A Low-Cost Protocol Using the Adjunctive Action of Povidone–Iodine Irrigations and Sodium Hypochlorite Rinsing Solution in Step 2 of Periodontal Therapy for Patients with Stage III–IV Periodontitis: A Single-Blind, Randomized Controlled Trial
Abstract
1. Introduction
2. Materials and Methods
2.1. Study Design
2.2. Study Population
2.3. Calibration
2.4. Clinical Measurements
2.5. Microbiological Sampling
2.6. Patient-Centered Data Collection
2.7. Randomization
2.8. Periodontal Treatment
2.8.1. Test Group
2.8.2. Control Group
2.9. Statistical Analysis
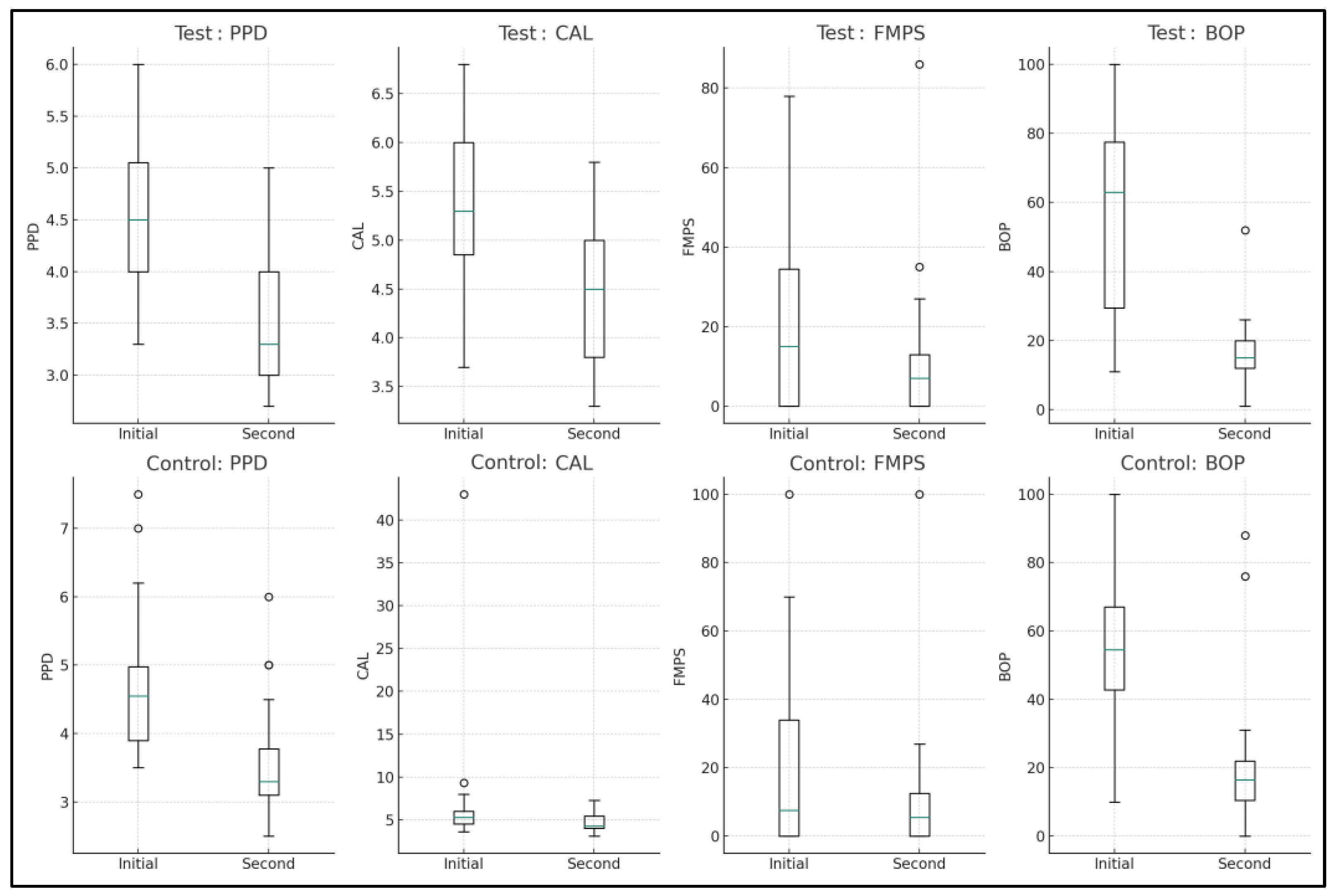
3. Results
4. Discussion
5. Conclusions
Author Contributions
Funding
Institutional Review Board Statement
Informed Consent Statement
Data Availability Statement
Conflicts of Interest
References
- Bianchi, S.; Mancini, L.; Torge, D.; Cristiano, L.; Mattei, A.; Varvara, G.; Macchiarelli, G.; Marchetti, E.; Bernardi, S. Bio-Morphological Reaction of Human Periodontal Ligament Fibroblasts to Different Types of Dentinal Derivates: In Vitro Study. Int. J. Mol. Sci. 2021, 22, 8681. [Google Scholar] [CrossRef]
- Slots, J. Human viruses in periodontitis. Periodontology 2010, 53, 89–110. [Google Scholar] [CrossRef]
- Tonetti, M.S.; Greenwell, H.; Kornman, K.S. Staging and grading of periodontitis: Framework and proposal of a new classification and case definition. J. Periodontol. 2018, 89 (Suppl. S1), S159–S172. [Google Scholar] [CrossRef] [PubMed]
- Slots, J. Herpesviral-bacterial synergy in the pathogenesis of human periodontitis. Curr. Opin. Infect. Dis. 2007, 20, 278–283. [Google Scholar] [CrossRef] [PubMed]
- Combs, D.R.; Reilly, E.A.; Dawson, D.R., 3rd; Avdiushko, S.A.; Danaher, R.J.; Miller, C.S. Detection of human cytomegalovirus in dental plaque from individual periodontal sites by real-time polymerase chain reaction. Oral Surg. Oral Med. Oral Pathol. Oral Radiol. Endod. 2008, 106, 840–844. [Google Scholar] [CrossRef]
- Rotola, A.; Cassai, E.; Farina, R.; Caselli, E.; Gentili, V.; Lazzarotto, T.; Trombelli, L. Human herpesvirus 7, Epstein-Barr virus and human cytomegalovirus in periodontal tissues of periodontally diseased and healthy subjects. J. Clin. Periodontol. 2008, 35, 831–837. [Google Scholar] [CrossRef] [PubMed]
- Saygun, I.; Kubar, A.; Ozdemir, A.; Yapar, M.; Slots, J. Herpesviral-bacterial interrelationships in aggressive periodontitis. J. Periodontal Res. 2004, 39, 207–212. [Google Scholar] [CrossRef]
- Saygun, I.; Kubar, A.; Sahin, S.; Sener, K.; Slots, J. Quantitative analysis of association between herpesviruses and bacterial pathogens in periodontitis. J. Periodontal Res. 2008, 43, 352–359. [Google Scholar] [CrossRef]
