Chiral Transition Metal Complexes Featuring Limonene-Derived Ligands: Roles in Catalysis and Biology
Abstract
1. Introduction
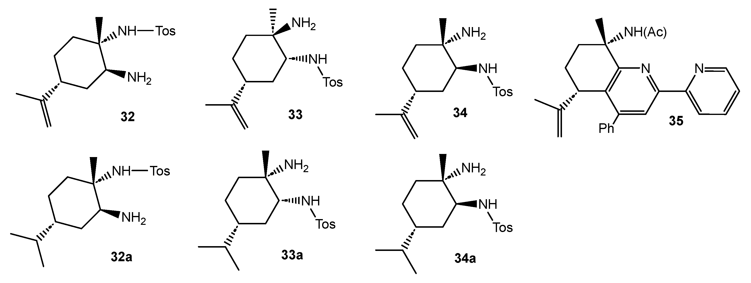
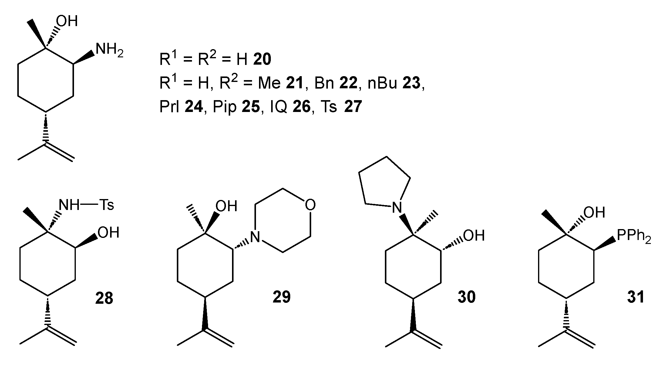
2. Limonene-Derived Ligands Precursors
3. Transition Metal Complexes Containing Limonene-Derived Ligands
3.1. Titanium Compounds
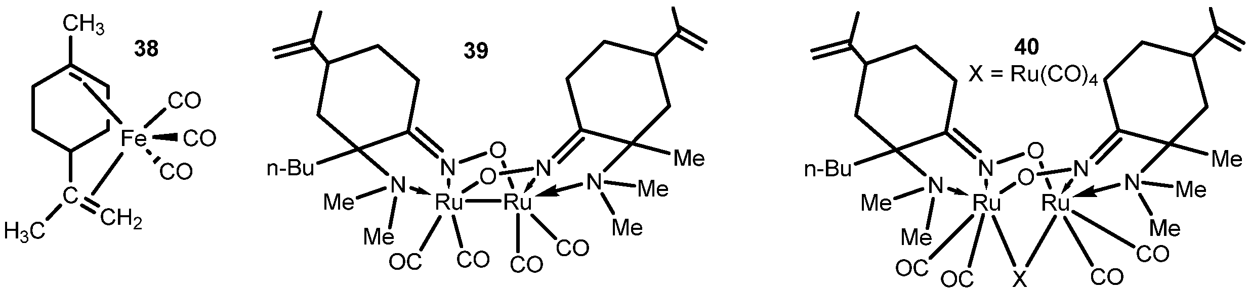
3.2. Iron and Ruthenium Compounds
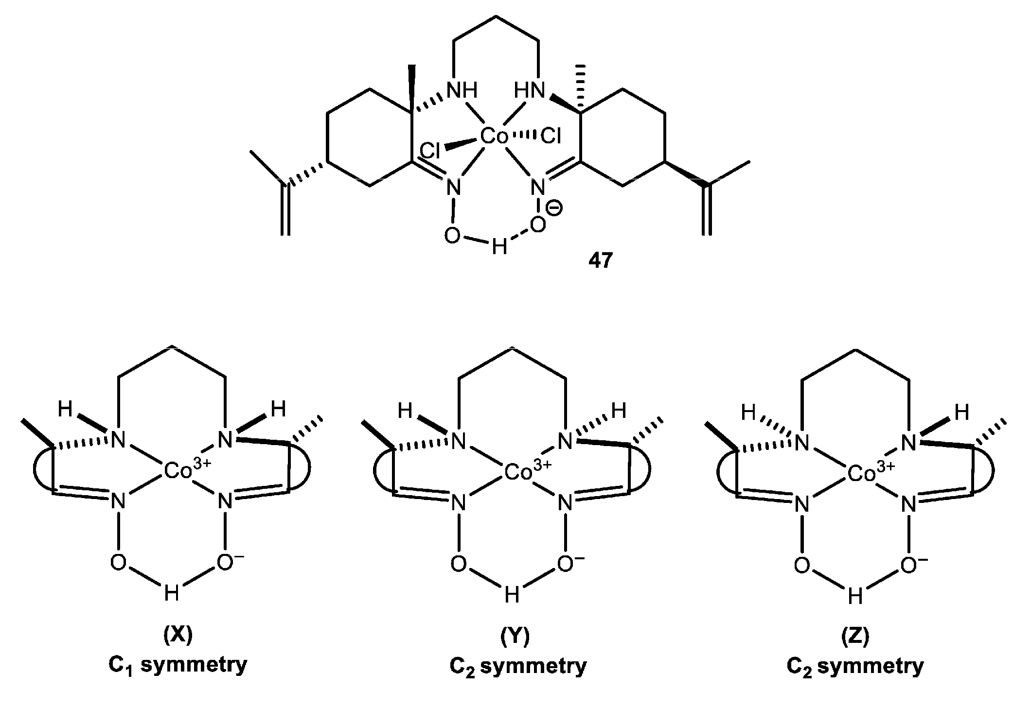
3.3. Cobalt Compounds
3.4. Nickel, Palladium, and Platinum Compounds
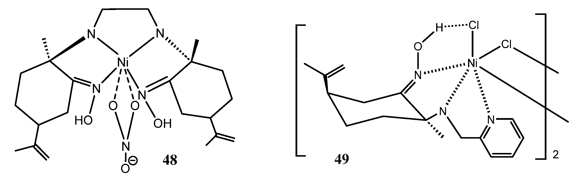
3.4.1. Nickel
3.4.2. Palladium and Platinum
3.5. Copper Compounds
3.6. Zinc and Cadmium Compounds
4. Conclusions
Funding
Data Availability Statement
Conflicts of Interest
References
- Arroo, R. Terpenes—Flavors, Fragrances, Pharmaca, Pheromones. Appl. Organomet. Chem. 2007, 21, 377. [Google Scholar] [CrossRef]
- Diaz-Muñoz, G.; Miranda, I.L.; Sartori, S.K.; de Rezende, D.C.; Diaz, M.A.N. Use of Chiral Auxiliaries in the Asymmetric Synthesis of Biologically Active Compounds: A Review. Chirality 2019, 31, 776–812. [Google Scholar] [CrossRef] [PubMed]
- Wiles, D.; Pearson, J.S.; Beddoe, T. Harnessing Plant-Derived Terpenoids for Novel Approaches in Combating Bacterial and Parasite Infections in Veterinary and Agricultural Settings. Curr. Microbiol. 2025, 82, 134. [Google Scholar] [CrossRef] [PubMed]
- Stanková, J.; Jurášek, M.; Hajdúch, M.; Džubák, P. Terpenes and Terpenoids Conjugated with BODIPYs: An Overview of Biological and Chemical Properties. J. Nat. Prod. 2024, 87, 1306–1319. [Google Scholar] [CrossRef] [PubMed]
- Guimarães, A.C.; Meireles, L.M.; Lemos, M.F.; Guimarães, M.C.C.; Endringer, D.C.; Fronza, M.; Scherer, R. Antibacterial Activity of Terpenes and Terpenoids Present in Essential Oils. Molecules 2019, 24, 2471. [Google Scholar] [CrossRef]
- El Fannassi, Y.; Gharsallaoui, A.; Khelissa, S.; El Amrani, M.A.; Suisse, I.; Sauthier, M.; Jama, C.; Boudra, S.; Chihib, N.-E. Complexation of Terpenes for the Production of New Antimicrobial and Antibiofilm Molecules and Their Encapsulation in Order to Improve Their Activities. Appl. Sci. 2023, 13, 9854. [Google Scholar] [CrossRef]
- Brill, Z.G.; Condakes, M.L.; Ting, C.P.; Maimone, T.J. Navigating the Chiral Pool in the Total Synthesis of Complex Terpene Natural Products. Chem. Rev. 2017, 117, 11753–11795. [Google Scholar] [CrossRef]
- Hanssens, J.; Meneses, D.; Saya, J.M.; Orru, R.V.A. Terpenes and Terpenoids: How Can We Use Them? Eur. J. Org. Chem. 2025, 28, e202401151. [Google Scholar] [CrossRef]
- Rude, M.A.; Schirmer, A. New Microbial Fuels: A Biotech Perspective. Curr. Opin. Microbiol. 2009, 12, 274–281. [Google Scholar] [CrossRef]
- Maimone, T.J.; Baran, P.S. Modern Synthetic Efforts toward Biologically Active Terpenes. Nat. Chem. Biol. 2007, 3, 396–407. [Google Scholar] [CrossRef]
- El Alami, M.S.I.; El Amrani, M.A.; Agbossou-Niedercorn, F.; Suisse, I.; Mortreux, A. Chiral Ligands Derived from Monoterpenes: Application in the Synthesis of Optically Pure Secondary Alcohols via Asymmetric Catalysis. Chem. Eur. J. 2015, 21, 1398–1413. [Google Scholar] [CrossRef]
- Blaser, H.U. The Chiral Pool as a Source of Enantioselective Catalysts and Auxiliaries. Chem. Rev. 1992, 92, 935–952. [Google Scholar] [CrossRef]
- Larionov, S.V. Metal Complexes with New Types of Chiral Ligands Based on Natural Terpenes. Russ. J. Coord. Chem. 2012, 38, 1–23. [Google Scholar] [CrossRef]
- Zalevskaya, O.A.; Gur’eva, Y.A.; Kutchin, A.V. Terpene Ligands in the Coordination Chemistry: Synthesis of Metal Complexes, Stereochemistry, Catalytic Properties and Biological Activity. Russ. Chem. Rev. 2019, 88, 979–1012. [Google Scholar] [CrossRef]
- Ciriminna, R.; Lomeli-Rodriguez, M.; Demma Carà, P.; Lopez-Sanchez, J.A.; Pagliaro, M. Limonene: A Versatile Chemical of the Bioeconomy. Chem. Commun. 2014, 50, 15288–15296. [Google Scholar] [CrossRef] [PubMed]
