Study on the Rehydration Quality Improvement of shiitake Mushroom by Combined Drying Methods
Abstract
1. Introduction
2. Materials and Methods
2.1. Experimental Design
2.2. Materials
2.3. Drying Methods
- Freeze drying (FD): Fresh shiitake mushrooms were frozen in a refrigerator at −80 °C for 6 h, and then they were put in a lab-scale freeze dryer (Alpila-aplus 4Lplus, Christ Co. Ltd., Osterode am Harz, Germany). The corresponding drying stage of 24 h was performed at a chamber pressure of 37 Pa, a condenser temperature of −55 °C and a heating plate temperature of 20 °C. The drying time was 24 h for the FD reference, and 8 h in the serial combined treatments.
- The DIC treatment was carried out by using a pilot-scale apparatus (QDPH1021, Tianjin Qin-de New Material Scientific Development Co. Ltd., Tianjin, China) according to previous studies [33,34,35,36]. The DIC treatment was conducted in two stages: in the first stage, the processing vessel was preheated via steel pipes, where steam was injected. Subsequently, the samples were put on wire mesh trays, which were placed on top of the steel pipes in the processing vessel. The samples were heated for 10 min with a processing vessel at 95 °C. In the second vacuum drying stage, the decompression valve was opened to a vacuum chamber to obtain an instant pressure drop (t < 0.2 s) to vacuum (3–5 kPa, absolute pressure), at which the boiling temperature of water is about 24–32 °C. While maintaining this vacuum with a pump, the samples were dried with a processing vessel temperature of 50 °C for 2 h. The processing vessel temperature was maintained via proper steam injection into the steel pipes.
- Hot air drying (HA): Samples were dried by a hot air drier (DHG-9123A, Shanghai Jinghong Experiment Facility Co., Ltd., Shanghai, China) at 35 °C and 65 °C at an air velocity of 1.2 m/s. The drying times for the single reference treatments were 44 and 16 h for HA35 and HA65, respectively, following the study [37].
- Heat pump drying (HP) was conducted with a heat pump drier (ZWH-KFY-BT4I/HG, ZhengXu New Energy Technology Co., Ltd., Dongguan, China. The airflow velocity was 2.4 m/s and the relative humidity was below 20% [37].
- Vacuum drying (VD) was conducted with a vacuum drier (VO200, Memmert, Germany) at 35 °C and 65 °C, respectively. The absolute pressure was 5 kPa for the drying process, which took about 20 min to reach. This pressure was selected so that the oven temperature was above the boiling point of water [38].
2.4. Rehydration Method
2.5. Quality Indicators of Mushroom
2.5.1. Volumetric Changes of Mushroom after Drying and Rehydration
2.5.2. Rehydration Rate
2.5.3. Dry Matter Loss Ratio of Rehydrated Mushroom
2.5.4. Water Holding Capacity
2.5.5. Hardness
2.5.6. Sensory Evaluation
2.6. Microstructural Properties
