The Effect of the Addition of Low-Alkaloid Lupine Flour on the Glycemic Index In Vivo and the Physicochemical Properties and Cooking Quality of Durum Wheat Pasta
Abstract
1. Introduction
2. Material and Methods
2.1. Characteristics of Raw Materials
2.2. Pasta Preparation
2.3. Chemical Analysis
2.4. Physical Properties
2.5. Cooking Quality of Pasta Samples
2.6. Determination of Glycemic Index (GI) In Vivo and Glycemic Load (GL)
- -
- After consuming the solution containing 50 g of glucose as a standard;
- -
- After consuming an amount of traditional pasta providing 50 g of digestible carbohydrates;
- -
- After consuming an amount of experimental pasta providing 50 g of digestible carbohydrates.
2.7. Statistical Analysis
3. Results and Discussion
3.1. Pasta Processing
3.2. Chemical Analysis
3.3. Physical Properties
3.4. Cooking Quality
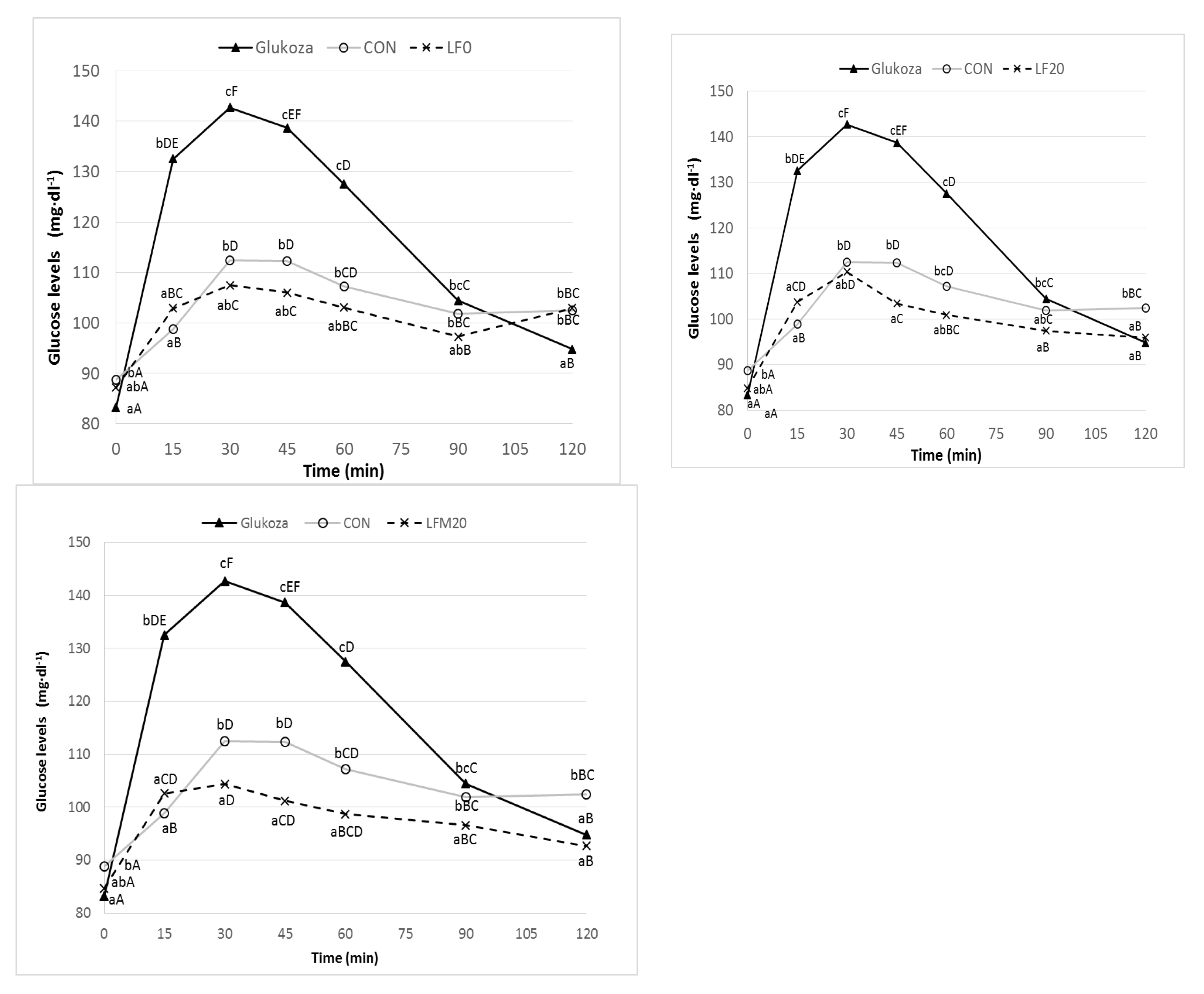
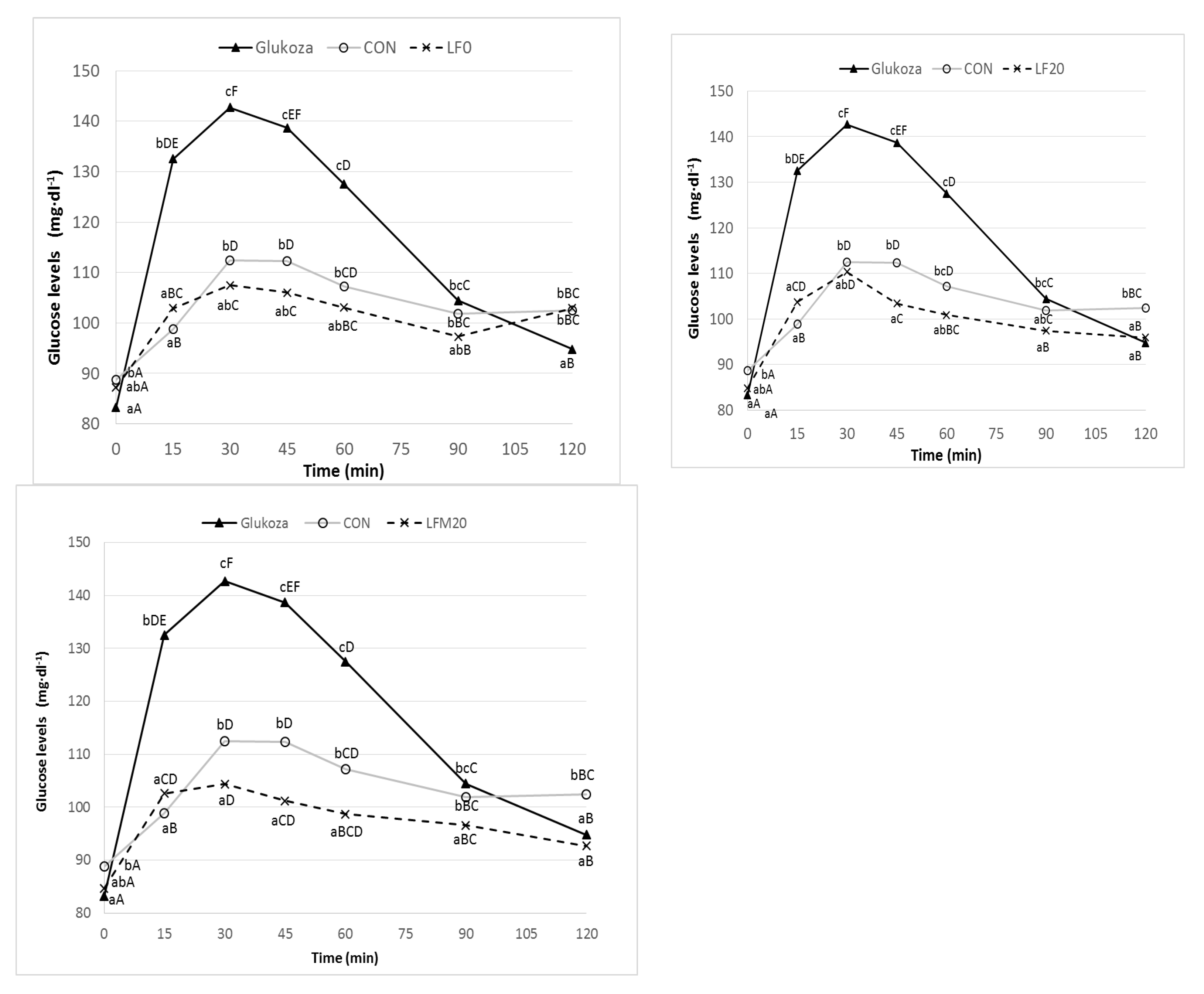
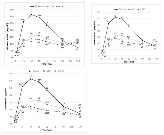
3.5. Determination of Glycemic Index (GI) In Vivo and Glycemic Load (GL)
4. Conclusions
Author Contributions
Funding
The invention has been commercialized and is protected by international patent proceedings, and a patent has been granted to the Polish pasta producer Wytwórnia Makaronu Domowego POL-MAK S.A., for which the research was conducted.Data Availability Statement
Conflicts of Interest
References
- Krawȩcka, A.; Sobota, A.; Sykut-Domańska, E. Functional Cereal Products in the Diet for Type 2 Diabetes Patients. Int. J. Food Sci. 2019, 2019, 4012450. [Google Scholar] [CrossRef]
- Sissons, M.; Sestili, F.; Botticella, E.; Masci, S.; Lafiandra, D. Can Manipulation of Durum Wheat Amylose Content Reduce the Glycaemic Index of Spaghetti? Foods 2020, 9, 693. [Google Scholar] [CrossRef] [PubMed]
- Augustin, L.S.A.; Kendall, C.W.C.; Jenkins, D.J.A.; Willett, W.C.; Astrup, A.; Barclay, A.W.; Björck, I.; Brand-Miller, J.C.; Brighenti, F.; Buyken, A.E.; et al. Glycemic index, glycemic load and glycemic response: An International Scientific Consensus Summit from the International Carbohydrate Quality Consortium (ICQC). Nutr. Metab. Cardiovasc. Dis. 2015, 25, 795–815. [Google Scholar] [CrossRef] [PubMed]
- Krawęcka, A.; Sobota, A.; Pankiewicz, U.; Zielińska, E.; Zarzycki, P. Stinging Nettle (Urtica dioica L.) as a Functional Component in Durum Wheat Pasta Production: Impact on Chemical Composition, In Vitro Glycemic Index, and Quality Properties. Molecules 2021, 26, 6909. [Google Scholar] [CrossRef]