- Gowenlock, B.G.; Richter-Addo, G.B. Preparations of C-Nitroso Compounds. Chem. Rev. 2004, 104, 3315–3340. [Google Scholar] [CrossRef] [PubMed]
- Tkachev, A.V.; Rukavishnikov, A.V.; Chibiryaev, A.M.; Denisov, A.Y.; Gatilov, Y.V.; Bagryanskaya, I.Y. Stereochemistry of α-Amino Oximes From the Monoterpene Hydrocarbons Car-3-Ene, Limonene and α-Pinene. Aust. J. Chem. 1992, 45, 1077–1086. [Google Scholar] [CrossRef]
- Carman, R.M.; Mathew, P.C.; Saraswathi, G.N.; Singaram, B.; Verghese, J. Amino Oximes from P-Menth-1-Ene, Limonene and α-Pinene. Aust. J. Chem. 1977, 30, 1323–1335. [Google Scholar] [CrossRef]
- Brecknell, D.; Carman, R.; Singaram, B.; Verghese, J. Sylvestrene Nitrosochloride and Derived Amino Oximes. Aust. J. Chem. 1977, 30, 195. [Google Scholar] [CrossRef]
- Kokina, T.E.; Glinskaya, L.A.; Klevtsova, R.F.; Boguslavskii, E.G.; Sheludyakova, L.A.; Bisyaev, S.N.; Tkachev, A.V.; Larionov, S.V. Synthesis and Properties of the Cu(II) Complexes with Chiral Bis{(E)-[(1S,4R)-Δ7,8-1-Amino-2-Para-Menthalidene]Aminohydroxy}methane (L—A Derivative of Natural Terpenoid (R)-(+)-Limonene). Crystal Structure of the [Cu(L)(μ-Cl)CuCl3] · Iso-PrOH Solvate. Russ. J. Coord. Chem. 2009, 35, 200–209. [Google Scholar] [CrossRef]
- Shabalina, I.Y.; Kirin, V.P.; Maksakov, V.A.; Virovets, A.V.; Golovin, A.V.; Agafontsev, A.M.; Tkachev, A.V. Novel Carbonyl Complexes of Ruthenium with α-Substituted Oxime Derivatives of Terpenes. Russ. J. Coord. Chem. Khimiya 2008, 34, 286–294. [Google Scholar] [CrossRef]
- Ibn El Alami, M.S.; El Amrani, M.A.; Dahdouh, A.; Roussel, P.; Suisse, I.; Mortreux, A. α-Amino-Oximes Based on Optically Pure Limonene: A New Ligands Family for Ruthenium-Catalyzed Asymmetric Transfer Hydrogenation. Chirality 2012, 24, 675–682. [Google Scholar] [CrossRef] [PubMed]
- Chandran, N.; Bose, K.; Thekkantavida, A.C.; Thomas, R.R.; Anirudhan, K.; Bindra, S.; Sura, S.; Hasan, H.A.; Kumar, S.; Rangarajan, T.M.; et al. Oxime Derivatives: A Valid Pharmacophore in Medicinal Chemistry. ChemistrySelect 2024, 9, e202401726. [Google Scholar] [CrossRef]
- Motaleb, M.A.; Selim, A.A. Dioximes: Synthesis and Biomedical Applications. Bioorg. Chem. 2019, 82, 145–155. [Google Scholar] [CrossRef] [PubMed]
- Huang, H.; Cai, J.; Deng, G.-J. O-Acyl Oximes: Versatile Building Blocks for N-Heterocycle Formation in Recent Transition Metal Catalysis. Org. Biomol. Chem. 2016, 14, 1519–1530. [Google Scholar] [CrossRef]
- Kölmel, D.K.; Kool, E.T. Oximes and Hydrazones in Bioconjugation: Mechanism and Catalysis. Chem. Rev. 2017, 117, 10358–10376. [Google Scholar] [CrossRef]
- Kukushkin, V.Y.; Tudela, D.; Pombeiro, A.J.L. Metal-Ion Assisted Reactions of Oximes and Reactivity of Oxime-Containing Metal Complexes. Coord. Chem. Rev. 1996, 156, 333–362. [Google Scholar] [CrossRef]
- Lada, Z.G.; Polyzou, C.D.; Nika, V.; Stamatatos, T.C.; Konidaris, K.F.; Perlepes, S.P. Adventures in the Coordination Chemistry of 2-Pyridyl Oximes: On the Way to 3d/4f-Metal Coordination Clusters. Inorg. Chim. Acta 2022, 539, 120954. [Google Scholar] [CrossRef]
- Chaudhuri, P. Homo- and Hetero-Polymetallic Exchange Coupled Metal-Oximates. Coord. Chem. Rev. 2003, 243, 143–190. [Google Scholar] [CrossRef]
- Benabdelouahab, Y.; Muñoz-Moreno, L.; Frik, M.; de la Cueva-Alique, I.; El Amrani, M.A.; Contel, M.; Bajo, A.M.; Cuenca, T.; Royo, E. Hydrogen Bonding and Anticancer Properties of Water-Soluble Chiral p -Cymene Ru II Compounds with Amino-Oxime Ligands. Eur. J. Inorg. Chem. 2015, 13, 2295–2307. [Google Scholar] [CrossRef]
- Kokina, T.E.; Ustimenko, Y.P.; Rakhmanova, M.I.; Sheludyakova, L.A.; Agafontsev, A.M.; Plyusnin, P.E.; Tkachev, A.V.; Larionov, S.V. Luminescent Complexes of Zn(II) and Cd(II) with Chiral Ligands Containing 1,10-Phenanthroline and Natural Monoterpenoids (+)-3-Carene or (+)-Limonene Fragments. Russ. J. Gen. Chem. 2019, 89, 87–95. [Google Scholar] [CrossRef]
