Nutritional Quality of Gluten-Free Bakery Products Labeled Ketogenic and/or Low-Carb Sold in the Global Market
Abstract
1. Introduction
2. Materials and Methods
2.1. Data Collection
- Search 1 was conducted with the inclusion of “Keto/ketogenic” and “Low/No/Reduced Carb” to retrieve ketogenic and low carb products (K-LC).
- Search 2 was conducted with the inclusion of “Keto/ketogenic” and the exclusion of products labeled “Low/No/Reduced Carb” to retrieve ketogenic products (K).
- Search 3 was conducted with the inclusion “Low/No/Reduced Carb” and the exclusion of products labeled “Keto/ketogenic” to retrieve low carb products (LC).
- Search 4 was conducted with the exclusion of “Keto/ketogenic” and “Low/No/Reduced Carb” mentions to retrieve standard gluten-free bakery products (STD) to be used in the nutritional comparison. This search considered the products launched in the last six months (16 March–16 September 2022) owing to the high number of standard gluten-free products and to capture the most recent launches.
2.2. Data Extraction
2.3. Statistical Analysis
3. Results and Discussion
3.1. Description Analysis
3.2. Nutritional Quality
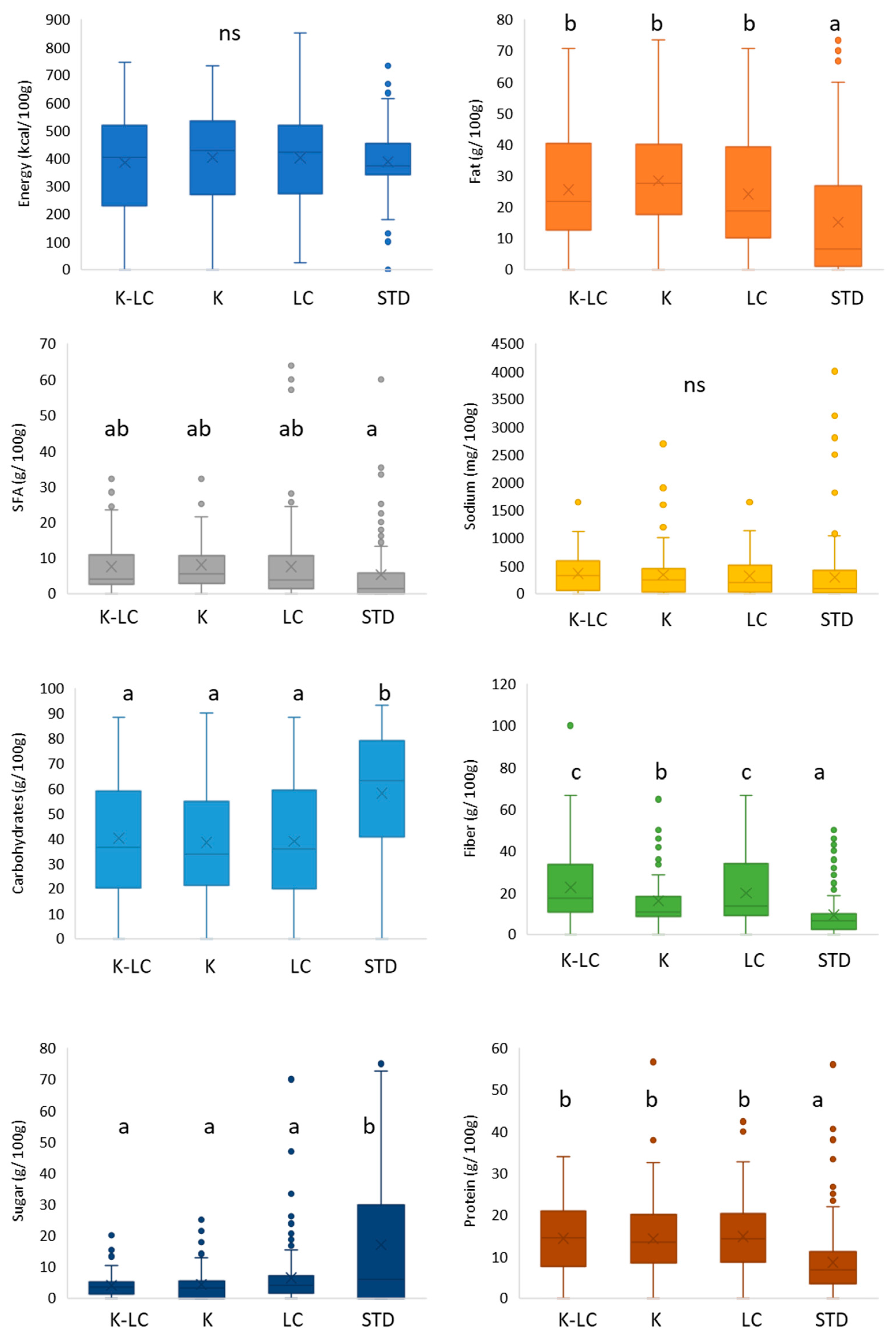
3.2.1. Bakery Flour Mixes
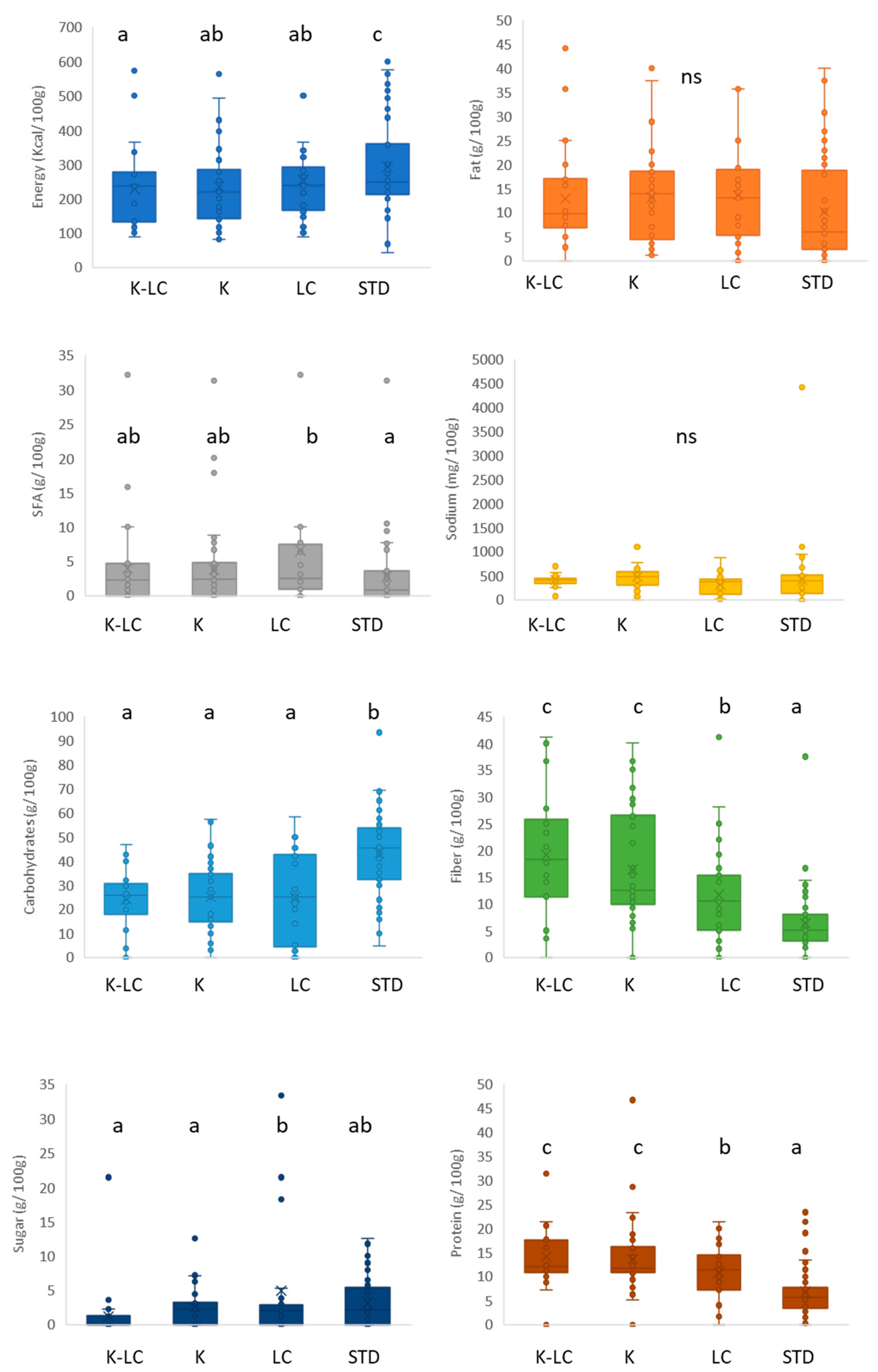
3.2.2. Bread Products
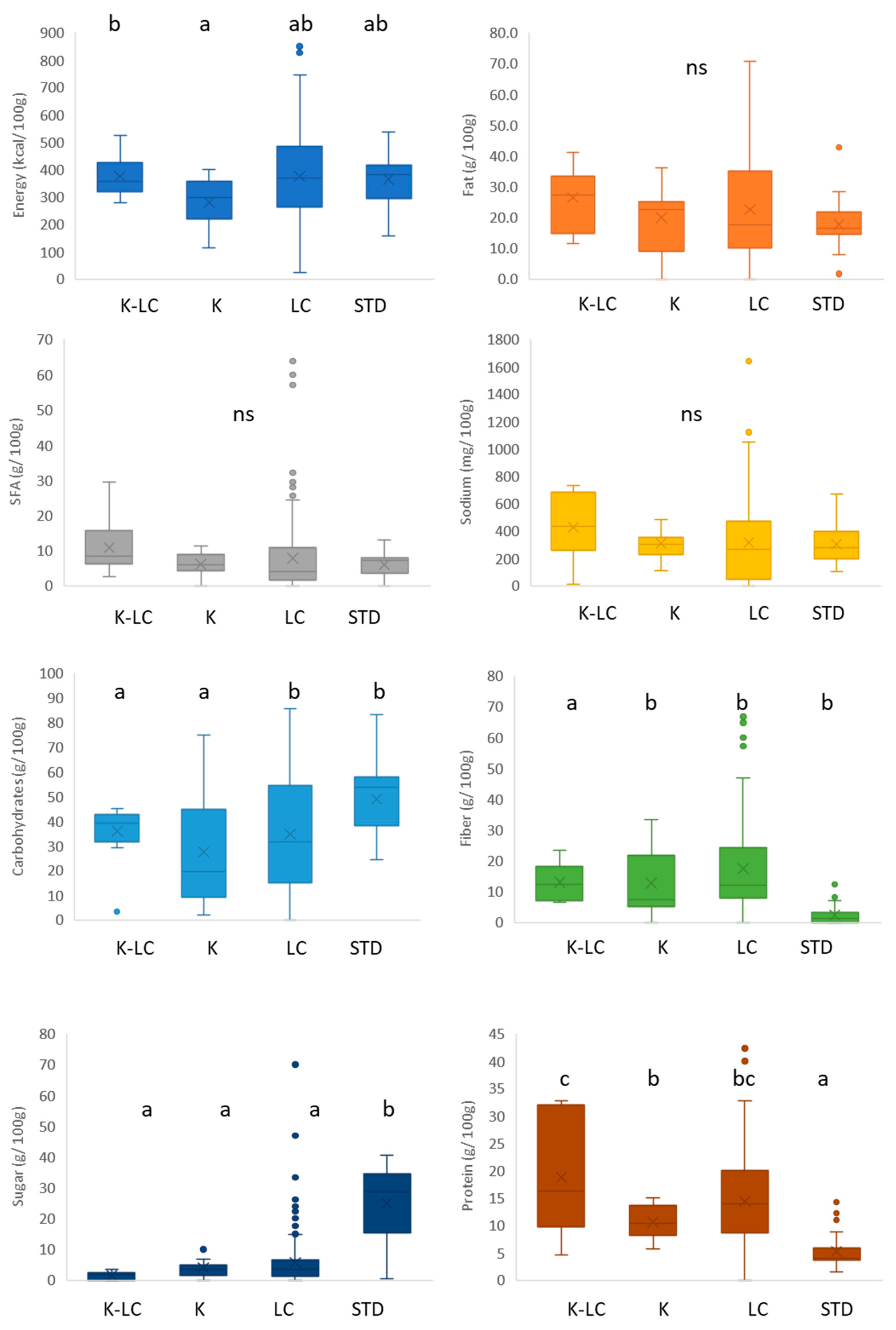
3.2.3. Cakes, Pastries, and Sweet Goods
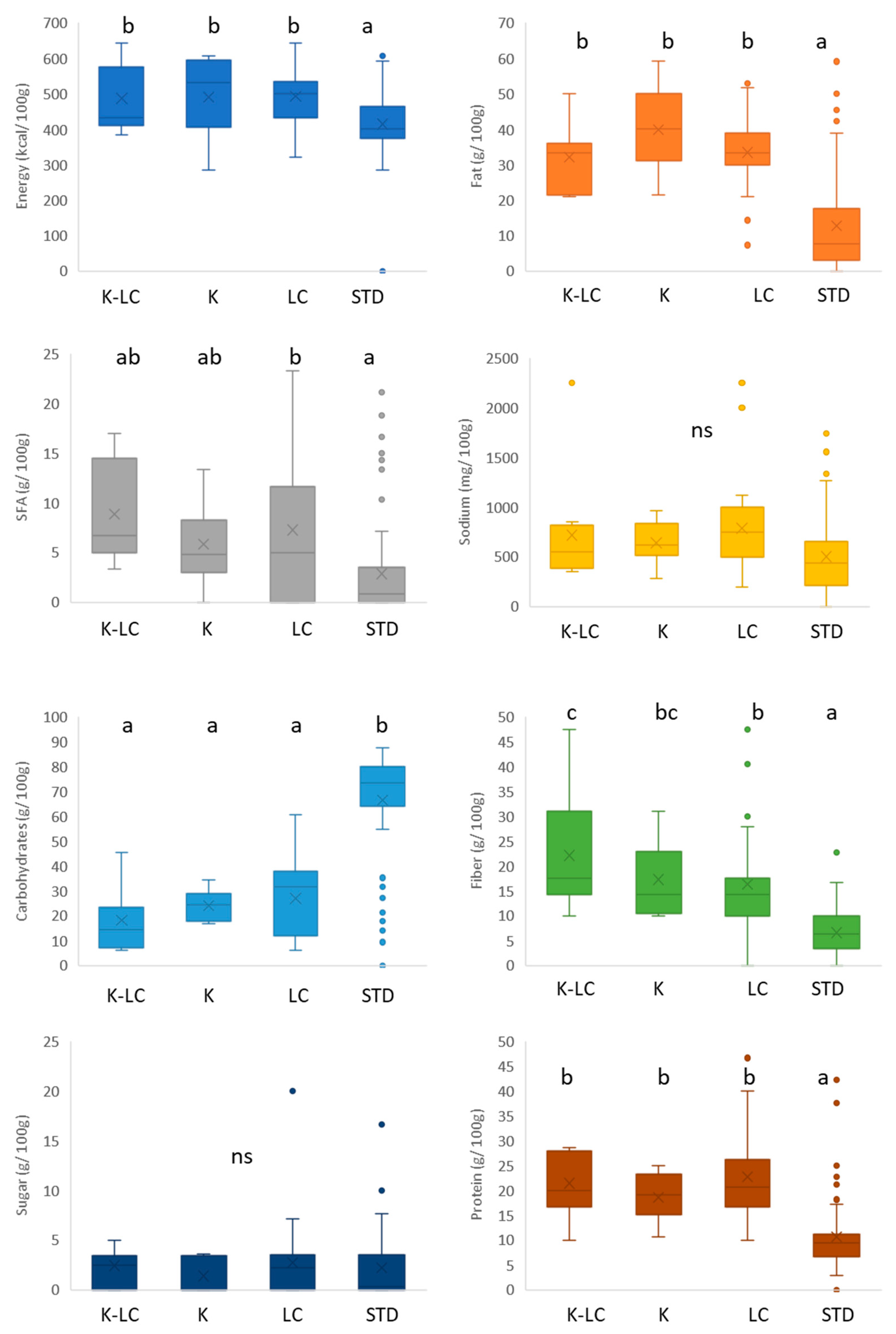
3.2.4. Savory Biscuits and Crackers
3.2.5. Sweet Biscuits and Cookies
4. Conclusions
Supplementary Materials
