Geographical Characterization of Olive Oils from the North Aegean Region Based on the Analysis of Biophenols with UHPLC-QTOF-MS
Abstract
1. Introduction
2. Materials and Methods
2.1. Chemicals and Standards
2.2. Instrumentation
2.3. Samples
2.4. Sample Preparation and Quality Control
2.5. Target and Suspect Screening—Data Processing
2.6. Statistical Analysis
3. Results and Discussion
3.1. Target and Suspect Screening Results
3.2. Quantification and Semiquantification Results
3.3. Phenolic Content
- Comparison between the islands
- Comparison between the zones of Lesvos
3.4. Secoiridoids
3.4.1. Major Secoiridoids—Differences between the Islands
- Oleuropein aglycone
- Ligstroside aglycone
- Decarboxymethyl oleuropein aglycone (Oleacein)
- Decarboxymethyl ligstroside aglycone (Oleocanthal)
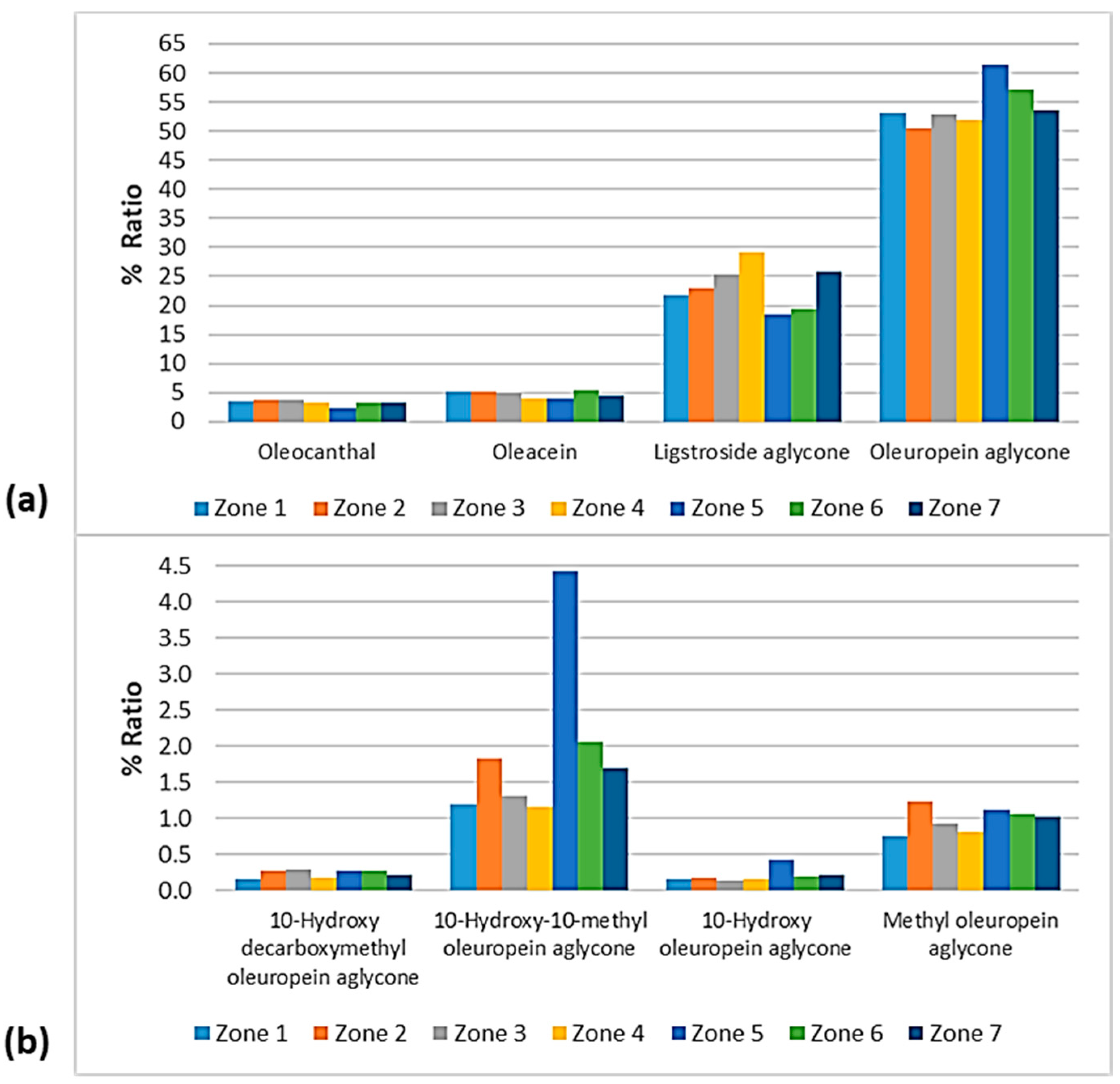
3.4.2. Major Secoiridoids—Differences between the Zones of Lesvos
- Oleuropein aglycone
- Ligstroside aglycone
- Decarboxymethyl oleuropein aglycone (Oleacein)
- Decarboxymethyl ligstroside aglycone (Oleocanthal)
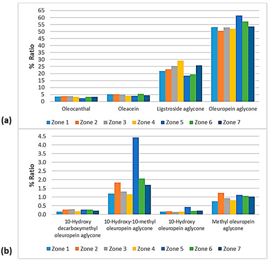
3.5. Phenolic Profile
3.5.1. Phenolic Profile—Comparison between the Islands
3.5.2. Phenolic Profile—Comparison between the Zones of Lesvos
4. Conclusions
Supplementary Materials
Author Contributions
Funding
Conflicts of Interest
References
- Miho, H.; Díez, C.M.; Mena-Bravo, A.; Sánchez de Medina, V.; Moral, J.; Melliou, E.; Magiatis, P.; Rallo, L.; Barranco, D.; Priego-Capote, F. Cultivar influence on variability in olive oil phenolic profiles determined through an extensive germplasm survey. Food Chem. 2018, 266, 192–199. [Google Scholar] [CrossRef] [PubMed]
- Sánchez De Medina, V.; Priego-Capote, F.; De Castro, M.D.L. Characterization of monovarietal virgin olive oils by phenols profiling. Talanta 2015, 132, 424–432. [Google Scholar] [CrossRef]
- Franco, M.N.; Galeano-Díaz, T.; López, Ó.; Fernández-Bolaños, J.G.; Sánchez, J.; de Miguel, C.; Gil, M.V.; Martín-Vertedor, D. Phenolic compounds and antioxidant capacity of virgin olive oil. Food Chem. 2014, 163, 289–298. [Google Scholar] [CrossRef] [PubMed]
- Antonini, E.; Farina, A.; Leone, A.; Mazzara, E.; Urbani, S.; Selvaggini, R.; Servili, M.; Ninfali, P. Phenolic compounds and quality parameters of family farming versus protected designation of origin (PDO) extra-virgin olive oils. J. Food Compos. Anal. 2015, 43, 75–81. [Google Scholar] [CrossRef]
- Gomez-Rico, A.; Inarejos-Garcia, A.; Desamparados Salvador, M.; Fregapane, G. Effect of malaxation conditions on phenol and volatile profiles in olive paste and the corresponding virgin olive oils (Olea europaea L. Cv. Cornicabra). J. Agric. Food Chem. 2009, 57, 3587–3595. [Google Scholar] [CrossRef] [PubMed]
- Rios, J.J.; Gil, M.J.; Gutierrez-Rosales, F. Solid-phase extraction gas chromatography-ion trap-mass spectrometry qualitative method for evaluation of phenolic compounds in virgin olive oil and structural confirmation of oleuropein and ligstroside aglycons and their oxidation products. J. Chromatogr. A 2005, 1093, 167–176. [Google Scholar] [CrossRef]
- Guerfel, M.; Ouni, Y.; Taamalli, A.; Boujnah, D.; Stefanoudaki, E.; Zarrouk, M. Effect of location on virgin olive oils of the two main Tunisian olive cultivars. Eur. J. Lipid Sci. Technol. 2009, 111, 926–932. [Google Scholar] [CrossRef]