- Kokina, T.E.; Rakhmanova, M.I.; Shekhovtsov, N.A.; Glinskaya, L.A.; Komarov, V.Y.; Agafontsev, A.M.; Baranov, A.Y.; Plyusnin, P.E.; Sheludyakova, L.A.; Tkachev, A.V.; et al. Luminescent Zn(Ii) and Cd(Ii) Complexes with Chiral 2,2′-Bipyridine Ligands Bearing Natural Monoterpene Groups: Synthesis, Speciation in Solution and Photophysics. Dalton Trans. 2020, 49, 7552–7563. [Google Scholar] [CrossRef] [PubMed]
- Kokina, T.E.; Agafontsev, A.M.; Shekhovtsov, N.A.; Glinskaya, L.A.; Sizintseva, K.D.; Rakhmanova, M.I.; Golubeva, Y.A.; Klyushova, L.S.; Tkachev, A.V.; Bushuev, M.B. Copper(II), Zinc(II) and Cadmium(II) Complexes with the O-Picolyl Ether of Chiral α-Aminooxime of Natural (+)-Limonene: Synthesis, Structures, Luminescence and Cytotoxicity. Inorg. Chem. Commun. 2024, 170, 113381. [Google Scholar] [CrossRef]
- Savel’eva, Z.A.; Bizyaev, S.N.; Glinskaya, L.A.; Klevtsova, R.F.; Tkachev, A.V.; Larionov, S.V. Ni(II) Complexes with Optically Active Bis(Menthane), Pinano-Para-Menthane Ethylenediaminodioximes and Pinano-Para-Menthane, Bis(Pinane) Propylenediaminodioximes: Synthesis, Structures, and Properties. Russ. J. Coord. Chem. 2006, 32, 723–732. [Google Scholar] [CrossRef]
- Larionov, S.V.; Tkachev, A.V.; Savel’eva, Z.A.; Myachina, L.I.; Glinskaya, L.A.; Klevtsova, R.F.; Bizyaev, S.N. Co(III) Complexes with Optically Active Bis(Menthane), Pinano-Para-Menthane, Carano-Para-Menthane, and Bis(Carane) Propylenediaminodioximes. Russ. J. Coord. Chem. 2006, 32, 250–260. [Google Scholar] [CrossRef]
- Savel’eva, Z.A.; Tkachev, A.V.; Glinskaya, L.A.; Bizyaev, S.N.; Klevtsova, R.F.; Larionov, S.V. Synthesis of Binuclear Complexes of PdCl2 with Chiral Ethylenediamine Dioxime (H2L1), Piperazine Dioxime (H2L2), and Propylenediamine Dioxime (H2L3), the Derivatives of the Natural Monoterpenoid (R)-(+)-Limonene. The Crystal Structures of [Pd2(H2L1)Cl4]. Russ. J. Coord. Chem. 2009, 35, 128–135. [Google Scholar] [CrossRef]
- Larionov, S.V.; Tkachev, A.V.; Myachina, L.I.; Savel’eva, Z.A.; Glinskaya, L.A.; Klevtsova, R.F.; Agafontsev, A.M.; Bizyaev, S.N. Synthesis of Binuclear Complexes of PdCl2 with Chiral α,A′-Diamino-Meta-Xylene Dioximes H2L1, H2L2, and H2L3, the Derivatives of the Terpenes (+)-3-Carene, (R)-(+)-Limonene, and (S)-(−)-α-Pinene. Crystal Structure of [Pd2(H2L1)Cl4]. Russ. J. Coord. Chem. 2009, 35, 286–295. [Google Scholar] [CrossRef]
- Kokina, T.E.; Tkachev, A.V.; Myachina, L.I.; Bizyaev, S.N.; Sheludyakova, L.A.; Glinskaya, L.A.; Korol’kov, I.V.; Boguslavskii, E.G.; Larionov, S.V. Synthesis and Structure of Palladium(II) and Copper(II) Complexes with Chiral Bis-α-Aminooximes Containing (+)-3-Carene or (+)-Limonene Fragments and 4,4′-Methylenedianiline Linker. Crystal Structure of the Complex [Cu(i-PrOH)Cl2(μ-H2L3)CuCl2·H2O]. Russ. J. Gen. Chem. 2013, 83, 336–347. [Google Scholar] [CrossRef]
- Steiner, D.; Sethofer, S.G.; Goralski, C.T.; Singaram, B. Asymmetric Addition of Diethylzinc to Aldehydes Catalyzed by β-Amino Alcohols Derived from Limonene Oxide. Tetrahedron Asymmetry 2002, 13, 1477–1483. [Google Scholar] [CrossRef]
- Watts, C.C.; Thoniyot, P.; Hirayama, L.C.; Romano, T.; Singaram, B. Enantioselective Alkynylations of Aromatic and Aliphatic Aldehydes Catalyzed by Terpene Derived Chiral Amino Alcohols. Tetrahedron Asymmetry 2005, 16, 1829–1835. [Google Scholar] [CrossRef]
- Muller, G.; Sainz, D. Synthesis of Monohydroxy -Methyl- and -Ethyl-Phosphines PPh2CHROH. J. Organomet. Chem. 1995, 495, 103–111. [Google Scholar] [CrossRef]
- Roszkowski, P.; Maurin, J.K.; Czarnocki, Z. Novel (R)-(+)-Limonene-Derived Ligands: Synthesis and Application in Asymmetric Transfer Hydrogenations. Tetrahedron Asymmetry 2012, 23, 1106–1110. [Google Scholar] [CrossRef]