Author Contributions
Funding
Data Availability Statement
Conflicts of Interest
References
- Boukid, F. Cereal-Based Foodstuffs: The Backbone of Mediterranean Cuisine; Springer: Cham, Switzerland, 2021. [Google Scholar]
- Mefleh, M. Cereals of the Mediterranean Region: Their Origin, Breeding History and Grain Quality Traits. In Cereal-Based Foodstuffs: The Backbone of Mediterranean Cuisine; Springer International Publishing: Cham, Switzerland, 2021; pp. 1–18. [Google Scholar]
- Boukid, F.; Mejri, M.; Pellegrini, N.; Sforza, S.; Prandi, B. How Looking for Celiac-Safe Wheat Can Influence Its Technological Properties. Compr. Rev. Food Sci. Food Saf. 2017, 16, 797–807. [Google Scholar] [CrossRef] [PubMed]
- Morreale, F.; Boukid, F.; Carini, E.; Federici, E.; Vittadini, E.; Pellegrini, N. An Overview of the Italian Market for 2015: Cooking Quality and Nutritional Value of Gluten-Free Pasta. Int. J. Food Sci. Technol. 2019, 54, 780–786. [Google Scholar] [CrossRef]
- Pico, J.; Reguilón, M.P.; Bernal, J.; Gómez, M. Effect of Rice, Pea, Egg White and Whey Proteins on Crust Quality of Rice Flour-Corn Starch Based Gluten-Free Breads. J. Cereal Sci. 2019, 86, 92–101. [Google Scholar] [CrossRef]
- Kowalczewski, P.Ł.; Walkowiak, K.; Masewicz, Ł.; Bartczak, O.; Lewandowicz, J.; Kubiak, P.; Baranowska, H.M. Gluten-Free Bread with Cricket Powder—Mechanical Properties and Molecular Water Dynamics in Dough and Ready Product. Foods 2019, 8, 240. [Google Scholar] [CrossRef]