- Gutiérrez-Rosales, F.; Ríos, J.J.; Gómez-Rey, M.L. Main polyphenols in the bitter taste of virgin olive oil. Structural confirmation by on-line high-performance liquid chromatography electrospray ionization mass spectrometry. J. Agric. Food Chem. 2003, 51, 6021–6025. [Google Scholar] [CrossRef]
- Basdeki, E.; Salis, C.; Hagidimitriou, M. The effects of Mediterranean diet and EVOO consumption in relation to human health. Not. Sci. Biol. 2020, 12, 466–485. [Google Scholar] [CrossRef]
- Koseoglu, O.; Unal, M.K. The effect of phenolic compounds on the quality and stability of virgin olive oil. Acta Hortic. 2008, 791, 655–663. [Google Scholar] [CrossRef]
- Romani, A.; Ieri, F.; Urciuoli, S.; Noce, A.; Marrone, G.; Nediani, C.; Bernini, R. Health effects of phenolic compounds found in extra-virgin olive oil, by-products, and leaf of Olea europaea L. Nutrients 2019, 11, 1776. [Google Scholar] [CrossRef]
- Hashmi, M.A.; Khan, A.; Hanif, M.; Farooq, U.; Perveen, S. Traditional uses, phytochemistry, and pharmacology of Olea europaea (olive). Evid.-Based Complement. Altern. Med. 2015, 2015, 1–29. [Google Scholar] [CrossRef]
- Brenes, M.; Hidalgo, F.J.; García, A.; Rios, J.J.; García, P.; Zamora, R.; Garrido, A. Pinoresinol and 1-acetoxypinoresinol, two new phenolic compounds identified in olive oil. J. Am. Oil Chem. Soc. 2000, 77, 715–720. [Google Scholar] [CrossRef]
- Ocakoglu, D.; Tokatli, F.; Ozen, B.; Korel, F. Distribution of simple phenols, phenolic acids and flavonoids in Turkish monovarietal extra virgin olive oils for two harvest years. Food Chem. 2009, 113, 401–410. [Google Scholar] [CrossRef]
- Noce, A.; Marrone, G.; Urciuoli, S.; Di Daniele, F.; Di Lauro, M.; Zaitseva, A.P.; Di Daniele, N.; Romani, A. Usefulness of extra virgin olive oil minor polar compounds in the management of chronic kidney disease patients. Nutrients 2021, 13, 581. [Google Scholar] [CrossRef]
- El Riachy, M.; Hamade, A.; Ayoub, R.; Dandachi, F.; Chalak, L. Oil content, fatty acid and phenolic profiles of some olive varieties growing in Lebanon. Front. Nutr. 2019, 6, 94. [Google Scholar] [CrossRef] [PubMed]
- Di Lecce, G.; Piochi, M.; Pacetti, D.; Frega, N.; Bartolucci, E.; Scortichini, S.; Fiorini, D. Eleven monovarietal extra virgin olive oils from olives grown and processed under the same conditions: Effect of the cultivar on the chemical composition and sensory traits. Foods 2020, 9, 904. [Google Scholar] [CrossRef] [PubMed]
- Quintero-Flórez, A.; Pereira-Caro, G.; Sánchez-Quezada, C.; Moreno-Rojas, J.M.; Gaforio, J.J.; Jimenez, A.; Beltrán, G. Effect of olive cultivar on bioaccessibility and antioxidant activity of phenolic fraction of virgin olive oil. Eur. J. Nutr. 2017, 57, 1925–1946. [Google Scholar] [CrossRef]
- Artajo, L.-S.; Romero, M.-P.; Tovar, M.-J.; Motilva, M.-J. Effect of irrigation applied to olive trees (Olea europaea L.) on phenolic compound transfer during olive oil extraction. Eur. J. Lipid Sci. Technol. 2006, 108, 19–27. [Google Scholar] [CrossRef]
- Caruso, G.; Gucci, R.; Sifola, I.; Selvaggini, R.; Urbani, S.; Esposto, S.; Servili, M. Irrigation and fruit canopy position modify oil quality of olive trees (cv. Frantoio). J. Sci. Food Agric. 2017, 97, 3530–3539. [Google Scholar] [CrossRef] [PubMed]
- Caponio, F.; Gomes, T.; Pasqualone, A. Phenolic compounds in virgin olive oils: Influence of the degree of olive ripeness on organoleptic characteristics and shelf-life. Eur. Food Res. Technol. 2001, 212, 329–333. [Google Scholar] [CrossRef]