- Kubar, A.; Saygun, I.; Yapar, M.; Ozdemir, A.; Slots, J. Real-time PCR quantification of cytomegalovirus in aggressive periodontitis lesions using TaqMan technology. J. Periodontal Res. 2004, 39, 81–86. [Google Scholar] [CrossRef]
- Boia, E.R.; Huț, A.R.; Roi, A.; Luca, R.E.; Munteanu, I.R.; Roi, C.I.; Riviș, M.; Boia, S.; Duse, A.O.; Vulcănescu, D.D.; et al. Associated Bacterial Coinfections in COVID-19-Positive Patients. Medicina 2023, 59, 1858. [Google Scholar] [CrossRef]
- Song, Y.; Liu, N.; Gao, L.; Yang, D.; Liu, J.; Xie, L.; Dan, H.; Chen, Q. Association between human herpes simplex virus and periodontitis: Results from the continuous National Health and Nutrition Examination Survey 2009–2014. BMC Oral Health 2023, 23, 675. [Google Scholar] [CrossRef] [PubMed]
- Banks, J.M.; Capistrano, K.J.; Brandini, D.A.; Zaidi, F.; Thakkar, P.; Rahat, R.; Schwartz, J.; Naqvi, A.R. Herpesviruses and SARS-CoV-2: Viral Association with Oral Inflammatory Diseases. Pathogens 2024, 13, 58. [Google Scholar] [CrossRef] [PubMed]
- Cappuyns, I.; Gugerli, P.; Mombelli, A. Viruses in periodontal disease—A review. Oral Dis. 2005, 11, 219–229. [Google Scholar] [CrossRef] [PubMed]
- Lin, Y.L.; Li, M. Human cytomegalovirus and Epstein-Barr virus inhibit oral bacteria-induced macrophage activation and phagocytosis. Oral Microbiol. Immunol. 2009, 24, 243–248. [Google Scholar] [CrossRef]
- Sanz, M.; Herrera, D.; Kebschull, M.; Chapple, I.; Jepsen, S.; Beglundh, T.; Sculean, A.; Tonetti, M.S.; Participants, E.F.P.W.; Methodological, C. Treatment of stage I–III periodontitis-The EFP S3 level clinical practice guideline. J. Clin. Periodontol. 2020, 47 (Suppl. 22), 4–60. [Google Scholar] [CrossRef]
- Pockpa, A.D.; Soueidan, A.; Louis, P.; Coulibaly, N.T.; Badran, Z.; Struillou, X. Twenty Years of Full-Mouth Disinfection: The Past, the Present and the Future. Open Dent. J. 2018, 12, 435–442. [Google Scholar] [CrossRef]
- Slots, J. Low-cost periodontal therapy. Periodontology 2012, 60, 110–137. [Google Scholar] [CrossRef] [PubMed]
- Albandar, J.M. Global risk factors and risk indicators for periodontal diseases. Periodontology 2002, 29, 177–206. [Google Scholar] [CrossRef]
- Schwendicke, F.; Engel, A.S.; Graetz, C. Long-term treatment costs of chronic periodontitis patients in Germany. J. Clin. Periodontol. 2018, 45, 1069–1077. [Google Scholar] [CrossRef]
- Petersen, P.E.; Baehni, P.C. Periodontal health and global public health. Periodontology 2000, 60, 7–14. [Google Scholar] [CrossRef]
- The Economist Intelligence Unit. Time to Take Gum Disease Seriously: The Societal and Economic Impact of Periodontitis. Available online: https://impact.economist.com/perspectives/sites/default/files/eiu-efp-oralb-gum-disease.pdf (accessed on 1 April 2024).