- Mefleh, M.; Boukid, F.; Fadda, C. Suitability of Improved and Ancient Italian Wheat for Bread-Making: A Holistic Approach. Life 2022, 12, 1613. [Google Scholar] [CrossRef]
- Belorio, M.; Gómez, M. Psyllium: A Useful Functional Ingredient in Food Systems. Crit. Rev. Food Sci. Nutr. 2021, 62, 527–538. [Google Scholar] [CrossRef]
- Gao, Y.; Janes, M.E.; Chaiya, B.; Brennan, M.A.; Brennan, C.S.; Prinyawiwatkul, W. Gluten-Free Bakery and Pasta Products: Prevalence and Quality Improvement. Int. J. Food Sci. Technol. 2018, 53, 19–32. [Google Scholar] [CrossRef]
- Xu, J.; Zhang, Y.; Wang, W.; Li, Y. Advanced Properties of Gluten-Free Cookies, Cakes, and Crackers: A Review. Trends Food Sci. Technol. 2020, 103, 200–213. [Google Scholar] [CrossRef]
- Myhrstad, M.C.W.; Slydahl, M.; Hellmann, M.; Garnweidner-Holme, L.; Lundin, K.E.A.; Henriksen, C.; Telle-Hansen, V.H. Nutritional Quality and Costs of Gluten-Free Products: A Case-Control Study of Food Products on the Norwegian Marked. Food Nutr. Res. 2021, 65. [Google Scholar] [CrossRef]
- Jnawali, P.; Kumar, V.; Tanwar, B. Celiac Disease: Overview and Considerations for Development of Gluten-Free Foods. Food Sci. Hum. Wellness 2016, 5, 169–176. [Google Scholar] [CrossRef]
- Di Cairano, M.; Galgano, F.; Tolve, R.; Caruso, M.C.; Condelli, N. Focus on Gluten Free Biscuits: Ingredients and Issues. Trends Food Sci. Technol. 2018, 81, 203–212. [Google Scholar] [CrossRef]