- Chiavaroli, L.; Kendall, C.W.C.; Braunstein, C.R.; Blanco Mejia, S.; Leiter, L.A.; Jenkins, D.J.A.; Sievenpiper, J.L. Effect of pasta in the context of low-glycaemic index dietary patterns on body weight and markers of adiposity: A systematic review and meta-analysis of randomised controlled trials in adults. BMJ Open 2018, 8, e019438. [Google Scholar] [CrossRef] [PubMed]
- Magallanes-Cruz, P.A.; Flores-Silva, P.C.; Bello-Perez, L.A. Starch Structure Influences Its Digestibility: A Review. J. Food Sci. 2017, 82, 2016–2023. [Google Scholar] [CrossRef] [PubMed]
- Zurbau, A.; Noronha, J.C.; Khan, T.A.; Sievenpiper, J.L.; Wolever, T.M.S. The effect of oat β-glucan on postprandial blood glucose and insulin responses: A systematic review and meta-analysis. Eur. J. Clin. Nutr. 2021, 75, 1540–1554. [Google Scholar] [CrossRef]
- Azam, A.; Itrat, N.; Ahmed, U. Hypoglycemic Effect of Barley (Hordeum vulgare) in Diabetics. Int. J. Innov. Sci. Res. Technol. 2019, 4, 165–168. [Google Scholar]
- Sykut-Domańska, E.; Zarzycki, P.; Sobota, A.; Teterycz, D.; Wirkijowska, A.; Blicharz-Kania, A.; Andrejko, D.; Mazurkiewicz, J. The potential use of by-products from coconut industry for production of pasta. J. Food Process. Preserv. 2020, 44, e14490. [Google Scholar] [CrossRef]
- Krawęcka, A.; Sobota, A.; Sykut-Domańska, E. Physicochemical, Sensory, and Cooking Qualities of Pasta Enriched with Oat β-Glucans, Xanthan Gum, and Vital Gluten. Foods 2020, 9, 1412. [Google Scholar] [CrossRef]
- Jenkins, D.J.A.; Kendall, C.W.C.; Augustin, L.S.A.; Mitchell, S.; Sahye-Pudaruth, S.; Blanco Mejia, S.; Chiavaroli, L.; Mirrahimi, A.; Ireland, C.; Bashyam, B.; et al. Effect of legumes as part of a low glycemic index diet on glycemic control and cardiovascular risk factors in type 2 diabetes mellitus: A randomized controlled trial. Arch. Intern. Med. 2012, 172, 1653–1660. [Google Scholar] [CrossRef]
- Duranti, M.; Consonni, A.; Magni, C.; Sessa, F.; Scarafoni, A. The major proteins of lupin seed: Characterisation and molecular properties for use as functional and nutraceutical ingredients. Trends Food Sci. Technol. 2008, 19, 624–633. [Google Scholar] [CrossRef]
- Jayasena, V.; Leung, P.P.Y.; Nasar-Abbas, S.M. Effect of lupin flour substitution on the quality and sensory acceptability of instant noodles. J. Food Qual. 2010, 33, 709–727. [Google Scholar] [CrossRef]
