Polyphenolic Antioxidants in Lipid Emulsions: Partitioning Effects and Interfacial Phenomena
Abstract
1. Introduction
2. Lipid Intake: Health and Nutritional Aspects
2.1. Lipids in Enteral and Parenteral Nutrition
2.2. Nutritional Consequences of Lipid Peroxidation
2.3. Kinetics and Mechanisms of Lipid Peroxidation in Brief
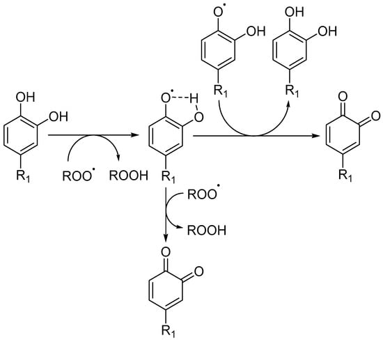
3. Antioxidant Defense against Lipid Peroxidation
Antioxidants in Delivery Systems
4. Lipid-Based Emulsions: Preparation, Physical Stability, and Domains
4.1. Distribution of Antioxidants in Emulsions
4.2. Importance of Determining Partition Constants in Binary Oil–Water Systems: Can They Be Envisaged from Octanol–Water Values?
4.3. Determining the Partition Constants of Antioxidants in Intact O/W Emulsions
4.4. Role of Motion of Reactants in Fluid Emulsions: Dynamic Equilibrium
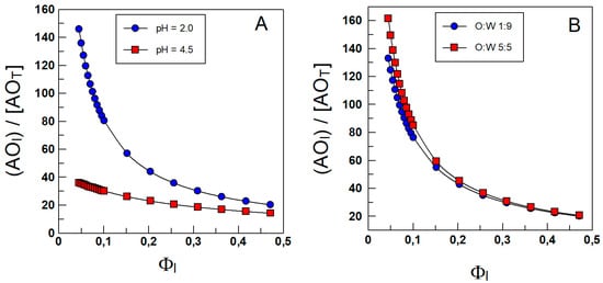
4.5. Relationships between Partitioning and Efficiency: Concentration Effects
5. Conclusions and Future Perspectives
Funding
Institutional Review Board Statement
Informed Consent Statement
Data Availability Statement
Acknowledgments
Conflicts of Interest
References
- Thomas, A.; Matthäus, B.; Fiebig, H.-J. Fats and Fatty Oils. In Ullmann’s Encyclopedia of Industrial Chemistry; Wiley: Hoboken, NJ, USA, 2015; pp. 1–84. [Google Scholar] [CrossRef]
- Calder, P.C.; Burdge, G.C. Chapter 1—Fatty acids. In Bioactive Lipids; Nicolaou, A., Kokotos, G., Eds.; Woodhead Publishing: Cambridge, UK, 2012; pp. 1–36. [Google Scholar] [CrossRef]
- Williams, K.A. Oils, Fts and Fatty Foods; J & A. Churchill: London, UK, 1996. [Google Scholar]
- Gurr, M.I. Chapter 6—Lipids in Foods and Raw Materials. In Lipids in Nutrition and Health; Gurr, M.I., Ed.; Woodhead Publishing: Cambridge, UK, 2012. [Google Scholar]
- Gurr, M.I. Chapter 1—The Influence of Dietary Fats on the Concentrations of Lipids carried in the Blood and the Significance for Health. In Lipids in Nutrition and Health; Gurr, M.I., Ed.; Woodhead Publishing: Cambridge, UK, 2012; pp. 1–47. [Google Scholar] [CrossRef]
- Maldonado-Valderrama, J.; Wilde, P.; Macierzanka, A.; Mackie, A. The role of bile salts in digestion. Adv. Colloid Interface Sci. 2011, 165, 36–46. [Google Scholar] [CrossRef]
- Macierzanka, A.; Torcello-Gómez, A.; Jungnickel, C.; Maldonado-Valderrama, J. Bile salts in digestion and transport of lipids. Adv. Colloid Interface Sci. 2019, 274, 102045. [Google Scholar] [CrossRef] [PubMed]
- Boulpaep, E.L.; Boron, W.F. Lipid Digestion. In Medical Physiology; Elsevier Health Division: Amsterdam, The Netherlands, 2016. [Google Scholar]
- Gurr, M.I.; James, A.T. Lipids in nutrition, health and disease. In Lipid Biochemistry: An Introduction; Gurr, M.I., James, A.T., Eds.; Springer: Dordrecht, The Netherlands, 1980; pp. 216–232. [Google Scholar] [CrossRef]
- Fell, G.L.; Nandivada, P.; Gura, K.M.; Puder, M. Intravenous Lipid Emulsions in Parenteral Nutrition. Adv. Nutr. 2015, 6, 600–610. [Google Scholar] [CrossRef] [PubMed]
- Calder, P.C.; Waitzberg, D.L.; Klek, S.; Martindale, R.G. Lipids in Parenteral Nutrition: Biological Aspects. J. Parenter. Enter. Nutr. 2020, 44, S21–S27. [Google Scholar] [CrossRef] [PubMed]
- Hörmann, K.; Zimmer, A. Drug delivery and drug targeting with parenteral lipid nanoemulsions—A review. J. Control. Release 2016, 223, 85–98. [Google Scholar] [CrossRef]
- Jeppesen, P.B.; Høy, C.E.; Mortensen, P.B. Essential fatty acid deficiency in patients receiving home parenteral nutrition. Gastroenterology 1998, 114, A885. [Google Scholar] [CrossRef]
- Mundi, M.S.; Salonen, B.R.; Bonnes, S.L.; Hurt, R.T. Parenteral Nutrition—Lipid Emulsions and Potential Complications. Pract. Gastroenterol. 2017, 41, 32–37. [Google Scholar]
- Raman, M.; Almutairdi, A.; Mulesa, L.; Alberda, C.; Beattie, C.; Gramlich, L. Parenteral Nutrition and Lipids. Nutrients 2017, 9, 388. [Google Scholar] [CrossRef] [PubMed]
