Antioxidant Properties of Pecan Shell Bioactive Components of Different Cultivars and Extraction Methods
Abstract
1. Introduction
2. Materials and Methods
2.1. Chemicals and Reagents
2.2. Pecan Cultivars
2.3. Sample Preparation
2.4. Bioactive Extraction
2.5. Determination of Phenolic Compound
2.6. Evaluation of Antiradical Activity
2.7. Reverse Phase High Performance Liquid Chromatography (RP-HPLC)
2.8. Flow Injection Analysis Mass Spectrometry
2.9. Statistical Model
3. Results and Discussion
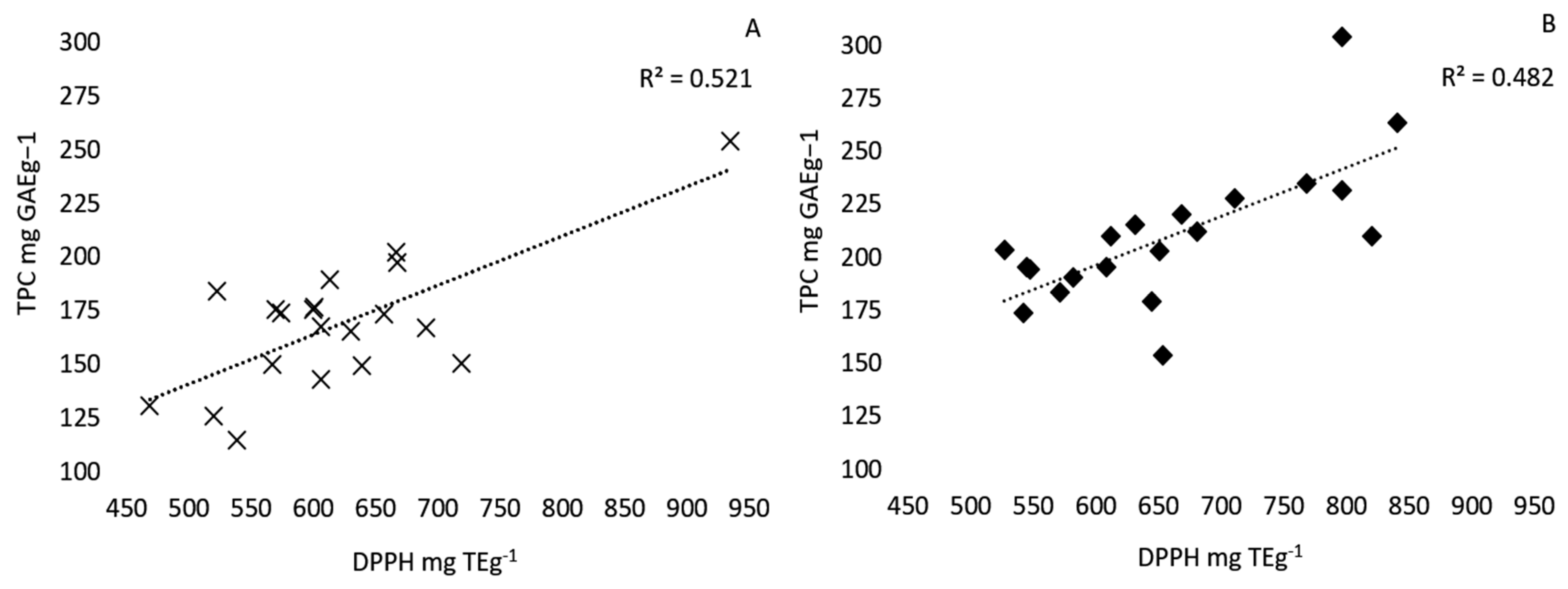
3.1. Effect of Extraction Method on Total Phenolic and Antiradical Activity
3.2. Effect of Cultivar on the Phenolic Content and Free-Radical Scavenging Activity
3.3. Bioactive Profile by RP-HPLC
3.4. Bioactive Characterization by Flow Injection Electrospray Ionization Mass Spectrometry (FIA-ESI-MS)
4. Conclusions
Author Contributions
Funding
Institutional Review Board Statement
Informed Consent Statement
Acknowledgments
Conflicts of Interest
References
- Statista. Worldwide Sales of Organic Foods 1999–2017 (in Billion U.S. Dollars). 2019. Available online: https://www.statista.com/statistics/273090/worldwide-sales-of-organic-foods-since-1999/ (accessed on 12 January 2021).