- Kula, Ö.; Yıldırım, A.; Yorulmaz, A.; Duran, M.; Mutlu, İ.; Kıvrak, M. Effect of crushing temperature on virgin olive oil quality and composition. Grasas y Aceites 2018, 69, e239. [Google Scholar] [CrossRef]
- Cecchi, L.; Migliorini, M.; Zanoni, B.; Breschi, C.; Mulinacci, N. An effective HPLC-based approach for the evaluation of the content of total phenolic compounds transferred from olives to virgin olive oil during the olive milling process. J. Sci. Food Agric. 2018, 98, 3636–3643. [Google Scholar] [CrossRef] [PubMed]
- Ouni, Y.; Taamalli, A.; Gómez-Caravaca, A.M.; Segura-Carretero, A.; Fernández-Gutiérrez, A.; Zarrouk, M. Characterisation and quantification of phenolic compounds of extra-virgin olive oils according to their geographical origin by a rapid and resolutive LC-ESI-TOF MS method. Food Chem. 2011, 127, 1263–1267. [Google Scholar] [CrossRef] [PubMed]
- Bakhouche, A.; Lozano-Sánchez, J.; Beltrán-Debón, R.; Joven, J.; Segura-Carretero, A.; Fernádez-Gutierrez, A. Phenolic characterization and geographical classification of commercial Arbequina extra-virgin olive oils produced in southern Catalonia. Food Res. Int. 2013, 50, 401–408. [Google Scholar] [CrossRef]
- Gargouri, B.; Ammar, S.; Zribi, A.; Mansour, A.; Bouaziz, M. Effect of growing region on quality characteristics and phenolic compounds of Chemlali extra-virgin olive oils. Acta Physiol. Plant. 2013, 35, 2801–2812. [Google Scholar] [CrossRef]
- Ben Hlima, H.; Ben Ayed, R.; Ennouri, K.; Smaoui, S. Geographical discrimination of virgin olive oils from the tunisian coasts by combining fatty acids and phenolic acids profiles within a multivariate analysis. J. Oleo Sci. 2017, 66, 963–971. [Google Scholar] [CrossRef][Green Version]
- Criado, M.N.; Morelló, J.R.; Motilva, M.J.; Romero, M.P. Effect of growing area on pigment and phenolic fractions of virgin olive oils of the arbequina variety in Spain. J. Am. Oil Chem. Soc. 2004, 81, 633–640. [Google Scholar] [CrossRef]
- Becerra-Herrera, M.; Vélez-Martín, A.; Ramos-Merchante, A.; Richter, P.; Beltrán, R.; Sayago, A. Characterization and evaluation of phenolic profiles and color as potential discriminating features among Spanish extra virgin olive oils with protected designation of origin. Food Chem. 2018, 241, 328–337. [Google Scholar] [CrossRef]
- Dugo, L.; Russo, M.; Cacciola, F.; Mandolfino, F.; Salafia, F.; Vilmercati, A.; Fanali, C.; Casale, M.; de Gara, L.; Dugo, P.; et al. Determination of the phenol and tocopherol content in italian high-quality extra-virgin olive oils by using LC-MS and multivariate data analysis. Food Anal. Methods 2020, 13, 1027–1041. [Google Scholar] [CrossRef]
- Klikarová, J.; Česlová, L.; Kalendová, P.; Dugo, P.; Mondello, L.; Cacciola, F. Evaluation of Italian extra virgin olive oils based on the phenolic compounds composition using multivariate statistical methods. Eur. Food Res. Technol. 2020, 246, 1241–1249. [Google Scholar] [CrossRef]
- Fanali, C.; Della Posta, S.; Vilmercati, A.; Dugo, L.; Russo, M.; Petitti, T.; Mondello, L.; de Gara, L. Extraction, analysis, and antioxidant activity evaluation of phenolic compounds in different italian extra-virgin olive oils. Molecules 2018, 23, 3249. [Google Scholar] [CrossRef] [PubMed]