2.6.1. Porosity of Mushrooms after Drying
2.6.2. Porosity after Rehydration
2.6.3. Cell Integrity of Rehydrated Mushrooms
2.7. Statistical Analysis
3. Results
3.1. Quality and Microstructure Performance of Dried or Rehydrated Mushrooms with Different Combined Drying Methods
3.1.1. Volumetric Changes-Comparison of Mushrooms after Drying
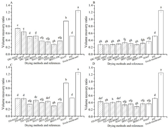
3.1.2. Volumetric Changes-Comparison of Mushrooms after Rehydration
3.1.3. Rehydration Rate Comparison of Mushrooms
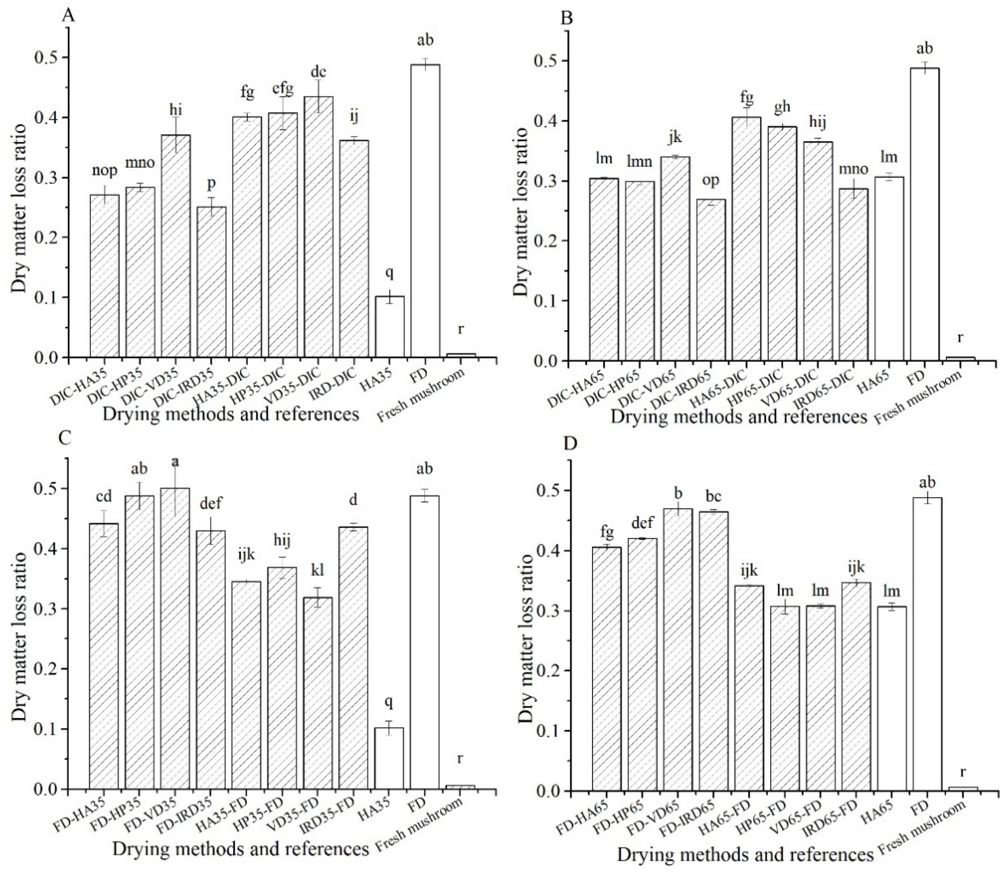
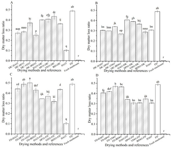
3.1.4. Dry Matter Loss Ratio-Comparison of Mushrooms
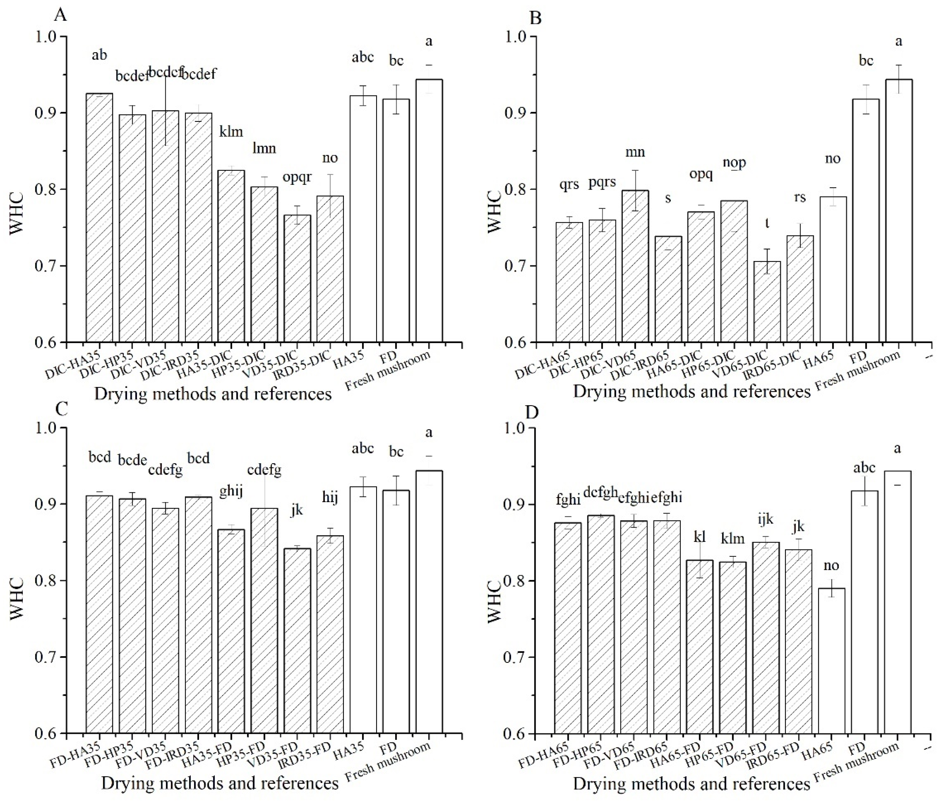
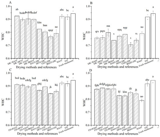
3.1.5. Water Holding Capacity-Comparison of Mushrooms after Rehydration
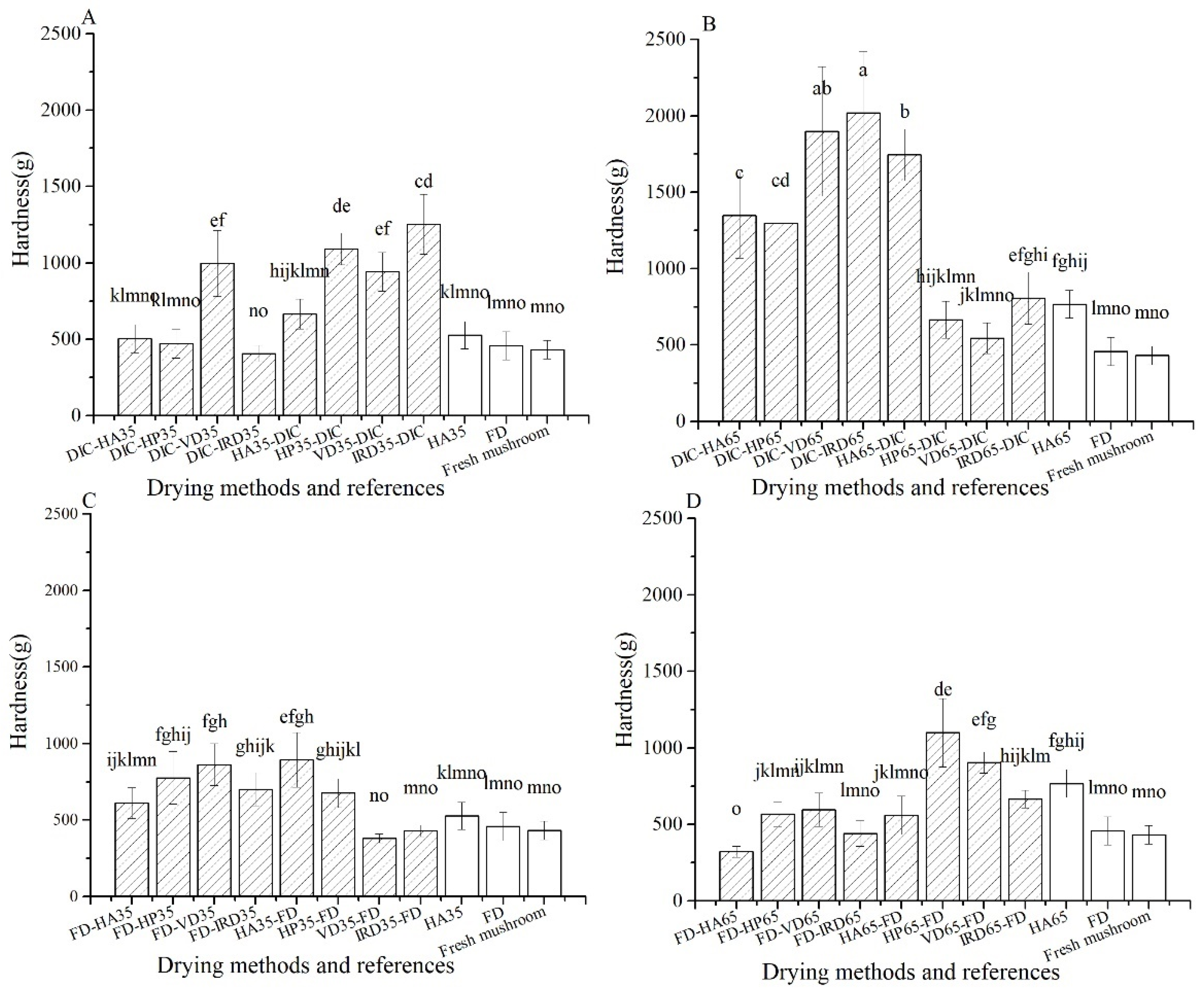
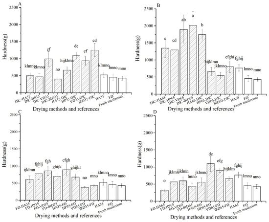
3.1.6. Hardness-Comparison of Fresh and Rehydrated Mushrooms
3.1.7. Sensory Evaluation of Mushrooms after Rehydration
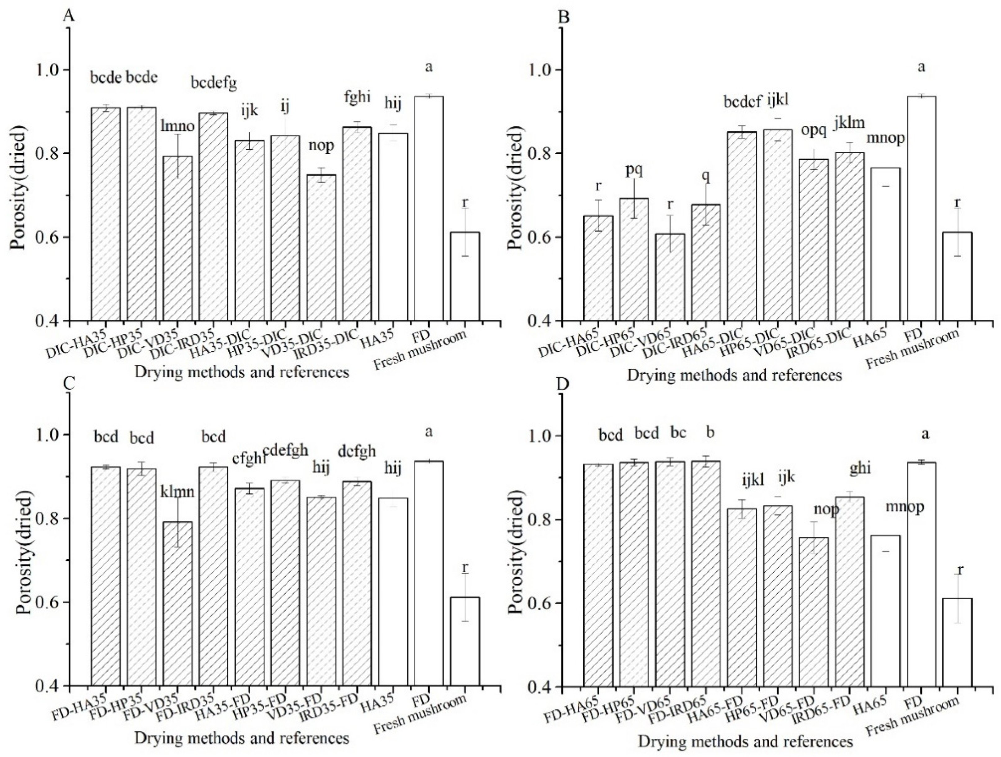
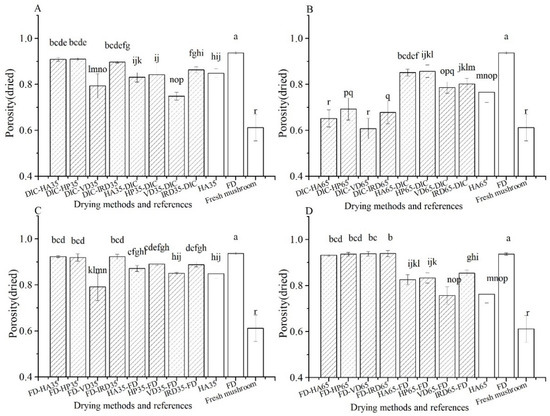
3.1.8. Porosity after Drying
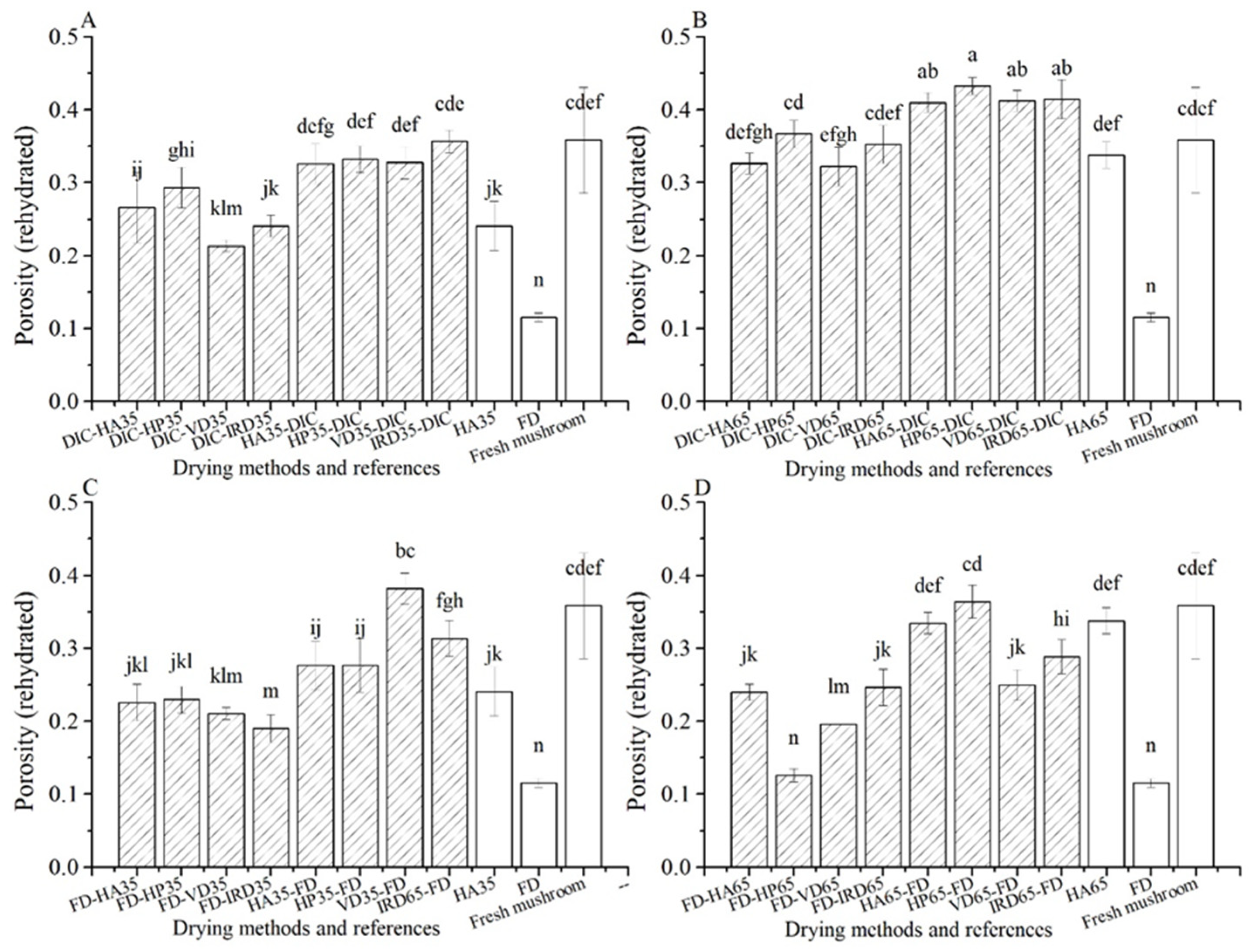
3.1.9. Porosity after Rehydration
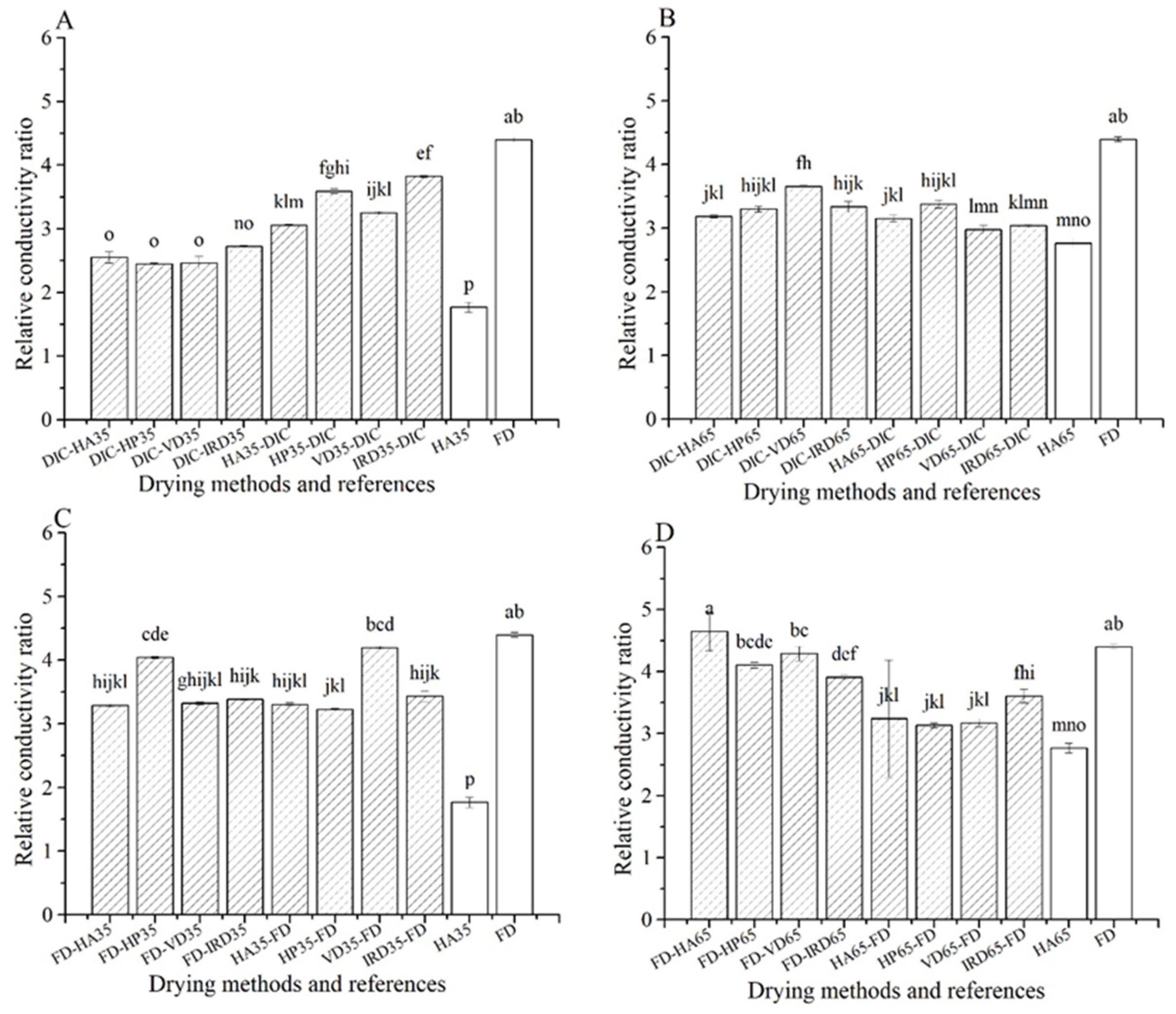
3.1.10. Cell Membrane Integrity
3.2. PCA Analysis
- (a)
- FD-postdrying35/65
- (b)
- predying35/65-DIC+predrying35/65-FD
- (c)
- DIC-postdrying65
- (d)
- DIC-postdrying35
4. Discussion
5. Conclusions
Author Contributions
Funding
Acknowledgments
Conflicts of Interest
Appendix A
| DIC-HA (Hot Air) | DIC-HP) (Heat Pump | DIC-VD (Vacuum Drying) | DIC-IRD (Infrared Drying) | |
|---|---|---|---|---|
| Taste | 4.3 ± 1.56 ab | 3.5 ± 1.35 bcd | 2.4 ± 1.42 c | 5 ± 0.94 a |
| Juiciness | 5.1 ± 0.99 bc | 4.9 ± 0.73 bc | 4.2 ± 0.91 cd | 5.2 ± 1.03 b |
| HA-DIC | HP-DIC | VD-DIC | IRD-DIC | |
| Taste | 3.6 ± 1.64 bcd | 3 ± 0.94 bcd | 2.6 ± 1.07 cd | 3 ± 1.63 bcd |
| Juiciness | 2.9 ± 0.73 e | 3.8 ± 0.91 d | 3.9 ± 1.66 d | 4.4 ± 1.42 bcd |
| HA35 | FD | Fresh Sample | ||
| Taste | 3.9 ± 1.59 abc | 3.1 ± 0.87 bcd | 4 ± 0 ab | |
| Juiciness | 5.3 ± 0.94 b | 6.4 ± 0.69 a | 7 ± 0 a |
| DIC-HA | DIC-HP | DIC-VD | DIC-IRD | |
|---|---|---|---|---|
| Taste | 5.2 ± 0.42 abc | 4.4 ± 1.64 bcde | 4.2 ± 1.47 bcde | 3.8 ± 1.68 de |
| Juiciness | 2.2 ± 0.63 e | 2.9 ± 0.99 cde | 2.4 ± 1.17 de | 4.1 ± 1.44 c |
| HA-DIC | HP-DIC | VD-DIC | IRD-DIC | |
| Taste | 5.8 ± 1.54 a | 4.9 ± 0.73 abcd | 5.4 ± 1.07 ab | 5.2 ± 1.31 abc |
| Juiciness | 3.4 ± 1.17 cd | 3.8 ± 1.13 c | 3.9 ± 1.44 c | 3.6 ± 1.34 c |
| HA35 | FD | Fresh Sample | ||
| Taste | 3.9 ± 1.59 de | 3.2 ± 0.91 e | 4 ± 0 cde | |
| Juiciness | 5.7 ± 1.71 b | 5.9 ± 1.45 b | 7 ± 0 a |
| FD-HA | FD-HP | FD-VD | FD-IRD | |
|---|---|---|---|---|
| Taste | 3.6 ± 1.57 a | 3 ± 1.82 a | 3.7 ± 1.88 a | 3.5 ± 1.71 a |
| Juiciness | 5.5 ± 1.95 b | 4.6 ± 1.83 b | 5.5 ± 2.06 b | 5.5 ± 1.43 b |
