Effect of Biogenic Amine-Degrading Lactobacillus on the Biogenic Amines and Quality in Fermented Lamb Jerky
Abstract
:1. Introduction
2. Materials and Methods
2.1. Materials
2.2. Preparation of Fermented Lamb Jerky
2.3. pH, Water Activity, Color, TBARS, Nitrite, and Texture
2.4. Volatile Flavor
2.5. Electronic Nose
2.6. Biogenic Amines
2.7. Statistical Analysis
3. Results and Discussion
3.1. pH, aw, and Moisture Content
3.2. Color and Texture
3.3. Residue Nitrite and TBARS
3.4. Electronic Nose Analysis
3.5. Volatile Flavor Analysis
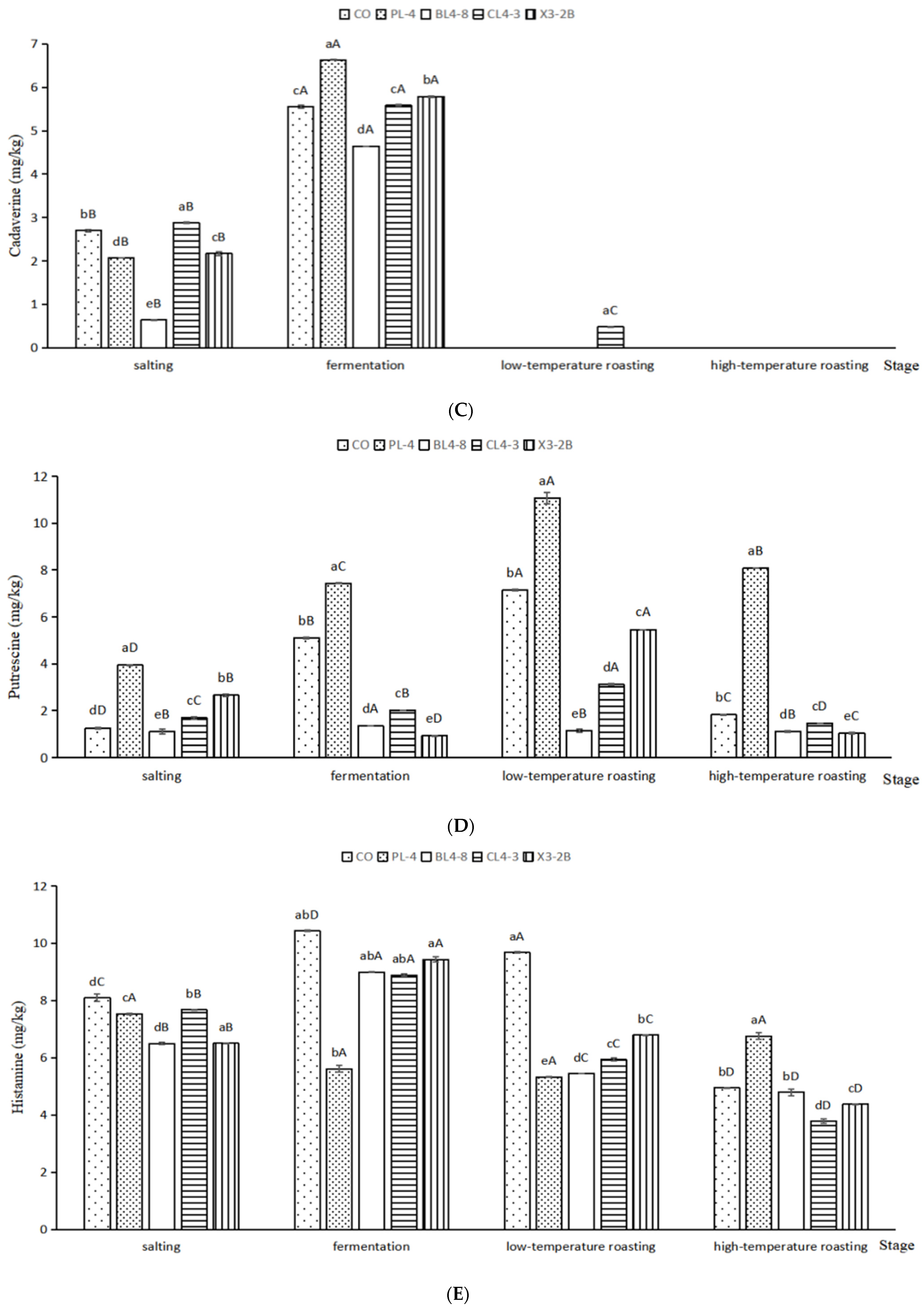
3.6. Biogenic Amines Analysis
4. Conclusions
Supplementary Materials
Author Contributions
Funding
Institutional Review Board Statement
Informed Consent Statement
Data Availability Statement
Conflicts of Interest
References
- Wang, J.; Hou, J.; Zhang, X.; Hu, J.; Yu, Z.; Zhu, Y. Improving the Flavor of Fermented Sausage by Increasing Its Bacterial Quality via Inoculation with Lactobacillus plantarum MSZ2 and Staphylococcus xylosus YCC3. Foods 2022, 11, 736. [Google Scholar] [CrossRef] [PubMed]
- Ss, A.; Bk, A.; Yan, W.B.; Qian, L.A.; Xia, A. Comparison of the quality of beef jerky processed by traditional and modern drying methods from different districts in inner mongolia. Meat Sci. 2020, 163, 108080. [Google Scholar]
- Ding, H. Understand the current situation of the leisure dried meat market and become a leading brand in the leisure dried meat industry in China. Agric. Prod. Process. 2013, 3, 56–57. [Google Scholar]
- Pedro, D.; Saldaa, E.; Lorenzo, J.M.; Pateiro, M.; Campagnol, P. Low-sodium dry-cured rabbit leg: A novel meat product with healthier properties. Meat Sci. 2021, 173, 108372. [Google Scholar] [CrossRef] [PubMed]
- Verma, N.; Hooda, V.; Gahlaut, A.; Gothwal, A.; Hooda, V. Enzymatic biosensors for the quantification of biogenic amines: A literature update. Crit. Rev. J. Biotechnol. 2020, 40, 1–14. [Google Scholar] [CrossRef] [PubMed]
- Drabik-Markiewicz, G.; Dejaegher, B.; Mey, E.D.; Kowalska, T.; Paelinck, H.; Heyden, Y.V. Influence of putrescine, cadaverine, spermidine or spermine on the formation of n-nitrosamine in heated cured pork meat. Food Chem. 2011, 126, 1539–1545. [Google Scholar] [CrossRef]