- Arnoldi, A.; Boschin, G.; Zanoni, C.; Lammi, C. The health benefits of sweet lupin seed flours and isolated proteins. J. Funct. Foods 2015, 18, 550–563. [Google Scholar] [CrossRef]
- Sujak, A.; Kotlarz, A.; Strobel, W. Compositional and nutritional evaluation of several lupin seeds. Food Chem. 2006, 98, 711–719. [Google Scholar] [CrossRef]
- Sipsas, S.; Valley, I. Australian Sweet Lupin: Health Report. Irwin Valley, Palmyra, Australia. 2010. Available online: https://www.wheat-free.org/documents/Lupin%20Flour%20Health%20Report%20V%201.pdf (accessed on 25 August 2022).
- Pilvi, T.K.; Jauhiainen, T.; Cheng, Z.J.; Mervaala, E.M.; Vapaatalo, H.; Korpela, R. Lupin protein attenuates the development of hypertension and normalises the vascular function of NaCl-loaded Goto-Kakizaki rats. J. Physiol. Pharmacol. 2006, 57, 167–176. [Google Scholar]
- Resta, D.; Boschin, G.; D’Agostina, A.; Arnoldi, A. Evaluation of total quinolizidine alkaloids content in lupin flours, lupin-based ingredients, and foods. Mol. Nutr. Food Res. 2008, 52, 490–495. [Google Scholar] [CrossRef] [PubMed]
- Reinhard, H.; Rupp, H.; Sager, F.; Streule, M.; Zoller, O. Quinolizidine alkaloids and phomopsins in lupin seeds and lupin containing food. J. Chromatogr. A 2006, 1112, 353–360. [Google Scholar] [CrossRef] [PubMed]
- Schrenk, D.; Bodin, L.; Chipman, J.K.; del Mazo, J.; Grasl-Kraupp, B.; Hogstrand, C.; Hoogenboom, L.; Leblanc, J.C.; Nebbia, C.S.; Nielsen, E.; et al. Scientific opinion on the risks for animal and human health related to the presence of quinolizidine alkaloids in feed and food, in particular in lupins and lupin-derived products. EFSA J. 2019, 17, e05860. [Google Scholar] [PubMed]
- Annor, G.A.; Tyl, C.; Marcone, M.; Ragaee, S.; Marti, A. Why do millets have slower starch and protein digestibility than other cereals? Trends Food Sci. Technol. 2017, 66, 73–83. [Google Scholar] [CrossRef]
- Shukla, K.; Srivastava, S. Evaluation of finger millet incorporated noodles for nutritive value and glycemic index. J. Food Sci. Technol. 2014, 51, 527–534. [Google Scholar] [CrossRef]
- Mahmoud, E.A.M.; Nassef, S.L.; Basuny, A.M.M. Production of high protein quality noodles using wheat flour fortified with different protein products from lupine. Ann. Agric. Sci. 2012, 57, 105–112. [Google Scholar] [CrossRef]