| HA-FD | HP-FD | VD-FD | IRD-FD | |
| Taste | 4.3 ± 1.56 a | 4.2 ± 1.98 a | 3.6 ± 1.42 a | 3 ± 1.94 a |
| Juiciness | 4.7 ± 0.67 b | 4.9 ± 1.72 b | 4.9 ± 1.28 b | 3.2 ± 1.47 b |
| HA35 | FD | Fresh Sample | ||
| Taste | 4.4 ± 1.72 a | 3.1 ± 1.28 b | 4 ± 0 a | |
| Juiciness | 5.7 ± 0.82 b | 6.1 ± 1.28 ab | 7 ± 0 a |
| FD-HA | FD-HP | FD-VD | FD-IRD | |
|---|---|---|---|---|
| Taste | 4.7 ± 1.25 a | 4.1 ± 0.99 ab | 4.3 ± 1.15 a | 4.6 ± 1.07 a |
| Juiciness | 5 ± 0.81 b | 5 ± 1.41 b | 4.6 ± 1.42 b | 5.1 ± 1.10 b |
| HA-FD | HP-FD | VD-FD | IRD-FD | |
| Taste | 5 ± 1.33 a | 4.5 ± 1.08 a | 4.9 ± 1.1 a | 4.6 ± 0.69 a |
| Juiciness | 2.6 ± 0.96 c | 2.8 ± 0.91 c | 2.3 ± 0.67 c | 3.3 ± 0.94 c |
| HA35 | FD | Fresh Sample | ||
| Taste | 4.4 ± 1.72 a | 3.2 ± 1.54 c | 4 ± 0 ab | |
| Juiciness | 5.0 ± 1.05 b | 5.3 ± 1.63 b | 7 ± 0 a |
References
- Tian, Y.; Zhao, Y.; Huang, J.; Zeng, H.; Zheng, B. Effects of different drying methods on the product quality and volatile compounds of whole shiitake mushrooms. Food Chem. 2016, 197, 714–722. [Google Scholar] [CrossRef]
- Hiraide, M.; Miyazaki, Y.; Shibata, Y. The smell and odorous components of dried shiitake mushroom, Lentinula edodes I: Relationship between sensory evaluations and amounts of odorous components. J. Wood Sci. 2004, 50, 358–364. [Google Scholar] [CrossRef]
- Seremet Ceclu, L.; Botez, E.; Nistor, O.V.; Andronoiu, D.G.; Mocanu, G.D. Effect of different drying methods on moisture ratio and rehydration of pumpkin slices. Food Chem. 2016, 195, 104–109. [Google Scholar] [CrossRef] [PubMed]
- Zou, K.; Teng, J.; Huang, L.; Dai, X.; Wei, B. Effect of osmotic pretreatment on quality of mango chips by explosion puffing drying. Food Sci. Technol. 2013, 51, 253–259. [Google Scholar] [CrossRef]
- Voda, A.; Homan, N.; Witek, M.; Duijster, A.; Van Dalen, G.; Van Der Sman, R.; Nijsse, J.; Van Vliet, L.; Van As, H.; Van Duynhoven, J. The impact of freeze-drying on microstructure and rehydration properties of carrot. Food Res. Int. 2012, 49, 687–693. [Google Scholar] [CrossRef]
- Doymaz, I. Infrared drying of sweet potato (Ipomoea batatas L.) slices. J. Food Sci. Technol. 2012, 49, 760–766. [Google Scholar] [CrossRef] [PubMed]
- Contreras, C.; MartÍn-Esparza, M.E.; MartÍnez-Navarrete, N. Influence of Drying Method on the Rehydration Properties of Apricot and Apple. J. Food Process. Eng. 2012, 35, 178–190. [Google Scholar] [CrossRef]
- Winiczenko, R.; Górnicki, K.; Kaleta, A.; Mańkowska, M.J.; Trajer, J. Multi-objective optimization of the apple drying and rehydration processes parameters. Emir. J. Food Agric. EJFA 2018, 30, 1–9. [Google Scholar]
- Winiczenko, R.; Górnicki, K.; Kaleta, A.; Mańkowska, M.J.; Choińska, A.; Trajer, J. Apple Cubes Drying and Rehydration. Multi-objective Optimization of the Processes. Sustainability 2018, 10, 4126. [Google Scholar] [CrossRef]