- Harris, C.; Allen, K.; Ramsey, W.; King, R.; Green, S. Sustainability in Health care by Allocating Resources Effectively (SHARE) 11: Reporting outcomes of an evidence-driven approach to disinvestment in a local healthcare setting. BMC Health Serv. Res. 2018, 18, 386. [Google Scholar] [CrossRef] [PubMed]
- Espíndola, L.C.P.; Colombo, A.P.V. Lack of adjunctive effect of 0.1% sodium hypochlorite mouthwash combined to full-mouth ultrasonic debridement on supragingival plaque, gingival inflammation, and subgingival microbiota: A randomized placebo-controlled 6-month trial. Clin. Exp. Dent. Res. 2017, 3, 51–61. [Google Scholar] [CrossRef] [PubMed]
- Galván, M.; Gonzalez, S.; Cohen, C.L.; Alonaizan, F.A.; Chen, C.T.; Rich, S.K.; Slots, J. Periodontal effects of 0.25% sodium hypochlorite twice-weekly oral rinse. A pilot study. J. Periodontal Res. 2014, 49, 696–702. [Google Scholar] [CrossRef] [PubMed]
- Gonzalez, S.; Cohen, C.L.; Galván, M.; Alonaizan, F.A.; Rich, S.K.; Slots, J. Gingival bleeding on probing: Relationship to change in periodontal pocket depth and effect of sodium hypochlorite oral rinse. J. Periodontal Res. 2015, 50, 397–402. [Google Scholar] [CrossRef] [PubMed]
- Bizzarro, S.; Van der Velden, U.; Loos, B.G. Local disinfection with sodium hypochlorite as adjunct to basic periodontal therapy: A randomized controlled trial. J. Clin. Periodontol. 2016, 43, 778–788. [Google Scholar] [CrossRef] [PubMed]
- Kamagate, A.; Kone, D.; Coulibaly, N.T.; Ahnoux, A. Subgingival irrigation combined with scaling and root planing. Results of a study with chlorhexidine and sodium hypochlorite. Odontostomatol. Trop. 2005, 28, 28–32. [Google Scholar] [PubMed]
- Kalkwarf, K.L.; Tussing, G.J.; Davis, M.J. Histologic evaluation of gingival curettage facilitated by sodium hypochlorite solution. J. Periodontol. 1982, 53, 63–70. [Google Scholar] [CrossRef] [PubMed]
- Brookes, Z.; McGrath, C.; McCullough, M. Antimicrobial Mouthwashes: An Overview of Mechanisms-What Do We Still Need to Know? Int. Dent. J. 2023, 73 (Suppl. S2), S64–S68. [Google Scholar] [CrossRef] [PubMed]
- Adcock, J.E.; Berry, W.C., Jr.; Kalkwarf, K.L. Effect of sodium hypochlorite solution on the subgingival microflora of juvenile periodontitis lesions. Pediatr. Dent. 1983, 5, 190–194. [Google Scholar]
- Iorio-Siciliano, V.; Ramaglia, L.; Isola, G.; Blasi, A.; Salvi, G.E.; Sculean, A. Changes in clinical parameters following adjunctive local sodium hypochlorite gel in minimally invasive nonsurgical therapy (MINST) of periodontal pockets: A 6-month randomized controlled clinical trial. Clin. Oral Investig. 2021, 25, 5331–5340. [Google Scholar] [CrossRef]
- Megally, A.; Zekeridou, A.; Cancela, J.; Giannopoulou, C.; Mombelli, A. Short ultrasonic debridement with adjunctive low-concentrated hypochlorite/amino acid gel during periodontal maintenance: Randomized clinical trial of 12 months. Clin. Oral Investig. 2020, 24, 201–209. [Google Scholar] [CrossRef]
- Iorio-Siciliano, V.; Blasi, A.; Stratul, S.I.; Ramaglia, L.; Sculean, A.; Salvi, G.E.; Rusu, D. Anti-infective therapy of peri-implant mucositis with adjunctive delivery of a sodium hypochlorite gel: A 6-month randomized triple-blind controlled clinical trial. Clin. Oral Investig. 2020, 24, 1971–1979. [Google Scholar] [CrossRef] [PubMed]
- Radulescu, V.; Boariu, M.I.; Rusu, D.; Roman, A.; Surlin, P.; Voicu, A.; Didilescu, A.C.; Jentsch, H.; Siciliano, V.I.; Ramaglia, L.; et al. Clinical and microbiological effects of a single application of sodium hypochlorite gel during subgingival re-instrumentation: A triple-blind randomized placebo-controlled clinical trial. Clin. Oral Investig. 2022, 26, 6639–6652. [Google Scholar] [CrossRef] [PubMed]