- Sala-Vila, A.; Barbosa, V.M.; Calder, P.C. Olive oil in parenteral nutrition. Curr. Opin. Clin. Nutr. Metab. Care 2007, 10, 165–174. [Google Scholar] [CrossRef] [PubMed]
- Siqueira, J.; Smiley, D.; Newton, C.; Le, N.-A.; Gosmanov, A.R.; Spiegelman, R.; Peng, L.; Osteen, S.J.; Jones, D.P.; Quyyumi, A.A.; et al. Substitution of standard soybean oil with olive oil-based lipid emulsion in parenteral nutrition: Comparison of vascular, metabolic, and inflammatory effects. J. Clin. Endocrinol. Metab. 2011, 96, 3207–3216. [Google Scholar] [CrossRef] [PubMed]
- Spray, J.W. Review of Intravenous Lipid Emulsion Therapy. J. Infus. Nurs. Off. Publ. Infus. Nurses Soc. 2016, 39, 377–380. [Google Scholar] [CrossRef] [PubMed]
- Reif, S.; Tano, M.; Oliverio, R.; Young, C.; Rossi, T. Total Parenteral Nutrition-Induced Steatosis: Reversal by Parenteral Lipid Infusion. J. Parenter. Enter. Nutr. 1991, 15, 102–104. [Google Scholar] [CrossRef]
- Ren, T.; Cong, L.; Wang, Y.; Tang, Y.; Tian, B.; Lin, X.; Zhang, Y.; Tang, X. Lipid emulsions in parenteral nutrition: Current applications and future developments. Expert Opin. Drug Deliv. 2013, 10, 1533–1549. [Google Scholar] [CrossRef]
- Roche, L.D. Oxidative stress: The dark side of soybean-oil-based emulsions used in parenteral nutrition. Oxid. Antioxid. Med. Sci. 2012, 1, 11–14. [Google Scholar] [CrossRef]
- Im, D.-S. Omega-3 fatty acids in anti-inflammation (pro-resolution) and GPCRs. Prog. Lipid Res. 2012, 51, 232–237. [Google Scholar] [CrossRef] [PubMed]
- Poudyal, H.; Panchal, S.K.; Diwan, V.; Brown, L. Omega-3 fatty acids and metabolic syndrome: Effects and emerging mechanisms of action. Prog. Lipid Res. 2011, 50, 372–387. [Google Scholar] [CrossRef] [PubMed]
- Klek, S. Omega-3 Fatty Acids in Modern Parenteral Nutrition: A Review of the Current Evidence. J. Clin. Med. 2016, 5, 34. [Google Scholar] [CrossRef]
- Yildizdas, H.Y.; Poyraz, B.; Atli, G.; Sertdemir, Y.; Mert, K.; Ozlu, F.; Satar, M. Effects of two different lipid emulsions on antioxidant status, lipid peroxidation and parenteral nutrition- related cholestasis in premature babies, a randomized-controlled study. Pediatrics Neonatol. 2019, 60, 359–367. [Google Scholar] [CrossRef]
- de Melo Barbosa, R.; Severino, P.; Finkler, C.L.L.; de Paula, E. Chapter 11—Lipid-based colloidal carriers for transdermal administration of bioactives. In Materials for Biomedical Engineering; Holban, A.-M., Grumezescu, A.M., Eds.; Elsevier: Amsterdam, The Netherlands, 2019; pp. 369–397. [Google Scholar] [CrossRef]
- Garti, N. Delivery and Controlled Release of Bioactives in Foods and Nutraceuticals; Woodhead Publishing: Cambridge, UK, 2008. [Google Scholar]
- Salvia-Trujillo, L.; Soliva-Fortuny, R.; Rojas-Graü, M.A.; McClements, D.J.; Martín-Belloso, O. Edible Nanoemulsions as Carriers of Active Ingredients: A Review. Annu. Rev. Food Sci. Technol. 2017, 8, 439–466. [Google Scholar] [CrossRef] [PubMed]
- Schaich, K.M.; Shahidi, F.; Zhong, Y.; Eskin, N.A.M. Chapter 11—Lipid Oxidation. In Biochemistry of Foods, 3rd ed.; Academic Press: San Diego, CA, USA, 2013; pp. 419–478. [Google Scholar] [CrossRef]
- Frankel, E.N. Lipid Oxidation; The Oily Press, PJ Barnes & Associates: Bridgwater, UK, 2005. [Google Scholar]
- Tsao, R. 13—Synergistic interactions between antioxidants used in food preservation A2-Shahidi, Fereidoon. In Handbook of Antioxidants for Food Preservation; Woodhead Publishing: Cambridge, UK, 2015; pp. 335–347. [Google Scholar] [CrossRef]
- Shahidi, F.; Zhong, Y. Lipid oxidation and improving the oxidative stability. Chem. Soc. Rev. 2010, 39, 4067–4079. [Google Scholar] [CrossRef] [PubMed]
- Zhang, J.; Wang, X.; Vikash, V.; Ye, Q.; Wu, D.; Liu, Y.; Dong, W. ROS and ROS-Mediated Cellular Signaling. Available online: https://www.hindawi.com/journals/omcl/2016/4350965/ (accessed on 22 February 2016).
