ammonium compounds (c). |
| Designation | Chemical Name | Chemical Formula |
|---|---|---|
| Iron oxide Black or “Cl pigment black 11” | Ferroso and ferric oxide, iron (II, III) oxide | FeO·F2O3 |
| Iron oxide red or Cl pigment red 101 and 102 | Anhydrous ferric oxide, anhydrous iron (III) oxide | Fe2O3 |
| Iron oxide yellow or “Cl pigment yellow 42 and 43 | Hydrated ferric oxide, hydrated iron (III) oxide | FeO(OH)·xH2O |
Publisher’s Note: MDPI stays neutral with regard to jurisdictional claims in published maps and institutional affiliations. |
© 2022 by the authors. Licensee MDPI, Basel, Switzerland. This article is an open access article distributed under the terms and conditions of the Creative Commons Attribution (CC BY) license (https://creativecommons.org/licenses/by/4.0/).
Share and Cite
Silva, M.M.; Reboredo, F.H.; Lidon, F.C. Food Colour Additives: A Synoptical Overview on Their Chemical Properties, Applications in Food Products, and Health Side Effects. Foods 2022, 11, 379. https://doi.org/10.3390/foods11030379
Silva MM, Reboredo FH, Lidon FC. Food Colour Additives: A Synoptical Overview on Their Chemical Properties, Applications in Food Products, and Health Side Effects. Foods. 2022; 11(3):379. https://doi.org/10.3390/foods11030379
Chicago/Turabian StyleSilva, Maria Manuela, Fernando Henrique Reboredo, and Fernando Cebola Lidon. 2022. "Food Colour Additives: A Synoptical Overview on Their Chemical Properties, Applications in Food Products, and Health Side Effects" Foods 11, no. 3: 379. https://doi.org/10.3390/foods11030379
APA StyleSilva, M. M., Reboredo, F. H., & Lidon, F. C. (2022). Food Colour Additives: A Synoptical Overview on Their Chemical Properties, Applications in Food Products, and Health Side Effects. Foods, 11(3), 379. https://doi.org/10.3390/foods11030379