- Roszkowski, P.; Maurin, J.K.; Czarnocki, Z. Synthesis of New Mono-N-Tosylated Diamine Ligands Based on (R)-(+)-Limonene and Their Application in Asymmetric Transfer Hydrogenation of Ketones and Imines. Tetrahedron Asymmetry 2013, 24, 643–650. [Google Scholar] [CrossRef]
- Matveev, Y.S.; Frolova, L.L.; Kataeva, N.A.; Kuchin, A.V. Chiral Derivatives of Titanium with Terpene Alcohols. Russ. J. Gen. Chem. 2007, 77, 1196–1203. [Google Scholar] [CrossRef]
- Kuchin, A.V.; Ashikhmina, E.V.; Rubtsova, S.A.; Dvornikova, I.A. Terpene Ligands as the Basis of Catalytic Systems for the Asymmetric Oxidation of Phenylphenacyl Sulfide. Russ. J. Bioorg. Chem. 2010, 36, 877–883. [Google Scholar] [CrossRef]
- Reviejo, I.; Vinueza, J.; Ramos, J.; Mosquera, M.E.G.; Tabernero, V.; Jiménez, G. Stereospecific Synthesis of Chiral Titanium Complexes Bearing a Bifunctionalized Cyclopentadienyl-Terpenoid Ligand Derived from α-Pinene. Organometallics 2021, 40, 3076–3086. [Google Scholar] [CrossRef]
- Reviejo, I.; Tabernero, V.; Mosquera, M.E.G.; Ramos, J.; Cuenca, T.; Jiménez, G. Chiral Titanium(IV) Complexes Containing Polydentate Ligands Based on α-Pinene. Catalytic Activity in Sulfoxidation with Hydrogen Peroxide. Organometallics 2018, 37, 3437–3449. [Google Scholar] [CrossRef]
- Carvalho, M.F.N.N.; Galvão, A.M.; Kredatusová, J.; Merna, J.; Pinheiro, P.F.; Margarida Salema, M. Synthesis and Catalytic Activity of Camphor Titanium Complexes. Inorg. Chim. Acta 2012, 383, 244–249. [Google Scholar] [CrossRef]
- De La Cueva-Alique, I.; Muñoz-Moreno, L.; Benabdelouahab, Y.; Elie, B.T.; El Amrani, M.A.; Mosquera, M.E.G.; Contel, M.; Bajo, A.M.; Cuenca, T.; Royo, E. Novel Enantiopure Cyclopentadienyl Ti(IV) Oximato Compounds as Potential Anticancer Agents. J. Inorg. Biochem. 2016, 156, 22–34. [Google Scholar] [CrossRef]
- De la Cueva-Alique, I.; Sierra, S.; Perez-Redondo, A.; Marzo, I.; Gude, L.; Cuenca, T.; Royo, E. Study of the Anticancer Properties of Optically Active Titanocene Oximato Compounds. J. Organomet. Chem. 2019, 881, 150–158. [Google Scholar] [CrossRef]
- Thewalt, U.; Friedrich, R. Cp 2 Ti IV-Komplexe Mit Oximatoliganden/Cp 2 Ti IV Complexes with Oximato Ligands. Z. Naturforsch. B 1991, 46, 475–482. [Google Scholar] [CrossRef]
- Thewalt, U. Cp2Ti,v-Komplexe Mit Oximatoliganden. Z. Naturforsch. 2015, 46b, 475–482. [Google Scholar]
- Davidson, M.G.; Johnson, A.L.; Jones, M.D.; Lunn, M.D.; Mahon, M.F. Titanium(IV) Complexes of Oximes—Novel Binding Modes. Polyhedron 2007, 26, 975–980. [Google Scholar] [CrossRef]
- Kukushkin, V.Y.; Pombeiro, A.J.L. Oxime and Oximate Metal Complexes: Unconventional Synthesis and Reactivity. Coord. Chem. Rev. 1999, 181, 147–175. [Google Scholar] [CrossRef]
- De la Cueva-Alique, I.; de la Torre-Rubio, E.; Munoz-Moreno, L.; Calvo-Jareno, A.; Perez-Redondo, A.; Gude, L.; Cuenca, T.; Royo, E. Stereoselective Synthesis of Oxime Containing Pd(II) Compounds: Highly Effective, Selective and Stereo-Regulated Cytotoxicity against Carcinogenic PC-3 Cells. Dalton Trans. 2022, 51, 12812–12828. [Google Scholar] [CrossRef] [PubMed]
- Von Zelewsky, A. Stereoselective Synthesis of Coordination Compounds. Coord. Chem. Rev. 1999, 190–192, 811–825. [Google Scholar] [CrossRef]
- Chahboun, G.; Brito, J.A.; Royo, B.; Amin El Amrani, M.; Gomez-Bengoa, E.; Mosquera, M.E.G.; Cuenca, T.; Royo, E. Olefin Epoxidation Catalyzed by Cis-Dioxdomolybdenum(VI) Complexes Containing Chiral Alkoxo-Imino Ligands Derived from (+)-Alpha-Pinene. Eur. J. Inorg. Chem. 2012, 17, 2940–2949. [Google Scholar] [CrossRef]
- Keppler, B.K. Metal Complexes in Cancer Chemotherapy; Wiley VCH: Weinheim, Germany, 1993. [Google Scholar]