- Romão, B.; Falcomer, A.L.; Palos, G.; Cavalcante, S.; Botelho, R.B.A.; Nakano, E.Y.; Raposo, A.; Shakeel, F.; Alshehri, S.; Mahdi, W.A.; et al. Glycemic Index of Gluten-Free Bread and Their Main Ingredients: A Systematic Review and Meta-Analysis. Foods 2021, 10, 506. [Google Scholar] [CrossRef]
- Krupa-Kozak, U.; Lange, E. The Gluten-Free Diet and Glycaemic Index in the Management of Coeliac Disease Associated with Type 1 Diabetes. Food Rev. Int. 2019, 35, 587–608. [Google Scholar] [CrossRef]
- Boukid, F.; Vittadini, E.; Lusuardi, F.; Ganino, T.; Carini, E.; Morreale, F.; Pellegrini, N. Does Cell Wall Integrity in Legumes Flours Modulate Physiochemical Quality and in Vitro Starch Hydrolysis of Gluten-Free Bread? J. Funct. Foods 2019, 59, 110–118. [Google Scholar] [CrossRef]
- Boukid, F.; Rosell, C.M. The Nutritional Quality of Wholegrain and Multigrain Breads Is Not Necessarily Better than White Breads: The Case of Gluten-Free and Gluten-Containing Breads. Int. J. Food Sci. Nutr. 2022, 73, 902–914. [Google Scholar] [CrossRef]
- Batch, J.T.; Lamsal, S.P.; Adkins, M.; Sultan, S.; Ramirez, M.N. Advantages and Disadvantages of the Ketogenic Diet: A Review Article. Cureus 2020, 12, e9639. [Google Scholar] [CrossRef]
- Market Research Ketogenic Diet Market Forecast to 2027—COVID-19 Impact and Global Analysis by Product Type (Supplements, Beverages, Snacks, Dairy, and Others); and Distribution Channel (Hypermarket & Supermarket, Specialty Stores, Convenience Stores, and Others); and G. Available online: https://www.marketresearch.com/TIP-Knowledge-Services-v4095/Ketogenic-Diet-Forecast-COVID-Impact-14031593/ (accessed on 18 September 2022).
