Prediction of Total Soluble Solids and pH of Strawberry Fruits Using RGB, HSV and HSL Colour Spaces and Machine Learning Models
Abstract
:1. Introduction
2. Materials and Methods
2.1. Plant Materials and Sample Collection
2.2. Determination of Biometrical Characteristics, Total Soluble Solid and pH
2.3. Image Acquisition of Strawberry Fruits
2.4. Colour Feature Extraction of Strawberry Fruits
2.5. Data Pre-Processing for Prediction Model Development
2.6. Development of Multiple Linear Regression (MLR)
2.7. Development of Support Vector Machine Regression (SVM-R)
2.8. Application Methodology and Performance Metrics
3. Results and Discussion
3.1. Changes in Biometrical Characteristics, Total Soluble Solid and pH
3.2. Changes in Channels of RGB, HSV and HSL Colour Spaces
3.3. Input Datasets for Model Development
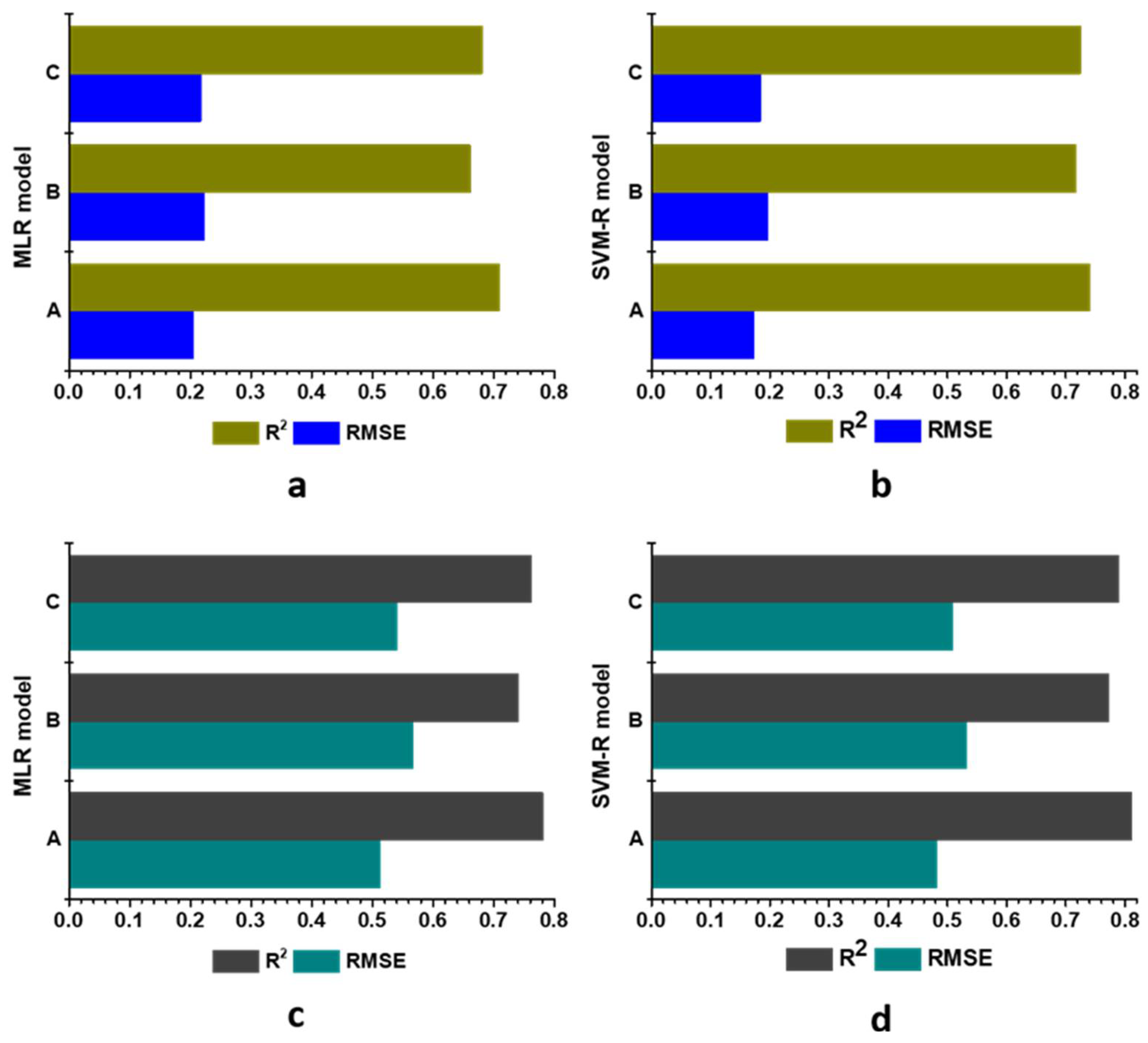
3.4. MLR Model Performance for TSS and pH Prediction
3.5. SVM-R Model Performance for TSS and pH Prediction
3.6. Comparison between MLR and SVM-R Model’s Performance with Colour Spaces
3.7. Sensitivity Analysis of Colour Spaces
4. Conclusions
Author Contributions
Funding
Data Availability Statement
Conflicts of Interest
References
- Manganaris, G.A.; Goulas, V.; Vicente, A.R.; Terry, L.A. Berry antioxidants: Small fruits providing large benefits. J. Sci. Food Agric. 2014, 94, 825–833. [Google Scholar] [CrossRef] [Green Version]
- Seeram, N.P.; Adams, L.S.; Zhang, Y.; Lee, R.; Sand, D.; Scheuller, H.S.; Heber, D. Blackberry, black raspberry, blueberry, cranberry, red raspberry, and strawberry extracts inhibit growth and stimulate apoptosis of human cancer cells in vitro. J. Agric. Food Chem. 2006, 54, 9329–9339. [Google Scholar] [CrossRef] [PubMed]
- Zanini, S.; Marzotto, M.; Giovinazzo, F.; Bassi, C.; Bellavite, P. Effects of dietary components on cancer of the digestive system. Crit. Rev. Food Sci. Nutr. 2015, 55, 1870–1885. [Google Scholar] [CrossRef] [PubMed]
- Shewfelt, R.L. Chapter 17—Measuring Quality and Maturity. In Postharvest Handling: A Systems Approach; Florkowski, W.J., Shwefelt, R.L., Brueckner, B., Prussia, S.E., Eds.; Elsevier: San Diego, CA, USA, 2009; Volume 2, pp. 461–481. [Google Scholar]
- Guo, C.; Liu, F.; Kong, W.; He, Y.; Lou, B. Hyperspectral imaging analysis for ripeness evaluation of strawberry with support vector machine. J. Food Eng. 2016, 179, 11–18. [Google Scholar]
- De Jesús Ornelas-Paz, J.; Yahia, E.M.; Ramírez-Bustamante, N.; Pérez-Martínez, J.D.; del Pilar Escalante-Minakata, M.; Ibarra-Junquera, V.; Acosta-Muñiz, C.; Guerrero-Prieto, V.; Ochoa-Reyes, E. Physical attributes and chemical composition of organic strawberry fruit (Fragaria x ananassa Duch, Cv. Albion) at six stages of ripening. Food Chem. 2013, 138, 372–381. [Google Scholar] [CrossRef]
- Chope, G.A.; Terry, L.A.; White, P.J. Effect of controlled atmosphere storage on abscisic acid concentration and other biochemical attributes of onion bulbs. Postharvest Biol. Technol. 2006, 39, 233–242. [Google Scholar] [CrossRef]
- Kader, A.A. Flavor quality of fruits and vegetables. J. Sci. Food Agric. 2008, 88, 1863–1868. [Google Scholar] [CrossRef]
- Montero, T.M.; Mollá, E.M.; Esteban, R.M.; López-Andréu, F.J. Quality attributes of strawberry during ripening. Sci. Hortic. 1996, 65, 239–250. [Google Scholar] [CrossRef]
- Mahmood, T.; Anwar, F.; Abbas, M.; Saari, N. Effect of maturity on phenolics (phenolic acids and flavonoids) profile of strawberry cultivars and mulberry species from Pakistan. Int. J. Mol. Sci. 2012, 13, 4591–4607. [Google Scholar] [CrossRef] [Green Version]