- Vergeldt, F.J.; Van Dalen, G.; Duijster, A.J.; Voda, A.; Khalloufi, S.; Van Vliet, L.J.; Van As, H.; Van Duynhoven, J.P.M.; Van Der Sman, R.G.M. Rehydration kinetics of freeze-dried carrots. Innovative Food Sci. Emerging Technol. 2014, 24, 40–47. [Google Scholar] [CrossRef]
- Ratti, C. Hot air and freeze-drying of high-value foods: A review. J. Food Eng. 2001, 49, 311–319. [Google Scholar] [CrossRef]
- Rahyan, A.R.; Henning, W.L.; Westcott, D.E. Histological and physical changes in carrots as affected by blanching, cooking, freeze drying and compression. J. Food Sci. 1971, 36, 500–502. [Google Scholar] [CrossRef]
- Pedro, M.A.M.; Telis-Romero, J.; Telis, V.R.N. Effect of drying method on the adsorption isotherms and isosteric heat of passion fruit pulp powder. Cienc. Tecnol. Aliment. 2010, 30, 993–1000. [Google Scholar] [CrossRef]
- Lewicki, P.P.; Pawlak, G. Effect of Drying on Microstructure of Plant Tissue. Drying Technol. 2003, 21, 657–683. [Google Scholar] [CrossRef]
- Joardder, M.U.H.; Karim, M.A. Development of a porosity prediction model based on shrinkage velocity and glass transition temperature. Drying Technol. 2019, 37, 1988–2004. [Google Scholar] [CrossRef]
- Joardder, M.U.H.; Kumar, C.; Karim, M.A. Prediction of porosity of food materials during drying: Current challenges and directions. Crit. Rev. Food Sci. Nutr. 2018, 58, 2896–2907. [Google Scholar] [CrossRef]
- Mounir, S.; Téllez-Pérez, C.; Alonzo-Macías, M.; Allaf, K. Swell-Drying. In Instant Controlled Pressure Drop (D.I.C.) in Food Processing; Allaf, T., Allaf, K., Eds.; Springer Science+Business Media: New York, NY, USA, 2014; pp. 3–43. [Google Scholar]
- Malik, N.; Gouseti, O.; Bakalis, S. Effect of freezing on microstructure and reconstitution of freeze-dried high solid hydrocolloid-based systems. Food Hydrocoll. 2018, 83, 473–484. [Google Scholar] [CrossRef]
- Pei, F.; Shi, Y.; Mariga, A.M.; Yang, W.J.; Tang, X.Z.; Zhao, L.Y.; An, X.X.; Hu, Q.H. Comparison of Freeze-Drying and Freeze-Drying Combined with Microwave Vacuum Drying Methods on Drying Kinetics and Rehydration Characteristics of Button Mushroom (Agaricus bisporus) Slices. Food Bioprocess. Technol. 2014, 7, 1629–1639. [Google Scholar] [CrossRef]
- Wang, H.; Zhang, M.; Adhikari, B. Drying of shiitake mushroom by combining freeze-drying and mid-infrared radiation. Food Bioprod. Process. 2015, 94, 507–517. [Google Scholar] [CrossRef]
- Zhang, M.; Chen, H.; Mujumdar, A.S.; Tang, J.; Miao, S.; Wang, Y. Recent developments in high-quality drying of vegetables, fruits, and aquatic products. Crit. Rev. Food Sci. Nutr. 2017, 57, 1239–1255. [Google Scholar] [CrossRef]
- Siebert, T.; Becker, A.; Bunzel, M.; Zuber, M.; Hamann, E.; Baumbach, T.; Karbstein, H.P.; Gaukel, V. Evaluation of the usefulness of serial combination processes for drying of apples. Drying Technol. 2019, 38, 1274–1290. [Google Scholar] [CrossRef]