- Albuja-Vaca, D.; Yépez, C.; Vernaza, M.G.; Navarrete, D. Gluten-free pasta: Development of a new formulation based on rice and lupine bean flour (Lupinus mutabilis) using a mixture-process design. Food Sci. Technol. 2020, 40, 408–414. [Google Scholar] [CrossRef]
- Wandersleben, T.; Morales, E.; Burgos-Díaz, C.; Barahona, T.; Labra, E.; Rubilar, M.; Salvo-Garrido, H. Enhancement of functional and nutritional properties of bread using a mix of natural ingredients from novel varieties of flaxseed and lupine. LWT—Food Sci. Technol. 2018, 91, 48–54. [Google Scholar] [CrossRef]
- Kohajdová, Z.; Karovičová, J.; Schmidt, Š. Lupin composition and possible use in bakery—A review. Czech J. Food Sci. 2011, 29, 203–211. [Google Scholar] [CrossRef]
- Cutillo, S.; Farahnaky, A.; Marcotuli, I.; Gadaleta, A.; Sissons, M. In vitro starch digestion and technological properties of spaghetti fortified with lupin protein isolate. Int. J. Food Sci. Technol. 2021, 56, 3567–3577. [Google Scholar] [CrossRef]
- Sobota, A.; Wirkijowska, A.; Zarzycki, P. Application of vegetable concentrates and powders in coloured pasta production. Int. J. Food Sci. Technol. 2020, 55, 2677–2687. [Google Scholar] [CrossRef]
- American Association of Cereal Chemistry. American Association of Cereal Chemistry Approved Methods, 11th ed.; American Association of Cereal Chemistry: St. Paul, MN, USA, 2010. [Google Scholar]
- AOAC—Association of Official Analytical Chemists International. Official Methods, 20th ed.; AOAC: Rockville, MD, USA, 2016. [Google Scholar]
- Zarzycki, P.; Sobota, A. Effect of storage temperature on falling number and apparent viscosity of gruels from wheat flours. J. Food Sci. Technol. 2015, 52, 437–443. [Google Scholar] [CrossRef]
- International Organization for Standardization. ISO 26642:2010-Food Products—Determination of the Glycaemic Index (GI) and Recommendation for Food Classification; ISO: Geneva, Switzerland, 2010. [Google Scholar]
- Petitot, M.; Boyer, L.; Minier, C.; Micard, V. Fortification of pasta with split pea and faba bean flours: Pasta processing and quality evaluation. Food Res. Int. 2010, 43, 634–641. [Google Scholar] [CrossRef]
- Zarzycki, P.; Sykut-Domańska, E.; Sobota, A.; Teterycz, D.; Krawęcka, A.; Blicharz-Kania, A.; Andrejko, D.; Zdybel, B. Flaxseed Enriched Pasta—Chemical Composition and Cooking Quality. Foods 2020, 9, 404. [Google Scholar] [CrossRef] [PubMed]
- Cleary, L.; Brennan, C. The influence of a (1 → 3)(1 → 4)-β-D-glucan rich fraction from barley on the physico-chemical properties and in vitro reducing sugars release of durum wheat pasta. Int. J. Food Sci. Technol. 2006, 41, 910–918. [Google Scholar] [CrossRef]
