Antimicrobial Resistance of Enterococcus sp. Isolated from Sheep and Goat Cheeses
Abstract
1. Introduction
2. Materials and Methods
2.1. Isolation and Identification of Strains
2.2. Assessment of Antibiotic Sensitivity
2.3. Statistical Analysis
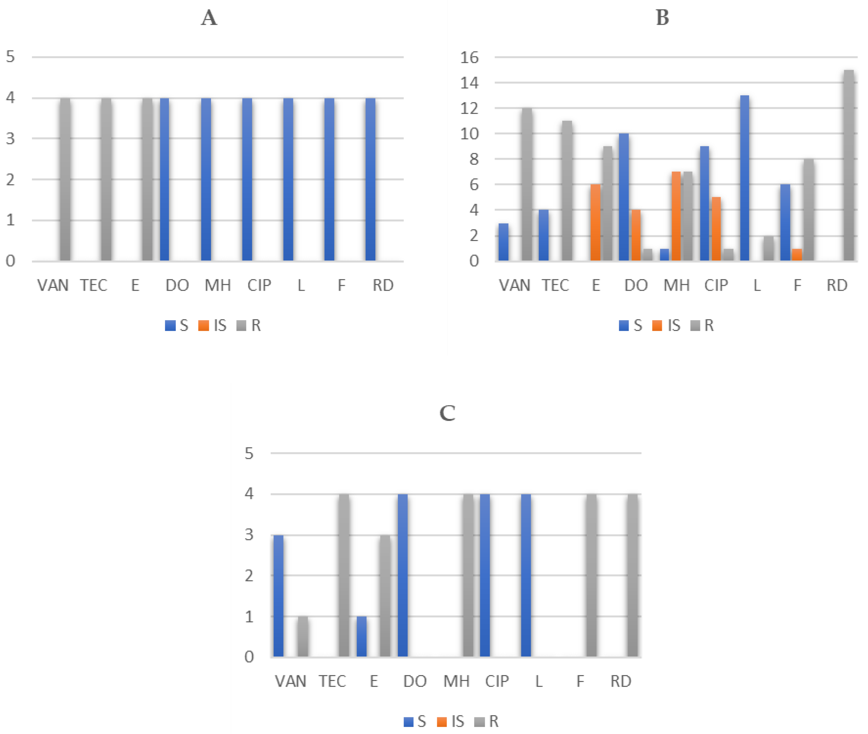
3. Results
4. Discussion
5. Conclusions
Supplementary Materials
Author Contributions
Funding
Data Availability Statement
Conflicts of Interest
References
- Torres, C.; Alonso, C.A.; Ruiz-Ripa, L.; León-Sampedro, R.; Del Campo, R.; Coque, T.M. Antimicrobial resistance in Enterococcus spp. of animal origin. Microbiol. Spectr. 2018, 4. [Google Scholar] [CrossRef]
- Giraffa, G. Functionality of enterococci in dairy products. Int. J. Food Microbiol. 2003, 88, 215–222. [Google Scholar] [CrossRef]
- İspirli, H.; Demirbaş, F.; Dertli, E. Characterization of functional properties of Enterococcus spp. isolated from Turkish white cheese. LWT 2017, 75, 358–365. [Google Scholar] [CrossRef]
- Hammad, A.M.; Hassan, H.A.; Shimamoto, T. Prevalence, antibiotic resistance and virulence of Enterococcus spp. in Egyptian fresh raw milk cheese. Food Control 2015, 50, 815–820. [Google Scholar] [CrossRef]
- Gaglio, R.; Couto, N.; Marques, C.; Lopes, M.D.F.S.; Moschetti, G.; Pomba, C.; Settanni, L. Evaluation of antimicrobial resistance and virulence of enterococci from equipment surfaces, raw materials, and traditional cheeses. Int. J. Food Microbiol. 2016, 236, 107–114. [Google Scholar] [CrossRef]
- Hussein, W.E.; Abdelhamid, A.G.; Rocha-Mendoza, D.; García-Cano, I.; Yousef, A.E. Assessment of safety and probiotic traits of Enterococcus durans OSY-EGY, isolated from Egyptian artisanal cheese, using comparative genomics and phenotypic analyses. Front. Microbiol. 2020, 11, 3094. [Google Scholar] [CrossRef] [PubMed]
- Russo, N.; Caggia, C.; Pino, A.; Coque, T.M.; Arioli, S.; Randazzo, C.L. Enterococcus spp. in ragusano PDO and pecorino siciliano cheese types: A snapshot of their antibiotic resistance distribution. Food Chem. Toxicol. 2018, 120, 277–286. [Google Scholar] [CrossRef]
- Nueno-Palop, C.; Narbad, A. Probiotic assessment of Enterococcus faecalis CP58 isolated from human gut. Int. J. Food Microbiol. 2011, 145, 390–394. [Google Scholar] [CrossRef]
- Lebreton, F.; Willems, R.J.L.; Gilmore, M.S. Enterococcus diversity, origins in nature, and gut colonization. In Enterococci: From Commensals to Leading Causes of Drug Resistant Infection; Gilmore, M.S., Clewell, D.B., Ike, Y., Eds.; Massachusetts Eye and Ear Infirmary: Boston, MA, USA, 2014; pp. 5–63. [Google Scholar]
- Miller, W.R.; Munita, J.M.; Arias, C.A. Mechanisms of antibiotic resistance in enterococci. Expert Rev. Anti. Infect. Ther. 2014, 12, 1221–1236. [Google Scholar] [CrossRef]