- Slots, J.; Jorgensen, M.G. Effective, safe, practical and affordable periodontal antimicrobial therapy: Where are we going, and are we there yet? Periodontology 2002, 28, 298–312. [Google Scholar] [CrossRef]
- Slots, J. Primer for antimicrobial periodontal therapy. J. Periodontal Res. 2000, 35, 108–114. [Google Scholar] [CrossRef] [PubMed]
- Jorgensen, M.G.; Slots, J. The ins and outs of periodontal antimicrobial therapy. J. Calif. Dent. Assoc. 2002, 30, 297–305. [Google Scholar] [CrossRef] [PubMed]
- Jorgensen, M.G.; Aalam, A.; Slots, J. Periodontal antimicrobials--finding the right solutions. Int. Dent. J. 2005, 55, 3–12. [Google Scholar] [CrossRef] [PubMed]
- Slots, J. Primer on etiology and treatment of progressive/severe periodontitis: A systemic health perspective. Periodontology 2020, 83, 272–276. [Google Scholar] [CrossRef] [PubMed]
- Kardaras, G.; Marcovici, I.; Rusu, D.; Dehelean, C.; Coricovac, D.; Iorio-Siciliano, V.; Sculean, A.; Stratul, S.I. In-Vitro Safety Evaluation of Sodium Hypochlorite (NaOCl) as Part of Step 2 and Maintenance Therapy Protocols in Patients with Periodontitis Stages III–IV. Oral Health Prev. Dent. 2023, 21, 103–112. [Google Scholar] [CrossRef]
- Miller, P.D., Jr. A classification of marginal tissue recession. Int. J. Periodontics Restor. Dent. 1985, 5, 8–13. [Google Scholar]
- De Nardo, R.; Chiappe, V.; Gómez, M.; Romanelli, H.; Slots, J. Effects of 0.05% sodium hypochlorite oral rinse on supragingival biofilm and gingival inflammation. Int. Dent. J. 2012, 62, 208–212. [Google Scholar] [CrossRef]
- Caton, J.G.; Armitage, G.; Berglundh, T.; Chapple, I.L.C.; Jepsen, S.; Kornman, K.S.; Mealey, B.L.; Papapanou, P.N.; Sanz, M.; Tonetti, M.S. A new classification scheme for periodontal and peri-implant diseases and conditions—Introduction and key changes from the 1999 classification. J. Clin. Periodontol. 2018, 45 (Suppl. S20), S1–S8. [Google Scholar] [CrossRef]
- O’Leary, T.J.; Drake, R.B.; Naylor, J.E. The plaque control record. J. Periodontol. 1972, 43, 38. [Google Scholar] [CrossRef]
- Jurczyk, K.; Nietzsche, S.; Ender, C.; Sculean, A.; Eick, S. In-vitro activity of sodium-hypochlorite gel on bacteria associated with periodontitis. Clin. Oral Investig. 2016, 20, 2165–2173. [Google Scholar] [CrossRef]
- Boia, S.; Boariu, M.; Baderca, F.; Rusu, D.; Muntean, D.; Horhat, F.; Boia, E.R.; Borza, C.; Anghel, A.; Stratul, Ş.I. Clinical, microbiological and oxidative stress evaluation of periodontitis patients treated with two regimens of systemic antibiotics, adjunctive to non-surgical therapy: A placebo-controlled randomized clinical trial. Exp. Ther. Med. 2019, 18, 5001–5015. [Google Scholar] [CrossRef]
- Disease, G.B.D.; Injury, I.; Prevalence, C. Global, regional, and national incidence, prevalence, and years lived with disability for 354 diseases and injuries for 195 countries and territories, 1990-2017: A systematic analysis for the Global Burden of Disease Study 2017. Lancet 2018, 392, 1789–1858. [Google Scholar] [CrossRef]
- Emery, D.C.; Cerajewska, T.L.; Seong, J.; Davies, M.; Paterson, A.; Allen-Birt, S.J.; West, N.X. Comparison of Blood Bacterial Communities in Periodontal Health and Periodontal Disease. Front. Cell Infect. Microbiol. 2020, 10, 577485. [Google Scholar] [CrossRef]
- The Economist Intelligence Unit. Time to Put Money Where Mouth Is: Addressing Inequalities in Oral Health. Available online: https://impact.economist.com/perspectives/health/time-put-your-money-where-your-mouth-addressing-inequalities-oral-health (accessed on 1 April 2024).