- Varasundharosoth; Maurice, D.; Barnes, F. Protein fractions of lupin seed meal: Quantitative importance and amino acid composition. New Zeal. J. Agric. Res. 1985 1985, 28, 71. [Google Scholar]
- Martínez-Villaluenga, C.; Torres, A.; Frias, J.; Vidal-Valverde, C. Semolina supplementation with processed lupin and pigeon pea flours improve protein quality of pasta. LWT—Food Sci. Technol. 2010, 43, 617–622. [Google Scholar] [CrossRef]
- Aravind, N.; Sissons, M.; Fellows, C.M. Effect of soluble fibre (guar gum and carboxymethylcellulose) addition on technological, sensory and structural properties of durum wheat spaghetti. Food Chem. 2012, 131, 893–900. [Google Scholar] [CrossRef]
- Aravind, N.; Sissons, M.; Egan, N.; Fellows, C. Effect of insoluble dietary fibre addition on technological, sensory, and structural properties of durum wheat spaghetti. Food Chem. 2012, 130, 299–309. [Google Scholar] [CrossRef]
- Anttila, H.; Sontag-Strohm, T.; Salovaara, H. Viscosity of beta-glucan in oat products. Agric. Food Sci. 2004, 13, 80–87. [Google Scholar] [CrossRef]
- Jayasena, V.; Nasar-Abbas, S.M. Development and quality evaluation of high-protein and high-dietary-fiber pasta using lupin flour. J. Texture Stud. 2012, 43, 153–163. [Google Scholar] [CrossRef]
- Teterycz, D.; Sobota, A.; Przygodzka, D.; Lysakowska, P. Hemp seed (Cannabis sativa L.) enriched pasta: Physicochemical properties and quality evaluation. PLoS ONE 2021, 16, e0248790. [Google Scholar]
- Gull, A.; Prasad, K.; Kumar, P. Effect of millet flours and carrot pomace on cooking qualities, color and texture of developed pasta. LWT 2015, 63, 470–474. [Google Scholar] [CrossRef]
- Torres, A.; Frias, J.; Granito, M.; Guerra, M.; On Vidal-Valverde, C. Chemical, biological and sensory evaluation of pasta products supplemented with α-galactoside-free lupin flours. J. Sci. Food Agric. J Sci Food Agric 2007, 87, 74–81. [Google Scholar] [CrossRef]
- Di Pede, G.; Dodi, R.; Scarpa, C.; Brighenti, F.; Dall’asta, M.; Scazzina, F. Glycemic Index Values of Pasta Products: An Overview. Foods 2021, 10, 2541. [Google Scholar] [CrossRef] [PubMed]
- Huang, M.; Li, J.; Ha, M.-A.; Riccardi, G.; Liu, S. A systematic review on the relations between pasta consumption and cardio-metabolic risk factors. Nutr. Metab. Cardiovasc. Dis. 2017, 27, 939–948. [Google Scholar] [CrossRef] [PubMed]