- Siebert, T.; Gall, V.; Karbstein, H.P.; Gaukel, V. Serial combination drying processes: A measure to improve quality of dried carrot disks and to reduce drying time. Drying Technol. 2018, 36, 1578–1591. [Google Scholar] [CrossRef]
- Huang, L.; Zhang, M.; Wang, L.; Mujumdar, A.S.; Sun, D. Influence of combination drying methods on composition, texture, aroma and microstructure of apple slices. Food Sci. Technol. 2012, 47, 183–188. [Google Scholar] [CrossRef]
- Antal, T.; Sikolya, L.; Kerekes, B. Quality evaluation of different pre-treatments and combined convective-freeze drying of sour cherry (Prunus Cerasus L.). Progr. Agr. Eng. Sci. 2014, 10, 17–33. [Google Scholar]
- Reyes, A.; Vega, R.; Bustos, R.; Araneda, C. Effect of Processing Conditions on Drying Kinetics and Particle Microstructure of Carrot. Drying Technol. 2008, 26, 1272–1285. [Google Scholar] [CrossRef]
- Zhang, L.; Qiao, Y.; Wang, C.; Liao, L.; Liu, L.; Shi, D.; An, K.; Hu, J.; Xu, Q. Effects of Freeze Vacuum Drying Combined with Hot Air Drying on the Sensory Quality, Active Components, Moisture Mobility, Odors, and Microstructure of Kiwifruits. J. Food Qual. 2019, 2019, 1–11. [Google Scholar] [CrossRef]
- Yi, J.-Y.; Lyu, J.; Bi, J.-F.; Zhou, L.-Y.; Zhou, M. Hot air drying and freeze drying pre-treatments coupled to explosion puffing drying in terms of quality attributes of mango, pitaya, and papaya fruit chips. J. Food Process. Preserv. 2017, 41. [Google Scholar] [CrossRef]
- Xu, Y.; Zhang, M.; Mujumdar, A.S.; Duan, X.; Jin-Cai, S. A Two-Stage Vacuum Freeze and Convective Air Drying Method for Strawberries. Drying Technol. 2006, 24, 1019–1023. [Google Scholar] [CrossRef]
- Artnaseaw, A.; Theerakulpisut, S.; Benjapiyaporn, C. Drying characteristics of shiitake mushroom and Jinda chili during vacuum heat pump drying. Food Bioprod. Process. 2010, 88, 105–114. [Google Scholar] [CrossRef]
- Duangkhamchan, W.; Wiset, L.; Poomsa-ad, N. Evaluation of drying and moisture sorption characteristics models for shiitake mushroom (Lentinussquarrosulus Mont.) and grey oyster mushroom. Suranaree J. Sci. Technol. 2013, 20, 151–166. [Google Scholar]
- Qi, L.-L.; Zhang, M.; Mujumdar, A.S.; Meng, X.-Y.; Chen, H.-Z. Comparison of drying characteristics and quality of shiitake mushrooms (lentinus edodes) using different drying methods. Drying Technol. 2014, 32, 1751–1761. [Google Scholar] [CrossRef]
- Yi, J.; Wang, P.; Bi, J.; Liu, X.; Wu, X.; Zhong, Y. Developing Novel Combination Drying Method for Jackfruit Bulb Chips: Instant Controlled Pressure Drop (DIC)-Assisted Freeze Drying. Food Bioprocess. Technol. 2015, 9, 452–462. [Google Scholar] [CrossRef]