- Ashtary-Larky, D.; Bagheri, R.; Bavi, H.; Baker, J.S.; Moro, T.; Mancin, L.; Paoli, A. Ketogenic Diets, Physical Activity and Body Composition: A Review. Br. J. Nutr. 2022, 127, 1898. [Google Scholar] [CrossRef]
- Ratia, N.; Pietiläinen, K.H.; Auranen, M.; Saksa, L.; Luukkonen, R.; Suomalainen, A.; Piirilä, P. Modified Atkins Diet Modifies Cardiopulmonary Exercise Characteristics and Promotes Hyperventilation in Healthy Subjects. J. Funct. Foods 2021, 81, 104459. [Google Scholar] [CrossRef]
- Caprio, M.; Infante, M.; Moriconi, E.; Armani, A.; Fabbri, A.; Mantovani, G.; Mariani, S.; Lubrano, C.; Poggiogalle, E.; Migliaccio, S.; et al. Very-Low-Calorie Ketogenic Diet (VLCKD) in the Management of Metabolic Diseases: Systematic Review and Consensus Statement from the Italian Society of Endocrinology (SIE). J. Endocrinol. Investig. 2019, 42, 1365–1386. [Google Scholar] [CrossRef]
- Gillespie, R.; Ahlborn, G.J. Mechanical, Sensory, and Consumer Evaluation of Ketogenic, Gluten-Free Breads. Food Sci. Nutr. 2021, 9, 3327–3335. [Google Scholar] [CrossRef]
- Alarim, R.A.; Alasmre, F.A.; Alotaibi, H.A.; Alshehri, M.A.; Hussain, S.A. Effects of the Ketogenic Diet on Glycemic Control in Diabetic Patients: Meta-Analysis of Clinical Trials. Cureus 2020, 12, e10796. [Google Scholar] [CrossRef]
- Paoli, A. Ketogenic Diet for Obesity: Friend or Foe? Int. J. Environ. Res. Public Health 2014, 11, 2092–2107. [Google Scholar] [CrossRef]
- Davis, J.J.; Fournakis, N.; Ellison, J. Ketogenic Diet for the Treatment and Prevention of Dementia: A Review. J. Geriatr. Psychiatry Neurol. 2021, 34, 3–10. [Google Scholar] [CrossRef]
- Li, R.J.; Liu, Y.; Liu, H.Q.; Li, J. Ketogenic Diets and Protective Mechanisms in Epilepsy, Metabolic Disorders, Cancer, Neuronal Loss, and Muscle and Nerve Degeneration. J. Food Biochem. 2020, 44, e13140. [Google Scholar] [CrossRef]
- Wójcik, M.; Różyło, R.; Schönlechner, R.; Berger, M.V. Physico-Chemical Properties of an Innovative Gluten-Free, Low-Carbohydrate and High Protein-Bread Enriched with Pea Protein Powder. Sci. Rep. 2021, 11, 14498. [Google Scholar] [CrossRef]
- Caponio, G.R.; Difonzo, G.; de Gennaro, G.; Calasso, M.; De Angelis, M.; Pasqualone, A. Nutritional Improvement of Gluten-Free Breadsticks by Olive Cake Addition and Sourdough Fermentation: How Texture, Sensory, and Aromatic Profile Were Affected? Front. Nutr. 2022, 9, 75. [Google Scholar] [CrossRef]
- Market Search Future Gluten Free Bakery Market Size, Share, and Industry Analysis by 2030. Available online: https://www.marketresearchfuture.com/reports/gluten-free-bakery-market-3228 (accessed on 18 September 2022).
- Hopkin, L.; Broadbent, H.; Ahlborn, G.J. Influence of Almond and Coconut Flours on Ketogenic, Gluten-Free Cupcakes. Food Chem. X 2022, 13, 100182. [Google Scholar] [CrossRef]
- Leone, A.; De Amicis, R.; Lessa, C.; Tagliabue, A.; Trentani, C.; Ferraris, C.; Battezzati, A.; Veggiotti, P.; Foppiani, A.; Ravella, S.; et al. Food and Food Products on the Italian Market for Ketogenic Dietary Treatment of Neurological Diseases. Nutrients 2019, 11, 1104. [Google Scholar] [CrossRef]
- Sloan, A.E. The Top 10 Functional Food Trends 2004. Food Technol. Mag. 2004, 58, 28–51. [Google Scholar]
- Ebbeling, C.B.; Feldman, H.A.; Klein, G.L.; Wong, J.M.W.; Bielak, L.; Steltz, S.K.; Luoto, P.K.; Wolfe, R.R.; Wong, W.W.; Ludwig, D.S. Effects of a Low Carbohydrate Diet on Energy Expenditure during Weight Loss Maintenance: Randomized Trial. BMJ 2018, 363. [Google Scholar] [CrossRef]
- Schutz, Y.; Montani, J.P.; Dulloo, A.G. Low-Carbohydrate Ketogenic Diets in Body Weight Control: A Recurrent Plaguing Issue of Fad Diets? Obes. Rev. 2021, 22 (Suppl. 2), e13195. [Google Scholar] [CrossRef]
- Demasi, M. COVID-19 and Metabolic Syndrome: Could Diet Be the Key? BMJ Evid.-Based Med. 2021, 26, 1–2. [Google Scholar] [CrossRef]
- Gangitano, E.; Tozzi, R.; Mariani, S.; Lenzi, A.; Gnessi, L.; Lubrano, C. Ketogenic Diet for Obese COVID-19 Patients: Is Respiratory Disease a Contraindication? A Narrative Review of the Literature on Ketogenic Diet and Respiratory Function. Front. Nutr. 2021, 8, 1078. [Google Scholar] [CrossRef]
- Bilsborough, S.; Crowe, T. Low-Carbohydrate Diets: What Are the Potential Short- and Long-Term Health Implications? Asia Pac. J. Clin. Nutr. 2003, 12, 396–404. [Google Scholar]
- O’Driscoll, T.; Minty, R.; Poirier, D.; Poirier, J.; Hopman, W.; Willms, H.; Goertzen, A.; Madden, S.; Kelly, L. New Obesity Treatment: Fasting, Exercise and Low Carb Diet—The NOT-FED Study. Can. J. Rural. Med. 2021, 26, 55–60. [Google Scholar] [CrossRef]
- Norwood, F.B. Perceived Impact of Information Signals on Opinions about Gluten-Free Diets. PLoS ONE 2021, 16, e0248570. [Google Scholar] [CrossRef]
- Research and Markets. The U.S. Weight Loss & Diet Control Market. Available online: https://www.researchandmarkets.com/reports/5313560/the-u-s-weight-loss-and-diet-control-market (accessed on 22 September 2022).
