Optical Trapping of Sub−Micrometer Particles with Fiber Tapers Fabricated by Fiber Pulling Assisted Chemical Etching
Abstract
:1. Introduction
2. Design, Fabrication, and Methods
2.1. Unique Tubeless Chemical Etching Combined with Fiber Pulling
2.2. Working Principle of Fiber Taper Based Trapping
2.3. Experimental Setup
3. Results
3.1. Optical Trapping by the Single−Fiber−Taper−BASED System
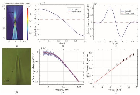
3.1.1. Simulation and Experimental Results of a Single−Fiber−Taper−Based Single Sub−Micrometer Particle Trapping
3.1.2. Optical Binding Effect
3.2. Optical Trapping by Dual−Fiber−Taper−Based System
3.2.1. 3D Optical Trapping of a Swarm of Sub−Micrometer Particles
3.2.2. 3D Optical Trapping of the Sub−Micrometer Particles along Straight Lines Based on the Optical Binding Effect
3.2.3. Optical Guiding of Sub−Micrometer Particles in Two Dimensions
4. Conclusions
Supplementary Materials
Author Contributions
Funding
Institutional Review Board Statement
Informed Consent Statement
Data Availability Statement
Conflicts of Interest
References
- Ashkin, A. Acceleration and trapping of particles by radiation pressure. Phys. Rev. Lett. 1970, 24, 156. [Google Scholar] [CrossRef] [Green Version]
- Chang, D.E.; Regal, C.; Papp, S.; Wilson, D.; Ye, J.; Painter, O.; Kimble, H.J.; Zoller, P. Cavity opto-mechanics using an optically levitated nanosphere. Proc. Natl. Acad. Sci. USA 2010, 107, 1005–1010. [Google Scholar] [CrossRef] [PubMed] [Green Version]
- Romero-Isart, O.; Juan, M.L.; Quidant, R.; Cirac, J.I. Toward quantum superposition of living organisms. New J. Phys. 2010, 12, 033015. [Google Scholar] [CrossRef] [Green Version]
- Romero-Isart, O.; Pflanzer, A.C.; Blaser, F.; Kaltenbaek, R.; Kiesel, N.; Aspelmeyer, M.; Cirac, J.I. Large quantum superpositions and interference of massive nanometer-sized objects. Phys. Rev. Lett. 2011, 107, 020405. [Google Scholar] [CrossRef] [Green Version]
- Geraci, A.A.; Papp, S.B.; Kitching, J. Short-range force detection using optically cooled levitated microspheres. Phys. Rev. Lett. 2010, 105, 101101. [Google Scholar] [CrossRef] [PubMed] [Green Version]
- Hornberger, K.; Gerlich, S.; Haslinger, P.; Nimmrichter, S.; Arndt, M. Colloquium: Quantum interference of clusters and molecules. Rev. Mod. Phys. 2012, 84, 157. [Google Scholar] [CrossRef] [Green Version]
- Aspelmeyer, M.; Kippenberg, T.J.; Marquardt, F. Cavity optomechanics. Rev. Mod. Phys. 2014, 86, 1391. [Google Scholar] [CrossRef]
- Tayebi, M.; O’Rorke, R.; Wong, H.C.; Low, H.Y.; Han, J.; Collins, D.J.; Ai, Y. Massively Multiplexed Submicron Particle Patterning in Acoustically Driven Oscillating Nanocavities. Small 2020, 16, 2000462. [Google Scholar] [CrossRef]
- Schnelle, T.; Müller, T.; Gradl, G.; Shirley, S.G.; Fuhr, G. Dielectrophoretic manipulation of suspended submicron particles. Electrophor. Int. J. 2000, 21, 66–73. [Google Scholar] [CrossRef]
- Miao, X.; Wilson, B.K.; Pun, S.H.; Lin, L.Y. Optical manipulation of micron/submicron sized particles and biomolecules through plasmonics. Opt. Express 2008, 16, 13517–13525. [Google Scholar] [CrossRef] [Green Version]
- Morgan, H.; Hughes, M.P.; Green, N.G. Separation of submicron bioparticles by dielectrophoresis. Biophys. J. 1999, 77, 516–525. [Google Scholar] [CrossRef] [Green Version]
- Čižmár, T.; Garcés-Chávez, V.; Dholakia, K.; Zemánek, P. Optical conveyor belt for delivery of submicron objects. Appl. Phys. Lett. 2005, 86, 174101. [Google Scholar] [CrossRef] [Green Version]