- Nunes, M.C.N.; Brecht, J.K.; Morais, A.M.M.B.; Sargent, S.A. Physicochemical changes during strawberry development in the field compared with those that occur in harvested fruit during storage. J. Sci. Food Agric. 2006, 86, 180–190. [Google Scholar] [CrossRef]
- Kafkas, E.; Koşar, M.; Paydaş, S.; Kafkas, S.; Başer, K.H.C. Quality characteristics of strawberry genotypes at different maturation stages. Food Chem. 2007, 100, 1229–1236. [Google Scholar] [CrossRef]
- Ménager, I.; Jost, M.; Aubert, C. Changes in physicochemical characteristics and volatile constituents of strawberry (Cv. Cigaline) during maturation. J. Agric. Food Chem. 2004, 52, 1248–1254. [Google Scholar] [CrossRef] [PubMed]
- Martínez-Bolaños, M.; Nieto-Angel, D.; Téliz-Ortiz, D.; Rodríguez-Alcazar, J.; Martínez-Damian, M.T.; Vaquera-Huerta, H.; Carrillo Mendoza, O. Quality comparison of Mexican and American strawberries (Fragaria x ananassa Duch) varieties. Rev. Chapingo. Ser. Hortic. 2008, 14, 113–119. [Google Scholar]
- Genizi, A.; Cohen, E. The chemical composition and sensory flavour quality of ‘Mineola’tangerines. II. Relationship between composition and sensory properties. J. Hortic. Sci. 1988, 63, 179–182. [Google Scholar] [CrossRef]
- Nogueira, L.C.; Silva, F.; Ferreira, I.M.; Trugo, L.C. Separation and quantification of beer carbohydrates by high-performance liquid chromatography with evaporative light scattering detection. J. Chromatogr. A 2005, 1065, 207–210. [Google Scholar] [CrossRef] [PubMed]
- Pereira, F.M.V.; de Souza Carvalho, A.; Cabeça, L.F.; Colnago, L.A. Classification of intact fresh plums according to sweetness using time-domain nuclear magnetic resonance and chemometrics. Microchem. J. 2013, 108, 14–17. [Google Scholar] [CrossRef]
- Dongare, M.L.; Buchade, P.B.; Awatade, M.N.; Shaligram, A.D. Mathematical modeling and simulation of refractive index based Brix measurement system. Optik 2014, 125, 946–949. [Google Scholar] [CrossRef]
- Ma, C.; Sun, Z.; Chen, C.; Zhang, L.; Zhu, S. Simultaneous separation and determination of fructose, sorbitol, glucose and sucrose in fruits by HPLC–ELSD. Food Chem. 2014, 145, 784–788. [Google Scholar] [CrossRef]
- Johnson, F.J. Official Methods of Analysis of the Association of Official Analytical Chemists; Helrich, K., Ed.; Association of Official Analytical Chemists: Arlington, VA, USA, 1990; Volume 2, pp. 19–121. [Google Scholar]
- Magwaza, L.S.; Opara, U.L. Analytical methods for determination of sugars and sweetness of horticultural products—A review. Sci. Hortic. 2015, 184, 179–192. [Google Scholar] [CrossRef]
- Beullens, K.; Mészáros, P.; Vermeir, S.; Kirsanov, D.; Legin, A.; Buysens, S.; Cap, N.; Nicolaï, B.M.; Lammertyn, J. Analysis of tomato taste using two types of electronic tongues. Sens. Actuators B Chem. 2008, 131, 10–17. [Google Scholar] [CrossRef]
- Sarkar, S.; Basak, J.K.; Moon, B.E.; Kim, H.T. A comparative study of PLSR and SVM-R with various preprocessing techniques for the quantitative determination of soluble solids content of hardy kiwi fruit by a portable vis/NIR spectrometer. Foods 2020, 9, 1078. [Google Scholar] [CrossRef] [PubMed]
- Basile, T.; Marsico, A.D.; Perniola, R. Use of Artificial Neural Networks and NIR Spectroscopy for Non-Destructive Grape Texture Prediction. Foods 2022, 11, 281. [Google Scholar] [CrossRef] [PubMed]