- Gao, K.; Chen, Q.; Bi, J.; Liu, X.; Wu, X.; Wang, X. Changes in browning-related components of apple slices during different stages of instant controlled pressure drop-assisted hot air drying (AD-DIC). Int. J. Food Sci. Technol. 2016, 51, 2242–2250. [Google Scholar] [CrossRef]
- Peng, J.; Bi, J.; Yi, J.; Wu, X.; Zhou, M.; Lyu, J.; Liu, J.n. Engineering Texture Properties of Instant Controlled Pressure Drop (DIC) Dried Carrot Chips via Modulating Osmotic Conditions. Food Bioprocess. Technol. 2018, 11, 1674–1685. [Google Scholar] [CrossRef]
- Li, X.; Bi, J.; Chen, Q.; Jin, X.; Wu, X.; Zhou, M. Texture improvement and deformation inhibition of hot air-dried apple cubes via osmotic pretreatment coupled with instant control pressure drop (DIC). Food Sci. Technol. 2019, 101, 351–359. [Google Scholar] [CrossRef]
- Zhao, Y.; Bi, J.; Yi, J.; Jin, X.; Wu, X.; Zhou, M. Evaluation of sensory, textural, and nutritional attributes of shiitake mushrooms (Lentinula edodes) as prepared by five types of drying methods. J. Food Process. Eng. 2019, 42. [Google Scholar] [CrossRef]
- Quintero Ruiz, N.A.; Demarchi, S.M.; Giner, S.A. Effect of hot air, vacuum and infrared drying methods on quality of rose hip (Rosa rubiginosa)leathers. Int. J. Food Sci. Technol. 2014, 49, 1799–1804. [Google Scholar] [CrossRef]
- Si, X.; Chen, Q.; Bi, J.; Wu, X.; Yi, J.; Zhou, L.; Li, Z. Comparison of different drying methods on the physical properties, bioactive compounds and antioxidant activity of raspberry powders. J. Sci. Food Agric. 2016, 96, 2055–2062. [Google Scholar] [CrossRef]
- Lawless, H.T.; Heymann, H. Sensory Evaluation of Food: Principles and Practices, 2nd ed.; Springer Science+Business Media LLC: New York, NY, USA, 2010; pp. 149–174. [Google Scholar]
- Van Der Sman, R.G.M. Prediction of enthalpy and thermal conductivity of frozen meat and fish products from composition data. J. Food Eng. 2008, 84, 400–412. [Google Scholar] [CrossRef]
- Carneiro, A.A.; Ferreira, I.C.; Duenas, M.; Barros, L.; Da Silva, R.; Gomes, E.; Santos-Buelga, C. Chemical composition and antioxidant activity of dried powder formulations of Agaricus blazei and Lentinus edodes. Food Chem. 2013, 138, 2168–2173. [Google Scholar] [CrossRef]
- Buwjoom, T.; Tangtaweewipat, S.; Thongwittaya, N.; Yamauchi, K.-e. Chemical composition, Nutritent Digestibility and Metabolizable Energy of Shiitake Mushroom Stalk Meal. J. Poultry Sci. 2004, 41, 322–328. [Google Scholar] [CrossRef]
- Julita Reguła, M.S. Dried Shiitake (Lentinulla Edodes) And Oyster (Pleurotus Ostreatus) Mushrooms as a Good Source of Nutrient. Acta Sci. Pol. Technol. Aliment. 2007, 6, 135–142. [Google Scholar]
- Reis, F.S.; Barros, L.; Martins, A.; Ferreira, I.C. Chemical composition and nutritional value of the most widely appreciated cultivated mushrooms: An inter-species comparative study. Food Chem. Toxicol. 2012, 50, 191–197. [Google Scholar] [CrossRef] [PubMed]