- Sahrmann, P.; Manz, A.; Attin, T.; Zbinden, R.; Schmidlin, P.R. Effect of application of a PVP-iodine solution before and during subgingival ultrasonic instrumentation on post-treatment bacteraemia: A randomized single-centre placebo-controlled clinical trial. J. Clin. Periodontol. 2015, 42, 632–639. [Google Scholar] [CrossRef]
- Nobukuni, K.; Kawahara, S. Thyroid function in nurses: The influence of povidone-iodine hand washing and gargling. Dermatology 2002, 204 (Suppl. S1), 99–102. [Google Scholar] [CrossRef] [PubMed]
- Vercammen, Y.; Dauwe, D.; De Vlieger, G.; Houthoofd, S.; Desmet, L.; Casaer, M.P. Povidone Iodine Disinfection Associated with Hypothyroidism and Potentially Contributing to Prolonged Kidney Failure. Case Rep. Crit. Care 2021, 2021, 5528210. [Google Scholar] [CrossRef] [PubMed]
- Yapar, M.; Saygun, I.; Ozdemir, A.; Kubar, A.; Sahin, S. Prevalence of human herpesviruses in patients with aggressive periodontitis. J. Periodontol. 2003, 74, 1634–1640. [Google Scholar] [CrossRef]
- Kamma, J.J.; Slots, J. Herpesviral-bacterial interactions in aggressive periodontitis. J. Clin. Periodontol. 2003, 30, 420–426. [Google Scholar] [CrossRef]
- Newman, M.G.; Takei, H.; Klokkevold, P.R.; Carranza, F.A. Newman and Carranza’s Clinical Periodontology: Newman and Carranza’s Clinical Periodontology, 3rd ed.; Elsevier Health Sciences: Amsterdam, The Netherlands, 2018. [Google Scholar]
- Kany, S.; Vollrath, J.T.; Relja, B. Cytokines in Inflammatory Disease. Int. J. Mol. Sci. 2019, 20, 6008. [Google Scholar] [CrossRef]
- Blanco-Pintos, T.; Regueira-Iglesias, A.; Balsa-Castro, C.; Tomás, I. Update on the Role of Cytokines as Oral Biomarkers in the Diagnosis of Periodontitis. Adv. Exp. Med. Biol. 2022, 1373, 283–302. [Google Scholar] [CrossRef]
- Schwendicke, F.; Stolpe, M.; Plaumann, A.; Graetz, C. Cost-effectiveness of regular versus irregular supportive periodontal therapy or tooth removal. J. Clin. Periodontol. 2016, 43, 940–947. [Google Scholar] [CrossRef]
- Wong, L.B.; Yap, A.U.; Allen, P.F. Periodontal disease and quality of life: Umbrella review of systematic reviews. J. Periodontal Res. 2021, 56, 1–17. [Google Scholar] [CrossRef]
- Chen, C.; Feng, P.; Slots, J. Herpesvirus-bacteria synergistic interaction in periodontitis. Periodontology 2020, 82, 42–64. [Google Scholar] [CrossRef]
- Kramer, A.; Dissemond, J.; Kim, S.; Willy, C.; Mayer, D.; Papke, R.; Tuchmann, F.; Assadian, O. Consensus on Wound Antisepsis: Update 2018. Ski. Pharmacol. Physiol. 2018, 31, 28–58. [Google Scholar] [CrossRef] [PubMed]
- Slater, K.; Fullerton, F.; Cooke, M.; Snell, S.; Rickard, C.M. Needleless connector drying time-how long does it take? Am. J. Infect. Control 2018, 46, 1080–1081. [Google Scholar] [CrossRef] [PubMed]
- Slater, K.; Cooke, M.; Fullerton, F.; Whitby, M.; Hay, J.; Lingard, S.; Douglas, J.; Rickard, C.M. Peripheral intravenous catheter needleless connector decontamination study-Randomized controlled trial. Am. J. Infect. Control 2020, 48, 1013–1018. [Google Scholar] [CrossRef] [PubMed]
- Fleischer, H.C.; Mellonig, J.T.; Brayer, W.K.; Gray, J.L.; Barnett, J.D. Scaling and root planing efficacy in multirooted teeth. J. Periodontol. 1989, 60, 402–409. [Google Scholar] [CrossRef] [PubMed]
- Rams, T.E.; Slots, J. Antimicrobial Chemotherapy for Recalcitrant Severe Human Periodontitis. Antibiotics 2023, 12, 265. [Google Scholar] [CrossRef]
- Sahrmann, P.; Imfeld, T.; Ronay, V.; Attin, T.; Schmidlin, P.R. Povidone-iodine gel and solution as adjunct to ultrasonic debridement in nonsurgical periodontitis treatment: An RCT pilot study. Quintessence Int. 2014, 45, 281–290. [Google Scholar] [CrossRef] [PubMed]
- Al-Saeed, M.Y.; Babay, N. The use of povidone-iodine and hydrogen peroxide mixture as an adjunct to non-surgical treatment of slight to moderate chronic periodontitis. Saudi Dent. J. 2009, 21, 127–133. [Google Scholar] [CrossRef] [PubMed]