- Brennan, C.S.; Tudorica, C.M. Evaluation of potential mechanisms by which dietary fibre additions reduce the predicted glycaemic index of fresh pastas. Int. J. Food Sci. Technol. 2008, 43, 2151–2162. [Google Scholar] [CrossRef]
- Weickert, M.O.; Pfeiffer, A.F. Impact of Dietary Fiber Consumption on Insulin Resistance and the Prevention of Type 2 Diabetes. J. Nutr. 2018, 148, 7–12. [Google Scholar] [CrossRef]
- Chan, C.K.Y.; Fabek, H.; Mollard, R.C.; Jones, P.J.H.; Tulbek, M.C.; Chibbar, R.N.; Gangola, M.P.; Ramadoss, B.R.; Sánchez-Hernández, D.; Anderson, G.H. Faba bean protein flours added to pasta reduce post-ingestion glycaemia, and increase satiety, protein content and quality. Food Funct. 2019, 10, 7476–7488. [Google Scholar] [CrossRef]
- Gangola, M.P.; Ramadoss, B.R.; Jaiswal, S.; Chan, C.; Mollard, R.; Fabek, H.; Tulbek, M.; Jones, P.; Sanchez-Hernandez, D.; Anderson, G.H.; et al. Faba bean meal, starch or protein fortification of durum wheat pasta differentially influence noodle composition, starch structure and in vitro digestibility. Food Chem. 2021, 349, 129167. [Google Scholar] [CrossRef]
- Turco, I.; Bacchetti, T.; Morresi, C.; Padalino, L.; Ferretti, G. Polyphenols and the glycaemic index of legume pasta. Food Funct. 2019, 10, 5931–5938. [Google Scholar] [CrossRef]


| Pasta Samples | Raw Materials (%) | Moisture (%) | Process Parameters | |||||
|---|---|---|---|---|---|---|---|---|
| Pressure (MPa) | Barrel Temperature (°C) | |||||||
| Semolina Durum | Lupin Flour | β-Glucans | Vital Gluten | Millet Flour | ||||
| CON | 100 | 0 | 0 | 0 | 0 | 33 | 8.5 | 28.9 |
| LF0 | 87.5 | 0 | 7.5 | 5 | 0 | 31 | 13.5 | 28.7 |
| LF5 | 82.5 | 5 | 7.5 | 5 | 0 | 31 | 13.5 | 29.1 |
| LF10 | 77.5 | 10 | 7.5 | 5 | 0 | 31 | 13.5 | 29.8 |
| LF15 | 72.5 | 15 | 7.5 | 5 | 0 | 31 | 13.5 | 29.4 |
| LF20 | 67.5 | 20 | 7.5 | 5 | 0 | 31.5 | 13.5 | 29.1 |
| LF25 | 62.5 | 25 | 7.5 | 5 | 0 | 31.5 | 13.5 | 29.2 |
| LFM20 | 35 | 20 | 20 | 5 | 20 | 32 | 13.5 | 28.9 |
| Samples | Moisture | Protein | Fat | Ash | TDF | IDF | SDF | Digestible Carbohydrates |
|---|---|---|---|---|---|---|---|---|
| (%) | (% d.m.) | |||||||
| Raw materials | ||||||||
| Semolina durum | 9.50 ± 0.04 | 13.24 ± 0.84 | 1.10 ± 0.04 | 0.76 ± 0.01 | 3.89 ± 0.14 | 2.07 ± 0.08 | 1.83 ± 0.05 | 81.01 ± 1.01 |
| Lupin flour | 7.62 ± 0.07 | 40.97 ± 2.65 | 8.13 ± 0.28 | 2.98 ± 0.03 | 46.64 ± 2.17 | 35.75 ± 1.79 | 10.89 ± 0.48 | 1.28 ± 0.05 |