- Lu, S.; Xu, X.; Shu, R.; Zhou, G.; Meng, Y.; Sun, Y.; Chen, Y.; Wang, P. Characterization of biogenic amines and factors influencing their formation in traditional Chinese sausages. J. Food Sci. 2010, 75, M366–M372. [Google Scholar] [CrossRef]
- Zhang, H.; Li, B.; Zhao, L.; Wang, Q.; Li, B.; Li, S. The effects of amine oxidase-producing starter culture on biogenic amine accumulation in traditional chinese smoked horsemeat sausages. J. Food Saf. 2019, 39, e12638. [Google Scholar]
- Gardini, F.; Martuscelli, M.; Crudele, M.A. Use of Staphylococcus xylosus as a starter culture in dried sausages: Effect on the biogenic amine content. Meat Sci. 2002, 61, 275–283. [Google Scholar] [CrossRef]
- Ammor, M.S.; Mayo, B. Selection criteria for lactic acid bacteria to be used as functional starter cultures in dry sausage production: An update. Meat Sci. 2007, 76, 138–146. [Google Scholar] [CrossRef]
- Wang, Y.; Li, F.; Chen, J.; Sun, Z.; Fu, L. High-throughput sequencing-based characterization of the predominant microbial community associated with characteristic flavor formation in jinhua ham. Food Microbiol. 2021, 94, 103643. [Google Scholar] [CrossRef] [PubMed]
- Li, P.; Luo, H.; Kong, B.; Liu, Q.; Chen, C. Formation of red myoglobin derivatives and inhibition of spoilage bacteria in raw meat batters by lactic acid bacteria and Staphylococcus xylosus. LWT-Food Sci. Technol. 2016, 68, 251–257. [Google Scholar] [CrossRef]
- Fang, M.L. Study on Quality Evaluation Technology of Mutton for Processing Suitability of Mutton Sausage. Ph.D. Thesis, Beijing Forestry University, Beijing, China, 2008. [Google Scholar]
- Luo, Y.; Zhao, L.; Xu, J.; Su, L.; Jin, Y. Effect of fermentation and postcooking procedure on quality parameters and volatile compounds of beef jerky. Food Sci. Nutr. 2020, 8, 2316–2326. [Google Scholar] [CrossRef]
- Ma, L.; Nan, Q.; Dai, R. Effects of different modified atmosphere packaging methods on physicochemical and sensory properties of chilled pork during cold storage. J. Agric. Eng. China 2003, 3, 156–160. [Google Scholar]
- State Food and Drug Administration of the State Health and Family Planning Commission of the People’s Republic of China. Determination of Nitrite and Nitrate in Food (GB 5009.33). Available online: http://down.foodmate.net/standard/sort/3/50419.html (accessed on 23 December 2016).