- Barnes, K.R.; Lippard, S.J. Cisplatin and Related Anticancer Drugs: Recent Advances and Insights. In Metal Ions in Biological Systems, Volume 42: Metal Complexes in Tumor Diagnosis and as Anticancer Agents; Sigel, A., Sigel, H., Eds.; MIT Department of Chemistry: Cambridge, MA, USA, 2004; Volume 42, pp. 143–177. ISBN 0161-5149. [Google Scholar]
- Dowling, C.M.; Claffey, J.; Cuffe, S.; Fichtner, I.; Pampillon, C.; Sweeney, N.J.; Strohfeldt, K.; Watson, R.W.G.; Tacke, M. Antitumor Activity of Titanocene Y in Xenografted PC3 Tumors in Mice. Lett. Drug Des. Discov. 2008, 5, 141–144. [Google Scholar] [CrossRef]
- Fernández-Gallardo, J.; Elie, B.T.; Sadhukha, T.; Prabha, S.; Sanaú, M.; Rotenberg, S.A.; Ramos, J.W.; Contel, M.; Fernandez-Gallardo, J.; Elie, B.T.; et al. Heterometallic Titanium-Gold Complexes Inhibit Renal Cancer Cells in Vitro and in Vivo. Chem. Sci. 2015, 6, 5269–5283. [Google Scholar] [CrossRef]
- Demirel, N.; Dawor, M.; Nadler, G.; Ivlev, S.I.; Meggers, E. Stereogenic-at-Iron Mesoionic Carbene Complex for Enantioselective C–H Amidation. Chem. Sci. 2024, 15, 15625–15631. [Google Scholar] [CrossRef]
- He, H.; Zhang, S.; Chen, Z.; Wang, H.; Yu, X.; Li, X. Molecular Complexes, Supramolecular Architectures and Metallo-Polymers Based on Chiral Terpene-Fused 2,2′:6′,2′′-Terpyridines. Chem. Lett. 2023, 52, 370–380. [Google Scholar] [CrossRef]
- Ullah, S.S.; Molla, M.E.; Begum, N. Synthesis and Reaction of Limonenetricarbonyliron. Indian J. Chem. Sect. A 1984, 23, 992–994. [Google Scholar]
- Chen, J.; Lei, G.; Jin, Z.; Hu, L.; Wei, G. Studies on Olefin-Coordinating Transition Metal Carbene Complexes. 15. Novel Reaction of (Limonene)Tricarbonyliron with Nucleophiles: Synthesis, Spectra, and Crystal and Molecular Structure of Several Carbene and Isomerized Carbene Complexes Therefrom. Organometallics 1988, 7, 1652–1657. [Google Scholar] [CrossRef]
- Kirin, V.P.; Prikhod’Ko, I.Y.; Maksakov, V.A.; Virovets, A.V.; Agafontsev, A.M.; Golovin, B.A. Ruthenium Carbonyl Complexes with α-Substituted Oxime Derivatives of Terpenes as Ligands. Russ. Chem. Bull. 2009, 58, 1371–1382. [Google Scholar] [CrossRef]
- Cabeza, J.A.; del Río, I.; Riera, V.; Suárez, M.; Álvarez-Rúa, C.; García-Granda, S.; Chuang, S.H.; Hwu, J.R. Di- and Trinuclear Ruthenium and Osmium Bis(2-Pyridyl) Ketone Oximate Derivatives. Eur. J. Inorg. Chem. 2003, 2003, 4159–4165. [Google Scholar] [CrossRef]
- De la Cueva-Alique, I.; Sierra, S.; Muñoz-Moreno, L.; Pérez-Redondo, A.; Bajo, A.M.; Marzo, I.; Gude, L.; Cuenca, T.; Royo, E. Biological Evaluation of Water Soluble Arene Ru(II) Enantiomers with Amino-Oxime Ligands. J. Inorg. Biochem. 2018, 183, 32–42. [Google Scholar] [CrossRef]
- Elalami, M.S.I.; Dahdouh, A.A.; Mansour, A.I.; ElAmrani, M.A.; Suisse, I.; Mortreux, A.; Agbossou-Niedercorn, F. Synthesis of Chiral Bifunctional Ligands Based on α-Pinene and Their Use in Ruthenium Catalyzed Asymmetric Transfer Hydrogenation. Comptes Rendus Chim. 2009, 12, 1253–1258. [Google Scholar] [CrossRef]
- Everaere, K.; Mortreux, A.; Bulliard, M.; Brussee, J.; van der Gen, A.; Nowogrocki, G.; Carpentier, J.-F. (β-Amino Alcohol)(Arene)Ruthenium(II)-Catalyzed Asymmetric Transfer Hydrogenation of Functionalized Ketones—Scope, Isolation of the Catalytic Intermediates, and Deactivation Processes. Eur. J. Org. Chem. 2001, 2001, 275–291. [Google Scholar] [CrossRef]
- Noyori, R.; Hashiguchi, S. Asymmetric Transfer Hydrogenation Catalyzed by Chiral Ruthenium Complexes. Acc. Chem. Res. 1997, 30, 97–102. [Google Scholar] [CrossRef]
- Noyori, R. Asymmetric Catalysis in Organic Synthesis; Wiley CH-VCH Verlag GmbH: Weinheim, Germany, 1994; ISBN 978-0-471-57267-1. [Google Scholar]
- Sandoval, C.A.; Ohkuma, T.; Utsumi, N.; Tsutsumi, K.; Murata, K.; Noyori, R. Mechanism of Asymmetric Hydrogenation of Acetophenone Catalyzed by Chiral H6-Arene–N-Tosylethylenediamine–Ruthenium(II) Complexes. Chem. Asian J. 2006, 1, 102–110. [Google Scholar] [CrossRef]