- United States Department of Agriculture Economic Research Service (ERS). Organic Market Overview. 2017. Available online: https://www.ers.usda.gov/topics/natural-resources-environment/organic-agriculture/organic-market-overview.aspx (accessed on 21 January 2021).
- United States Department of Agriculture National Agriculture Statistics Service (NASS). National Statistics for Pecan. 2018. Available online: https://www.nass.usda.gov/Statistics_by_Subject/result.php?7345CB67-26CC3917AF5BC7828216D668§or=CROPS&group=FRUIT%20%26%20TREE%20NUTS&comm=PECANS (accessed on 22 January 2021).
- Worley, R.E. Pecan Physiology and Composition. In Pecan Technology; Springer: Dordrecht, The Netherlands, 1994; pp. 39–48. [Google Scholar] [CrossRef]
- Villarreal-Lozoya, J.E.; Lombardini, L.; Cisneros-Zevallos, L. Phytochemical constituents and antioxidant capacity of different pecan [Carya illinoinensis (Wangenh.) K. Koch] cultivars. Food Chem. 2007, 102, 1241–1249. [Google Scholar] [CrossRef]
- Prado, A.C.P.; Silva, H.S.; Silveira, S.M.; Barreto, P.L.M.; Vieira, C.R.W.; Maraschini, M.; Ferreira, A.R.S.; Block, J.M. Effect of the extraction process on the phenolic compounds profile and the antioxidant and antimicrobial activity of extracts of pecan nut [Carya illinoinensis (Wangenh) C. Koch] shell. Ind. Crop. Prod. 2014, 52, 552–561. [Google Scholar] [CrossRef]
- Rosa, L.A.; Vazquez-Flores, A.A.; Alvarez-Parrilla, E.; Rodrigo-Garcia, J.; Medina-Camposc, O.N.; A’vila-Nava, A.; Gonza’lez-Reyes, S.; Pedraza-Chaverri, J. Content of major classes of polyphenolic compounds, antioxidant, antiproliferative, and cell protective activity of pecan crude extracts and their fractions. J. Funct. Foods 2014, 7, 219–228. [Google Scholar] [CrossRef]
- Flores-Córdova, M.A.; Sánchez Chávez, E.; Chávez-Mendoza, C.; García-Hernández, J.L.; Preciado-Rangel, P. Bioactive compounds and phytonutrients in edible part and nutshell of pecan (Carya illinoinensis). Cogent Food Agric. 2016, 2, 1–12. [Google Scholar] [CrossRef]
- Huang, C.H.; Riskowski, G.L.; Chang, J.; Lin, C.H.; Lai, J.T.; Chang, A.C. Pecan shell by-products—phenolic compound contents and antimicrobial properties. AIMS Agric. Food 2020, 5, 218–232. [Google Scholar] [CrossRef]
- Yemmireddy, V.K.; Cason, C.; Moreira, J.; Adhikari, A. Effect of pecan variety and the method of extraction on the antimicrobial activity of pecan shell extracts against different foodborne pathogens and their efficacy on food matrices. Food Control 2020, 112, 107098. [Google Scholar] [CrossRef]
- Rosa, L.A.; Alvarez-Parrilla, E.; Shahidi, F. Phenolic Compounds and Antioxidant Activity of Kernels and Shells of Mexican Pecan (Carya illinoinensis). J. Agric. Food Chem. 2011, 59, 152–162. [Google Scholar] [CrossRef]
- Prado, A.C.P.; Aragão, A.M.; Fett, R.; Block, J.M. Antioxidant Properties of Pecan Nut [Carya illinoinensis (Wangenh.) C. Koch] Shell Infusion. Grasas Aceites 2009, 60, 330–335. [Google Scholar] [CrossRef]