- Rosling, B.; Hellström, M.K.; Ramberg, P.; Socransky, S.S.; Lindhe, J. The use of PVP-iodine as an adjunct to non-surgical treatment of chronic periodontitis. J. Clin. Periodontol. 2001, 28, 1023–1031. [Google Scholar] [CrossRef] [PubMed]
- Del Peloso Ribeiro, E.; Bittencourt, S.; Ambrosano, G.M.; Nociti, F.H., Jr.; Sallum, E.A.; Sallum, A.W.; Casati, M.Z. Povidone-iodine used as an adjunct to non-surgical treatment of furcation involvements. J. Periodontol. 2006, 77, 211–217. [Google Scholar] [CrossRef] [PubMed]
- Stein, J.M.; Hammächer, C.; Said-Yekta Michael, S. Combination of Ultrasonic Decontamination, Soft Tissue Curettage and Submucosal Air Polishing with Povidone-Iodine Application for Non-Surgical Therapy of Peri-Implantitis: 12 Months Clinical Outcomes. J. Periodontol. 2017, 89, 139–147. [Google Scholar] [CrossRef] [PubMed]
- Zanatta, G.M.; Bittencourt, S.; Nociti, F.H., Jr.; Sallum, E.A.; Sallum, A.W.; Casati, M.Z. Periodontal debridement with povidone-iodine in periodontal treatment: Short-term clinical and biochemical observations. J. Periodontol. 2006, 77, 498–505. [Google Scholar] [CrossRef] [PubMed]
- Teughels, W.; Feres, M.; Oud, V.; Martín, C.; Matesanz, P.; Herrera, D. Adjunctive effect of systemic antimicrobials in periodontitis therapy: A systematic review and meta-analysis. J. Clin. Periodontol. 2020, 47 (Suppl. S22), 257–281. [Google Scholar] [CrossRef]
- Denez, E.M.; Toma, S.; Lasserre, J.F.; Brecx, M.C. Evaluation of a unique subgingival irrigation with 10% povidone-iodine after scaling and root planing: A randomized clinical trial. Quintessence Int. 2016, 47, 549–558. [Google Scholar] [CrossRef]
- Hoang, T.; Jorgensen, M.G.; Keim, R.G.; Pattison, A.M.; Slots, J. Povidone-iodine as a periodontal pocket disinfectant. J. Periodontal Res. 2003, 38, 311–317. [Google Scholar] [CrossRef] [PubMed]
- Cosgarea, R.; Jepsen, S.; Heumann, C.; Batori-Andronescu, I.; Rosu, A.; Bora, R.; Arweiler, N.B.; Eick, S.; Sculean, A. Clinical, microbiological, and immunological effects of 3- or 7-day systemic antibiotics adjunctive to subgingival instrumentation in patients with aggressive (Stage III/IV Grade C) periodontitis: A randomized placebo-controlled clinical trial. J. Clin. Periodontol. 2022, 49, 1106–1120. [Google Scholar] [CrossRef] [PubMed]
- Kapila, Y.L. Oral health’s inextricable connection to systemic health: Special populations bring to bear multimodal relationships and factors connecting periodontal disease to systemic diseases and conditions. Periodontology 2021, 87, 11–16. [Google Scholar] [CrossRef] [PubMed]



| Variables | Control (n = 23) | Test (n = 22) | p-Value * |
|---|---|---|---|
| Age, years (mean ± SD) | 48.3 ± 9.1 | 43.2 ± 8.7 | 0.061 t |
| Age range | 34–71 | 33–63 | - |
| Sex (n%) | 0.180 | ||
| Men | 14 (61%) | 9 (41%) | |
| Women | 9 (39%) | 13 (59%) |
| Variables | Baseline Measurements (Intergroup Comparison) | 3-Month Measurements (Intergroup Comparison) | ||||
|---|---|---|---|---|---|---|
| Control (n = 23) | Test (n = 22) | p-Value * | Control (n = 23) | Test (n = 22) | p-Value * | |
| PPD (mm), mean ± SD | 4.52 ± 0.71 | 4.70 ± 1.09 | 0.513 t | 3.53 ± 0.79 | 3.60 ± 0.86 | 0.777 t |
| CAL (mm), mean ± SD | −5.31 ± 0.81 | −7.12 ± 8.12 | 0.293 t | −4.50 ± 0.81 | −4.61 ± 1.13 | 0.708 t |
| FMPS (%) | 22.13 ± 24.96 | 21.11 ± 28.21 | 0.898 t | 11.96 ± 18.95 | 11.73 ± 21.63 | 0.969 t |
| BOP (%) | 58.17 ± 29.94 | 57.64 ± 23.08 | 0.947 t | 16.57 ± 9.75 | 21.23 ± 21.10 | 0.343 t |
| Aa | 0.387 | 0.224 | ||||
| Undetectable | 14 (61%) | 16 (73%) | 16 (70%) | 19 (86%) | ||
| Mild Detection | 1 (4%) | 0 (0%) | 1 (4%) | 2 (9%) | ||
| Moderate Detection | 4 (17%) | 1 (5%) | 4 (17%) | 1 (5%) | ||
| High Detection | 4 (17%) | 5 (23%) | 1 (4%) | 0 (0%) | ||
| Pg | 0.384 | 0.021 | ||||
| Undetectable | 7 (30%) | 5 (23%) | 10 (43%) | 19 (86%) | ||
| Mild Detection | 1 (4%) | 2 (9%) | 5 (22%) | 2 (9%) | ||