- Jones, A.L. The Gluten-Free Diet: Fad or Necessity? Diabetes Spectr. 2017, 30, 118. [Google Scholar] [CrossRef]
- Soares, F.L.P.; de Oliveira Matoso, R.; Teixeira, L.G.; Menezes, Z.; Pereira, S.S.; Alves, A.C.; Batista, N.V.; de Faria, A.M.C.; Cara, D.C.; Ferreira, A.V.M.; et al. Gluten-Free Diet Reduces Adiposity, Inflammation and Insulin Resistance Associated with the Induction of PPAR-Alpha and PPAR-Gamma Expression. J. Nutr. Biochem. 2013, 24, 1105–1111. [Google Scholar] [CrossRef]
- Ehteshami, M.; Shakerhosseini, R.; Sedaghat, F.; Hedayati, M.; Eini-Zinab, H.; Hekmatdoost, A. The Effect of Gluten Free Diet on Components of Metabolic Syndrome: A Randomized Clinical Trial. Asian Pac. J. Cancer Prev. 2018, 19, 2979. [Google Scholar] [CrossRef]
- Popkin, B.M.; Reardon, T. Obesity and the Food System Transformation in Latin America. Obes. Rev. 2018, 19, 1028–1064. [Google Scholar] [CrossRef]
- Fisberg, R.M.; Fontanelli, M.M.; Kowalskys, I.; Gómez, G.; Rigotti, A.; Cortés, L.Y.; García, M.Y.; Pareja, R.G.; Herrera-Cuenca, M.; Fisberg, M.; et al. Total and Whole Grain Intake in Latin America: Findings from the Multicenter Cross-Sectional Latin American Study of Health and Nutrition (ELANS). Eur. J. Nutr. 2022, 61, 489. [Google Scholar] [CrossRef]
- Kovalskys, I.; Fisberg, M.; Gómez, G.; Pareja, R.G.; Yépez García, M.C.; Cortés Sanabria, L.Y.; Herrera-Cuenca, M.; Rigotti, A.; Guajardo, V.; Zalcman Zimberg, I.; et al. Energy Intake and Food Sources of Eight Latin American Countries: Results from the Latin American Study of Nutrition and Health (ELANS). Public Health Nutr. 2018, 21, 2535–2547. [Google Scholar] [CrossRef]
- Mohan, V.; Unnikrishnan, R.; Shobana, S.; Malavika, M.; Anjana, R.M.; Sudha, V. Are Excess Carbohydrates the Main Link to Diabetes & Its Complications in Asians? Indian J. Med. Res. 2018, 148, 531. [Google Scholar] [CrossRef]
- Rhee, E.J. Diabetes in Asians. Endocrinol. Metab. 2015, 30, 263–269. [Google Scholar] [CrossRef]
- Sakurai, M.; Nakamura, K.; Miura, K.; Takamura, T.; Yoshita, K.; Nagasawa, S.Y.; Morikawa, Y.; Ishizaki, M.; Kido, T.; Naruse, Y.; et al. Dietary Carbohydrate Intake, Presence of Obesity and the Incident Risk of Type 2 Diabetes in Japanese Men. J. Diabetes Investig. 2016, 7, 343. [Google Scholar] [CrossRef]
- Sanada, M.; Kabe, C.; Hata, H.; Uchida, J.; Inoue, G.; Tsukamoto, Y.; Yamada, Y.; Irie, J.; Tabata, S.; Tabata, M.; et al. Efficacy of a Moderately Low Carbohydrate Diet in a 36-Month Observational Study of Japanese Patients with Type 2 Diabetes. Nutrients 2018, 10, 528. [Google Scholar] [CrossRef]
- Wheatley, S.D.; Deakin, T.A.; Arjomandkhah, N.C.; Hollinrake, P.B.; Reeves, T.E. Low Carbohydrate Dietary Approaches for People With Type 2 Diabetes—A Narrative Review. Front. Nutr. 2021, 8, 687658. [Google Scholar] [CrossRef]
- Castro-Quezada, I.; Román-Viñas, B.; Serra-Majem, L. The Mediterranean Diet and Nutritional Adequacy: A Review. Nutrients 2014, 6, 231. [Google Scholar] [CrossRef]
- Huang, C.L.; Sumpio, B.E. Olive Oil, the Mediterranean Diet, and Cardiovascular Health. J. Am. Coll. Surg. 2008, 207, 407–416. [Google Scholar] [CrossRef]
- Azizi, F.; Hadaegh, F.; Hosseinpanah, F.; Mirmiran, P.; Amouzegar, A.; Abdi, H.; Asghari, G.; Parizadeh, D.; Montazeri, S.A.; Lotfaliany, M.; et al. Metabolic Health in the Middle East and North Africa. Lancet Diabetes Endocrinol. 2019, 7, 866–879. [Google Scholar] [CrossRef]
- Afshin, A.; Micha, R.; Khatibzadeh, S.; Fahimi, S.; Shi, P.; Powles, J.; Singh, G.; Yakoob, M.Y.; Abdollahi, M.; Al-Hooti, S.; et al. The Impact of Dietary Habits and Metabolic Risk Factors on Cardiovascular and Diabetes Mortality in Countries of the Middle East and North Africa in 2010: A Comparative Risk Assessment Analysis. BMJ Open 2015, 5, e006385. [Google Scholar] [CrossRef] [PubMed]
- Golzarand, M.; Mirmiran, P.; Jessri, M.; Toolabi, K.; Mojarrad, M.; Azizi, F. Dietary Trends in the Middle East and North Africa: An Ecological Study (1961 to 2007). Public Health Nutr. 2012, 15, 1835–1844. [Google Scholar] [CrossRef] [PubMed]
- Sali, S.; Farhadnejad, H.; Asghari, G.; Teymoori, F.; Mirmiran, P.; Djazayeri, A.; Azizi, F. Animal Based Low Carbohydrate Diet Is Associated with Increased Risk of Type 2 Diabetes in Tehranian Adults. Diabetol. Metab. Syndr. 2020, 12, 87. [Google Scholar] [CrossRef] [PubMed]
- Public Health England. In Government Dietary Recommendations: Government Recommendations for Energy and Nutrients for Males and Females Aged 1–18 Years and 19+ Years; PHE: London, UK, 2016. Available online: https://assets.publishing.service.gov.uk/government/uploads/system/uploads/attachment_data/file/618167/government_dietary_recommendations.pdf (accessed on 15 October 2022).