- Baiano, A.; Terracone, C.; Viggiani, I.; Del Nobile, M.A. Effects of cultivars and location on quality, phenolic content and antioxidant activity of extra-virgin olive oils. J. Am. Oil Chem. Soc. 2013, 90, 103–111. [Google Scholar] [CrossRef]
- Taamalli, A.; Arráez Román, D.; Zarrouk, M.; Segura-Carretero, A.; Fernández-Gutiérrez, A. Classification of ‘Chemlali’ accessions according to the geographical area using chemometric methods of phenolic profiles analysed by HPLC–ESI-TOF–MS. Food Chem. 2012, 132, 561–566. [Google Scholar] [CrossRef]
- Alkan, D.; Tokatli, F.; Ozen, B. Phenolic characterization and geographical classification of commercial extra virgin olive oils produced in Turkey. J. Am. Oil Chem. Soc. 2012, 89, 261–268. [Google Scholar] [CrossRef]
- Kesen, S.; Kelebek, H.; Selli, S. LC-ESI-MS characterization of phenolic profiles Turkish olive oils as influenced by geographic origin and harvest year. J. Am. Oil Chem. Soc. 2014, 91, 385–394. [Google Scholar] [CrossRef]
- Petrakis, P.V.; Agiomyrgianaki, A.; Christophoridou, S.; Spyros, A.; Dais, P. Geographical characterization of Greek virgin olive oils (Cv. Koroneiki) using 1H and 31P NMR fingerprinting with canonical discriminant analysis and classification binary trees. J. Agric. Food Chem. 2008, 56, 3200–3207. [Google Scholar] [CrossRef] [PubMed]
- Kosma, I.; Vatavali, K.; Kontakos, S.; Kontominas, M.; Kiritsakis, A.; Badeka, A. Geographical differentiation of Greek extra virgin olive oil from late-harvested koroneiki cultivar fruits. J. Am. Oil Chem. Soc. 2017, 94, 1373–1384. [Google Scholar] [CrossRef]
- Lukic, I.; Luki, M.; Žanetic, M.; Krapac, M.; Godena, S.; Brkic Bubola, K. Inter-Varietal diversity of typical volatile and phenolic profiles of croatian extra virgin olive oils as revealed by GC-IT-MS and UPLC-DAD analysis. Foods 2019, 8, 565. [Google Scholar] [CrossRef]
- Mansouri, F.; Ben Moumen, A.; Aazza, S.; Belhaj, K.; Fauconnier, M.L.; Sindic, M.; Serghini Caid, H.; Elamrani, A. Quality and chemical profiles of virgin olive oils of three European cultivars suitable for super-high-density planting conditions in eastern Morocco. Mater. Today Proc. 2019, 13, 998–1007. [Google Scholar] [CrossRef]
- Tasioula-Margari, M.; Tsabolatidou, E. Extraction, separation, and identification of phenolic compounds in virgin olive oil by HPLC-DAD and HPLC-MS. Antioxidants 2015, 4, 548–562. [Google Scholar] [CrossRef]
- Kalogiouri, N.P.; Alygizakis, N.A.; Aalizadeh, R.; Thomaidis, N.S. Olive oil authenticity studies by target and nontarget LC–QTOF-MS combined with advanced chemometric techniques. Anal. Bioanal. Chem. 2016, 408, 7955–7970. [Google Scholar] [CrossRef]
- Alarcón Flores, M.I.; Romero-González, R.; Garrido Frenich, A.; Martínez Vidal, J.L. Analysis of phenolic compounds in olive oil by solid-phase extraction and ultra high performance liquid chromatography–tandem mass spectrometry. Food Chem. 2012, 134, 2465–2472. [Google Scholar] [CrossRef]
- Kıvrak, Ş.; Kıvrak, İ. Ultrasonic-assisted extraction method of phenolic compounds in Extra-Virgin Olive Oils (EVOOs) by Ultra Performance Liquid Chromatography–Tandem Mass Spectrometry (UPLC–MS/MS). Sep. Sci. Technol. 2020, 56, 322–329. [Google Scholar] [CrossRef]