| Moderate Detection | 12 (52%) | 8 (36%) | 5 (22%) | 1 (5%) | ||
| High Detection | 3 (13%) | 7 (32%) | 3 (13%) | 0 (0%) | ||
| Pi | 0.432 | 0.166 | ||||
| Undetectable | 14 (61%) | 12 (55%) | 16 (70%) | 15 (68%) | ||
| Mild Detection | 4 (17%) | 5 (23%) | 4 (17%) | 5 (23%) | ||
| Moderate Detection | 5 (22%) | 3 (14%) | 3 (13%) | 2 (9%) | ||
| High Detection | 0 (0%) | 2 (9%) | 0 (0%) | 0 (0%) | ||
| Tf | 0.865 | <0.0001 | ||||
| Undetectable | 2 (9%) | 2 (9%) | 4 (17%) | 14 (64%) | ||
| Mild Detection | 1 (4%) | 2 (9%) | 5 (22%) | 3 (14%) | ||
| Moderate Detection | 4 (17%) | 5 (23%) | 3 (13%) | 5 (23%) | ||
| High Detection | 16 (70%) | 13 (59%) | 9 (39%) | 0 (0%) | ||
| Td | 0.531 | 3.53 ± 0.79 | 3.60 ± 0.86 | <0.0001 | ||
| Undetectable | 5 (22%) | 5 (23%) | −4.50 ± 0.81 | −4.61 ± 1.13 | ||
| Mild Detection | 10 (43%) | 6 (27%) | 11.96 ± 18.95 | 11.73 ± 21.63 | ||
| Moderate Detection | 8 (35%) | 10 (45%) | 16.57 ± 9.75 | 21.23 ± 21.10 | ||
| High Detection | 0 (0%) | 1 (5%) | ||||
| Variables | Baseline | 3 Months | p-Value * |
|---|---|---|---|
| Group 1 (n = 23) | |||
| PPD (mm), median (IQR) | 4.5 (4.0–5.05) | 3.3 (3.0–4.0) | <0.0001 |
| CAL (mm), median (IQR) | −5.3 (4.85–6.0) | −4.5 (3.8–5.0) | <0.0001 |
| FMPS (%), median (IQR) | 15.0 (0.1–34.5) | 7.0 (0.1–13.0) | 0.036 |
| BOP (%), median (IQR) | 63.0 (29.5–77.5) | 15.0 (12.0–20.0) | <0.0001 |
| Group 2 (n = 22) | |||
| PPD (mm), median (IQR) | 4.5 (3.9–4.97) | 3.3 (3.1–3.77) | 0.0005 |
| CAL (mm), median (IQR) | −5.3 (4.55–6.0) | −4.3 (4.0–5.45) | 0.158 |
| FMPS (%), median (IQR) | 7.5 (0.1–34.0) | 5.5 (0.1–12.5) | 0.218 |
| BOP (%), median (IQR) | 54.5 (42.7–67.0) | 16.5 (10.5–22.0) | <0.0001 |
| Variables (Mean ± SD) | Control (n = 23) | Test (n = 22) | p-Value * |
|---|---|---|---|
| ΔPPD (mm) | 0.99 ± 0.43 | 1.10 ± 0.80 | 0.531 |
| ΔCAL (mm) | 0.81 ± 0.31 | 2.51 ± 3.26 | 0.016 |
| ΔFMPS (%) | 10.17 ± 11.90 | 9.38 ± 15.79 | 0.850 |
| ΔBOP (%) | 41.61 ± 19.81 | 36.41 ± 18.07 | 0.363 |
| Variables | Control (n = 23) | Test (n = 22) | p-Value * |
|---|---|---|---|
| Aa | 0.382 | ||
| Higher detection | 4 (17.39%) | 1 (4.55%) | |
| Lower detection | 6 (26.09%) | 6 (27.27%) | |
| No change | 13 (56.52%) | 15 (68.18%) | |
| Pg | 0.034 | ||
| Higher detection | 3 (13.04%) | 1 (4.55%) | |
| Lower detection | 9 (39.13%) | 17 (77.27%) | |
| No change | 11 (47.83%) | 4 (18.18%) | |
| Pi | 0.764 | ||
| Higher detection | 5 (21.74%) | 3 (13.64%) | |
| Lower detection | 8 (34.78%) | 9 (40.91%) | |
| No change | 10 (43.48%) | 10 (45.45%) | |
| Tf | 0.019 | ||
| Higher detection | 5 (21.74%) | 2 (9.09%) | |
| Lower detection | 11 (47.83%) | 19 (86.36%) | |
| No change | 7 (30.43%) | 1 (4.55%) | |
| Td | 0.040 | ||
| Higher detection | 4 (17.39%) | 2 (9.09%) | |
| Lower detection | 6 (26.09%) | 14 (63.64%) | |
| No change | 13 (56.52%) | 6 (27.27%) |
| Variables | Control Group Variation (Min–Max (Median)) | Test Group Variation (Min–Max (Median)) | p-Value * |
|---|---|---|---|
| Aa | −4.0–4.0 (0.0) | −4.0–2.0 (0.0) | 0.368 |
| Pg | −3.0–3.0 (0.0) | −3.0–2.0 (−2.0) | 0.004 |
| Pi | −2.0–2.0 (0.0) | −2.0–2.0 (0.0) | 0.532 |
| Td | −2.0–1.0 (0.0) | −3.0–1.0 (−1.0) | 0.009 |
| Tf | −3.0–2.0 (0.0) | −4.0–2.0 (−2.0) | 0.016 |
| Variables | Median | IQR | Mean | SD |
|---|---|---|---|---|
| Unpleasant taste perception | 6 | 2 | 6.33 | 1.2 |
| Tolerance during use | 7 | 1 | 6.52 | 1.21 |
| Tooth staining intensity after 3 months | 4 | 1 | 3.62 | 0.8 |
| Dry mouth sensation intensity | 5 | 1 | 4.5 | 0.89 |
| Ease of solution preparation | 5 | 0 | 4.9 | 0.31 |
| Changes in taste after use | 3 | 1.25 | 2.8 | 1.2 |
| Economic impact | 1 | 0 | 1 | 0 |
| Mucosal irritation | 1 | 1 | 1.55 | 1 |
| Long-term negative effects | 1 | 0 | 1.35 | 0.93 |
| Teeth felt cleaner after rinsing | 5 | 1 | 4.55 | 0.6 |
| Variables (Mean ± SD) | Men (n = 12) | Women (n = 10) | p-Value * |
|---|---|---|---|