- Arias, C.A.; Murray, B.E. The rise of the Enterococcus: Beyond vancomycin resistance. Nat. Rev. Microbiol. 2012, 10, 266–278. [Google Scholar] [CrossRef] [PubMed]
- Tenover, F.C.; McDonald, L.C. Vancomycin resistant staphylococci and enterococci: Epidemiology and control. Curr. Opin. Infect. Dis. 2005, 18, 300–305. [Google Scholar] [CrossRef]
- Kristich, C.J.; Rice, L.B.; Arias, C.A. Enterococcal infection-treatment and antibiotic resistance. In Enterococci: From Commensals to Leading Causes of Drug Resistant Infection; Gilmore, M.S., Clewell, D.B., Ike, Y., Shankar, N., Eds.; Massachusetts Eye and Ear Infirmary: Boston, MA, USA, 2014. [Google Scholar]
- Tyson, G.H.; Sabo, J.L.; Rice-Trujillo, C.; Hernandez, J.; McDermott, P.F. Whole-genome sequencing based characterization of antimicrobial resistance in Enterococcus. Pathog. Dis. 2018, 76, fty018. [Google Scholar] [CrossRef] [PubMed]
- Vrabec, M.; Lovayová, V.; Dudriková, K.; Gallo, J.; Dudriková, E. Antibiotic resistance and prevalence of Enterococcus spp. and Escherichia coli isolated from bryndza cheese. Ital. J. Anim. Sci. 2015, 14, 3968. [Google Scholar] [CrossRef]
- Iso 6887-5:2010. Microbiology of Food and Animal Feeding Stuffs. Preparation of Test Samples, Initial Suspension and Decimal Dilutions for Microbiological Examination. Part 5 Specific Rules for the Preparation of Milk and Milk Products; Slovak Standards Institute: Bratislava, Slovakia, 2010.
- Koreňová, J.; Lopašovská, J.; Kuchta, T. Comparison of three microtitre plate-based methods for quantification of biofilm formation ability of bacteria contaminating food technologies. J. Food Nutr. Res. 2008, 47, 100–104. [Google Scholar] [CrossRef]
- Hein, I.; Jorgensen, H.J.; Loncarevic, S.; Wagner, M. Quantification of Staphylococcus aureus in unpasteurised bovine and caprine milk by real-time PCR. Res. Microbiol. 2005, 156, 554–563. [Google Scholar] [CrossRef] [PubMed]
- Ke, D.; Picard, F.J.; Martineau, F.; Ménard, C.; Roy, P.H.; Ouellette, M.; Bergeron, M.G. Development of a PCR assay for rapid detection of enterococci. J. Clin. Microbiol. 1999, 37, 3497–3503. [Google Scholar] [CrossRef] [PubMed]
- Martineau, F.; Picard, F.J.; Roy, P.H.; Ouellette, M.; Bergeron, M.G. Species-specific and ubiquitous DNA-based assays for rapid identification of Staphylococcus epidermidis. J. Clin. Microbiol. 1996, 34, 2888–2893. [Google Scholar] [CrossRef] [PubMed]
- Brucker Daltonics, MALDI Biotyper 2.0. Software for Microorganism Identification and Classification User Manual; Bruker Scientific LLC: Billerica, MA, USA, 2008.
- CLSI document M100–S30. Performance Standards for Antimicrobial Susceptibility Testing; Thirtieth Informational Supplement; Clinical and Laboratory Standards Institute: Wayne, PA, USA, 2020.