- Kalogiouri, N.P.; Aalizadeh, R.; Dasenaki, M.E.; Thomaidis, N.S. Application of high resolution mass spectrometric methods coupled with chemometric techniques in olive oil authenticity studies—A review. Anal. Chim. Acta 2020, 1134, 150–173. [Google Scholar] [CrossRef]
- Jerman Klen, T.; Golc Wondra, A.; Vrhovšek, U.; Mozetič Vodopivec, B. Phenolic profiling of olives and olive oil process-derived matrices using UPLC-DAD-ESI-QTOF-HRMS analysis. J. Agric. Food Chem. 2015, 63, 3859–3872. [Google Scholar] [CrossRef]
- Kalogiouri, N.P.; Aalizadeh, R.; Thomaidis, N.S. Application of an advanced and wide scope non-target screening work fl ow with LC-ESI-QTOF-MS and chemometrics for the classification of the Greek olive oil varieties. Food Chem. 2018, 256, 53–61. [Google Scholar] [CrossRef]
- Kalogiouri, N.P.; Aalizadeh, R.; Dasenaki, M.E.; Thomaidis, N.S. Authentication of Greek PDO kalamata table olives: A novel non-target high resolution mass spectrometric approach. Molecules 2020, 25, 2919. [Google Scholar] [CrossRef]
- Kritikou, E.; Kalogiouri, N.P.; Kolyvira, L.; Thomaidis, N.S. Target and suspect HRMS metabolomics for the 13 varieties of olive leaves and drupes from Greece. Molecules 2020, 25, 4889. [Google Scholar] [CrossRef]
- Kalogiouri, N.P.; Aalizadeh, R.; Thomaidis, N.S. Investigating the organic and conventional production type of olive oil with target and suspect screening by LC-QTOF-MS, a novel semi-quantification method using chemical similarity and advanced chemometrics. Anal. Bioanal. Chem. 2017, 409, 5413–5426. [Google Scholar] [CrossRef]
- Michel, T.; Khlif, I.; Kanakis, P.; Termentzi, A.; Allouche, N.; Halabalaki, M.; Skaltsounis, A.-L. UHPLC-DAD-FLD and UHPLC-HRMS/MS based metabolic profiling and characterization of different Olea europaea organs of Koroneiki and Chetoui varieties. Phytochem. Lett. 2015, 11, 424–439. [Google Scholar] [CrossRef]
- Tóth, G.; Alberti, Á.; Sólyomváry, A.; Barabás, C.; Boldizsár, I.; Noszál, B. Phenolic profiling of various olive bark-types and leaves: HPLC-ESI/MS study. Ind. Crops Prod. 2015, 67, 432–438. [Google Scholar] [CrossRef]
- Kanakis, P.; Termentzi, A.; Michel, T.; Gikas, E.; Halabalaki, M.; Skaltsounis, A.-L. From olive drupes to olive Oil. An HPLC-orbitrap-based qualitative and quantitative exploration of olive key metabolites. Planta Med. 2013, 79, 1576–1587. [Google Scholar] [CrossRef] [PubMed]
- Lozano-Sanchez, J.; Segura-Carretero, A.; Menendez, J.A.; Oliveras-Ferraros, C.; Cerretani, L.; Fernandez-Gutierrez, A. Prediction of extra virgin olive oil varieties through their phenolic profile. potential cytotoxic activity against human breast cancer cells. J. Agric. Food Chem. 2010, 58, 9942–9955. [Google Scholar] [CrossRef] [PubMed]
- Dierkes, G.; Krieger, S.; Duck, R.; Bongartz, A.; Schmitz, O.J.; Hayen, H. High-performance liquid chromatography−mass spectrometry profiling of phenolic compounds for evaluation of olive oil bitterness and pungency. J. Agric. Food Chem. 2012, 60, 7597–7606. [Google Scholar] [CrossRef]
- Capriotti, A.L.; Cavaliere, C.; Crescenzi, C.; Foglia, P.; Nescatelli, R.; Samperi, R.; Laganà, A. Comparison of extraction methods for the identification and quantification of polyphenols in virgin olive oil by ultra-HPLC-QToF mass spectrometry. Food Chem. 2014, 158, 392–400. [Google Scholar] [CrossRef]