- Malik, N.; Perez, J.L.; Lombardini, L.; Cornacchia, R.; Cisneros-Zevallos, L.; Braford, J. Phenolic compounds and fatty acid composition of organic and conventional grown pecan kernels. J. Sci. Food Agric. 2009, 89, 2207–2213. [Google Scholar] [CrossRef]
- Prado, A.C.P.; Manion, B.A.; Seetharaman, K.; Deschamps, F.C.; Arellano, D.B.; Block, J.M. Relationship between antioxdiant properties and chemical composition of the oil and the shell of pecan nuts [Carya illinoinensis (Wangenh) C. Koch]. Ind. Crops Prod. 2013, 45, 64–73. [Google Scholar] [CrossRef]
- Singleton, V.L.; Orthofer, R.; Lamuela-Raventos, R.M. Analysis of Total Phenols and Other Oxidation Substrates and Antioxidants by Means of Folin-Ciocalteu Reagent. Methods Enzymol. 1999, 299, 152–178. [Google Scholar] [CrossRef]
- Brand-Williams, W.; Cuvelier, M.E.; Berset, C. Use of a free radical method to evaluate antioxidant activity. LWT Food Sci. Technol. 1995, 28, 25–30. [Google Scholar] [CrossRef]
- Kureck, I.; Policarpi, P.d.; Toaldo, I.M.; Oliveira, M.V.; Bordignon-Luiz, M.T.; Manique, P.L.; Block, J.M. Chemical Characterization and Release of Polyphenols from Pecan Nut Shell [Carya illinoinensis (Wangenh) C. Koch] in Zein Microparticles for Bioactive Applications. Plant Foods Hum. Nutr. 2018, 73, 137–145. [Google Scholar] [CrossRef] [PubMed]
- Sánchez-Rangel, J.C.; Benavides, J.; Heredia, J.B.; Cisneros-Zevallos, L.; Jacobo-Velázquez, D.A. The Folin–Ciocalteu assay revisited: Improvement of its specificity for total phenolic content determination. Anal. Methods 2013, 5, 5990–5999. [Google Scholar] [CrossRef]
- Chun, K.O.; Kim, D. Consideration on equivalent chemicals in total phenolic assay of chlorogenic acid-rich plums. Food Res. Int. 2004, 37, 337–342. [Google Scholar] [CrossRef]
- Soobrattee, M.A.; Neergheen, V.S.; Luximon-Ramma, A.; Aruoma, O.I.; Bahorun, T. Phenolics as potential therapeutic agents: Mechanism and actions. Fundam. Mol. Mech. Mutagenesis 2005, 579, 200–213. [Google Scholar] [CrossRef] [PubMed]
- Hagerman, A.E. Tannin Chemistry; Department of Chemistry and Biochemistry, Miami University: Oxford, OH, USA, 2002. [Google Scholar]
- Gosselink, R.J.A. Lignin as a Renewable Aromatic Resource for the Chemical Industry. Ph.D. Thesis, Wageningen University, Wageningen, NL, USA, 2011. [Google Scholar]
- Vazquez-Flores, A.A.; Wong-Paz, J.E.; Lerma-Herrera, M.A.; Martinez-Gonzalez, A.I.; Olivas-Aguirre, F.J.; Aguilar, C.N.; Wall-Medrano, A.; Gonzalez-Aguilar, G.A.; Alvarez-Parrilla, E.; Rosa, L.A. Proanthocyanidins from the kernel and shell of pecan (Carya illinoinensis): Average degree of polymerization and effects on carbohydrate, lipid, and peptide hydrolysis in a simulated human digestive system. J. Funct. Food 2017, 28, 227–234. [Google Scholar] [CrossRef]