- Chen, Q.; Hu, Y.; Wen, R.; Wang, Y.; Kong, B. Characterisation of the flavour profile of dry fermented sausages with different nacl substitutes using hs-spme-gc-ms combined with electronic nose and electronic tongue. Meat Sci. 2021, 172, 108338. [Google Scholar] [CrossRef] [PubMed]
- Olivares, A.; Navarro, J.L.; Flores, M. Effect of fat content on aroma generation during processing of dry fermented sausages. Meat Sci. 2011, 87, 264–273. [Google Scholar] [CrossRef] [Green Version]
- Sun, X.; Du, B.; Zhao, L.; Jin, Y.; Wu, J. The effect of different starter cultures on biogenic amines and quality of fermented mutton sausages stored at 4 and 20 °C temperatures. Food Sci. Nutr. 2020, 8, 4472–4483. [Google Scholar] [CrossRef]
- Ruiz-Moyano, S.; Martin, A.; Benito, M.J.; Hernandez, A.; Casquete, R.; Cordoba, M.D.G. Application of lactobacillus fermentum hl57 and pediococcus acidilactici sp979 as potential probiotics in the manufacture of traditional iberian dry-fermented sausages. Food Microbiol. 2011, 28, 839–847. [Google Scholar] [CrossRef]
- Jaguey-Hernández, Y.; Aguilar-Arteaga, K.; Ojeda-Ramirez, D.; Aorve-Morga, J.; Ovando, A.C. Biogenic amines levels in food processing: Efforts for their control in foodstuffs. Food Res. Int. 2021, 144, 110341. [Google Scholar] [CrossRef]
- Mejri, L.; Ziadi, A.; Adab, S.E.; Boulares, M.; Essid, I.; Hassouna, M. Effect of commercial starter cultures on physicochemical, microbiological and textural characteristics of a traditional dry fermented sausage reformulated with camel meat and hump fat. J. Food Meas. Charact. 2016, 11, 758–767. [Google Scholar] [CrossRef]
- Wang, D.; Hu, G.; Wang, H.; Wang, L.; Zhang, Y.; Zou, Y.; Zhao, L.; Liu, F.; Jin, Y. Effect of mixed starters on proteolysis and formation of biogenic amines in dry fermented mutton sausages. Foods 2021, 10, 2939. [Google Scholar] [CrossRef] [PubMed]
- Baka, A.M.; Papavergou, E.J.; Pragalaki, T.; Bloukas, J.G.; Kotzekidou, P. Effect of selected autochthonous starter cultures on processing and quality characteristics of greek fermented sausages. LWT-Food Sci. Technol. 2011, 44, 54–61. [Google Scholar] [CrossRef]
- Xwla, B.; Sl, B.; Ttsa, B.; Kang, L.; Qmla, B.; Lhpa, B. Exopolysaccharides from yoghurt fermented by lactobacillus paracasei: Production, purification and its binding to sodium caseinate—Sciencedirect. Food Hydrocolloid. 2020, 102, 105635. [Google Scholar]
- Alonso, H.; Moraes, M.R.; Amorim, A.; Vasconcelos, M.; Ferreira, K.; Neto, J. Using Salivary Nitrite Levels As a Potential Biomarker For Oral Chemical Carcinogenesis. Oral Surg. Oral Med. Oral Pathol. Oral Radiol. 2020, 129, e180. [Google Scholar] [CrossRef]
- Adhikari, U.K.; Rahman, M.M. Comparative analysis of amino acid composition in the active site of nirk gene encoding copper-containing nitrite reductase (cunir) in bacterial spp. Comput. Biol. Chem. 2017, 67, 102–113. [Google Scholar] [CrossRef]