| Unpleasant taste perception | 6.25 ± 1.29 | 6.44 ± 1.13 | 0.720 |
| Tolerance during use | 6.42 ± 1.38 | 6.67 ± 1.00 | 0.638 |
| Tooth staining intensity after 3 months | 3.83 ± 0.83 | 3.33 ± 0.71 | 0.149 |
| Dry mouth sensation intensity | 4.45 ± 0.93 | 4.56 ± 0.88 | 0.780 |
| Ease of solution preparation | 4.91 ± 0.30 | 4.89 ± 0.33 | 0.883 |
| Changes in taste after use | 3.00 ± 1.18 | 2.56 ± 1.24 | 0.402 |
| Economic impact | 1.00 ± 0.00 | 1.00 ± 0.00 | - |
| Mucosal irritation | 1.64 ± 1.21 | 1.44 ± 0.73 | 0.652 |
| Long-term negative effects | 1.45 ± 1.21 | 1.22 ± 0.44 | 0.575 |
| Teeth felt cleaner after rinsing | 4.45 ± 0.69 | 4.67 ± 0.50 | 0.411 |
| Variables (Mean ± SD) | Younger (n = 8) | Older (n = 14) | p-Value * |
|---|---|---|---|
| Unpleasant taste perception | 7.00 ± 1.07 | 5.92 ± 1.12 | 0.038 |
| Tolerance during use | 7.25 ± 0.71 | 6.08 ± 1.26 | 0.026 |
| Tooth staining intensity after 3 months | 3.50 ± 0.93 | 3.69 ± 0.75 | 0.605 |
| Dry mouth sensation intensity | 4.38 ± 0.92 | 4.58 ± 0.90 | 0.624 |
| Ease of solution preparation | 4.75 ± 0.46 | 5.00 ± 0.10 | 0.607 |
| Changes in taste after use | 3.50 ± 1.20 | 2.33 ± 0.98 | 0.021 |
| Economic impact | 1.00 ± 0.00 | 1.00 ± 0.00 | - |
| Mucosal irritation | 1.62 ± 1.41 | 1.50 ± 0.67 | 0.788 |
| Long-term negative effects | 1.52 ± 1.33 | 1.17 ± 0.39 | 0.362 |
| Teeth felt cleaner after rinsing | 4.25 ± 0.71 | 4.75 ± 0.45 | 0.055 |
Disclaimer/Publisher’s Note: The statements, opinions and data contained in all publications are solely those of the individual author(s) and contributor(s) and not of MDPI and/or the editor(s). MDPI and/or the editor(s) disclaim responsibility for any injury to people or property resulting from any ideas, methods, instructions or products referred to in the content. |
© 2024 by the authors. Licensee MDPI, Basel, Switzerland. This article is an open access article distributed under the terms and conditions of the Creative Commons Attribution (CC BY) license (https://creativecommons.org/licenses/by/4.0/).
Share and Cite
Kardaras, G.; Christodorescu, R.; Boariu, M.; Rusu, D.; Belova, A.; Chinnici, S.; Vela, O.; Radulescu, V.; Boia, S.; Stratul, S.-I. A Low-Cost Protocol Using the Adjunctive Action of Povidone–Iodine Irrigations and Sodium Hypochlorite Rinsing Solution in Step 2 of Periodontal Therapy for Patients with Stage III–IV Periodontitis: A Single-Blind, Randomized Controlled Trial. Dent. J. 2024, 12, 144. https://doi.org/10.3390/dj12050144
Kardaras G, Christodorescu R, Boariu M, Rusu D, Belova A, Chinnici S, Vela O, Radulescu V, Boia S, Stratul S-I. A Low-Cost Protocol Using the Adjunctive Action of Povidone–Iodine Irrigations and Sodium Hypochlorite Rinsing Solution in Step 2 of Periodontal Therapy for Patients with Stage III–IV Periodontitis: A Single-Blind, Randomized Controlled Trial. Dentistry Journal. 2024; 12(5):144. https://doi.org/10.3390/dj12050144
Chicago/Turabian StyleKardaras, Georgios, Ruxandra Christodorescu, Marius Boariu, Darian Rusu, Alla Belova, Salvatore Chinnici, Octavia Vela, Viorelia Radulescu, Simina Boia, and Stefan-Ioan Stratul. 2024. "A Low-Cost Protocol Using the Adjunctive Action of Povidone–Iodine Irrigations and Sodium Hypochlorite Rinsing Solution in Step 2 of Periodontal Therapy for Patients with Stage III–IV Periodontitis: A Single-Blind, Randomized Controlled Trial" Dentistry Journal 12, no. 5: 144. https://doi.org/10.3390/dj12050144
APA StyleKardaras, G., Christodorescu, R., Boariu, M., Rusu, D., Belova, A., Chinnici, S., Vela, O., Radulescu, V., Boia, S., & Stratul, S.-I. (2024). A Low-Cost Protocol Using the Adjunctive Action of Povidone–Iodine Irrigations and Sodium Hypochlorite Rinsing Solution in Step 2 of Periodontal Therapy for Patients with Stage III–IV Periodontitis: A Single-Blind, Randomized Controlled Trial. Dentistry Journal, 12(5), 144. https://doi.org/10.3390/dj12050144