- Svoboda, K.; Schmidt, C.F.; Schnapp, B.J.; Block, S.M. Direct observation of kinesin stepping by optical trapping interferometry. Nature 1993, 365, 721–727. [Google Scholar] [CrossRef] [PubMed]
- Finer, J.T.; Simmons, R.M.; Spudich, J.A. Single myosin molecule mechanics: Piconewton forces and nanometre steps. Nature 1994, 368, 113–119. [Google Scholar] [CrossRef] [PubMed]
- Peterman, E.J.; Gittes, F.; Schmidt, C.F. Laser-induced heating in optical traps. Biophys. J. 2003, 84, 1308–1316. [Google Scholar] [CrossRef] [Green Version]
- Rowe, A.D.; Leake, M.C.; Morgan, H.; Berry, R.M. Rapid rotation of micron and submicron dielectric particles measured using optical tweezers. J. Mod. Opt. 2003, 50, 1539–1554. [Google Scholar] [CrossRef]
- Chen, Y.-F.; Blab, G.A.; Meiners, J.-C. Stretching submicron biomolecules with constant-force axial optical tweezers. Biophys. J. 2009, 96, 4701–4708. [Google Scholar] [CrossRef] [PubMed] [Green Version]
- Zhang, Y.; Liu, Z.; Yang, J.; Yuan, L. A non-contact single optical fiber multi-optical tweezers probe: Design and fabrication. Opt. Commun. 2012, 285, 4068–4071. [Google Scholar] [CrossRef]
- Tong, L.; Gattass, R.R.; Ashcom, J.B.; He, S.; Lou, J.; Shen, M.; Maxwell, I.; Mazur, E. Subwavelength-diameter silica wires for low-loss optical wave guiding. Nature 2003, 426, 816–819. [Google Scholar] [CrossRef]
- Li, H.; Zhang, Y.; Li, J.; Qiang, L. Observation of microsphere movement driven by optical pulse. Opt. Lett. 2011, 36, 1996–1998. [Google Scholar] [CrossRef] [PubMed]
- Constable, A.; Kim, J.; Mervis, J.; Zarinetchi, F.; Prentiss, M. Demonstration of a fiber-optical light-force trap. Opt. Lett. 1993, 18, 1867–1869. [Google Scholar] [CrossRef]
- Taylor, R.; Hnatovsky, C. Particle trapping in 3-D using a single fiber probe with an annular light distribution. Opt. Express 2003, 11, 2775–2782. [Google Scholar] [CrossRef] [PubMed]
- Ashkin, A. Forces of a single-beam gradient laser trap on a dielectric sphere in the ray optics regime. Biophys. J. 1992, 61, 569–582. [Google Scholar] [CrossRef] [Green Version]
- Wei, M.-T.; Yang, K.-T.; Karmenyan, A.; Chiou, A. Three-dimensional optical force field on a Chinese hamster ovary cell in a fiber-optical dual-beam trap. Opt. Express 2006, 14, 3056–3064. [Google Scholar] [CrossRef]
- Jess, P.; Garcés-Chávez, V.; Smith, D.; Mazilu, M.; Paterson, L.; Riches, A.; Herrington, C.; Sibbett, W.; Dholakia, K. Dual beam fibre trap for Raman microspectroscopy of single cells. Opt. Express 2006, 14, 5779–5791. [Google Scholar] [CrossRef]
- El Eter, A.; Hameed, N.M.; Baida, F.I.; Salut, R.; Filiatre, C.; Nedeljkovic, D.; Atie, E.; Bole, S.; Grosjean, T. Fiber-integrated optical nano-tweezer based on a bowtie-aperture nano-antenna at the apex of a SNOM tip. Opt. Express 2014, 22, 10072–10080. [Google Scholar] [CrossRef] [PubMed]
- Mivelle, M.; van Zanten, T.S.; Neumann, L.; van Hulst, N.F.; Garcia-Parajo, M.F. Ultrabright bowtie nanoaperture antenna probes studied by single molecule fluorescence. Nano Lett. 2012, 12, 5972–5978. [Google Scholar] [CrossRef]
- Mondal, S.K.; Pal, S.S.; Kapur, P. Optical fiber nano-tip and 3D bottle beam as non-plasmonic optical tweezers. Opt. Express 2012, 20, 16180–16185. [Google Scholar] [CrossRef]