- Chen, Q.; Kong, B.; Han, Q.; Xia, X.; Xu, L. The role of bacterial fermentation in lipolysis and lipid oxidation in harbin dry sausages and its flavour development. LWT-Food Sci. Technol. 2017, 77, 389–396. [Google Scholar] [CrossRef]
- Zordoky, B.; Bark, D.; Soltys, C.; Sung, M.; Dyck, J. Normoglycemia sensitizes mda-mb-231 breast cancer cells to metformin through an ampk-dependent mechanism (lb610). FASEB J. 2014, 28, LB610. [Google Scholar] [CrossRef]
- Jadoon, A.; Cunningham, P.; Mcdermott, L.C. Arachidonic acid metabolism in the human placenta: Identification of a putative lipoxygenase. Placenta 2014, 35, 422–424. [Google Scholar] [CrossRef]
- Pei, F.; Yang, W.; Ma, N.; Fang, Y.; Zhao, L.; An, X. Effect of the two drying approaches on the volatile profiles of button mushroom (agaricus bisporus) by headspace gc–ms and electronic nose. LWT-Food Sci. Technol. 2016, 72, 343–350. [Google Scholar] [CrossRef]
- Wen, R.; Kong, B.; Yin, X.; Zhang, H.; Chen, Q. Characterisation of flavour profile of beef jerky inoculated with different autochthonous lactic acid bacteria using electronic nose and gas chromatography-ion mobility spectrometry. Meat Sci. 2022, 183, 108658. [Google Scholar] [CrossRef]
- Zhou, X.; Chong, Y.; Ding, Y.; Gu, S.; Liu, L. Determination of the effects of different washing processes on aroma characteristics in silver carp mince by mmse–gc–ms, e-nose and sensory evaluation. Food Chem. 2016, 207, 205–213. [Google Scholar] [CrossRef] [PubMed]
- Ruiz, J.; Ventanas, J.; Cava, R. New device for direct extraction of volatiles in solid samples using spme. J. Agric. Food Chem. 2011, 49, 5115–5121. [Google Scholar] [CrossRef] [PubMed]
- Yang, Y.; Zhang, X.; Wang, Y.; Pan, D.; Cao, J. Study on the volatile compounds generated from lipid oxidation of chinese bacon (unsmoked) during processing: Aroma generated from lipid oxidation in bacon (unsmoked). Eur. J. Lipid Sci. Technol. 2017, 119, 1600512. [Google Scholar] [CrossRef]
- Shahidi, F.; Rubin, L.J.; D’Souza, L.A.; Teranishi, R.; Buttery, R.G. Meat flavor volatiles: A review of the composition, techniques of analysis, and sensory evaluation. Crit. Rev. Food Sci. 1986, 24, 141–243. [Google Scholar] [CrossRef]
- Frank, D.; Watkins, P.; Ball, A.; Krishnamurthy, R.; Piyasiri, U.; Sewell, J. Impact of brassica and lucerne finishing feeds and intramuscular fat on lamb eating quality and flavor. Across-cultural study using chinese and non-chinese australian consumers. J. Agric. Food Chem. 2016, 64, 6856–6868. [Google Scholar] [CrossRef]
- Stahnke, L.H. Dried sausages fermented with Staphylococcus xylosus at different temperatures and with different ingredient levels—Part iii. Sensory evaluation. Meat Sci. 1995, 41, 211–223. [Google Scholar] [CrossRef]
- Kawai, T.; Sakaguchi, M. Fish flavor. Crit. Rev. Food Technol. 1996, 36, 257–298. [Google Scholar] [CrossRef]