- Beullens, K.; Kirsanov, D.; Irudayaraj, J.; Rudnitskaya, A.; Legin, A.; Nicolaï, B.M.; Lammertyn, J. The electronic tongue and ATR–FTIR for rapid detection of sugars and acids in tomatoes. Sens. Actuators B Chem. 2006, 116, 107–115. [Google Scholar] [CrossRef]
- Saranwong, S.; Sornsrivichai, J.; Kawano, S. Prediction of ripe-stage eating quality of mango fruit from its harvest quality measured nondestructively by near infrared spectroscopy. Postharvest Biol. Technol. 2004, 31, 137–145. [Google Scholar] [CrossRef]
- McDonald, H.; Arpaia, M.L.; Caporaso, F.; Obenland, D.; Were, L.; Rakovski, C.; Prakash, A. Effect of gamma irradiation treatment at phytosanitary dose levels on the quality of ‘Lane Late’navel oranges. Postharvest Biol. Technol. 2013, 86, 91–99. [Google Scholar] [CrossRef]
- Wang, A.; Hu, D.; Xie, L. Comparison of detection modes in terms of the necessity of visible region (VIS) and influence of the peel on soluble solids content (SSC) determination of navel orange using VIS–SWNIR spectroscopy. J. Food Eng. 2014, 126, 126–132. [Google Scholar] [CrossRef]
- Jie, D.; Xie, L.; Rao, X.; Ying, Y. Using visible and near infrared diffuse transmittance technique to predict soluble solids content of watermelon in an on-line detection system. Postharvest Biol. Technol. 2014, 90, 1–6. [Google Scholar] [CrossRef]
- Magwaza, L.S.; Opara, U.L.; Nieuwoudt, H.; Cronje, P.J.R.; Saeys, W.; Nicolaï, B. NIR spectroscopy applications for internal and external quality analysis of citrus fruit—A review. Food Bioprocess Technol. 2012, 5, 425–444. [Google Scholar] [CrossRef]
- ElMasry, G.; Wang, N.; ElSayed, A.; Ngadi, M. Hyperspectral imaging for nondestructive determination of some quality attributes for strawberry. J. Food Eng. 2007, 81, 98–107. [Google Scholar] [CrossRef]
- Peng, Y.; Lu, R. Analysis of spatially resolved hyperspectral scattering images for assessing apple fruit firmness and soluble solids content. Postharvest Biol. Technol. 2008, 48, 52–62. [Google Scholar] [CrossRef]
- Indrabayu, I.; Arifin, N.; Areni, I.S. Strawberry ripeness classification system based on skin tone color using multi-class support vector machine. In Proceedings of the 2019 International Conference on Information and Communications Technology (ICOIACT), Yogyakarta, Indonesia, 24–25 July 2019; IEEE: New York, NY, USA, 2019; pp. 191–195. [Google Scholar]
- Pardede, J.; Husada, M.G.; Hermana, A.N.; Rumapea, S.A. Fruit ripeness based on RGB, HSV, HSL, L a b color feature using SVM. In Proceedings of the 2019 International Conference of Computer Science and Information Technology (ICoSNIKOM), Medan, Indonesia, 28–29 November 2019; IEEE: New York, NY, USA, 2019; pp. 1–5. [Google Scholar]
- Prakash, J.S.; Vignesh, K.A.; Ashok, C.; Adithyan, R. Multi class Support Vector Machines classifier for machine vision application. In Proceedings of the 2012 International Conference on Machine Vision and Image Processing (MVIP), Coimbatore, India, 14–15 December 2012; IEEE: New York, NY, USA, 2012; pp. 197–199. [Google Scholar]
- Li, X.; Li, J.; Tang, J. A deep learning method for recognizing elevated mature strawberries. In Proceedings of the 2018 33rd Youth Academic Annual Conference of Chinese Association of Automation (YAC), Nanjing, China, 18–20 May 2018; IEEE: New York, NY, USA, 2018; pp. 1072–1077. [Google Scholar]
- Elhariri, E.; El-Bendary, N.; Hussein, A.M.M.; Hassanien, A.E.; Badr, A. Bell pepper ripeness classification based on support vector machine. In Proceedings of the 2014 International Conference on Engineering and Technology (ICET), Cairo, Egypt, 19–20 April 2014; IEEE: New York, NY, USA, 2014; pp. 1–6. [Google Scholar]