- Lopez-Yerena, A.; Ninot, A.; Jimenez-Ruiz, N.; Lozano-Castellon, J.; Perez, M.; Escribano-Ferrer, E.; Romero-Aroca, A.; Lamuela-Raventos, R.; Vallverdu-Queralt, A. Influence of the ripening stage and extraction conditions on the phenolic fingerprint of ‘corbella’ extra-virgin olive oil. Antioxidants 2021, 10, 877. [Google Scholar] [CrossRef]
- Klikarová, J.; Rotondo, A.; Cacciola, F.; Ceslova, L.; Dugo, P.; Mondello, L.; Rigano, F. The phenolic fraction of Italian extra virgin olive oils: Elucidation through combined liquid chromatography and NMR approaches. Food Anal. Methods 2019, 12, 1759–1770. [Google Scholar] [CrossRef]
- Rozanska, A.; Russo, M.; Cacciola, F.; Salafia, F.; Polkowska, Z.; Dugo, P.; Mondello, L. Concentration of potentially bioactive compounds in italian extra virgin olive oils from various sources by using LC-MS and multivariate data analysis. Foods 2020, 9, 1120. [Google Scholar] [CrossRef]
- Diamantakos, P.; Ioannidis, K.; Papanikolaou, C.; Tsolakou, A.; Rigakou, A.; Melliou, E.; Magiatis, P. A new definition of the term “high-phenolic olive oil” based on large scale statistical data of Greek olive oils analyzed by qNMR. Molecules 2021, 26, 1115. [Google Scholar] [CrossRef]
- Loubiri, A.; Taamalli, A.; Talhaoui, N.; Mohamed, S.N.; Segura-Carretero, A.; Zarrouk, M. Usefulness of phenolic profile in the classification of extra virgin olive oils from autochthonous and introduced cultivars in Tunisia. Eur. Food Res. Technol. 2017, 243, 467–479. [Google Scholar] [CrossRef]
- Bajoub, A.; Ajal, E.A.; Fernandez-Gutierrez, A.; Carrasco-Pancorbo, A. Evaluating the potential of phenolic profiles as discriminant features among extra virgin olive oils from Moroccan controlled designations of origin. Food Res. Int. 2016, 84, 41–51. [Google Scholar] [CrossRef]
- El Hilali, H.; El Hilali, F.; Porter, S.E.G.; Ghali, S.A.; Meyls, H.M.; Ouazzani, N.; Laziri, F.; Barber, A. Olive oil varieties cultivated in Morocco reduce reactive oxygen species and cell viability of human cervical cancer cells. Med. J. Nutr. Metab. 2020, 13, 89–100. [Google Scholar] [CrossRef]
- Kelebek, H.; Kesen, S.; Selli, S. Comparative study of bioactive constituents in Turkish olive oils by LC-ESI/MS/MS. Int. J. Food Prop. 2015, 18, 2231–2245. [Google Scholar] [CrossRef]
- García-Rodríguez, R.; Belaj, A.; Romero-Segura, C.; Sanz, C.; Pérez, A.G. Exploration of genetic resources to improve the functional quality of virgin olive oil. J. Funct. Foods 2017, 38, 1–8. [Google Scholar] [CrossRef]
- Gambacorta, G.; Faccia, M.; Trani, A.; Lamacchia, C.; Gomes, T. Phenolic composition and antioxidant activity of Southern Italian monovarietal virgin olive oils. Eur. J. Lipid Sci. Technol. 2012, 114, 958–967. [Google Scholar] [CrossRef]
- Cioffi, G.; Pesca, M.S.; De Caprariis, P.; Braca, A.; Severino, L.; De Tommasi, N. Phenolic compounds in olive oil and olive pomace from Cilento (Campania, Italy) and their antioxidant activity. Food Chem. 2010, 121, 105–111. [Google Scholar] [CrossRef]















| Analyte | Molecular Formula | m/z [M–H]− Theoretical | m/z [M–H]− Experimental | tR Standard (min) | ΔtR (min) |
|---|---|---|---|---|---|
| Phenolic alcohols | |||||
| Hydroxytyrosol | C8H10O3 | 153.0557 | 153.0555 | 3.53 | −0.01 |
| Tyrosol | C8H10O2 | 137.0608 | 137.0607 | 4.07 | +0.02 |
| Flavonoids | |||||
| Apigenin | C15H10O5 | 269.0455 | 269.0455 | 8.24 | −0.03 |
| Luteolin | C15H10O6 | 285.0404 | 285.0405 | 7.55 | −0.04 |
| Lignans | |||||