- Regecová, I.; Výrostková, J.; Zigo, F.; Gregová, G.; Kováčová, M. Detection of antimicrobial resistance of bacteria Staphylococcus chromogenes isolated from sheep’s milk and cheese. Antibiotics 2021, 10, 570. [Google Scholar] [CrossRef] [PubMed]
- Martín-Platero, A.M.; Valdivia, E.; Maqueda, M.; Martínez-Bueno, M. Characterization and safety evaluation of enterococci isolated from Spanish goats’ milk cheeses. Int. J. Food Microbiol. 2009, 132, 24–32. [Google Scholar] [CrossRef]
- Di Cesare, A.; Luna, G.M.; Vignaroli, C.; Pasquaroli, S.; Tota, S.; Paroncini, P.; Biavasco, F. Aquaculture can promote the presence and spread of antibiotic-resistant Enterococci in marine sediments. PLoS ONE 2013, 8, e62838. [Google Scholar] [CrossRef]
- Sutcliffe, J.; Grebe, T.; Tait-Kamradt, A.; Wondrack, L. Detection of erythromycin-resistant determinants by PCR. Antimicrob. Agents Chemother. 1996, 40, 2562–2566. [Google Scholar] [CrossRef] [PubMed]
- Singh, K.V.; Malathum, K.; Murray, B.E. Disruption of an Enterococcus faecium species-specific gene, a homologue of acquired macrolide resistance genes of Staphylococci, is associated with an increase in macrolide susceptibility. Antimicrob. Agents Chemother. 2001, 45, 263–266. [Google Scholar] [CrossRef]
- Hanchi, H.; Mottawea, W.; Sebei, K.; Hammami, R. The genus Enterococcus: Between probiotic potential and safety concerns-an update. Front. Microbiol. 2018, 9, 1791. [Google Scholar] [CrossRef] [PubMed]
- Biendo, M.; Adjide, C.; Castelain, S.; Belmekki, M.; Rousseau, F.; Slama, M.; Ganry, O.; Schmi, J.L.; Eb, F. Molecular characterization of glycopeptide-resistant enterococci from hospitals of the picardy region (France). Int. J. Microbiol. 2010, 2020, 150464. [Google Scholar] [CrossRef]
- Bulajić, S.; Tambur, Z.; Opacić, D.; Miljković-Selimović, B.; Doder, R.; Cenić-Milošević, D. Characterization of antibiotic resistance phenotypes and resistance genes in Enterococcus spp. isolated from cheeses. Arch. Biol. Sci. 2015, 67, 139–146. [Google Scholar] [CrossRef]
- Belicová, A.; Križková, L.; Krajčovič, J.; Jurkovič, D.; Sojka, M.; Ebringer, L.; Dušinský, R. Antimicrobial susceptibility of Enterococcus species isolated from Slovak Bryndza cheese. Folia Microbiol. 2007, 52, 115–119. [Google Scholar] [CrossRef]
- Jamet, E.; Akary, E.; Poisson, M.A.; Chamba, J.F.; Bertrand, X.; Serror, P. Prevalence and characterization of antibiotic resistant Enterococcus faecalis in French cheeses. Food Microbiol. 2012, 31, 191–198. [Google Scholar] [CrossRef] [PubMed]
- Oguntoyinbo, F.A.; Okueso, O. Prevalence, distribution and antibiotic resistance pattern among enterococci species in two traditional fermented dairy foods. Ann. Microbiol. 2013, 63, 755–761. [Google Scholar] [CrossRef]
- Hershberger, E.; Oprea, S.F.; Donabedian, S.M.; Perri, M.; Bozigar, P.; Bertlett, P.; Zervos, M.J. Eology of antimicrobial resistance in enterococci of animal origin. J. Antimicrob. Chemother. 2005, 55, 127–130. [Google Scholar] [CrossRef] [PubMed]
- Sanciu, G.; Marogna, G.; Paglietti, B.; Cappuccinelli, P.; Leori, G.; Rappelli, P. Outbreak of mastitis in sheep caused by multi-drug resistant Enterococcus faecalis in Sardinia, Italy. Epidemiol. Infect. 2013, 141, 582–584. [Google Scholar] [CrossRef]
- Hollenbeck, B.L.; Rice, L.B. Intrinsic and acquired resistance mechanisms in enterococcus. Virulence 2012, 3, 421–569. [Google Scholar] [CrossRef]