- Crosby, L.; Davis, B.; Joshi, S.; Jardine, M.; Paul, J.; Neola, M.; Barnard, N.D. Ketogenic Diets and Chronic Disease: Weighing the Benefits Against the Risks. Front. Nutr. 2021, 8, 702802. [Google Scholar] [CrossRef] [PubMed]
- Fernández-Cuesta, Á.; Fernández-Martínez, J.M.; Socias i Company, R.; Velasco, L. Near-Infrared Spectroscopy for Analysis of Oil Content and Fatty Acid Profile in Almond Flour. Eur. J. Lipid Sci. Technol. 2013, 115, 211–216. [Google Scholar] [CrossRef]
- Gasparre, N.; Rosell, C.M. Role of Hydrocolloids in Gluten Free Noodles Made with Tiger Nut Flour as Non-Conventional Powder. Food Hydrocoll. 2019, 97, 105194. [Google Scholar] [CrossRef]
- Anton, A.A.; Artfield, S.D. Hydrocolloids in Gluten-Free Breads: A Review. Int. J. Food Sci. Nutr. 2008, 59, 11–23. [Google Scholar] [CrossRef]
- Roman, L.; Belorio, M.; Gomez, M. Gluten-Free Breads: The Gap Between Research and Commercial Reality. Compr. Rev. Food Sci. Food Saf. 2019, 18, 690–702. [Google Scholar] [CrossRef]
- Matos, M.E.; Rosell, C.M. Understanding Gluten-Free Dough for Reaching Breads with Physical Quality and Nutritional Balance. J. Sci. Food Agric. 2015, 95, 653–661. [Google Scholar] [CrossRef]
- Boukid, F. The Realm of Plant Proteins with Focus on Their Application in Developing New Bakery Products. In Advances in Food and Nutrition Research; Zhou, W., Gao, J., Eds.; Academic Press: Cambridge, UK, 2021; Volume 99, pp. 101–136. [Google Scholar]
- Boukid, F.; Rosell, C.M.; Castellari, M. Pea Protein Ingredients: A Mainstream Ingredient to (Re) Formulate Innovative Foods and Beverages. Trends Food Sci. Technol. 2021, 110, 729–742. [Google Scholar] [CrossRef]
- He, Y.; Meda, V.; Reaney, M.J.T.; Mustafa, R. Aquafaba, a New Plant-Based Rheological Additive for Food Applications. Trends Food Sci. Technol. 2021, 111, 27–42. [Google Scholar] [CrossRef]
- Boukid, F.; Gagaoua, M. Vegan Egg: A Future-Proof Food Ingredient? Foods 2022, 11, 161. [Google Scholar] [CrossRef] [PubMed]
- Ziobro, R.; Juszczak, L.; Witczak, M.; Korus, J. Non-Gluten Proteins as Structure Forming Agents in Gluten Free Bread. J. Food Sci. Technol. 2016, 53, 571–580. [Google Scholar] [CrossRef] [PubMed]
- Astrup, A.; Teicholz, N.; Magkos, F.; Bier, D.M.; Thomas Brenna, J.; King, J.C.; Mente, A.; Ordovas, J.M.; Volek, J.S.; Yusuf, S.; et al. Dietary Saturated Fats and Health: Are the U. S. Guidelines Evidence-Based? Nutrients 2021, 13, 3305. [Google Scholar] [CrossRef] [PubMed]
- Lawrence, G.D. Perspective: The Saturated Fat–Unsaturated Oil Dilemma: Relations of Dietary Fatty Acids and Serum Cholesterol, Atherosclerosis, Inflammation, Cancer, and All-Cause Mortality. Adv. Nutr. 2021, 12, 647–656. [Google Scholar] [CrossRef] [PubMed]
- Waziiroh, E.; Schoenlechner, R.; Jaeger, H.; Brusadelli, G.; Bender, D. Understanding Gluten-Free Bread Ingredients during Ohmic Heating: Function, Effect and Potential Application for Breadmaking. Eur. Food Res. Technol. 2022, 248, 1021–1034. [Google Scholar] [CrossRef]
- Pellegrini, N.; Agostoni, C. Nutritional Aspects of Gluten-Free Products. J. Sci. Food Agric. 2015, 95, 2380–2385. [Google Scholar] [CrossRef]
- Miranda, J.; Lasa, A.; Bustamante, M.A.; Churruca, I.; Simon, E. Nutritional Differences Between a Gluten-Free Diet and a Diet Containing Equivalent Products with Gluten. Plant Foods Hum. Nutr. 2014, 69, 182–187. [Google Scholar] [CrossRef]
- Caponio, F.; Summo, C.; Clodoveo, M.L.; Pasqualone, A. Evaluation of the Nutritional Quality of the Lipid Fraction of Gluten-Free Biscuits. Eur. Food Res. Technol. 2008, 227, 135–139. [Google Scholar] [CrossRef]
- Pasqualone, A.; Caponio, F.; Summo, C.; Paradiso, V.M.; Bottega, G.; Pagani, M.A. Gluten-Free Bread Making Trials from Cassava (Manihot Esculenta Crantz) Flour and Sensory Evaluation of the Final Product. Int. J. Food Prop. 2010, 13, 562–573. [Google Scholar] [CrossRef]