- Marabi, A.; Saguy, I.S. Effect of porosity on rehydration of dry food particulates. J. Sci. Food Agric. 2004, 84, 1105–1110. [Google Scholar] [CrossRef]
- Lewicki, P.P. Effect of pre-drying treatment, drying and rehydration on plant tissue properties: A review. Int. J. Food Prop. 2009, 1, 1–22. [Google Scholar] [CrossRef]
- Prothon, F.; Ahrne, L.; Sjoholm, I. Mechanisms and prevention of plant tissue collapse during dehydration: A critical review. Crit. Rev. Food Sci. Nutr. 2003, 43, 447–479. [Google Scholar] [CrossRef] [PubMed]
- Gulati, T.; Datta, A.K. Mechanistic understanding of case-hardening and texture development during drying of food materials. J. Food Eng. 2015, 166, 119–138. [Google Scholar] [CrossRef]
- Kovalenko, A.; Zimny, K.; Mascaro, B.; Brunet, T.; Mondain-Monval, O. Tailoring of the porous structure of soft emulsion-templated polymer materials. Soft Matter. 2016, 12, 5154–5163. [Google Scholar] [CrossRef]
- Simonin, H.; Beney, L.; Gervais, P. Sequence of occurring damages in yeast plasma membrane during dehydration and rehydration: Mechanisms of cell death. Biochim. Biophys. Acta 2007, 1768, 1600–1610. [Google Scholar] [CrossRef]
- Argyropoulos, D.; Heindl, A.; Müller, J. Assessment of convection, hot-air combined with microwave-vacuum and freeze-drying methods for mushrooms with regard to product quality. Int. J. Food Sci. Technol. 2011, 46, 333–342. [Google Scholar] [CrossRef]
- Siebert, T.; Zuber, M.; Hamann, E.; Baumbach, T.; Karbstein, H.P.; Gaukel, V. Micro-CT visualization of structure development during freeze-drying processes. Drying Technol. 2019, 38, 376–384. [Google Scholar] [CrossRef]
- Mounir, S.; Allaf, T.; Mujumdar, A.S.; Allaf, K. Swell Drying: Coupling Instant Controlled Pressure Drop DIC to Standard Convection Drying Processes to Intensify Transfer Phenomena and Improve Quality—An Overview. Drying Technol. 2012, 30, 1508–1531. [Google Scholar] [CrossRef]
- Yi, J.; Zhou, L.; Bi, J.; Liu, X.; Qinqin, C.; Wu, X. Influences of microwave pre-drying and explosion puffing drying induced cell wall polysaccharide modification on physicochemical properties, texture, microstructure and rehydration of pitaya fruit chips. Food Sci. Technol. 2016, 70, 271–279. [Google Scholar] [CrossRef]
- Mounir, S.; Allaf, T.; Berka, B.; Hassani, A.; Allaf, K. Instant Controlled Pressure Drop technology: From a new fundamental approach of instantaneous transitory thermodynamics to large industrial applications on high performance-high controlled quality unit operations. C. R. Chim. 2014, 17, 261–267. [Google Scholar] [CrossRef]
- Chen, Z.; Lamb, F.M. Vacuum Drying of Small Wood Components at Room Temperature. For. Prod. J. 2001, 51, 55. [Google Scholar]
) and reference methods (□). (A–D): group names as shown in Table 1.