| Pinoresinol | C20H22O6 | 357.1343 | 357.1341 | 6.49 | +0.01 |
| Analyte | Molecular Formula | m/z [M–H]− Calculated | m/z [M–H]− Experimental | tR (min) | ΔtR (min) |
|---|---|---|---|---|---|
| Phenolic alcohols | |||||
| Hydroxytyrosol acetate | C10H12O4 | 195.0663 | 195.0663 | 6.71 | +0.07 |
| Secoiridoids | |||||
| Decarboxymethyl ligstroside aglycone (Oleocanthal) | C17H20O5 | 303.1237 | 303.1236 | 6.42 | +0.02 |
| Decarboxymethyl oleuropein aglycone (Oleacein) | C17H20O6 | 319.1187 | 319.1185 | 5.61 | +0.04 |
| 10-Hydroxy-10-methyl oleuropein aglycone | C20H24O9 | 407.1347 | 407.1347 | 6.71 | +0.04 |
| 10-Hydroxy decarboxymethyl oleuropein aglycone | C17H20O7 | 335.1136 | 335.1135 | 4.28 | +0.16 |
| 10-Hydroxy oleuropein aglycone | C19H22O9 | 393.1191 | 393.1190 | 4.82 | −0.12 |
| Ligstroside aglycone | C19H22O7 | 361.1292 | 361.1291 | 6.63 | +0.06 |
| Methyl oleuropein Aglycone | C20H24O8 | 391.1398 | 391.1396 | 7.51 | +0.12 |
| Oleuropein aglycone | C19H22O8 | 377.1241 | 377.1240 | 7.29 | +0.07 |
| Lignans | |||||
| 1-Acetoxypinoresinol | C22H24O8 | 415.1398 | 415.1397 | 6.42 | +0.08 |
| 1-Hydroxypinoresinol | C20H22O7 | 373.1292 | 373.1290 | 6.39 | +0.02 |
| Syringaresinol | C22H26O8 | 417.1554 | 417.1557 | 6.18 | +0.01 |
| Other compounds | |||||
| Elenolic acid | C11H14O6 | 241.0717 | 241.0716 | 4.51 | −0.05 |
| Hydroxylated form of elenolic acid | C11H14O7 | 257.0667 | 257.0663 | 1.36 | +0.01 |
| Compound | Average Concentration (mg/kg) | Concentration Range (mg/kg) | Number of Samples 2 |
|---|---|---|---|
| Phenolic alcohols | |||
| Hydroxytyrosol | 2.16 | ND 1–27.4 | 441 |
| Hydroxytyrosol acetate | 9.61 | 0.06–34.5 | 452 |
| Tyrosol | 2.53 | 0.17–18.8 | 452 |
| Secoiridoids | |||
| 10-Hydroxy-10-methyl oleuropein aglycone | 6.58 | ND 1–92.2 | 447 |
| 10-Hydroxy decarboxymethyl oleuropein aglycone | 1.05 | ND 1–7.08 | 442 |
| 10-Hydroxy oleuropein aglycone | 0.93 | ND 1–16.7 | 407 |
| Ligstroside aglycone | 127 | 2.33–570 | 452 |
| Methyl oleuropein aglycone | 4.56 | ND 1–26.9 | 447 |
| Oleacein | 20.1 | 0.03–64.6 | 452 |
| Oleocanthal | 13.9 | 0.19–40.8 | 452 |
| Oleuropein aglycone | 254 | 1.44–756 | 452 |
| Flavonoids | |||
| Apigenin | 2.64 | 1.97–5.10 | 452 |
| Luteolin | 1.87 | 0.13–7.71 | 452 |
| Lignans | |||
| 1-Acetoxypinoresinol | 21.5 | ND 1–96.9 | 443 |
| 1-Hydroxypinoresinol | 0.92 | ND 1–6.65 | 353 |
| Pinoresinol | 4.19 | 0.25–15.0 | 452 |
| Syringaresinol | 0.99 | ND 1–4.61 | 359 |
| Other compounds | |||
| Elenolic acid | 0.88 | ND 1–8.84 | 448 |
| Hydroxylated form of elenolic acid | 0.04 | ND 1–1.21 | 168 |
| Phenolic content | 475 | 20–1368 | 452 |
| Country | Analytical Method | Phenolic Content (mg/kg) | Tyrosol (mg/kg) | Hydroxytyrosol (mg/kg) | Apigenin (mg/kg) | Luteolin (mg/kg) | Pinoresinol (mg/kg) | Reference |
|---|---|---|---|---|---|---|---|---|
| Spain | UHPLC-MS/MS | 62.8–181 | ND 1–30.0 | 6.94–72.7 | 0.20–3.29 | 0.85–3.62 | ND 1–7.01 | [29] |
| Spain | UHPLC-MS/MS | 138–186 | 1.10–1.57 | 2.6–4.1 | 0.75–0.82 | 1.9–2.3 | 2.94–4.10 | [25] |
| Spain | UHPLC-MS/MS | 289–567 | 0.46–1.27 | 0.49–2.23 | 0.32–0.69 | 5.57–8.24 | [57] | |
| Italy | HPLC-DAD | 232–830 | 2.9–37.9 | 2.6–26.6 | 0.3–19.7 | 0.7–5.4 | [58] | |
| NMR | 247–851 | |||||||
| Italy | HPLC-DAD/MS | 257–1220 | 1.6–42.9 | 0.9–29.5 | ND 1–3.2 | 0.7–5.4 | [31] | |