- Birch-Machin, M.A.; Bowman, A. Oxidative stress and ageing. Br. J. Derm. 2016, 175, 26–29. [Google Scholar] [CrossRef]
- Losada-Barreiro, S.; Bravo-Díaz, C. Free radicals and polyphenols: The redox chemistry of neurodegenerative diseases. Eur. J. Med. Chem. 2017, 133, 379–402. [Google Scholar] [CrossRef] [PubMed]
- Cummings, J.L.; Pillai, J.A. Neurodegenerative Diseases: Unifying Principles; Oxford University Press: Oxford, UK, 2016. [Google Scholar]
- Gurr, M.I. Chapter 3—Nutritional Significance of Lipid Peroxidation. In Lipids in Nutrition and Health; Gurr, M.I., Ed.; Woodhead Publishing: Cambridge, UK, 2012; pp. 97–118. [Google Scholar] [CrossRef]
- McClements, D.J. Enhanced delivery of lipophilic bioactives using emulsions: A review of major factors affecting vitamin, nutraceutical, and lipid bioaccessibility. Food Funct. 2018, 9, 22–41. [Google Scholar] [CrossRef] [PubMed]
- Chang, R.C.-C. Neurodegenerative Diseases—Processes, Prevention, Protection and Monitoring; In Tech: Rijeka, Croatia, 2011; ISBN 978-953-307-485-6. [Google Scholar] [CrossRef]
- Meireles, M.; Losada-Barreiro, S.; Costa, M.; Paiva-Martins, F.; Bravo-Díaz, C.; Monteiro, L.S. Control of antioxidant efficiency of chlorogenates in emulsions: Modulation of antioxidant interfacial concentrations. J. Sci. Food Agric. 2020. [Google Scholar] [CrossRef] [PubMed]
- Jodko-Piórecka, J.; Cedrowski, J.; Litwinienko, G. Physico-chemical principles of antioxidant action, including solvent and matrix dependence and interfacial phenomena. In Measurement of Antioxidant Activity & Capacity: Recent Trends and Applications; Apak, R., Capanoglu, E., Shahidi, F., Eds.; John Wiley & Sons: Hoboken, NJ, USA, 2018; pp. 225–272. [Google Scholar] [CrossRef]
- Litwinienko, G.; Ingold, K.U. Solvent Effects on the Rates and Mechanisms of Reaction of Phenols with Free Radicals. Acc. Chem. Res. 2007, 40, 222–230. [Google Scholar] [CrossRef] [PubMed]
- Zielinski, Z.; Presseau, N.; Amorati, R.; Valgimigli, L.; Pratt, D.A. Redox chemistry of selenenic acids and the insight it brings on transition state geometry in the reactions of peroxyl radicals. J. Am. Chem. Soc. 2014, 136, 1570. [Google Scholar] [CrossRef] [PubMed]
- Bravo-Díaz, C.; Romsted, L.S.; Liu, C.; Losada-Barreiro, S.; Pastoriza-Gallego, M.J.; Gao, X.; Gu, Q.; Krishnan, G.; Sánchez-Paz, V.; Zhang, Y.; et al. To Model Chemical Reactivity in Heterogeneous Emulsions, Think Homogeneous Microemulsions. Langmuir 2015, 31, 8961–8979. [Google Scholar] [CrossRef] [PubMed]
- Romsted, L.S.; Bravo-Díaz, C. Modelling chemical reactivity in emulsions. Curr. Opin. Colloid Interface Sci. 2013, 18, 3–14. [Google Scholar] [CrossRef]
- Pabst, G.; Kučerka, N.; Nieh, M.-P.; Katsaras, J. Liposomes, Lipid Bilayers and Model Membranes from Basic Research to Application; CRC Press: Boca Raton, FL, USA, 2014; ISBN 978-1-4665-0709-8. [Google Scholar] [CrossRef]
- Fagali, N.; Catalá, A. Liposomes as a tool to study lipid peroxidation in retina. In Biochemistry, Genetics and Molecular Biology of Lipid Peroxidation; Catalá, A., Ed.; InTech: Rijeka, Croatia, 2012. [Google Scholar]
- Litwinienko, G.; Kamal-Eldin, A. Analysis of Lipid Oxidation by Differential Scanning Calorimetry in Analysis of Lipid Oxidation; Kamal-Eldin, A., Pokorny, J., Eds.; JAOCS Press: Champaign, IL, USA, 2005; p. 152. [Google Scholar]
- Pinchuk, I.; Shoval, H.; Dotan, Y.; Lichtenberg, D. Evaluation of antioxidants: Scope, limitations and relevance of assays. Chem. Phys. Lipids 2012, 165, 638–647. [Google Scholar] [CrossRef] [PubMed]
- Ross, L.; Barclay, C.; Vinqvist, M.R. Phenols as antioxidants. In The Chemistry of Phenols; Rappoport, Z., Ed.; J. Wiley & Sons: West Sussex, UK, 2003. [Google Scholar]
- Mollica, F.; Lucarini, M.; Passerini, C.; Carati, C.; Pavoni, S.; Bonoldi, L.; Amorati, R. Effect of Antioxidants on High-Temperature Stability of Renewable Bio-Oils Revealed by an Innovative Method for the Determination of Kinetic Parameters of Oxidative Reactions. Antioxidants 2020, 9, 399. [Google Scholar] [CrossRef] [PubMed]