- Zeng, X.; Xia, W.; Jiang, Q.; Xu, Y.; Jing, F. Contribution of mixed starter cultures to flavor profile of suanyu—A traditional chinese low-salt fermented whole fish. J. Food Process. Preserv. 2017, 41, e13131. [Google Scholar] [CrossRef]
- Lorenzo, J.M.; Carballo, J.; Franco, D. Effect of the inclusion of chestnut in the finishing diet on volatile compounds of dry-cured ham from celta pig breed. J. Integr. Agric. 2013, 12, 2002–2012. [Google Scholar] [CrossRef]
- Sanchez-Pena, C.M.; Luna, G.; Garcia-Gonzalez, D.L.; Aparicio, R. Characterization of french and spanish dry-cured hams: Influence of the volatiles from the muscles and the subcutaneous fat quantified by SPME-GC. Meat Sci. 2005, 69, 635–645. [Google Scholar] [CrossRef]
- Ravyts, F.; Vuyst, L.D.; Leroy, F. Bacterial diversity and functionalities in food fermentations. Eng. Life Sci. 2012, 12, 356–367. [Google Scholar] [CrossRef]
- Du, M.; Ahn, D.U. Volatile substances of chinese traditional jinhua ham and cantonese sausage. J. Food Sci. 2010, 66, 827–831. [Google Scholar] [CrossRef]
- Bover-Cid, S.; Izquierdo-Pulido, M.; Vidal-Carou, M.C. Mixed starter cultures to control biogenic amine production in dry fermented sausages. J. Food Protect. 2000, 63, 1556–1562. [Google Scholar] [CrossRef]
- Nie, X.H.; Lin, S.L.; Zhang, Q.L. Proteolytic characterisation in grass carp sausage inoculated with Lactobacillus plantarum and Pediococcus pentosaceus. Food Chem. 2014, 145, 840–844. [Google Scholar] [CrossRef]
- Suvajdzic, B.; Tasi, T.; Teodorovi, V.; Jankovic, V.; Vasilev, D. Biogenic amine content during the production and ripening of sremski kulen, serbian traditional dry fermented sausage. Anim. Sci. J. 2020, 91, e13466. [Google Scholar] [CrossRef] [PubMed]
- Eerola, H.S.; Sagués, A.X.R.; Hirvi, T.K. Biogenic amines in finnish dry sausages. J. Food Saf. 1998, 18, 127–138. [Google Scholar] [CrossRef]
- Hazards, E. EFSA Panel on Biological Hazards (BIOHAZ). Scientific Opinion on risk based control of biogenic amine formation in fermented foods. EFSA J. 2011, 9, 2393. [Google Scholar]










| Stage | CO | PL-4 | BL4-8 | CL4-3 | X3-2B | |
|---|---|---|---|---|---|---|
| pH | Salting | 5.71 ± 0.000 aA | 5.46 ± 0.000 bB | 5.47 ± 0.000 bA | 5.43 ± 0.012 cA | 5.41 ± 0.006 dB |
| Fermentation | 5.22 ± 0.006 aD | 5.18 ± 0.006 bD | 4.75 ± 0.006 eD | 4.95 ± 0.006 dD | 5.11 ± 0.006 cD | |
| Low-temperature roasting | 5.46 ± 0.026 aC | 5.39 ± 0.006 bC | 4.95 ± 0.010 dC | 5.02 ± 0.006 cC | 5.39 ± 0.010 bC | |
| High-temperature roasting | 5.49 ± 0.006 bB | 5.45 ± 0.006 aA | 5.00 ± 0.012 eB | 5.22 ± 0.006 dB | 5.46 ± 0.006 cA | |
| aw | Salting | 0.863 ± 0.008 aA | 0.863 ± 0.003 aA | 0.859 ± 0.001 aA | 0.876 ± 0.010 aA | 0.866 ± 0.010 aA |
| Fermentation | 0.698 ± 0.001 eB | 0.728 ± 0.005 cB | 0.743 ± 0.002 bB | 0.760 ± 0.003 aB | 0.716 ± 0.002 dB | |