- Banoub, J.; Delmas, G., Jr.; Joly, N.; Mackenzie, G.; Cachet, N.; Benjelloun-Mlayah, B.; Delmas, M. A critique on the structural analysis of lignins and application of novel tandem mass spectrometric strategies to determine lignin sequencing. J. Mass Spectrom. 2015, 50, 5–48. [Google Scholar] [CrossRef]
- Doherty, W.O.S.; Mousavioun, P.; Fellows, C.M. Value-adding to cellulosic ethanol: Lignin polymers. Ind. Crop Prod. 2011, 33, 259–276. [Google Scholar] [CrossRef]
- Haupert, L.J.; Owen, B.C.; Marcum, C.L.; Jarrell, T.M.; Pulliam, C.J.; Amundson, L.M.; Narra, P.; Aqueel, M.S.; Parsell, T.H.; Abu-Omar, M.M.; et al. Characterization of model compounds of processed lignin and the lignome by using atmospheric pressure ionization tandem mass spectrometry. Fuel 2012, 95, 634–641. [Google Scholar] [CrossRef]
- Kiyota, E.; Mazzafera, P.; Sawaya, A.C. Analysis of soluble lignin in sugarcane by ultrahigh performance liquid chromatography tandem mass spectrometry with a do-it-yourself oligomer database. Anal. Chem. 2012, 84, 7015–7020. [Google Scholar] [CrossRef] [PubMed]
- Pandey, M.P.; Kim, C.S. Lignin Depolymerization and Conversion: A Review of Thermochemical Methods. Chem. Eng. Technol. 2010, 34, 29–41. [Google Scholar] [CrossRef]
- Kaiser, K.; Benner, R. Characterization of Lignin by Gas Chromatography and Mass Spectrometry Using a Simplified CuO Oxidation Method. Anal. Chem. 2012, 84, 459–464. [Google Scholar] [CrossRef] [PubMed]




| Cultivar | Extract Yield | |
|---|---|---|
| mg Dry Extract/g Defatted Shell Powder | ||
| Aqueous Extracts | Ethanolic Extracts | |
| Desirable | 263 | 25 |
| Caddo | 492 | 281 |
| Elliot | 286 | 175 |
| Nacono | 214 | 305 |
| Oconee | 307 | 176 |
| Pawnee | 260 | 240 |
| Point Coupee | 481 | 144 |
| Curtis | 257 | 66 |
| Kiowa | 165 | 174 |
| Moreland | 203 | 162 |
| Cherokee | 351 | 314 |
| Schley | 201 | 63 |
| Success | 145 | 35 |
| Sumner | 222 | 3 |
| Gloria Grande | 221 | 139 |
| Cape Fear | 394 | 372 |
| Creek | 96 | 273 |
| Maramec | 253 | 50 |
| Jackson | 89 | 265 |
| Melrose | 90 | 65 |
| Average | 250 | 166 |
| Cultivar | TPC A | DPPH B | ||
|---|---|---|---|---|
| (mg GAE g−1 Dry Extract) | (mg TE g−1 Dry Extract) | |||
| Aqueous Extracts | Ethanolic Extracts | Aqueous Extracts | Ethanolic Extracts | |
| Pawnee C | 202.4 ab | 195.5 yz | 666.5 ab | 608.4 wxyz |
| Caddo | 176.8 becd | 212.2 xyz | 600.6 b | 680.4 vwxyz |
| Oconee | 175.7 bcde | 183.3 yz | 599.7 b | 571.1 xyz |
| Nacono | 174.1 bcde | 179.2 yz | 574.2 b | 580.2 xyz |
| Desirable | 167.0 bcde | 209.8 xyz | 690.6 ab | 611.9 wxyz |
| Elliot | 130.7 fe | 234.9 xyz | 468.3 b | 768.2 vwxy |
| Curtis D | 253.8 a | 209.9 yz | 934.9 a | 820.4 vw |
| Schley | 197.3 bc | 194.1 yz | 667.4 ab | 547.5 yz |
| Point Coupee | 189.5 bcd | 304.2 x | 612.6 b | 796.1 vwx |
| Sumner | 175.6 bcde | 195.5 yz | 569.6 b | 544.3 z |
| Kiowa | 173.3 bcde | 190.2 xyz | 656.8 b | 581.7 xyz |
| Success | 167.45 bcde | 173.6 yz | 606.3 b | 542.5 z |
| Cherokee | 165.2 bcdef | 153.5 z | 630.2 b | 652.9 vwxyz |