- Choi, D.-Y.; Lee, Y.-J.; Hong, J.T.; Lee, H.-J. Antioxidant properties of natural polyphenols and their therapeutic potentials for Alzheimer’s disease. Brain Res. Bull. 2012, 87, 144–153. [Google Scholar] [CrossRef]
- Ebrahimi, A.; Schluesener, H. Natural polyphenols against neurodegenerative disorders: Potentials and pitfalls. Ageing Res. Rev. 2012, 11, 329–345. [Google Scholar] [CrossRef] [PubMed]
- Roleira, F.M.F.; Tavares-da-Silva, E.J.; Varela, C.L.; Costa, S.C.; Silva, T.; Garrido, J.; Borges, F. Plant derived and dietary phenolic antioxidants: Anticancer properties. Food Chem. 2015, 183, 235–258. [Google Scholar] [CrossRef]
- Nimse, S.B.; Palb, D. Free radicals, natural antioxidants, and their reaction mechanisms. RSC Adv. 2015, 5, 27986–28006. [Google Scholar] [CrossRef]
- Chavarria, D.; Silva, T.; Martins, D.; Bravo, J.; Summavielle, T.; Garrido, J.; Borges, F. Exploring cinnamic acid scaffold: Development of promising neuroprotective lipophilic antioxidants. Med. Chem. Commun. 2015, 6, 1043–1053. [Google Scholar] [CrossRef]
- Vladimir-Knežević, S.; Blažeković, B.; Štefan, M.B.; Babac, M. Plant Polyphenols as Antioxidants Influencing the Human Health. In Phytochemicals as Nutraceuticals—Global Approaches to Their Role in Nutrition and Health; Rao, V., Ed.; InTech: London, UK, 2012. [Google Scholar] [CrossRef]
- Brewer, M.S. Natural antioxidants: Sources, compounds, mechanisms of action, and potential applications. Compr. Rev. Food Sci. Food Saf. 2011, 10, 221–247. [Google Scholar] [CrossRef]
- Ingold, K.U.; Pratt, D.A. Advances in Radical-Trapping Antioxidant Chemistry in the 21st Century: A Kinetics and Mechanisms Perspective. Chem. Rev. 2014, 114, 9022–9046. [Google Scholar] [CrossRef] [PubMed]
- Birben, E.; Sahiner, U.M.; Sackesen, C.; Erzurum, S.; Kalayci, O. Oxidative Stress and Antioxidant Defense. World Allergy Organ. J. 2012, 5, 9. [Google Scholar] [CrossRef]
- Bartosz, T.; Irene, T. Polyphenols encapsulation—Application of innovation technologies to improve stability of natural products. In Physical Sciences Reviews; De Gruyter: Berlin, Germany, 2016; Volume 1. [Google Scholar]
- Parisi, O.I.; Puoci, F.; Restuccia, D.; Farina, G.; Iemma, F.; Picci, N. Chapter 4—Polyphenols and Their Formulations: Different Strategies to Overcome the Drawbacks Associated with Their Poor Stability and Bioavailability. In Polyphenols in Human Health and Disease; Academic Press: San Diego, CA, USA, 2014; pp. 29–45. [Google Scholar] [CrossRef]
- McClements, D.J. Food Emulsions, Principles, Practices and Techniques; CRC Press: Boca Raton, FL, USA, 2015. [Google Scholar]
- Costa, M.; Losada-Barreiro, S.; Bravo-Díaz, C.; Vicente, A.A.; Monteiro, L.S.; Paiva-Martins, F. Influence of AO chain length, droplet size and oil to water ratio on the distribution and on the activity of gallates in fish oil-in-water emulsified systems: Emulsion and nanoemulsion comparison. Food Chem. 2020, 310, 125716. [Google Scholar] [CrossRef] [PubMed]
- Costa, M.; Freiría-Gándara, J.; Losada-Barreiro, S.; Paiva-Martins, F.; Bravo-Díaz, C. Effects of droplet size on the interfacial concentrations of antioxidants in fish and olive oil-in-water emulsions and nanoemulsions and on their oxidative stability. J. Colloid Interface Sci. 2020, 562, 352–362. [Google Scholar] [CrossRef] [PubMed]
- Losada-Barreiro, S.; Sánchez-Paz, V.; Bravo-Díaz, C. Transfer of antioxidants at the interfaces of model food emulsions: Distributions and thermodynamic parameters. Org. Biomol. Chem. 2015, 13, 876–885. [Google Scholar] [CrossRef] [PubMed]
- Almeida, J.; Losada-Barreiro, S.; Costa, M.; Paiva-Martins, F.; Bravo-Díaz, C.; Romsted, L.S. Interfacial Concentrations of Hydroxytyrosol and Its Lipophilic Esters in Intact Olive Oil-in-Water Emulsions: Effects of Antioxidant Hydrophobicity, Surfactant Concentration, and the Oil-to-Water Ratio on the Oxidative Stability of the Emulsions. J. Agric. Food Chem. 2016, 64, 5274–5283. [Google Scholar] [CrossRef] [PubMed]