- Noyori, R.; Yamakawa, M.; Hashiguchi, S. Metal−Ligand Bifunctional Catalysis: A Nonclassical Mechanism for Asymmetric Hydrogen Transfer between Alcohols and Carbonyl Compounds. J. Org. Chem. 2001, 66, 7931–7944. [Google Scholar] [CrossRef]
- Zassinovich, G.; del Bianco, C.; Mestroni, G. Enantioselective Transfer Hydrogenation Catalyzed by Iridium(I) Complexes with Nitrogen Donor Ligands. J. Organomet. Chem. 1981, 222, 323–329. [Google Scholar] [CrossRef]
- Watts, C.C.; Thoniyot, P.; Cappuccio, F.; Verhagen, J.; Gallagher, B.; Singaram, B. Catalytic Asymmetric Transfer Hydrogenation of Ketones Using Terpene-Based Chiral β-Amino Alcohols. Tetrahedron Asymmetry 2006, 17, 1301–1307. [Google Scholar] [CrossRef]
- Bergamo, A.; Sava, G. Ruthenium Anticancer Compounds: Myths and Realities of the Emerging Metal-Based Drugs. Dalton Trans. 2011, 40, 7817–7823. [Google Scholar] [CrossRef] [PubMed]
- Rausch, M.; Dyson, P.J.; Nowak-Sliwinska, P. Recent Considerations in the Application of RAPTA-C for Cancer Treatment and Perspectives for Its Combination with Immunotherapies. Adv. Ther. 2019, 2, 1900042. [Google Scholar] [CrossRef]
- Hartinger, C.G.; Jakupec, M.A.; Zorbas-Seifried, S.; Groessl, M.; Egger, A.; Berger, W.; Zorbas, H.; Dyson, P.J.; Keppler, B.K. KP1019, A New Redox-Active Anticancer Agent—Preclinical Development and Results of a Clinical Phase I Study in Tumor Patients. Chem. Biodivers. 2008, 5, 2140–2155. [Google Scholar] [CrossRef] [PubMed]
- Chen, H.; Parkinson, J.A.; Parsons, S.; Coxall, R.A.; Gould, R.O.; Sadler, P.J. Organometallic Ruthenium(II) Diamine Anticancer Complexes: Arene-Nucleobase Stacking and Stereospecific Hydrogen-Bonding in Guanine Adducts. J. Am. Chem. Soc. 2002, 124, 3064–3082. [Google Scholar] [CrossRef] [PubMed]
- Turner, R.J. The Good, the Bad, and the Ugly of Metals as Antimicrobials. BioMetals 2024, 37, 545–559. [Google Scholar] [CrossRef]
- Khelissa, S.; El Fannassi, Y.; Mechmechani, S.; Alhuthali, S.; El Amrani, M.A.; Gharsallaoui, A.; Barras, A.; Chihib, N.-E. Water-Soluble Ruthenium (II) Complex Derived From Optically Pure Limonene and Its Microencapsulation Are Efficient Tools Against Bacterial Food Pathogen Biofilms: Escherichia Coli, Staphylococcus Aureus, Enteroccocus Faecalis, and Listeria Monocytogenes. Front. Microbiol. 2021, 12, 711326. [Google Scholar] [CrossRef]
- Larionov, S.V.; Myachina, L.I.; Glinskaya, L.A.; Klevtsova, R.F.; Sheludyakova, L.A.; Tkachev, A.V.; Bizyaev, S.N. Synthesis, Structure, and Properties of Nickel(II) and Cobalt(II) Coordination Compounds with Optically Active Diaminodioxime (H2L) Derived from 3-Carene. Molecular and Crystal Structures of the [Ni(H2L)(NO3)]NO3 and [Ni(HL)]ClO4 · H2O Complexes. Russ. J. Coord. Chem. 2003, 29, 795–804. [Google Scholar] [CrossRef]
- Homrani, Y.; Dahdouh, A.; El Amrani, M.A.; Loxq, P.; Capet, F.; Suisse, I.; Sauthier, M. Synthesis and Crystal Structure of a New Chiral α-Aminooxime Nickel(II) Complex. Acta Crystallogr. Sect. E Crystallogr. Commun. 2021, 77, 1116–1119. [Google Scholar] [CrossRef]
- Bazzicalupi, C.; Grimmer, C.; Nikolayenko, I.V. Old Acquaintances and Novel Complex Structures for the Ni(II) and Cu(II) Complexes of Bis-Chelate Oxime–Amide Ligands. Molecules 2024, 29, 522. [Google Scholar] [CrossRef] [PubMed]
- Zhang, D.; Wang, Q. Palladium Catalyzed Asymmetric Suzuki–Miyaura Coupling Reactions to Axially Chiral Biaryl Compounds: Chiral Ligands and Recent Advances. Coord. Chem. Rev. 2015, 286, 1–16. [Google Scholar] [CrossRef]
- De Vries, J.G. Palladium-Catalysed Coupling Reactions. In Organometallics as Catalysts for the Fine Chemical Industry; Springer: Geleen, The Netherlands, 2012; Volume 42, pp. 1–34. ISBN 1436-6002. [Google Scholar]