- El-Bendary, N.; El Hariri, E.; Hassanien, A.E.; Badr, A. Using machine learning techniques for evaluating tomato ripeness. Expert Syst. Appl. 2015, 42, 1892–1905. [Google Scholar] [CrossRef]
- Mohammadi, V.; Kheiralipour, K.; Ghasemi-Varnamkhasti, M. Detecting maturity of persimmon fruit based on image processing technique. Sci. Hortic. 2015, 184, 123–128. [Google Scholar] [CrossRef]
- Cho, B.H.; Koseki, S. Determination of banana quality indices during the ripening process at different temperatures using smartphone images and an artificial neural network. Sci. Hortic. 2021, 288, 110382. [Google Scholar] [CrossRef]
- Villaseñor-Aguilar, M.J.; Bravo-Sánchez, M.G.; Padilla-Medina, J.A.; Vázquez-Vera, J.L.; Guevara-González, R.G.; García-Rodríguez, F.J.; Barranco-Gutiérrez, A.I. A maturity estimation of bell pepper (Capsicum annuum L.) by artificial vision system for quality control. Appl. Sci. 2020, 10, 5097. [Google Scholar] [CrossRef]
- Gamage, B.; Madhavi, K.; Basak, J.K.; Paudel, B.; Kim, N.E.; Choi, G.M.; Kim, H.T. Prediction of Strawberry Leaf Color Using RGB Mean Values Based on Soil Physicochemical Parameters Using Machine Learning Models. Agronomy 2022, 12, 981. [Google Scholar]
- Khan, F.; Kim, N.E.; Bhujel, A.; Jaihuni, M.; Lee, D.H.; Basak, J.K.; Kim, H.T. Assessment of Combined Trichoderma-Enriched Biofertilizer and Nutrients Solutions on the Growth and Yield of Strawberry Plants. J. Biosyst. Eng. 2021, 46, 225–235. [Google Scholar] [CrossRef]
- Allender, C.; Brain, K.; Haupt, K.; Piletsky, S. Analytica Chimica Acta: Preface. Anal. Chim. Acta 2005, 542, 1–2. [Google Scholar] [CrossRef]
- Dadzie, B.K.; Orchard, J.E. Routine Post-Harvest Screening of Banana/Plantain Hybrids: Criteria and Methods; CGIAR: Avenue Agropolis, France, 1997; ISBN 2910810224. [Google Scholar]
- Xie, C.; He, Y. Spectrum and image texture features analysis for early blight disease detection on eggplant leaves. Sensors 2016, 16, 676. [Google Scholar] [CrossRef] [Green Version]
- González-Pérez, J.L.; Espino-Gudiño, M.C.; Gudiño-Bazaldúa, J.; Rojas-Rentería, J.L.; Rodríguez-Hernández, V.; Castaño, V.M. Color image segmentation using perceptual spaces through applets for determining and preventing diseases in chili peppers. Afr. J. Biotechnol. 2013, 12, 679–688. [Google Scholar]
- Shaik, K.B.; Ganesan, P.; Kalist, V.; Sathish, B.S.; Jenitha, J.M.M. Comparative study of skin color detection and segmentation in HSV and YCbCr color space. Procedia Comput. Sci. 2015, 57, 41–48. [Google Scholar] [CrossRef] [Green Version]
- Arulmozhi, E.; Bhujel, A.; Moon, B.-E.; Kim, H.-T. The application of cameras in precision pig farming: An overview for swine-keeping professionals. Animals 2021, 11, 2343. [Google Scholar] [CrossRef] [PubMed]
- Basak, J.K.; Okyere, F.G.; Arulmozhi, E.; Park, J.; Khan, F.; Kim, H.T. Artificial neural networks and multiple linear regression as potential methods for modelling body surface temperature of pig. J. Appl. Anim. Res. 2020, 48, 207–219. [Google Scholar] [CrossRef]
- Basak, J.K.; Arulmozhi, E.; Khan, F.; Okyere, F.G.; Park, J.; Lee, D.H.; Kim, H.T. Assessment of the influence of environmental variables on pig’s body temperature using ann and mlr models. Indian J. Anim. Res. 2020, 54, 1165–1170. [Google Scholar] [CrossRef]