- Costa, M.; Losada-Barreiro, S.; Paiva-Martins, F.; Bravo-Díaz, C.; Romsted, L.S. A direct correlation between the antioxidant efficiencies of caffeic acid and its alkyl esters and their concentrations in the interfacial region of olive oil emulsions. The pseudophase model interpretation of the “cut-off” effect. Food Chem. 2015, 175, 233–242. [Google Scholar] [CrossRef] [PubMed]
- Sangster, J. Octanol-Water Partition coefficients, Fundamentals and Physcial Chemistry; J. Wiley & Sons: Chichester, UK, 1997. [Google Scholar]
- Sangster, J. Octanol-Water partition coefficients of simple organic compounds. J. Phys. Chem. Ref. Data 1989, 18, 1111–1127. [Google Scholar] [CrossRef]
- Leo, A.; Hansch, C.; Elkins, D. Partition Coefficients and Their Uses. Chem. Rev. 1971, 71, 525–616. [Google Scholar] [CrossRef]
- Silvério, S.C.; Rodríguez, O.; Teixeira, J.A.; Macedo, E.A. Gibbs free energy of transfer of a methylene group on {UCON+(sodium or potassium) phosphate salts} aqueous two-phase systems: Hydrophobicity effects. J. Chem. Thermodyn. 2010, 42, 1063–1069. [Google Scholar] [CrossRef]
- Dean, J.A. Lange´s Handbook of Chemistry; McGraw-Hill, Inc.: New York, NY, USA, 1992. [Google Scholar]
- Losada-Barreiro, S.; Bravo-Díaz, C.; Romsted, L.S. Distributions of phenolic acid antioxidants between the interfacial and aqueous regions of corn oil emulsions: Effects of pH and emulsifier concentration. Eur. J. Lipid Sci. Technol. 2015, 117, 1801–1813. [Google Scholar] [CrossRef]
- Leo, A.J. Octanol/Water Partition Coefficients. In Encyclopedia of Computational Chemistry; John Wiley & Sons, Ltd.: Hoboken, NJ, USA, 2002. [Google Scholar] [CrossRef]
- Octanol-Water Partition Coefficient logP. Available online: http://www.molinspiration.com/services/logp.html (accessed on 3 March 2018).
- Freiría-Gándara, J.; Losada-Barreiro, S.; Paiva-Martins, F.; Bravo-Díaz, C. Enhancement of the antioxidant efficiency of gallic acid derivatives in intact fish oil-in-water emulsions through optimization of their interfacial concentrations. Food Funct. 2018, 9, 4429–4442. [Google Scholar] [CrossRef] [PubMed]
- Huang, S.W.; Frankel, E.N.; Aeschbach, R.; German, J.B. Partition of Selected Antioxidants in corn oil-water model systems. J. Agric. Food Chem. 1997, 45, 1991–1994. [Google Scholar] [CrossRef]
- McClements, D.J. Food Emulsions; CRC Press: Boca Raton, FL, USA, 2005. [Google Scholar]
- Raimúndez-Rodríguez, E.A.; Losada-Barreiro, S.; Bravo-Díaz, C. Enhancing the fraction of antioxidants at the interfaces of oil-in-water emulsions: A kinetic and thermodynamic analysis of their partitioning. J. Colloid Interface Sci. 2019, 555, 224–233. [Google Scholar] [CrossRef] [PubMed]
- Mitrus, O.; Żuraw, M.; Losada-Barreiro, S.; Bravo-Díaz, C.; Paiva-Martins, F. Targeting Antioxidants to Interfaces: Control of the Oxidative Stability of Lipid-Based Emulsions. J. Agric. Food Chem. 2019, 67, 3266–3274. [Google Scholar] [CrossRef] [PubMed]
- Oehlke, K.; Garamus, V.; Heins, A.; Stöckman, H.; Schwarz, K. The partitioning of emulsifiers in o/w emulsions: A comparative study of SANS, ultrafiltration and dialysis. J. Colloid. Interface Sci. 2008, 322, 294–303. [Google Scholar] [CrossRef]
- Schwarz, K.; Frankel, E.N.; German, J.B. Partition Behavior of antioxidant phenolic compounds in heterophasic systems. Fett/Lipid 1996, 98, 115–121. [Google Scholar] [CrossRef]
- Stöckman, H.; Schwarz, K. Partitioning of Low Molecular Weight Compounds in Oil-in-Water Emulsions. Langmuir 1999, 15, 6142–6149. [Google Scholar] [CrossRef]
- Dar, A.A.; Bravo-Diaz, C.; Nazir, N.; Romsted, L.S. Chemical kinetic and chemical trapping methods: Unique approaches for determining respectively the antioxidant distributions and interfacial molarities of water, counter-anions, and other weakly basic nucleophiles in association colloids. Curr. Opin. Colloid Interface Sci. 2017, 32, 84–93. [Google Scholar] [CrossRef]
- Pastoriza-Gallego, M.J.; Sánchez-Paz, V.; Losada-Barreiro, S.; Bravo-Diaz, C.; Gunaseelan, K.; Romsted, L.S. Effects of Temperature and Emulsifier Concentration on a-Tocopherol Distribution in a Stirred, Fluid, Emulsion. Thermodynamics of a-Tocopherol transfer between the Oil and Interfacial Regions. Langmuir 2009, 25, 2646–2653. [Google Scholar] [CrossRef] [PubMed]