- Templ, J.; Schnürch, M. Allylation of C-, N-, and O-Nucleophiles via a Mechanochemically-Driven Tsuji–Trost Reaction Suitable for Late-Stage Modification of Bioactive Molecules. Angew. Chem. Int. Ed. 2024, 63, e202314637. [Google Scholar] [CrossRef] [PubMed]
- Cera, G.; Maestri, G. Palladium/Brønsted Acid Catalysis for Hydrofunctionalizations of Alkynes: From Tsuji-Trost Allylations to Stereoselective Methodologies. ChemCatChem 2022, 14, e202200295. [Google Scholar] [CrossRef]
- Losada, P.; Goicoechea, L.; Mascareñas, J.L.; Gulías, M. Axially Chiral 2-Hydroxybiaryls by Palladium-Catalyzed Enantioselective C–H Activation. ACS Catal. 2023, 13, 13994–13999. [Google Scholar] [CrossRef]
- He, J.; Wasa, M.; Chan, K.S.L.; Shao, Q.; Yu, J.-Q. Palladium-Catalyzed Transformations of Alkyl C–H Bonds. Chem. Rev. 2017, 117, 8754–8786. [Google Scholar] [CrossRef]
- Cutillas, N.; Yellol, G.S.; de Haro, C.; Vicente, C.; Rodríguez, V.; Ruiz, J. Anticancer Cyclometalated Complexes of Platinum Group Metals and Gold. Coord. Chem. Rev. 2013, 257, 2784–2797. [Google Scholar] [CrossRef]
- Scattolin, T.; Voloshkin, V.A.; Visentin, F.; Nolan, S.P. A Critical Review of Palladium Organometallic Anticancer Agents. Cell Rep. Phys. Sci. 2021, 2, 100446. [Google Scholar] [CrossRef]
- Alam, M.N.; Huq, F. Comprehensive Review on Tumour Active Palladium Compounds and Structure–Activity Relationships. Coord. Chem. Rev. 2016, 316, 36–67. [Google Scholar] [CrossRef]
- Dunne, K.; McQuillin, F.J. Complexes of Terpenes with Transition Metals. Part I. The Reactions of Cis- and Trans-Ocimene and of Myrcene with Palladium(II). J. Chem. Soc. C Org. 1970, 2196–2200. [Google Scholar] [CrossRef]
- Mattheis, C.; Braunstein, P. Chelating Behaviour of a Phosphinoalcohol Leading to a Stable Alcohol Palladium Complex. J. Organomet. Chem. 2001, 621, 218–223. [Google Scholar] [CrossRef]
- De La Cueva-Alique, I.; Munõz-Moreno, L.; De La Torre-Rubio, E.; Bajo, A.M.; Gude, L.; Cuenca, T.; Royo, E. Water Soluble, Optically Active Monofunctional Pd(II) and Pt(II) Compounds: Promising Adhesive and Antimigratory Effects on Human Prostate PC-3 Cancer Cells. Dalton Trans. 2019, 48, 14279–14293. [Google Scholar] [CrossRef] [PubMed]
- Homrani, Y.; El Amrani, M.A.; Loxq, P.; Capet, F.; Suisse, I.; Sauthier, M. Synthesis and Crystal Structures of Palladium Complexes Based on Alfa-Amino-Oximes Derived from R-Limonene and Their Application in Allylic Alkylation of 1,3-Dioxo Compounds. Comptes Rendus Chim. 2022, 25, 125–135. [Google Scholar] [CrossRef]
- Dell’Amico, D.B.; Colalillo, M.; Dalla Via, L.; Dell’Acqua, M.; Garcia-Argaez, A.N.; Hyeraci, M.; Labella, L.; Marchetti, F.; Samaritani, S. Synthesis and Reactivity of Cytotoxic Platinum(II) Complexes of Bidentate Oximes—A Step towards the Functionalization of Bioactive Complexes. Eur. J. Inorg. Chem. 2018, 2018, 1589–1594. [Google Scholar] [CrossRef]
- Pettenuzzo, A.; Vezzù, K.; Di Paolo, M.L.; Fotopoulou, E.; Marchiò, L.; Via, L.D.; Ronconi, L. Design, Physico-Chemical Characterization and in Vitro Biological Activity of Organogold(Iii) Glycoconjugates. Dalton Trans. 2021, 50, 8963–8979. [Google Scholar] [CrossRef]
- Saha, S.; Kushwaha, R.; Mandal, A.; Singh, N.; Banerjee, S. Recent Advances in Rh(III)-Based Anticancer Complexes. Coord. Chem. Rev. 2025, 525, 216306. [Google Scholar] [CrossRef]
- Xu, Z.R.; Liu, Y.; Yang, J.Q.; Li, F.W.; Liu, W.K. Recent Advances of Metal Complexes in the Treatment of Hepatocellular Carcinoma. J. Med. Chem. 2024, 68, 1–17. [Google Scholar] [CrossRef]
- Ruiz-Sánchez, P.; König, C.; Ferrari, S.; Alberto, R. Vitamin B12 as a Carrier for Targeted Platinum Delivery: In Vitro Cytotoxicity and Mechanistic Studies. JBIC J. Biol. Inorg. Chem. 2011, 16, 33–44. [Google Scholar] [CrossRef]
- Farrer, N.J.; Griffith, D.M. Exploiting Azide–Alkyne Click Chemistry in the Synthesis, Tracking and Targeting of Platinum Anticancer Complexes. Curr. Opin. Chem. Biol. 2020, 55, 59–68. [Google Scholar] [CrossRef]