- Basak, J.K.; Arulmozhi, E.; Moon, B.E.; Bhujel, A.; Kim, H.T. Modelling methane emissions from pig manure using statistical and machine learning methods. Air Qual. Atmos. Health 2022, 15, 575–589. [Google Scholar] [CrossRef]
- Grégoire, G. Multiple linear regression. EAS Publ. Ser. 2014, 66, 45–72. [Google Scholar] [CrossRef]
- Basak, J.K.; Qasim, W.; Okyere, F.G.; Khan, F.; Lee, Y.J.; Park, J.; Kim, H.T. Regression analysis to estimate morphology parameters of pepper plant in a controlled greenhouse system. J. Biosyst. Eng. 2019, 44, 57–68. [Google Scholar] [CrossRef]
- Zhao, T.; Xue, H. Regression analysis and indoor air temperature model of greenhouse in northern dry and cold regions. In Proceedings of the International Conference on Computer and Computing Technologies in Agriculture, Nanchang, China, 22–25 October 2010; Springer: Berlin/Heidelberg, Germany, 2010; pp. 252–258. [Google Scholar]
- Thissen, U.; Pepers, M.; Üstün, B.; Melssen, W.J.; Buydens, L.M.C. Comparing support vector machines to PLS for spectral regression applications. Chemom. Intell. Lab. Syst. 2004, 73, 169–179. [Google Scholar] [CrossRef]
- Drucker, H.; Burges, C.J.; Kaufman, L.; Smola, A.; Vapnik, V. Support vector regression machines. Adv. Neural Inf. Process. Syst. 1996, 9, 155–161. [Google Scholar]
- Van Der Walt, S.; Colbert, S.C.; Varoquaux, G. The NumPy array: A structure for efficient numerical computation. Comput. Sci. Eng. 2011, 13, 22–30. [Google Scholar] [CrossRef] [Green Version]
- McKinney, W. Data Structures for Statistical Computing in Python. In Proceedings of the 9th Python in Science Conference, Austin, TX, USA, 28 June–3 July 2010; van der Walt, S., Millman, J., Eds.; SCIPY: Austin, TX, USA, 2010; pp. 56–61. [Google Scholar]
- Hunter, J.D. Matplotlib: A 2D graphics environment. Comput. Sci. Eng. 2007, 9, 90–95. [Google Scholar] [CrossRef]
- Perkins-Veazie, P.; Huber, D.J. Growth and ripening of strawberry fruit under field conditions. In Proceedings of the Annual Meeting of the Florida State Horticulture Society, Crystal River, FL, USA, 22–23 May 1988; Florida Online Journals, Florida, USA, 1988. pp. 253–256. [Google Scholar]
- Abeles, F.B.; Takeda, F. Cellulase activity and ethylene in ripening strawberry and apple fruits. Sci. Hortic. 1990, 42, 269–275. [Google Scholar] [CrossRef]
- Ferreyra, R.M.; Viña, S.Z.; Mugridge, A.; Chaves, A.R. Growth and ripening season effects on antioxidant capacity of strawberry cultivar Selva. Sci. Hortic. 2007, 112, 27–32. [Google Scholar] [CrossRef]
- Figueroa, C.R.; Pimentel, P.; Gaete-Eastman, C.; Moya, M.; Herrera, R.; Caligari, P.D.S.; Moya-León, M.A. Softening rate of the Chilean strawberry (Fragaria chiloensis) fruit reflects the expression of polygalacturonase and pectate lyase genes. Postharvest Biol. Technol. 2008, 49, 210–220. [Google Scholar] [CrossRef]
- Doymaz, I. Convective drying kinetics of strawberry. Chem. Eng. Process. Process Intensif. 2008, 47, 914–919. [Google Scholar] [CrossRef]
- Karlidag, H.; Yildirim, E.; Turan, M. Exogenous applications of salicylic acid affect quality and yield of strawberry grown under antifrost heated greenhouse conditions. J. Plant Nutr. Soil Sci. 2009, 172, 270–276. [Google Scholar] [CrossRef]
- Azodanlou, R.; Darbellay, C.; Luisier, J.-L.; Villettaz, J.-C.; Amadò, R. Changes in flavour and texture during the ripening of strawberries. Eur. Food Res. Technol. 2004, 218, 167–172. [Google Scholar]