- Laguerre, M.; Bily, A.; Roller, M.; Birtić, S. Mass Transport Phenomena in Lipid Oxidation and Antioxidation. Annu. Rev. Food Sci. Technol. 2017, 8, 391–411. [Google Scholar] [CrossRef]
- McNaught, A.D.; Wilkinson, A. Compendium of Chemical Terminology, The Gold Book Blackwell Science; IUPAC; Blackwell Science: Cambridge, UK, 1997. [Google Scholar]
- Romsted, L.S. Introduction to Surfactant Self-Assembly. In Supramolecular Chemistry: From Molecules to Nanomaterials; Gale, P.A., Steed, J.W., Eds.; J. Wiley & Sons Ltd.: New York, NY, USA, 2012; pp. 181–203. [Google Scholar]
- Garti, N. Microemulsions as microreactors for food applications. Curr. Opin. Colloid Interface Sci. 2003, 8, 197–211. [Google Scholar] [CrossRef]
- Lopez-Quintela, M.A.; Tojo, C.; Blanco, M.C.; Garcia Rio, L.; Leis, J.R. Microemulsion dynamics and reactions in microemulsions. Curr. Opin. Colloid Interface Sci. 2004, 9, 264–278. [Google Scholar] [CrossRef]
- Quina, F.H. Dynamics and prototropic reactivity of electronically excited states in simple surfactant aggregates. Curr. Opin. Colloid Interface Sci. 2013, 18, 35–39. [Google Scholar] [CrossRef]
- Bravo-Díaz, C.; Romsted, L.S.; Losada-Barreiro, S.; Paiva-Martins, F. Using a pseudophase model to determine AO distributions in emulsions: Why dynamic equilibrium matters. Eur. J. Lipid Sci. Technol. 2017, 119, 1600277. [Google Scholar] [CrossRef]
- Andraos, J. The Contributions of Solomon F. Acree (1875–1957) and the Centennial Anniversary of the Discovery of the Acree–Curtin–Hammett Principle. Chem. Educ. 2008, 13, 170–178. [Google Scholar]
- Smoluchowski, M.V. Versuch Einer Mathematischen Theorie der Koagulationskinetik kolloider Losungen. Z. F. Phys. Chem. 1917, XCII, 129–168. [Google Scholar] [CrossRef]
- Laidler, K.J. Chemical Kinetics, 3rd ed.; Harper Collins Pub.: New York, NY, USA, 1987. [Google Scholar]
- Van Boekel, M.A.J.S. Kinetic Modeling of Reactions in Foods; CRC Press: Boca Raton, FL, USA, 2009. [Google Scholar]
- van Boekel, M.A.J.S. Kinetic Modeling of Food Quality: A Critical Review. Compr. Rev. Food Sci. Food Saf. 2008, 7, 144–158. [Google Scholar] [CrossRef]
- Earle, R.L.; Earle, M.D. Fundamentals of Food Reaction Technology: Understanding and Controlling Changes in Foods during Processing and Storage (Web Edition, 2008); The New Zealand Institute of Food Science & Technology (Inc.): Palmerston North, New Zealand, 2008. [Google Scholar]
- Costa, M.; Losada-Barreiro, S.; Paiva-Martins, F.; Bravo-Díaz, C. Physical evidence that the variations in the efficiency of homologous series of antioxidants in emulsions are a result of differences in their distribution. J. Sci. Food Agric. 2017, 97, 564–571. [Google Scholar] [CrossRef] [PubMed]
- Foti, M.C. Antioxidant properties of phenols. J. Pharm. Pharm. 2007, 59, 1673–1685. [Google Scholar] [CrossRef] [PubMed]
- Galan, A.; Losada-Barreiro, S.; Bravo-Díaz, C. A physicochemical study of the effects of acidity on the distribution and antioxidant efficiency of Trolox in olive oil in water emulsions. ChemPhysChem 2016, 17, 296–304. [Google Scholar] [CrossRef] [PubMed]
- Teixeira, J.; Gaspar, A.; Garrido, E.M.; Garrido, J.; Borges, F. Hydroxycinnamic Acid Antioxidants: An Electrochemical Overview. Biomed. Res. Int. 2013, 2013, 1–11. [Google Scholar] [CrossRef] [PubMed]
- Wang, H.; Joseph, J.A. Quantifying cellular oxidative stress by dichlorofluorescein assay using microplate reader1. Free Rad. Biol. Med. 1999, 27, 612–616. [Google Scholar] [CrossRef]
- Laguerre, M.; Decker, E.A.; Lecomte, J.; Villeneuve, P. Methods for evaluating the potency and efficacy of antioxidants. Curr. Opin. Clin. Nut. Metab. Care 2010, 13, 518–525. [Google Scholar] [CrossRef]
- de Macêdo, I.Y.L.; Garcia, L.F.; Oliveira Neto, J.R.; de Siqueira Leite, K.C.; Ferreira, V.S.; Ghedini, P.C.; de Souza Gil, E. Electroanalytical tools for antioxidant evaluation of red fruits dry extracts. Food Chem. 2017, 217, 326–331. [Google Scholar] [CrossRef]
- Mozuraityte, R.; Kristinova, V.; Rustad, T. Oxidation of Food Components. In Encyclopedia of Food and Health; Academic Press: Oxford, UK, 2016; pp. 186–190. [Google Scholar] [CrossRef]