| Low-temperature roasting | 0.681 ± 0.004 dC | 0.703 ± 0.003 aB | 0.668 ± 0.003 bC | 0.578 ± 0.000 aC | 0.607 ± 0.002 cC | |
| High-temperature roasting | 0.584 ± 0.002 dD | 0.547 ± 0.002 aC | 0.564 ± 0.002 cD | 0.569 ± 0.001 bD | 0.547 ± 0.002 dD | |
| Moisture | Salting | 0.717 ± 0.002 cdA | 0.723 ± 0.003 bcA | 0.731 ± 0.000 abA | 0.734 ± 0.001 aA | 0.709 ± 0.005 dA |
| content | Fermentation | 0.348 ± 0.001 eB | 0.393 ± 0.001 cB | 0.436 ± 0.004 aB | 0.423 ± 0.002 bB | 0.382 ± 0.002 dB |
| Low-temperature roasting | 0.248 ± 0.001 eC | 0.395 ± 0.004 aB | 0.332 ± 0.002 cC | 0.378 ± 0.001 bC | 0.271 ± 0.003 dC | |
| High-temperature roasting | 0.203 ± 0.002 dD | 0.250 ± 0.001 aC | 0.230 ± 0.000 bcD | 0.233 ± 0.003 bD | 0.226 ± 0.002 cD |
| Stage | CO | PL-4 | BL4-8 | CL4-3 | X3-2B | |
|---|---|---|---|---|---|---|
| L* | Salting | 31.69 ± 0.10 aC | 31.61 ± 0.29 aD | 30.07 ± 0.17 bD | 29.49 ± 0.11 cC | 27.88 ± 0.20 dC |
| Fermentation | 27.10 ± 0.15 cD | 33.67 ± 0.14 aC | 30.57 ± 0.13 bC | 27.12 ± 0.03 cD | 26.96 ± 0.39 cD | |
| Low-temperature roasting | 34.31 ± 0.43 cB | 36.27 ± 0.18 aB | 36.63 ± 0.07 aB | 35.31 ± 0.21 bB | 35.51 ± 0.32 bB | |
| High-temperature roasting | 36.59 ± 0.16 eA | 39.91 ± 0.30 aA | 39.21 ± 0.04 bA | 37.20 ± 0.42 dA | 38.61 ± 0.24 cA | |
| a* | Salting | 9.43 ± 0.06 cD | 9.82 ± 0.12 cC | 10.52 ± 0.14 bC | 10.91 ± 0.36 bB | 11.65 ± 0.39 aAB |
| Fermentation | 10.08 ± 0.11 bC | 10.13 ± 0.07 bC | 10.29 ± 0.22 bC | 8.73 ± 0.17 cC | 11.44 ± 0.20 aB | |
| Low-temperature roasting | 10.59 ± 0.09 bB | 12.22 ± 0.81 aB | 11.42 ± 0.06 abB | 10.60 ± 0.54 bB | 10.75 ± 0.13 bB | |
| High-temperature roasting | 11.61 ± 0.29 cA | 13.58 ± 0.18 aA | 13.36 ± 0.41 abA | 12.72± 0.55 abA | 12.54 ± 0.83 bcA | |
| b* | Salting | 6.64 ± 0.10 bC | 7.39 ± 0.18 aD | 6.61 ± 0.06 bD | 7.58 ± 0.04 aC | 6.63 ± 0.03 bC |
| Fermentation | 6.40 ± 0.01 cD | 7.82 ± 0.08 aC | 6.83 ± 0.05 bC | 5.36 ± 0.05 eD | 6.12 ± 0.12 dD | |
| Low-temperature roasting | 8.08 ± 0.13 bB | 8.56 ± 0.34 aB | 8.54 ± 0.11 aB | 7.97 ± 0.14 bB | 8.47 ± 0.08 aB | |
| High-temperature roasting | 11.26 ± 0.11 cA | 11.54 ± 0.02 bA | 12.12 ± 0.12 aA | 11.56 ± 0.20 bA | 10.55 ± 0.06 dA | |
| e | Salting | 1.72 ± 0.03 dB | 1.64 ± 0.02 dB | 1.94 ± 0.01 bA | 1.81 ± 0.05 cB | 2.18 ± 0.07 aA |
| Fermentation | 1.75 ± 0.02 bA | 1.60 ± 0.02 dB | 1.84 ± 0.05 cB | 1.95 ± 0.05 bA | 2.30 ± 0.05 aA | |
| Low-temperature roasting | 1.57 ± 0.03 bC | 1.76 ± 0.06 aA | 1.65 ± 0.02 bC | 1.63 ± 0.09 bC | 1.62 ± 0.02 bB | |
| High-temperature roasting | 1.35 ± 0.02 bD | 1.52 ± 0.02 aC | 1.44 ± 0.03 abD | 1.44 ± 0.06 abD | 1.51 ± 0.09 aB |
| Texture | CO | PL-4 | BL4-8 | CL4-3 | X3-2B |
|---|---|---|---|---|---|
| Hardness (N) | 4902.20 ± 228.17 a | 1760.96 ± 141.06 c | 2099.46 ± 122.68 bc | 1041.18 ± 170.98 bc | 3513.59 ± 332.05 b |
| Elasticity | 0.58 ± 0.08 bc | 0.73 ± 0.07 ab | 0.71 ± 0.11 ab | 0.53 ± 0.09 c | 0.67 ± 0.11 b |