) and reference methods (□). (A–D): group names as shown in Table 1.
) and references (□). (A–D): group names as shown in Table 1.
) and references (□). (A–D): group names as shown in Table 1.
) and references (□). (A–D): group names as shown in Table 1.
) and references (□). (A–D): group names as shown in Table 1.
) and references (□). (A–D): group names as shown in Table 1.
) and references (□). (A–D): group names as shown in Table 1.
) and references (□). (A–D): group names as shown in Table 1.
) and references (□). (A–D): group names as shown in Table 1.
) and references (□). (A–D): group names as shown in Table 1.
) and references (□). (A–D): group names as shown in Table 1.
) and references (□). (A–D): group names as shown in Table 1.
) and references (□). (A–D): group names as shown in Table 1.
) and references (□). (A–D): group names as shown in Table 1.
) and references (□). (A–D): group names as shown in Table 1.
) and references (□). (A–D): group names as shown in Table 1.
) and references (□). (A–D): group names as shown in Table 1.


| Combined Methods | Instant controlled Pressure Drop Drying (DIC) Combined | Freeze Drying (FD) Combined | ||||
|---|---|---|---|---|---|---|
| Group Name /Temperature | A | B | C | D | ||
| 35 °C | 65 °C | 35 °C | 65 °C | |||
| DIC-post-drying | DIC-HA35 (33 h) | DIC-HA65 (13 h) | FD-post-drying | FD-HA35 (20 h) | FD-HA65 (15 h) | |
| DIC-HP35 (31 h) | DIC-HP65 (13 h) | FD-HP35 (18 h) | FD-HP65 (14 h) | |||
| DIC-VD35 (43 h) | DIC-VD65(27 h) | FD-VD35 (26 h) | FD-VD65 (18 h) | |||
| DIC-IRD35 (27 h) | DIC-IRD65 (10 h) | FD-IRD35 (17 h) | FD-IRD65 (13 h) | |||
| DIC-pre-drying | HA35-DIC (41 h) | HA65-DIC (16 h) | FD-pre-drying | HA35-FD (46 h) | HA65-FD (21 h) | |
| HP35-DIC (38 h) | HP65-DIC (13 h) | HP35-FD (43 h) | HP65-FD (18 h) | |||
| VD35-DIC (49 h) | VD65-DIC (25 h) | VD35-FD (53 h) | VD65-FD (30 h) | |||
| IRD35-DIC(33 h) | IRD65-DIC (12 h) | IRD35-FD (38 h) | IRD65-FD (17 h) | |||
| Number | Carbohydrates | Soluble Carbohydrate (Mannitol+ Trehalose) | Insoluble Carbohydrate (Fiber) | Protein * | Fat | Ash(K3PO4) | References |
|---|---|---|---|---|---|---|---|
| 1 | 0.82 | 0.36 | --- | 0.13 | 0.01 | 0.042 | [42] |
| 2 | --- | --- | 0.28 | 0.17 | --- | 0.063 | [43] |
| 3 | 0.71 | --- | 0.46 | 0.14 | 0.031 | 0.072 | [44] |
| 4 | 0.87 | 0.13 | --- | 0.044 | 0.017 | 0.067 | [45] |
| Average | 0.72 ± 0.14 | 0.17 ± 0.11 | 0.024 ± 0.007 | 0.067 ± 0.007 |
Publisher’s Note: MDPI stays neutral with regard to jurisdictional claims in published maps and institutional affiliations. |
© 2021 by the authors. Licensee MDPI, Basel, Switzerland. This article is an open access article distributed under the terms and conditions of the Creative Commons Attribution (CC BY) license (https://creativecommons.org/licenses/by/4.0/).
Share and Cite
Hu, L.; Bi, J.; Jin, X.; Qiu, Y.; Sman, R.G.M.v.d. Study on the Rehydration Quality Improvement of shiitake Mushroom by Combined Drying Methods. Foods 2021, 10, 769. https://doi.org/10.3390/foods10040769
Hu L, Bi J, Jin X, Qiu Y, Sman RGMvd. Study on the Rehydration Quality Improvement of shiitake Mushroom by Combined Drying Methods. Foods. 2021; 10(4):769. https://doi.org/10.3390/foods10040769
Chicago/Turabian StyleHu, Lina, Jinfeng Bi, Xin Jin, Yang Qiu, and R. G. M. van der Sman. 2021. "Study on the Rehydration Quality Improvement of shiitake Mushroom by Combined Drying Methods" Foods 10, no. 4: 769. https://doi.org/10.3390/foods10040769
APA StyleHu, L., Bi, J., Jin, X., Qiu, Y., & Sman, R. G. M. v. d. (2021). Study on the Rehydration Quality Improvement of shiitake Mushroom by Combined Drying Methods. Foods, 10(4), 769. https://doi.org/10.3390/foods10040769