- Losada-Barreiro, S.; Bravo Díaz, C.; Paiva Martins, F.; Romsted, L.S. Maxima in antioxidant distributions and efficiencies with increasing hydrophobicity of gallic acid and its alkyl esters. The pseudophase model interpretation of the “Cut-off effect”. J. Agric. Food Chem. 2013, 61, 6533–6543. [Google Scholar] [CrossRef]
- Laguerre, M.; Bayrasy, C.; Lecomte, J.; Chabi, B.; Decker, E.A.; Wrutniak-Cabello, C.; Cabello, G.; Villeneuve, P. How to boost antioxidants by lipophilization? Biochimie 2012, 95, 1–7. [Google Scholar] [CrossRef] [PubMed]
- Medina, I.; Lois, S.; Alcántara, D.; Lucas, L.; Morales, J.C. Effect of lipophilization of hydroxytyrosol on its antioxidant activity in fish oils and fish oil-in-water emulsions. J. Agric. Food Chem. 2009, 57, 9773–9779. [Google Scholar] [CrossRef] [PubMed]
- Laguerre, M.; López-Giraldo, L.J.; Lecomte, J.; Figueroa-Espinoza, M.J.; Baréa, B.; Weiss, J.; Decker, E.A.; Villeneuve, P. Chain length affects antioxidant properties of chlorogenate esters in emulsion: The cut-off theory behind the polar paradox. J. Agric. Food Chem. 2009, 57, 11335–11342. [Google Scholar] [CrossRef] [PubMed]
- Panya, A.; Laguerre, M.; Bayrasy, C.; Lecomte, J.; Villeneuve, P.; McClements, D.; Decker, E.A. An investigation of the versatile antixoidant mechanism of action of rosmarinate alkyl esters in oil-in-water emulsions. J. Agric. Food Chem. 2012, 60, 2692–2700. [Google Scholar] [CrossRef] [PubMed]
- Balgavý, P.; Devínsky, F. Cut-off effects in biological activities of surfactants. Adv. Colloid. Interf. Sci. 1996, 66, 23–63. [Google Scholar] [CrossRef]
- Muñoz-Marín, J.; De La Cruz, J.P.; Guerrero, A.; López-Leiva, I.; López-Villodres, J.A.; Reyes, J.J.; Espartero, J.L.; Madrona, A.; Labajos, M.T.; González-Correa, J.A. Cytoprotective Effect of Hydroxytyrosyl Alkyl Ether Derivatives after Oral Administration to Rats in a Model of Glucose–Oxygen Deprivation in Brain Slices. J. Agric. Food Chem. 2013, 60, 7659–7667. [Google Scholar] [CrossRef] [PubMed]
- Calderón-Montaño, J.M.; Madrona, A.; Burgos-Morón, E.; Luis Orta, M.; Mateos, S.; Espartero, J.L.; López-Lázaro, M. Selective Cytotoxic Activity of New Lipophilic Hydroxytyrosol Alkyl Ether Derivatives. J. Agric. Food Chem. 2013, 61, 5046–5053. [Google Scholar] [CrossRef]
- Mateos, R.; Trujillo, M.; Pereira-Caro, G.; Madrona, A.; Cert, A.; Espartero, J.L. New lipophilic tyrosyl esters. Comparative antioxidant evaluation with hydroxytyrosyl esters. J. Agric. Food Chem. 2008, 53, 10960–10966. [Google Scholar] [CrossRef] [PubMed]
- Trujillo, M.; Mateos, R.; Collantes de Teran, L.; Espartero, J.L.; Cert, R.; Jover, M.; Alcudia, F.; Bautista, J.; Cert, A.; Parrado, J. Lipophilic hydroxytyrosyl esters. Antioxidant activity in lipid matrices and biological systems. J. Agric. Food Chem. 2006, 54, 3779–3785. [Google Scholar] [CrossRef]
- Lue, B.-M.; Sørensen, A.-D.M.; Jacobsen, C.; Guo, Z.; Xu, X. Antioxidant efficacies of rutin and rutin esters in bulk oil and oil-in-water emulsion. Eur. J. Lipid Sci. Technol. 2017, 119, 1600049. [Google Scholar] [CrossRef]
- Sørensen, A.-D.M.; Nielsen, N.S.; Decker, E.A.; Let, M.B.; Xu, X.; Jacobsen, C. The Efficacy of Compounds with Different Polarities as Antioxidants in Emulsions with Omega-3 Lipids. J. Am. Oil Chem. Soc. 2011, 88, 489–502. [Google Scholar] [CrossRef]
- Qiu, X.; Jacobsen, C.; Villeneuve, P.; Durand, E.; Sørensen, A.-D.M. Effects of Different Lipophilized Ferulate Esters in Fish Oil-Enriched Milk: Partitioning, Interaction, Protein, and Lipid Oxidation. J. Agric. Food Chem. 2017, 65, 9496–9505. [Google Scholar] [CrossRef] [PubMed]
- Sørensen, A.-D.M.; Villeneuve, P.; Jacobsen, C. Alkyl caffeates as antioxidants in O/W emulsions: Impact of emulsifier type and endogenous tocopherols. Eur. J. Lipid Sci. Technol. 2017, 119, 1600276. [Google Scholar] [CrossRef]
- Aliaga, C.; Torres, P.; Silva, F. A simple method for the determination of the partitioning of nitroxide probes in microheterogeneous media. Magn. Resn. Chem. 2012, 50, 779–783. [Google Scholar] [CrossRef] [PubMed]