- Sanlibaba, P.; Senturk, E. Prevalence, characterization and antibiotic resistance of enterococci from traditional cheeses in Turkey. Int. J Food Prop. 2018, 21, 1955–1963. [Google Scholar] [CrossRef]
- Muş, T.E.; Cetinkaya, F.; Cıbık, R.; Soyutemiz, G.E.; Simsek, H.; Coplu, N. Antibiotic resistance profiles of enterococci from foods of animal origin in Turkey. Acta Vet. Hung. 2017, 65, 461–467. [Google Scholar] [CrossRef]
- Raza, T.; Ullah, S.R.; Mehmood, K.; Andleeb, S. Vancomycin resistant Enterococci: A brief review. J Pak. Med. Assoc. 2018, 68, 768–772. [Google Scholar]
- Cassagne, C.; Normand, A.C.; L’Ollivier, C.; Ranque, S.; Piarroux, R. Performance of MALDI-TOF MS platforms for fungal identification. Mycoses 2016, 59, 678–690. [Google Scholar] [CrossRef] [PubMed]
- Böhme, K.; Antelo, S.C.; Fernández-No, I.C.; Quintela-Baluja, M.; Barros-Velázquez, J.; Cañas, B.; Calo-Mata, P. Chapter 15—Detection of Foodborne Pathogens Using MALDI-TOF Mass Spectrometry. Antimicrob. Food Packag. 2016, 203–214. [Google Scholar] [CrossRef]
- Kačániová, M.; Kunova, S.; Horská, E.; Nagyová, Ľ.; Puchalski, C.; Haščík, P.; Terentjeva, M. Diversity of microorganisms in the traditional Slovak cheese. Potravin. Slovak J. Food Sci. 2019, 13, 532–537. [Google Scholar] [CrossRef][Green Version]
- Peters, J.; Mac, K.; Wichmann-Schauer, H.; Klein, G.; Ellerbroek, L. Species distribution and antibiotic resistance patterns of enterococci isolated from food of animal origin in Germany. Int. J. Food Microbiol. 2003, 88, 311–314. [Google Scholar] [CrossRef]
- World Health Organization (WHO). 19th WHO Model List of Essential Medicines; World Health Organization Essential Medicines and Health Products: Geneva, Switzerland, 2015. [Google Scholar]
- Portillo, A.; Ruiz-Larrea, F.; Zarazaga, M.; Alonso, A.; Martinez, J.L.; Torres, C. Macrolide resistance genes in Enterococcus spp. Antimicrob. Agents Chemother. 2000, 44, 967–971. [Google Scholar] [CrossRef]
- Kim, Y.B.; Seo, K.W.; Jeon, H.Y.; Lim, S.K.; Sung, H.W.; Lee, Y.J. Molecular characterization of erythromycin and tetracycline-resistant Enterococcus faecalis isolated from retail chicken meats. Poult. Sci. 2019, 98, 977–983. [Google Scholar] [CrossRef] [PubMed]
- Chajęcka-Wierzchowska, W.; Zadernowska, A.; García-Solache, M. Ready-to-eat dairy products as a source of multidrug-resistant Enterococcus strains: Phenotypic and genotypic characteristics. J. Dairy Sci. 2020, 103, 4068–4077. [Google Scholar] [CrossRef]
- Gomes, B.C.; Esteves, C.T.; Palazzo, I.C.; Darini, A.L.C.; Felis, G.E.; Sechi, L.A.; De Martinis, E.C. Prevalence and characterization of Enterococcus spp. isolated from Brazilian foods. Food Microbiol. 2008, 25, 668–675. [Google Scholar] [CrossRef] [PubMed]
- Lauderdale, T.L.; McDonald, L.C.; Shiau, Y.R.; Chen, P.C.; Wang, H.Y.; Lai, J.F.; Ho, M. Vancomycin-resistant enterococci from humans and retail chickens in Taiwan with unique VanB phenotype-vanA genotype incongruence. Antimicrob. Agents Chemother. 2002, 46, 525–527. [Google Scholar] [CrossRef]
- Casewell, M.; Friis, C.; Marco, E.; McMullin, P.; Phillips, I. The European ban on growth-promoting antibiotics and emerging consequences for human and animal health. J. Antimicrob. Chemother. 2003, 52, 159–161. [Google Scholar] [CrossRef] [PubMed]