- Nascimento, G.G.F.; Locatelli, J.; Freitas, P.C.; Silva, G.L. Antibacterial activity of plant extracts and phytochemicals on antibiotic-resistant bacteria. Brazilian J. Microbiol. 2000, 31, 247–256. [Google Scholar] [CrossRef]
- Villanueva, M.J.; Tenorio, M.D.; Esteban, M.A.; Mendoza, M.C. Compositional changes during ripening of two cultivars of muskmelon fruits. Food Chem. 2004, 87, 179–185. [Google Scholar] [CrossRef]
- Jeong, H.J.; Choi, H.G.; Moon, B.Y.; Cheong, J.W.; Kang, N.J. Comparative analysis of the fruit characteristics of four strawberry cultivars commonly grown in South Korea. Hortic. Sci. Technol. 2016, 34, 396–404. [Google Scholar] [CrossRef]
- Ali, A.; Maqbool, M.; Ramachandran, S.; Alderson, P.G. Gum arabic as a novel edible coating for enhancing shelf-life and improving postharvest quality of tomato (Solanum lycopersicum L.) fruit. Postharvest Biol. Technol. 2010, 58, 42–47. [Google Scholar] [CrossRef]
- Imaduddin, A.H.; Susanto, W.H. Pengaruh tingkat kematangan buah belimbing (Averrhoa carambola L.) dan Proporsi penambahan gula terhadap karakteristik fisikokimia dan organoleptik lempok belimbing. J. Pangan Agroindustri 2017, 5, 45–57. [Google Scholar]
- Janurianti, N.M.D.; Utama, I.M.S.; Gunam, I.B.W. Colour and quality of strawberry fruit (Fragaria x ananassa Duch.) at different levels of maturity. Sustain. Environ. Agric. Sci. 2021, 5, 22–28. [Google Scholar] [CrossRef]
- Hernandez-Munoz, P.; Almenar, E.; Del Valle, V.; Velez, D.; Gavara, R. Effect of chitosan coating combined with postharvest calcium treatment on strawberry (Fragaria x ananassa) quality during refrigerated storage. Food Chem. 2008, 110, 428–435. [Google Scholar] [CrossRef] [PubMed]
- Abdipour, M.; Younessi-Hmazekhanlu, M.; Ramazani, S.H.R. Artificial neural networks and multiple linear regression as potential methods for modeling seed yield of safflower (Carthamus tinctorius L.). Ind. Crops Prod. 2019, 127, 185–194. [Google Scholar] [CrossRef]
- Arulmozhi, E.; Basak, J.K.; Sihalath, T.; Park, J.; Kim, H.T.; Moon, B.E. Machine learning-based microclimate model for indoor air temperature and relative humidity prediction in a swine building. Animals 2021, 11, 222. [Google Scholar] [CrossRef] [PubMed]
- Shen, F.; Zhang, B.; Cao, C.; Jiang, X. On-line discrimination of storage shelf-life and prediction of post-harvest quality for strawberry fruit by visible and near infrared spectroscopy. J. Food Process Eng. 2018, 41, e12866. [Google Scholar] [CrossRef]
- Guo, Z.; Huang, W.; Chen, L.; Wang, X.; Peng, Y. Nondestructive evaluation of soluble solid content in strawberry by near infrared spectroscopy. In Proceedings of the Piageng 2013: Image Processing and Photonics for Agricultural Engineering, Sanya, China, 27–28 January 2013; SPIE: Bellingham, WA, USA, 2013; 8761, pp. 128–132. [Google Scholar]
- Agulheiro-Santos, A.C.; Ricardo-Rodrigues, S.; Laranjo, M.; Melgão, C.; Velázquez, R. Non-destructive prediction of total soluble solids in strawberry using near infrared spectroscopy. J. Sci. Food Agric. 2022. [Google Scholar] [CrossRef]
- Manley, M. Near-infrared spectroscopy and hyperspectral imaging: Non-destructive analysis of biological materials. Chem. Soc. Rev. 2014, 43, 8200–8214. [Google Scholar] [CrossRef] [Green Version]
- Mancini, M.; Mazzoni, L.; Gagliardi, F.; Balducci, F.; Duca, D.; Toscano, G.; Mezzetti, B.; Capocasa, F. Application of the non-destructive NIR technique for the evaluation of strawberry fruits quality parameters. Foods 2020, 9, 441. [Google Scholar] [CrossRef] [Green Version]