- Aliaga, C.; Rezende, M.C. EPR spectrum of a radical from a non typical antioxidant. Magn. Resn. Chem. 2014, 2014, 409–411. [Google Scholar] [CrossRef]
- Aliaga, C.; Celis, F.; Lühr, S.; Oñate, R. TEMPO-Attached Pre-fluorescent Probes Based on Pyridinium Fluorophores. J. Fluoresc. 2015, 25, 979–983. [Google Scholar] [CrossRef] [PubMed]
- De Arbina, A.; Losada-Barreiro, S.; Caroli-Rezende, M.; Vidal, M.; Aliaga, C. The location of amphiphobic antioxidants in micellar systems: The diving-swan analogy. Food Chem. 2019, 279, 288–293. [Google Scholar] [CrossRef]
- Aliaga, C.; Bravo-Moraga, F.; Gonzalez-Nilo, D.; Márquez, S.; Lürh, S.; Mena, G.; Rezende, M.C. Location of TEMPO derivatives in micelles: Subtle effect of the probe orientation. Food Chem. 2016, 192, 395–401. [Google Scholar] [CrossRef] [PubMed]
- Pawlik, D.; Lauterbach, R.; Turyk, E. Fish-oil fat emulsion supplementation may reduce the risk of severe retinopathy in VLBW infants. Pediatrics 2011, 127, 223–228. [Google Scholar] [CrossRef] [PubMed]
















| Chemical Structure | Number C Atoms | Omega Name | Common Name | Systematic Name |
|---|---|---|---|---|
| saturated fatty acids | ||||
![]() | 12 | 12:0 | Lauric | Dodecanoic |
![]() | 14 | 14:0 | Myristic | Tetradecanoic |
![]() | 16 | 16:0 | Palmitic | Hexadecanoic |
![]() | 18 | 18:0 | Stearic | Octadecanoic |
| unsaturated (cis) fatty acids | ||||
![]() | 16 | 16:1 | Palmitoleic | 9-Hexadecenoic |
![]() | 18 | 18:1 (w-9) | Oleic | 9-Octadecenoic |
![]() | 18 | 18:2 (w-7) | Linoleic (LA) | 9, 12-Octadecadienoic |
![]() | 18 | 18:3 (w-3) | α-Linolenic (ALA) | (all-cis-9,12,15) Octadecatrienoic |
![]() | 20 | 20:4 (w-6) | Arachidonic | 5,8,11,14-Eicosatetraenoic |
![]() | 20 | 20:5 (w-3) | Eicosapentaenoic (EPA) | 5,8,11,14,17-Eicosapentaenoic |
![]() | 22 | 22:5 (w-6) | Docosapentanoic (DPA) | 4,7,10,13,16- Docosapentanoic |
![]() | 22 | 22:6 (w-3) | Docosahexaenoic (DHA) | cis-docosa-4,7,10,13,16,19-hexaenoic acid |
| Soybean | Safflower | Olive | Fish | |
|---|---|---|---|---|
| Oleic acid (n-9) | 25 | 15 | 85 | 0 |
| Linoleic acid (n-6) | 50 | 77 | 4 | 1–3 |
| Linolenic acid (n-3) | 10 | 0 | < 1.5 | 1–5 |
| EPA | 0 | 0 | 0 | 5–14 |
| DHA | 0 | 0 | 0 | 5–27 |
| Non-radical | Hydrogen peroxide | H2O2 |
| Singlet oxygen | 1O2 | |
| Radicals | Superoxide anion | O2− • |
| Hydroxyl | HO• | |
| Lipid peroxyl | ROO• | |
| Lipid alkoxyl | RO• |
| Primary | Vitamin E (α-tocopherol) |
| Vitamin C (ascorbic acid) | |
| Carotenoids | |
| Polyphenols | |
| Secondary | Superoxide dismutase |
| Glutatione peroxidase | |
| Transition metals chelators | |
| Catalase (Fe) |
![]() | C1 | C2 | C3 | C4 | C8 | C12 | |
| PWO | 0.05 1 | 0.201 | 0.86 1 0.85 2 | 3.041 | 75 1 | --- | |
| PWOCT | 7.10 | 17 | 50 | 195 | 2.0 × 104 | 2.13 × 106 |
Publisher’s Note: MDPI stays neutral with regard to jurisdictional claims in published maps and institutional affiliations. |
© 2021 by the authors. Licensee MDPI, Basel, Switzerland. This article is an open access article distributed under the terms and conditions of the Creative Commons Attribution (CC BY) license (http://creativecommons.org/licenses/by/4.0/).
Share and Cite
Costa, M.; Losada-Barreiro, S.; Paiva-Martins, F.; Bravo-Díaz, C. Polyphenolic Antioxidants in Lipid Emulsions: Partitioning Effects and Interfacial Phenomena. Foods 2021, 10, 539. https://doi.org/10.3390/foods10030539
Costa M, Losada-Barreiro S, Paiva-Martins F, Bravo-Díaz C. Polyphenolic Antioxidants in Lipid Emulsions: Partitioning Effects and Interfacial Phenomena. Foods. 2021; 10(3):539. https://doi.org/10.3390/foods10030539
Chicago/Turabian StyleCosta, Marlene, Sonia Losada-Barreiro, Fátima Paiva-Martins, and Carlos Bravo-Díaz. 2021. "Polyphenolic Antioxidants in Lipid Emulsions: Partitioning Effects and Interfacial Phenomena" Foods 10, no. 3: 539. https://doi.org/10.3390/foods10030539
APA StyleCosta, M., Losada-Barreiro, S., Paiva-Martins, F., & Bravo-Díaz, C. (2021). Polyphenolic Antioxidants in Lipid Emulsions: Partitioning Effects and Interfacial Phenomena. Foods, 10(3), 539. https://doi.org/10.3390/foods10030539