- Peng, K.; Zheng, Y.; Xia, W.; Mao, Z.W. Organometallic Anti-Tumor Agents: Targeting from Biomolecules to Dynamic Bioprocesses. Chem. Soc. Rev. 2023, 52, 2790–2832. [Google Scholar] [CrossRef]
- Mehder, R.; de la Torre-Rubio, E.; de la Cueva-Alique, I.; O’Malley, C.; Pérez-Redondo, A.; Gude, L.; Royo, E.; Ronconi, L. Fluorescent Vitamin B12–Platinum(II) Derivatives as Potential Metallotheranostic Agents for the Treatment and Imaging of Tumors. Inorganics 2024, 12, 91. [Google Scholar] [CrossRef]
- Larionov, S.V.; Savel’eva, Z.A.; Romanenko, G.V.; Tkachev, A.V.; Ikorskii, V.N.; Boguslavskii, E.G. Binuclear Copper(II) Complexes with (1R*,4S*)-1-N-Morpholino-n-Menth-8-En-2-One E-Oxime: Synthesis, Structure, and Magnetic Properties. Russ. J. Coord. Chem. 2002, 28, 780–788. [Google Scholar] [CrossRef]
- Savel’eva, Z.A.; Klevtsova, R.F.; Glinskaya, L.A.; Ikorskii, V.N.; Bizyaev, S.N.; Tkachev, A.V.; Larionov, S.V. Complexes [Cu(H2L)](NO3)2 and [Cu(H2L)Cl]2[CuCl2]Cl · 0.5H2O (H2L Is Chiral Bis(Menthane) Propylenediaminodioxime): Synthesis and Structure. Russ. J. Coord. Chem. 2006, 32, 784–791. [Google Scholar] [CrossRef]
- Kokina, T.E.; Glinskaya, L.A.; Tkachev, A.V.; Plyusnin, V.F.; Tsoy, Y.V.; Bagryanskaya, I.Y.; Vasilyev, E.S.; Piryazev, D.A.; Sheludyakova, L.A.; Larionov, S.V. Chiral Zinc(II) and Cadmium(II) Complexes with a Dihydrophenanthroline Ligand Bearing (–)-α-Pinene Fragments: Synthesis, Crystal Structures and Photophysical Properties. Polyhedron 2016, 117, 437–444. [Google Scholar] [CrossRef]
- Kokina, T.E.; Glinskaya, L.A.; Vasiliev, E.S.; Rakhmanova, M.I.; Makarova, S.V.; Piryazev, D.A.; Korol’kov, I.V.; Tkachev, A.V.; Larionov, S.V. Structure and Photoluminescence of Zn(II) and Cd(II) Complexes with Chiral Bis-Pyridine Containing Fragments of Natural (–)-α-Pinene. J. Struct. Chem. 2017, 58, 994–1003. [Google Scholar] [CrossRef]
- Glinskaya, L.A.; Savel’eva, Z.A.; Bizyaev, S.N.; Tkachev, A.V.; Larionov, S.V. Crystal and Molecular Structure of the [Zn(HL)Cl]·EtOH Compound, (H2L = Chiral Bis(Menthane)Propylenediaminodioxime). J. Struct. Chem. 2012, 53, 1111–1117. [Google Scholar] [CrossRef]

















Disclaimer/Publisher’s Note: The statements, opinions and data contained in all publications are solely those of the individual author(s) and contributor(s) and not of MDPI and/or the editor(s). MDPI and/or the editor(s) disclaim responsibility for any injury to people or property resulting from any ideas, methods, instructions or products referred to in the content. |
© 2025 by the authors. Licensee MDPI, Basel, Switzerland. This article is an open access article distributed under the terms and conditions of the Creative Commons Attribution (CC BY) license (https://creativecommons.org/licenses/by/4.0/).
Share and Cite
Chahboun, G.; El Hllafi, M.; Royo, E.; El Amrani, M.A. Chiral Transition Metal Complexes Featuring Limonene-Derived Ligands: Roles in Catalysis and Biology. Inorganics 2025, 13, 336. https://doi.org/10.3390/inorganics13100336
Chahboun G, El Hllafi M, Royo E, El Amrani MA. Chiral Transition Metal Complexes Featuring Limonene-Derived Ligands: Roles in Catalysis and Biology. Inorganics. 2025; 13(10):336. https://doi.org/10.3390/inorganics13100336
Chicago/Turabian StyleChahboun, Ghaita, Mohamed El Hllafi, Eva Royo, and Mohamed Amin El Amrani. 2025. "Chiral Transition Metal Complexes Featuring Limonene-Derived Ligands: Roles in Catalysis and Biology" Inorganics 13, no. 10: 336. https://doi.org/10.3390/inorganics13100336
APA StyleChahboun, G., El Hllafi, M., Royo, E., & El Amrani, M. A. (2025). Chiral Transition Metal Complexes Featuring Limonene-Derived Ligands: Roles in Catalysis and Biology. Inorganics, 13(10), 336. https://doi.org/10.3390/inorganics13100336