| Millet flour | 11.14 ± 0.06 | 14.94 ± 0.93 | 4.24 ± 0.04 | 1.34 ± 0.01 | 12.46 ± 0.54 | 9.46 ± 0.57 | 1.81 ± 0.03 | 67.02 ± 0.89 |
| Oat β-glucans | 4.19 ± 0.07 | 8.45 ± 0.06 | 3.56 ± 0.08 | 1.99 ± 0.02 | 33.48 ± 1.29 | 0.64 ± 0.19 | 32.85 ± 1.10 | 52.51 ± 0.93 |
| Vital gluten | 7.31 ± 0.05 | 70.99 ± 4.61 | 1.48 ± 0.03 | 0.57 ± 0.01 | 23.81 ± 0.69 | 22.69 ± 0.89 | 1.12 ± 0.20 | 3.15 ± 0.21 |
| Pasta samples | ||||||||
| CON | 8.83 a ± 0.23 | 13.57 a ± 0.17 | 1.67 a ± 0.08 | 1.06 ab ± 0.03 | 4.44 a ± 0.92 | 2.10 a ± 0.65 | 2.33 a ± 0.26 | 79.26 a ± 1.19 |
| LF0 | 9.39 ab ± 0.16 | 16.57 b ± 0.62 | 2.46 b ± 0.11 | 0.97 a ± 0.03 | 9.33 ab ± 0.33 | 5.68 ab ± 0.23 | 3.64 a ± 0.09 | 70.68 b ± 1.79 |
| LF5 | 9.36 ab ± 0.17 | 17.63 bc ± 0.56 | 2.73 b ± 0.12 | 1.07 ab ± 0.06 | 10.69 b ± 1.27 | 6.24 ab ± 0.02 | 4.45 a ± 1.56 | 67.88 bc ± 2.89 |
| LF10 | 8.82 a ± 0.16 | 19.03 cd ± 0.25 | 3.05 bc ± 0.14 | 1.20 bc ± 0.08 | 11.64 b ± 0.82 | 6.77 b ± 0.03 | 4.87 a ± 0.79 | 65.09 bc ± 2.0 |
| LF15 | 9.55 b ± 0.17 | 20.40 de ± 0.53 | 3.35 c ± 0.16 | 1.30 cd ± 0.08 | 12.99 b ± 1.31 | 7.00 b ± 0.58 | 5.98 a ± 0.73 | 61.96 c ± 2.78 |
| LF20 | 9.53 b ± 0.08 | 22.37 f ± 0.31 | 3.35 cd ± 0.17 | 1.35 cd ± 0.02 | 17.32 c ± 1.83 | 8.16 b ± 0.45 | 9.16 b ± 1.38 | 51.26 d ± 0.63 |
| LF25 | 9.52 b ± 0.17 | 22.91 f ± 0.00 | 3.99 de ± 0.19 | 1.46 d ± 0.02 | 20.62 d ± 1.73 | 8.09 b ± 2.45 | 11.59 bc ± 0.84 | 51.02 d ± 2.64 |
| LFM20 | 9.21 ab ± 0.04 | 20.75 e ± 0.15 | 4.86 f ± 0.23 | 1.46 d ± 0.05 | 25.89 e ± 0.86 | 14.31 c ± 1.59 | 12.53 c ± 1.36 | 47.03 e ± 1.99 |
| Pasta Samples | Heating | Cooling | |||||
|---|---|---|---|---|---|---|---|
| Temp. 65 °C | Temp. 75 °C | Temp. 85 °C | Temp. 95 °C | Temp. 95 °C * | Temp. 50 °C | Temp. 50 °C ** | |
| CON | 0.006 aA | 0.007 aA | 0.010 aB | 0.011 aB | 0.014 aC | 0.015 aC | 0.013 aC |
| LF0 | 0.009 abA | 0.011 bcAB | 0.012 aABC | 0.013 abBC | 0.014 aC | 0.015 aC | 0.014 aC |
| LF5 | 0.009 abA | 0.009 acA | 0.012 aB | 0.012 abB | 0.014 aBC | 0.015 aC | 0.013 aBC |
| LF10 | 0.00 abA | 0.009 acA | 0.011 aAB | 0.013 abAB | 0.014 aAB | 0.015 aB | 0.016 aB |
| LF15 | 0.008 abA | 0.010 bcA | 0.012 aA | 0.012 abA | 0.014 aA | 0.015 aA | 0.014 aA |
| LF20 | 0.010 bA | 0.010 bcA | 0.012 aAB | 0.012 abAB | 0.013 aAB | 0.014 aB | 0.014 aB |
| LF25 | 0.009 abA | 0.011 bcAB | 0.011 aAB | 0.013 abBC | 0.013 aBC | 0.015 aC | 0.013 aBC |