- Donabedian, S.M.; Perri, M.B.; Abdujamilova, N.; Gordoncillo, M.J.; Naqvi, A.; Reyes, K.C.; Bartlett, P. Characterization of vancomycin-resistant Enterococcus faecium isolated from swine in three Michigan counties. J. Clin. Microbiol. 2010, 48, 4156–4160. [Google Scholar] [CrossRef]
- Eaton, T.J.; Gasson, M.J. Molecular screening of Enterococcus virulence determinants and potential for genetic exchange between food and medical isolates. Appl. Environ. Microbiol. 2001, 67, 1628–1635. [Google Scholar] [CrossRef] [PubMed]
- Donabedian, S.M.; Thal, L.A.; Hershberger, E.; Perri, M.B.; Chow, J.W.; Bartlett, P.; Zervos, M.J. Molecular characterization of gentamicin-resistant enterococci in the United States: Evidence of spread from animals to humans through food. J. Clin. Microbiol. 2003, 41, 1109–1113. [Google Scholar] [CrossRef]
- Pieniz, S.; de Moura, T.M.; Cassenego, A.P.V.; Andreazza, R.; Frazzon, A.P.G.; De Oliveira Camargo, F.A.; Brandelli, A. Evaluation of resistance genes and virulence factors in a food isolated Enterococcus durans with potential probiotic effect. Food Control. 2015, 51, 49–54. [Google Scholar] [CrossRef]
- Yap, I.K.S.; Li, J.; Saric, J.; Martin, F.; Davies, H.; Wang, Y.; Wilson, I.; Nicholson, J.; Utzinger, J.; Marchesi, J.; et al. Metabolomic and microbiological analysis of the dynamic effect of vancomycin-induced gut microbiota modification in the mouse. J. Proteome Res. 2008, 7, 3718–3728. [Google Scholar] [CrossRef] [PubMed]
- Bonten, M.J.; Willems, R.; Weistein, R.A. Vancomycin-resistant enterococci: Why are they here, and where do they come from? Lancet Infect. Dis. 2001, 1, 314–325. [Google Scholar] [CrossRef]
- Mundy, L.M.; Sahm, D.F.; Gilmore, M. Relationships between enterococcal virulence and antimicrobial resistance. Clin. Microbiol. Rev. 2000, 13, 513–522. [Google Scholar] [CrossRef] [PubMed]
- Uttley, A.H.; George, R.C.; Naidoo, J.; Woodford, N.; Johnson, A.P.; Collins, C.H.; Morrison, D.; Gilfillan, A.J.; Fitch, L.E.; Heptonstall, J. High-level vancomycin- resistant enterococci causing hospital infections. Epidemiol. Infect. 1989, 103, 173–181. [Google Scholar] [CrossRef] [PubMed]
- Low, D.E.; Keller, N.; Barth, A.; Jones, R.N. Clinical prevalence, antimicrobial susceptibility, and geographic resistance patterns of enterococci: Results from the SENTRY Antimicrobial Surveillance Program, 1997–1999. Clin. Infect. Dis. 2001, 32, 133–145. [Google Scholar] [CrossRef] [PubMed]
- Perin, L.M.; Miranda, R.O.; Todorov, S.D.; Franco, B.D.G.M.; Nero, L.A. Virulence, antibiotic resistance and biogenic amines of bacteriocinogenic lactococci and enterococci isolated from goat milk. Int. J. Food Microbiol. 2014, 185, 121–126. [Google Scholar] [CrossRef]
- Ribeiro, T.; Abrantes, M.; Lopes, M.F.S.; Crespo, M.T.B. Vancomycin-susceptible dairy and clinical enterococcal isolates carry vanA and vanB genes. Int. J. Food Microbiol. 2007, 113, 289–295. [Google Scholar] [CrossRef] [PubMed]
- Mathur, S.; Singh, R. Antibiotic resistance in food lactic acid bacteria—A review. Int. J. Food Microbiol. 2005, 105, 281–295. [Google Scholar] [CrossRef] [PubMed]
- Courvalin, P. Vancomycin resistance in Gram-positive cocci. Clin. Infect. Dis. 2006, 42, 25–34. [Google Scholar] [CrossRef]
- Arthur, M.; Courvalin, P. Genetics and mechanisms of glycopeptide resistance in enterococci. Antimicrob. Agents Chemother. 1993, 37, 1563–1571. [Google Scholar] [CrossRef]