- Sciarini, L.S.; Bustos, M.C.; Vignola, M.B.; Paesani, C.; Salinas, C.N.; Pérez, G.T. A Study on Fibre Addition to Gluten Free Bread: Its Effects on Bread Quality and in Vitro Digestibility. J. Food Sci. Technol. 2017, 54, 244–252. [Google Scholar] [CrossRef] [PubMed]
- Allen, B.; Orfila, C. The Availability and Nutritional Adequacy of Gluten-Free Bread and Pasta. Nutrients 2018, 10, 1370. [Google Scholar] [CrossRef] [PubMed]
- Fry, L.; Madden, A.M.; Fallaize, R. An Investigation into the Nutritional Composition and Cost of Gluten-Free versus Regular Food Products in the UK. J. Hum. Nutr. Diet. 2018, 31, 108–120. [Google Scholar] [CrossRef] [PubMed]
- Boukid, F.; Rosell, C.M.; Rosene, S.; Bover-Cid, S.; Castellari, M. Non-Animal Proteins as Cutting-Edge Ingredients to Reformulate Animal-Free Foodstuffs: Present Status and Future Perspectives. Crit. Rev. Food Sci. Nutr. 2021. [CrossRef]
- Gao, J.; Brennan, M.A.; Mason, S.L.; Brennan, C.S. Effect of Sugar Replacement with Stevianna and Inulin on the Texture and Predictive Glycaemic Response of Muffins. Int. J. Food Sci. Technol. 2016, 51, 1979–1987. [Google Scholar] [CrossRef]
- Krupa-Kozak, U.; Drabińska, N.; Rosell, C.M.; Piłat, B.; Starowicz, M.; Jeliński, T.; Szmatowicz, B. High-Quality Gluten-Free Sponge Cakes without Sucrose: Inulin-Type Fructans as Sugar Alternatives. Foods 2020, 9, 1735. [Google Scholar] [CrossRef]
- Garvey, E.C.; O’Sullivan, M.G.; Kerry, J.P.; Milner, L.; Gallagher, E.; Kilcawley, K.N. Characterising the Sensory Quality and Volatile Aroma Profile of Clean-Label Sucrose Reduced Sponge Cakes. Food Chem. 2021, 342, 128124. [Google Scholar] [CrossRef]






| Criteria | Segmentation | K-LC | K | LC |
|---|---|---|---|---|
| Type of product | Baking flour mixes | 89 | 93 | 173 |
| Bread products | 30 | 53 | 36 | |
| Cakes, pastries, and sweet goods | 15 | 18 | 28 | |
| Savory biscuits and crackers | 11 | 10 | 35 | |
| Sweet biscuits and cookies | 27 | 74 | 62 | |
| Total | 172 | 248 | 334 | |
| Region | North America | 101 | 186 | 161 |
| Latin America | 23 | 42 | 45 | |
| Asia Pacific | 33 | 13 | 80 | |
| Middle East and Africa | 15 | 5 | 33 | |
| Europe | 0 | 2 | 15 | |
| Total | 172 | 248 | 334 | |
| Nutrition claim * | Low/reduced/no added/free sugar | 121 | 123 | 219 |
| High/added fiber | 36 | 41 | 105 | |
| Low/no/reduced trans fat | 11 | 22 | 25 | |
| High/added protein | 14 | 12 | 77 | |
| Low/no/reduced fat | 2 | 11 | 25 | |
| Low/no/reduced calories | 7 | 11 | 30 | |
| Low/no/reduced saturated fat | 3 | 4 | 6 | |
| Low/no/reduced sodium | 1 | 6 | 20 | |
| Total | 195 | 230 | 507 |
Publisher’s Note: MDPI stays neutral with regard to jurisdictional claims in published maps and institutional affiliations. |
© 2022 by the authors. Licensee MDPI, Basel, Switzerland. This article is an open access article distributed under the terms and conditions of the Creative Commons Attribution (CC BY) license (https://creativecommons.org/licenses/by/4.0/).
Share and Cite
Gasparre, N.; Pasqualone, A.; Mefleh, M.; Boukid, F. Nutritional Quality of Gluten-Free Bakery Products Labeled Ketogenic and/or Low-Carb Sold in the Global Market. Foods 2022, 11, 4095. https://doi.org/10.3390/foods11244095
Gasparre N, Pasqualone A, Mefleh M, Boukid F. Nutritional Quality of Gluten-Free Bakery Products Labeled Ketogenic and/or Low-Carb Sold in the Global Market. Foods. 2022; 11(24):4095. https://doi.org/10.3390/foods11244095
Chicago/Turabian StyleGasparre, Nicola, Antonella Pasqualone, Marina Mefleh, and Fatma Boukid. 2022. "Nutritional Quality of Gluten-Free Bakery Products Labeled Ketogenic and/or Low-Carb Sold in the Global Market" Foods 11, no. 24: 4095. https://doi.org/10.3390/foods11244095
APA StyleGasparre, N., Pasqualone, A., Mefleh, M., & Boukid, F. (2022). Nutritional Quality of Gluten-Free Bakery Products Labeled Ketogenic and/or Low-Carb Sold in the Global Market. Foods, 11(24), 4095. https://doi.org/10.3390/foods11244095