| LFM20 | 0.009 bA | 0.013 bAB | 0.016 bB | 0.016 bB | 0.014 aAB | 0.022 bC | 0.023 bC |
| Pasta Samples | Optimum Cooking Time (min) | Cooking Loss (% d.m.) | Cooking Weight Increase | Cooking Volume Increase |
|---|---|---|---|---|
| CON | 9 a | 4.52 abc ± 0.42 | 2.54 ab | 3.16 a |
| LF0 | 9 a | 4.32 ab ± 0.14 | 2.46 a | 2.68 a |
| LF5 | 9 a | 4.25 a ± 0.23 | 2.51 ab | 2.89 a |
| LF10 | 9 a | 5.25 abc ± 0.19 | 2.50 ab | 2.95 a |
| LF15 | 10 ab | 5.71 bcd ± 0.19 | 2.54 ab | 2.97 a |
| LF20 | 11.5 cb | 5.85 cd ± 0.08 | 2.61 bc | 3.10 a |
| LF25 | 12 c | 7.10 de ± 0.28 | 2.70 c | 3.13 a |
| LFM20 | 12 c | 7.43 e ± 0.30 | 2.58 abc | 2.75 a |
| Pasta Samples | GI (%) | % GI Decrease from Control Pasta | GL (%) | % GL Decrease from Control Pasta |
|---|---|---|---|---|
| CON | 48 c | - | 17.3 d | - |
| LF0 | 46.52 c | 3.08 | 14.9 c | 13.87 |
| LF20 | 38.12 b | 20.58 | 9.2 b | 46.82 |
| LFM20 | 33.75 a | 29.68 | 7.2 a | 58.38 |
Publisher’s Note: MDPI stays neutral with regard to jurisdictional claims in published maps and institutional affiliations. |
© 2022 by the authors. Licensee MDPI, Basel, Switzerland. This article is an open access article distributed under the terms and conditions of the Creative Commons Attribution (CC BY) license (https://creativecommons.org/licenses/by/4.0/).
Share and Cite
Krawęcka, A.; Sobota, A.; Zarzycki, P. The Effect of the Addition of Low-Alkaloid Lupine Flour on the Glycemic Index In Vivo and the Physicochemical Properties and Cooking Quality of Durum Wheat Pasta. Foods 2022, 11, 3216. https://doi.org/10.3390/foods11203216
Krawęcka A, Sobota A, Zarzycki P. The Effect of the Addition of Low-Alkaloid Lupine Flour on the Glycemic Index In Vivo and the Physicochemical Properties and Cooking Quality of Durum Wheat Pasta. Foods. 2022; 11(20):3216. https://doi.org/10.3390/foods11203216
Chicago/Turabian StyleKrawęcka, Ada, Aldona Sobota, and Piotr Zarzycki. 2022. "The Effect of the Addition of Low-Alkaloid Lupine Flour on the Glycemic Index In Vivo and the Physicochemical Properties and Cooking Quality of Durum Wheat Pasta" Foods 11, no. 20: 3216. https://doi.org/10.3390/foods11203216
APA StyleKrawęcka, A., Sobota, A., & Zarzycki, P. (2022). The Effect of the Addition of Low-Alkaloid Lupine Flour on the Glycemic Index In Vivo and the Physicochemical Properties and Cooking Quality of Durum Wheat Pasta. Foods, 11(20), 3216. https://doi.org/10.3390/foods11203216