- Clark, N.C.; Cooksey, R.C.; Hill, B.C.; Swenson, J.M.; Tenover, F.C. Characterization of glycopeptide-resistant enterococci from U.S. hospitals. Antimicrob. Agents Chemother. 1993, 37, 2311–2317. [Google Scholar] [CrossRef]
- Hashimoto, Y.; Tanimoto, K.; Ozawa, Y.; Murata, T.; Ike, Y. Amino acid substitutions in the VanS sensor of the VanA-type vancomycin-resistant Enterococcus strains result in high-level vancomycin resistance and low-level teicoplanin resistance. FEMS Microbiol. Lett. 2000, 185, 247–254. [Google Scholar] [CrossRef] [PubMed]
- Papagiannitsis, C.C.; Malli, E.; Florou, Z.; Medvecky, M.; Sarrou, S.; Hrabak, J.; Petinaki, E. First description in Europe of the emergence of Enterococcus faecium ST117 carrying both vanA and vanB genes, isolated in Greece. J. Glob. Antimic. Resist. 2017, 11, 68–70. [Google Scholar] [CrossRef] [PubMed]
- Lee, W.G.; Huh, J.Y.; Cho, S.R.; Lim, Y.A. Reduction in glycopeptide resistance in vancomycin-resistant enterococci as a result of vanA cluster rearrangements. Antimicrob. Agents Chemother. 2004, 48, 1379–1381. [Google Scholar] [CrossRef] [PubMed][Green Version]


| ATB | VAN | TEC | E | DO | MH | CIP | L | F | RD | |
|---|---|---|---|---|---|---|---|---|---|---|
| MIC (mg/L) | 0.25 | - | - | 3 | - | - | - | - | - | - |
| 0.5 | - | - | 1 | - | - | 32 | - | - | 5 | |
| 1 | - | - | 2 | - | - | 8 | 27 | - | 7 | |
| 2 | 5 | - | 2 | 28 | 6 | 8 | 21 | - | - | |
| 4 | 3 | 4 | 4 | 15 | 10 | 3 | - | - | 29 a | |
| 8 | - | 4 | 31 a | 8 | 16 | 1 | 3 | - | 11 b | |
| 16 | - | - | 9 b | 1 | 11 | - | 1 | 7 | - | |
| 32 | 28 a | 30 a | - | - | 9 | - | - | 9 | - | |
| 64 | 16 b | 14 b | - | - | - | - | - | 12 | - | |
| 128 | - | - | - | - | - | - | - | 20 a | - | |
| 256 | - | - | - | - | - | - | - | 4 b | - | |
| OR | 2.6250 | 3.7013 | 7.0529 | 3.0583 | 1.2818 | 3.1224 | 3.1224 | 7.5000 | 4.6996 | |
| 95% CI | 1.18–5.86 | 1.62–8.43 | 2.85–17.47 | 0.48–3.41 | 0.31–31.0 | 0.31–31.0 | 2.34–23.99 | 1.99–11.12 | ||
| p value | <0.05 | <0.05 | <0.0001 | >0.05 | >0.05 | >0.05 | >0.05 | <0.001 | <0.001 |
Publisher’s Note: MDPI stays neutral with regard to jurisdictional claims in published maps and institutional affiliations. |
© 2021 by the authors. Licensee MDPI, Basel, Switzerland. This article is an open access article distributed under the terms and conditions of the Creative Commons Attribution (CC BY) license (https://creativecommons.org/licenses/by/4.0/).
Share and Cite
Výrostková, J.; Regecová, I.; Dudriková, E.; Marcinčák, S.; Vargová, M.; Kováčová, M.; Maľová, J. Antimicrobial Resistance of Enterococcus sp. Isolated from Sheep and Goat Cheeses. Foods 2021, 10, 1844. https://doi.org/10.3390/foods10081844
Výrostková J, Regecová I, Dudriková E, Marcinčák S, Vargová M, Kováčová M, Maľová J. Antimicrobial Resistance of Enterococcus sp. Isolated from Sheep and Goat Cheeses. Foods. 2021; 10(8):1844. https://doi.org/10.3390/foods10081844
Chicago/Turabian StyleVýrostková, Jana, Ivana Regecová, Eva Dudriková, Slavomír Marcinčák, Mária Vargová, Mariana Kováčová, and Jana Maľová. 2021. "Antimicrobial Resistance of Enterococcus sp. Isolated from Sheep and Goat Cheeses" Foods 10, no. 8: 1844. https://doi.org/10.3390/foods10081844
APA StyleVýrostková, J., Regecová, I., Dudriková, E., Marcinčák, S., Vargová, M., Kováčová, M., & Maľová, J. (2021). Antimicrobial Resistance of Enterococcus sp. Isolated from Sheep and Goat Cheeses. Foods, 10(8), 1844. https://doi.org/10.3390/foods10081844