| Moreland | 150.4 bcdef | 215.4 xyz | 718.6 ab | 630.8 vwxyz |
| Maramec E | 184.2 bcd | 263.2 xy | 522.6 b | 840.6 v |
| Gloria Grande | 149.8 fecd | 231.6 xyz | 630.5 b | 733.0 vwxyz |
| Creek | 149.5 cdef | 202.8 yz | 638.7 b | 650.5 vwxyz |
| Cape Fear | 143.2 def | 203.4 yz | 606.4 b | 526.7 z |
| Melrose | 126.0 ef | 220.3 xyz | 495.3 b | 668.4 vwxyz |
| Jackson | 114.7 f | 227.9 xyz | 538.1 b | 710.5 vwxyz |
| Average ± SE | 168 ± 6.8 | 210 ± 7.3 | 659 ± 21 | 619 ± 22 |
| m/z | Compound (MW) | Peak Area | % Peak Area | Maximum Intensity (c/s) |
|---|---|---|---|---|
| ESI (−) | ||||
| 112 | 2-Hydroxypenta-2,4-dienoate UNKNOWN(113 u) | 1.5 × 106 | 3.9 | 1.2 × 106 |
| 154 | vanillyl alcohol (154 u) | 3.4 × 105 | 0.9 | 2.9 × 105 |
| 165 | guaiacylpropane (166 u) | 3.5 × 105 | 0.9 | 3.7 × 105 |
| 206 | phenolic 8-end of G(β-β′)G dilignol | 3.6 × 105 | 0.9 | 8.0 × 105 |
| 221 | aliphatic 4-end of G(β-5′)G dilignol | 4.2 × 105 | 1.1 | 3.7 × 105 |
| 248 | unknown * | 1.6 × 106 | 4.1 | 1.5 × 106 |
| 319 | guaiacylglycerol- β -guaiacylether (320 u) | 8.9 × 105 | 2.3 | 7.6 × 105 |
| ESI (+) | ||||
| 116 | Unknown * | 1.2 × 107 | 6.3 | 8.4 × 106 |
| 143 | Unknown * | 2.7 × 107 | 14.7 | 2.1 × 107 |
| 160 | Unknown * | 8.1 × 105 | 0.4 | 6.1 × 105 |
| 180 | coniferyl alcohol G-lignol (180 u) | 3.7 × 106 | 2.0 | 2.4 × 106 |
| 195 | phenolic 8-end G(β-O-4′)G dilignol | 5.2 × 106 | 2.8 | 2.4 × 106 |
| 211 | sinapyl alcohol S-lignol (210 u) | 7.8 × 105 | 0.5 | 3.8 × 105 |
| 222 | aliphatic 4-end of G(β-5′)G dilignol | 1.9 × 107 | 10.5 | 1.5 × 107 |
| 593 | proanthocyanadin A (593 u) | 1.0 × 106 | 0.5 | 5.1 × 105 |
Publisher’s Note: MDPI stays neutral with regard to jurisdictional claims in published maps and institutional affiliations. |
© 2021 by the authors. Licensee MDPI, Basel, Switzerland. This article is an open access article distributed under the terms and conditions of the Creative Commons Attribution (CC BY) license (http://creativecommons.org/licenses/by/4.0/).
Share and Cite
Cason, C.; Yemmireddy, V.K.; Moreira, J.; Adhikari, A. Antioxidant Properties of Pecan Shell Bioactive Components of Different Cultivars and Extraction Methods. Foods 2021, 10, 713. https://doi.org/10.3390/foods10040713
Cason C, Yemmireddy VK, Moreira J, Adhikari A. Antioxidant Properties of Pecan Shell Bioactive Components of Different Cultivars and Extraction Methods. Foods. 2021; 10(4):713. https://doi.org/10.3390/foods10040713
Chicago/Turabian StyleCason, Cameron, Veerachandra K. Yemmireddy, Juan Moreira, and Achyut Adhikari. 2021. "Antioxidant Properties of Pecan Shell Bioactive Components of Different Cultivars and Extraction Methods" Foods 10, no. 4: 713. https://doi.org/10.3390/foods10040713
APA StyleCason, C., Yemmireddy, V. K., Moreira, J., & Adhikari, A. (2021). Antioxidant Properties of Pecan Shell Bioactive Components of Different Cultivars and Extraction Methods. Foods, 10(4), 713. https://doi.org/10.3390/foods10040713