| Italy | HPLC-DAD | 814–5920 | 0.03–62.3 | 0.72–62.7 | 1.05–2.91 | 11.6–16.8 | [32] | |
| Italy | HPLC-DAD/MS | 5.4–124 | 22.8–208 | ND 1–19.5 | 1.4–53.0 | [59] | ||
| Greece | NMR | ≤4003 (mean: 483) | [60] | |||||
| Tunisia | LC-MS | 109–493 | 1.32–23.2 | 2.71–22.6 | 2.32–2.96 | 4.35–17.1 | ND 1–6.49 | [61] |
| Tunisia | LC-MS | 1.77–3.12 | 3.84–7.18 | 0.09–1.50 | 0.74–6.54 | ND 1–1.23 | [24] | |
| Tunisia | HPLC-DAD | 136–218 | 16.1–40.5 | 9.61–24.1 | 0.05–1.02 | 1.06–5.93 | 2.66–23.8 | [26] |
| Morocco | LC-MS/MS | 3.50–19.6 | 5.51–18.3 | 0.09–0.43 | 0.93–3.51 | 0.14–0.76 | [62] | |
| Morocco | HPLC-DAD | 12–29.4 | 1.02–4.1 | [63] | ||||
| Turkey | LC-MS/MS | 42.2–95.9 | 6.93–14.9 | 0.78–17.4 | 1.00–8.32 | 1.54–10.2 | [64] | |
| Turkey | HPLC-DAD | 1.70–10.7 | 3.16–7.36 | 0.77–2.64 | 0.82–1.66 | [35] | ||
| Mediterranean area | HPLC-DAD | 26–1410 | 0.10–11.4 | 0.44–20.1 | ND 1–23.9 | [65] |
| Island | Median (mg/kg) | Mean (mg/kg) | SD (mg/kg) | Range (mg/kg) |
|---|---|---|---|---|
| Lesvos (n = 363) | 441 | 470 | 246 | 32–1368 |
| Samos (n = 51) | 452 | 526 | 275 | 20–1304 |
| Chios (n = 20) | 347 | 431 | 299 | 52–1146 |
| Ikaria (n = 12) | 623 | 646 | 149 | 380–939 |
| Fournoi (n = 6) | 186 | 188 | 29 | 155–222 |
| Zone | Median (mg/kg) | Mean (mg/kg) | SD (mg/kg) | Range (mg/kg) |
|---|---|---|---|---|
| Zone 1 (n = 30) | 493 | 541 | 275 | 149–1181 |
| Zone 2 (n = 112) | 434 | 446 | 220 | 75–1230 |
| Zone 3 (n = 59) | 478 | 523 | 274 | 32–1277 |
| Zone 4 (n = 20) | 622 | 576 | 240 | 203–1115 |
| Zone 5 (n = 14) | 329 | 343 | 202 | 85–929 |
| Zone 6 (n = 49) | 302 | 352 | 195 | 74–746 |
| Zone 7 (n = 64) | 443 | 498 | 271 | 78–1368 |
Publisher’s Note: MDPI stays neutral with regard to jurisdictional claims in published maps and institutional affiliations. |
© 2021 by the authors. Licensee MDPI, Basel, Switzerland. This article is an open access article distributed under the terms and conditions of the Creative Commons Attribution (CC BY) license (https://creativecommons.org/licenses/by/4.0/).
Share and Cite
Kritikou, E.; Kalogiouri, N.P.; Kostakis, M.; Kanakis, D.-C.; Martakos, I.; Lazarou, C.; Pentogennis, M.; Thomaidis, N.S. Geographical Characterization of Olive Oils from the North Aegean Region Based on the Analysis of Biophenols with UHPLC-QTOF-MS. Foods 2021, 10, 2102. https://doi.org/10.3390/foods10092102
Kritikou E, Kalogiouri NP, Kostakis M, Kanakis D-C, Martakos I, Lazarou C, Pentogennis M, Thomaidis NS. Geographical Characterization of Olive Oils from the North Aegean Region Based on the Analysis of Biophenols with UHPLC-QTOF-MS. Foods. 2021; 10(9):2102. https://doi.org/10.3390/foods10092102
Chicago/Turabian StyleKritikou, Evangelia, Natasa P. Kalogiouri, Marios Kostakis, Dimitrios-Christos Kanakis, Ioannis Martakos, Constantina Lazarou, Michalis Pentogennis, and Nikolaos S. Thomaidis. 2021. "Geographical Characterization of Olive Oils from the North Aegean Region Based on the Analysis of Biophenols with UHPLC-QTOF-MS" Foods 10, no. 9: 2102. https://doi.org/10.3390/foods10092102
APA StyleKritikou, E., Kalogiouri, N. P., Kostakis, M., Kanakis, D.-C., Martakos, I., Lazarou, C., Pentogennis, M., & Thomaidis, N. S. (2021). Geographical Characterization of Olive Oils from the North Aegean Region Based on the Analysis of Biophenols with UHPLC-QTOF-MS. Foods, 10(9), 2102. https://doi.org/10.3390/foods10092102