| Cohesion | 0.52 ± 0.12 a | 0.75 ± 0.01 ab | 0.3 ± 0.17 b | 0.63 ± 0.19 b | 0.61 ± 0.10 b |
| Adhesiveness | 2540.94 ± 374.51 c | 1320.89 ± 133.38 b | 1315.19 ± 206.34 b | 659.50 ± 29.82 a | 2154.47 ± 340.76 ab |
| Chewiness (N) | 1474.25 ± 199.40 a | 959.22 ± 90.49 b | 926.72 ± 83.30 b | 349.46 ± 23.12 c | 1326.12 ± 160.80 ab |
| Resilience | 0.16 ± 0.11 c | 0.26 ± 0.06 a | 0.20 ± 0.09 bc | 0.23 ± 0.12 ab | 0.20 ± 0.11 bc |
| Compound | Threshold (µg/kg in Water) | OAV | ||||
|---|---|---|---|---|---|---|
| CO | PL-4 | BL4-8 | CL4-3 | X3-2B | ||
| Hexanal | 5 | 157.8 | 184.2 | 651 | 389.4 | 148.4 |
| Heptanaldehyde | 3 | 71 | 116.33 | 126 | 152.67 | 178.67 |
| Octanal | 3.4 | 57.65 | 195 | 118.82 | 652.35 | 366.18 |
| Glutaraldehyde | 22 | 2.59 | 5.68 | 7.73 | 5.91 | 6.5 |
| Nonanal | 1 | 256 | 1126 | 1358 | 1255 | 116 |
| Benzaldehyde | 320 | 0.66 | 16.4 | 18.89 | 0.18 | 10.17 |
| 2-decanone | 7.94 | 22.92 | 19.4 | 18.89 | 39.67 | 30.6 |
| 2-Nonanone | 200 | 0.02 | 0.59 | 1.29 | 1.35 | 1.06 |
| 1-octene-3-ol | 1 | 325 | 698 | 617 | 987 | 635 |
| Linalool | 6 | 12.17 | 16.33 | 12.67 | 13.83 | 27.33 |
| Methyl butyrate | 15.1 | 153.91 | 242.25 | 303.91 | 345.89 | 279.8 |
| Methyl octanoate | 13 | 182.23 | 248.08 | 319.85 | 328.38 | 273.54 |
| Camphene | 17 | 19 | 18.47 | 265.53 | 14.71 | 14.76 |
| 1-caryophyllene | 64 | 0 | 4.03 | 10.84 | 9.2 | 19.31 |
| β-Pinene | 140 | 1.83 | 2.56 | 4.99 | 1.84 | 3.47 |
| Methyl caproate | 70 | 46.54 | 59.79 | 103.37 | 73.03 | 74.8 |
Publisher’s Note: MDPI stays neutral with regard to jurisdictional claims in published maps and institutional affiliations. |
© 2022 by the authors. Licensee MDPI, Basel, Switzerland. This article is an open access article distributed under the terms and conditions of the Creative Commons Attribution (CC BY) license (https://creativecommons.org/licenses/by/4.0/).
Share and Cite
Sun, X.; Sun, E.; Sun, L.; Su, L.; Jin, Y.; Ren, L.; Zhao, L. Effect of Biogenic Amine-Degrading Lactobacillus on the Biogenic Amines and Quality in Fermented Lamb Jerky. Foods 2022, 11, 2057. https://doi.org/10.3390/foods11142057
Sun X, Sun E, Sun L, Su L, Jin Y, Ren L, Zhao L. Effect of Biogenic Amine-Degrading Lactobacillus on the Biogenic Amines and Quality in Fermented Lamb Jerky. Foods. 2022; 11(14):2057. https://doi.org/10.3390/foods11142057
Chicago/Turabian StyleSun, Xueying, Erke Sun, Lina Sun, Lin Su, Ye Jin, Lina Ren, and Lihua Zhao. 2022. "Effect of Biogenic Amine-Degrading Lactobacillus on the Biogenic Amines and Quality in Fermented Lamb Jerky" Foods 11, no. 14: 2057. https://doi.org/10.3390/foods11142057
APA StyleSun, X., Sun, E., Sun, L., Su, L., Jin, Y., Ren, L., & Zhao, L. (2022). Effect of Biogenic Amine-Degrading Lactobacillus on the Biogenic Amines and Quality in Fermented Lamb Jerky. Foods, 11(14), 2057. https://doi.org/10.3390/foods11142057