- Hernanz, D.; Recamales, Á.F.; Meléndez-Martínez, A.J.; González-Miret, M.L.; Heredia, F.J. Multivariate Statistical Analysis of the Color—Anthocyanin Relationships in Different Soilless-Grown Strawberry Genotypes. J. Agric. Food Chem. 2008, 56, 2735–2741. [Google Scholar] [CrossRef]
- Mohd Ali, N.; Md Rashid, N.K.A.; Mustafah, Y.M. Performance comparison between RGB and HSV color segmentations for road signs detection. Appl. Mech. Mater. 2013, 393, 550–555. [Google Scholar] [CrossRef]
- Bora, D.J.; Gupta, A.K.; Khan, F.A. Comparing the performance of L* A* B* and HSV color spaces with respect to color image segmentation. arXiv 2015, arXiv:1506.01472. [Google Scholar]
- Weng, S.; Yu, S.; Guo, B.; Tang, P.; Liang, D. Non-destructive detection of strawberry quality using multi-features of hyperspectral imaging and multivariate methods. Sensors 2020, 20, 3074. [Google Scholar] [CrossRef] [PubMed]
- Hu, M.-H.; Dong, Q.-L.; Liu, B.-L.; Opara, U.L.; Chen, L. Estimating blueberry mechanical properties based on random frog selected hyperspectral data. Postharvest Biol. Technol. 2015, 106, 1–10. [Google Scholar] [CrossRef]
- Voca, S.; Jakobek, L.; Druzic, J.; Sindrak, Z.; Dobricevic, N.; Seruga, M.; Kovac, A. Quality of strawberries produced applying two different growing systems Calidad de fresas producidas aplicando dos diferentes sistemas de cultivo. Cyta-J. Food 2009, 7, 201–207. [Google Scholar] [CrossRef]
- Pu, Y.; Wei, X.; Su, Y.; Zhao, Z.; Qian, W.; Xu, D. Implementation and research of multi-method color transfer algorithms in different color spaces. In Proceedings of the 2010 International Conference on Machine Vision and Human-Machine Interface, Kaifeng, China, 24–25 April 2010; IEEE: New York, NY, USA, 2010; pp. 713–717. [Google Scholar]
- Kurniastuti, I.; Yuliati, E.N.I.; Yudianto, F.; Wulan, T.D. Determination of Hue Saturation Value (HSV) color feature in kidney histology image. In Proceedings of the Journal of Physics: Conference Series, Singapore, 10–11 March 2022; IOP Publishing: Bristol, UK, 2022; Volume 2157, p. 12020. [Google Scholar]
- Hosseini, S.M.; Yazdi, H.S.; Amjadi, S.; Farsi, H. A novel color space creating method applied to skin color detection. In Proceedings of the 2009 International Conference on Digital Image Processing, Bangkok, Thailand, 7–9 March 2009; IEEE: New York, NY, USA, 2009; pp. 17–21. [Google Scholar]












| Ripening Stage | Length (mm) | Diameter (mm) | Weight (g) | TSS (°brix) | pH |
|---|---|---|---|---|---|
| White (RS1) | 36.72 ± 2.12 a | 30.79 ± 1.42 a | 15.33 ± 1.84 a | 5.99 ± 0.48 a | 3.85 ± 0.24 a |
| Turning (RS2) | 37.34 ± 3.36 a | 31.57 ± 2.47 a | 17.17 ± 4.06 b | 6.69 ± 0.36 b | 4.17 ± 0.18 b |
| Half-red (RS3) | 39.35 ± 2.61 b | 31.66 ± 2.79 ab | 18.31 ± 3.43 b | 7.18 ± 0.34 c | 4.34 ± 0.06 c |
| Three-quarter red (RS4) | 41.01 ± 4.17 c | 31.11 ± 1.71 a | 18.34 ± 2.57 b | 7.29 ± 0.22 c | 4.46 ± 0.12 d |
| Bright red (RS5) | 43.30 ± 2.92 d | 32.48 ± 1.73 bc | 19.97 ± 2.54 c | 8.24 ± 0.41 d | 4.59 ± 0.21 e |
| Dark red (RS6) | 42.71 ± 4.03 d | 33.00 ± 2.70 c | 20.58 ± 4.76 c | 9.19 ± 0.35 e | 4.87 ± 0.16 f |
| Overall in six stages | 40.07 ± 4.12 | 31.77 ± 2.32 | 18.28 ± 3.76 | 7.43 ± 1.10 | 4.38 ± 0.36 |
| Ripening Stage | RGB Colour Space | ||
|---|---|---|---|
| R | G | B | |
| RS1 | 203.54 ± 6.52 a | 200.66 ± 6.52 a | 120.02 ± 11.18 a |
| RS2 | 208.84 ± 4.18 b | 183.49 ± 11.70 b | 111.29 ± 10.99 b |
| RS3 | 207.42 ± 9.86 b | 133.60 ± 9.02 c | 78.17 ± 10.32 c |
| RS4 | 208.06 ± 8.77 b | 118.09 ± 7.02 d | 68.75 ± 5.21 d |
| RS5 | 209.14 ± 5.50 b | 89.09 ± 8.07 e | 46.86 ± 5.91 e |
| RS6 | 181.80 ± 6.34 c | 59.21 ± 4.98 f | 39.57 ± 3.64 f |
| Overall | 203.13 ± 12.04 | 130.69 ± 50.18 | 77.44 ± 31.19 |
| Ripening Stage | HSV Colour Space | ||
|---|---|---|---|
| H | S | V | |
| RS1 | 28.87 ± 0.26 a | 110.29 ± 10.45 a | 203.88 ± 6.52 a |
| RS2 | 24.17 ± 2.14 b | 125.88 ± 13.52 b | 208.92 ± 4.17 b |
| RS3 | 16.20 ± 1.03 c | 171.47 ± 10.70 c | 207.43 ± 9.85 b |
| RS4 | 13.85 ± 0.85 d | 183.39 ± 4.58 d | 208.08 ± 8.77 b |
| RS5 | 9.76 ± 0.87 e | 206.12 ± 5.89 e | 209.14 ± 5.51 b |
| RS6 | 9.98 ± 1.54 f | 207.08 ± 5.18 e | 181.80 ± 6.34 c |
| Overall | 16.95 ± 7.42 | 167.37 ± 38.36 | 203.21 ± 12.05 |
| Ripening Stage | HSL Colour Space | ||
|---|---|---|---|
| H | S | L | |
| RS1 | 28.87 ± 0.26 a | 161.65 ± 8.79 a | 133.34 ± 5.47 a |
| RS2 | 24.17 ± 2.14 b | 159.48 ± 2.14 a | 153.85 ± 11.05 b |
| RS3 | 16.24 ± 1.02 c | 139.83 ± 9.73 b | 190.73 ± 10.93 c |
| RS4 | 13.85 ± 0.85 d | 135.28 ± 6.64 c | 201.48 ± 6.58 d |
| RS5 | 9.92 ± 0.87 e | 125.63 ± 5.15 d | 212.64 ± 3.06 e |
| RS6 | 11.03 ± 2.34 f | 109.21 ± 4.16 e | 195.71 ± 7.24 f |
| Overall | 17.35 ± 7.08 | 138.51 ± 19.68 | 181.29 ± 29.21 |
| Model Name | Dataset | Training | Testing | ||
|---|---|---|---|---|---|
| R2 | RMSE | R2 | RMSE | ||
| MLR | RGB | 0.768 | 0.532 | 0.736 | 0.570 |
| HSV | 0.821 | 0.463 | 0.763 | 0.540 | |
| HSL | 0.808 | 0.479 | 0.756 | 0.547 | |
| SVM-R | RGB | 0.819 | 0.481 | 0.751 | 0.554 |
| HSV | 0.841 | 0.437 | 0.792 | 0.506 | |
| HSL | 0.833 | 0.447 | 0.784 | 0.515 | |
| Model Name | Dataset | Training | Testing | ||
|---|---|---|---|---|---|
| R2 | RMSE | R2 | RMSE | ||
| MLR | RGB | 0.705 | 0.188 | 0.643 | 0.229 |
| HSV | 0.742 | 0.182 | 0.684 | 0.215 | |
| HSL | 0.722 | 0.189 | 0.655 | 0.225 | |
| SVM-R | RGB | 0.748 | 0.175 | 0.688 | 0.214 |
| HSV | 0.788 | 0.165 | 0.726 | 0.201 | |
| HSL | 0.774 | 0.171 | 0.714 | 0.204 | |
Publisher’s Note: MDPI stays neutral with regard to jurisdictional claims in published maps and institutional affiliations. |
© 2022 by the authors. Licensee MDPI, Basel, Switzerland. This article is an open access article distributed under the terms and conditions of the Creative Commons Attribution (CC BY) license (https://creativecommons.org/licenses/by/4.0/).
Share and Cite
Basak, J.K.; Madhavi, B.G.K.; Paudel, B.; Kim, N.E.; Kim, H.T. Prediction of Total Soluble Solids and pH of Strawberry Fruits Using RGB, HSV and HSL Colour Spaces and Machine Learning Models. Foods 2022, 11, 2086. https://doi.org/10.3390/foods11142086
Basak JK, Madhavi BGK, Paudel B, Kim NE, Kim HT. Prediction of Total Soluble Solids and pH of Strawberry Fruits Using RGB, HSV and HSL Colour Spaces and Machine Learning Models. Foods. 2022; 11(14):2086. https://doi.org/10.3390/foods11142086
Chicago/Turabian StyleBasak, Jayanta Kumar, Bolappa Gamage Kaushalya Madhavi, Bhola Paudel, Na Eun Kim, and Hyeon Tae Kim. 2022. "Prediction of Total Soluble Solids and pH of Strawberry Fruits Using RGB, HSV and HSL Colour Spaces and Machine Learning Models" Foods 11, no. 14: 2086. https://doi.org/10.3390/foods11142086
APA StyleBasak, J. K., Madhavi, B. G. K., Paudel, B., Kim, N. E., & Kim, H. T. (2022). Prediction of Total Soluble Solids and pH of Strawberry Fruits Using RGB, HSV and HSL Colour Spaces and Machine Learning Models. Foods, 11(14), 2086. https://doi.org/10.3390/foods11142086