- Stöckle, R.; Fokas, C.; Deckert, V.; Zenobi, R.; Sick, B.; Hecht, B.; Wild, U.P. High-quality near-field optical probes by tube etching. Appl. Phys. Lett. 1999, 75, 160–162. [Google Scholar] [CrossRef]
- Okayama, T.; Seki, H. Fabrication and evaluation of silica-based optical fiber probes by chemical etching method. Opt. Rev. 2005, 12, 25–28. [Google Scholar] [CrossRef]
- Tao, M.; Jin, Y.; Gu, N.; Huang, L. A method to control the fabrication of etched optical fiber probes with nanometric tips. J. Opt. 2009, 12, 015503. [Google Scholar] [CrossRef]
- Svoboda, K.; Block, S.M. Biological applications of optical forces. Annu. Rev. Biophys. Biomol. Struct. 1994, 23, 247–285. [Google Scholar] [CrossRef] [PubMed]
- Berg-Sørensen, K.; Flyvbjerg, H. Power spectrum analysis for optical tweezers. Rev. Sci. Instrum. 2004, 75, 594–612. [Google Scholar] [CrossRef] [Green Version]
- Ti, C.; Ho-Thanh, M.-T.; Wen, Q.; Liu, Y. Objective-lens-free Fiber-based Position Detection with Nanometer Resolution in a Fiber Optical Trapping System. Sci. Rep. 2017, 7, 13168. [Google Scholar] [CrossRef] [PubMed] [Green Version]
- Ti, C.; Thomas, G.M.; Ren, Y.; Zhang, R.; Wen, Q.; Liu, Y. Fiber based optical tweezers for simultaneous in situ force exertion and measurements in a 3D polyacrylamide gel compartment. Biomed. Opt. Express 2015, 6, 2325–2336. [Google Scholar] [CrossRef] [PubMed] [Green Version]
- Ti, C.; Shen, Y.; Thanh, M.-T.H.; Wen, Q.; Liu, Y. Reliable and mobile all-fiber modular optical tweezers. Sci. Rep. 2020, 10, 1–11. [Google Scholar] [CrossRef]
- Tatarkova, S.; Carruthers, A.; Dholakia, K. One-dimensional optically bound arrays of microscopic particles. Phys. Rev. Lett. 2002, 89, 283901. [Google Scholar] [CrossRef] [Green Version]
- Burns, M.M.; Fournier, J.-M.; Golovchenko, J.A. Optical binding. Phys. Rev. Lett. 1989, 63, 1233. [Google Scholar] [CrossRef] [Green Version]
- Karásek, V.; Dholakia, K.; Zemánek, P. Analysis of optical binding in one dimension. Appl. Phys. B 2006, 84, 149. [Google Scholar] [CrossRef]
- Burns, M.M.; Fournier, J.-M.; Golovchenko, J.A. Optical matter: Crystallization and binding in intense optical fields. Science 1990, 249, 749. [Google Scholar] [CrossRef] [Green Version]
- Ng, J.; Lin, Z.; Chan, C.; Sheng, P. Photonic clusters formed by dielectric microspheres: Numerical simulations. Phys. Rev. B 2005, 72, 085130. [Google Scholar] [CrossRef] [Green Version]
- Li, T.; Kheifets, S.; Medellin, D.; Raizen, M.G. Measurement of the instantaneous velocity of a Brownian particle. Science 2010, 328, 1673–1675. [Google Scholar] [CrossRef] [PubMed] [Green Version]
- Fischer, P.; Carruthers, A.; Volke-Sepulveda, K.; Wright, E.M.; Brown, C.; Sibbett, W.; Dholakia, K. Enhanced optical guiding of colloidal particles using a supercontinuum light source. Opt. Express 2006, 14, 5792–5802. [Google Scholar] [CrossRef] [PubMed]
- Carruthers, A.; Tatarkova, S.A.; Garces-Chavez, V.; Volke-Sepulveda, K.; Chavez-Cerda, S.; Dholakia, K. Optical guiding using Gaussian and Bessel light beams. In Proceedings of the Laser Processing of Advanced Materials and Laser Microtechnologies, Moscow, Russia, 22–27 June 2002; pp. 68–76. [Google Scholar]
- Summers, M.; Reid, J.; McGloin, D. Optical guiding of aerosol droplets. Opt. Express 2006, 14, 6373–6380. [Google Scholar] [CrossRef]
- Eckerskorn, N.; Li, L.; Kirian, R.A.; Küpper, J.; DePonte, D.P.; Krolikowski, W.; Lee, W.M.; Chapman, H.N.; Rode, A.V. Hollow Bessel-like beam as an optical guide for a stream of microscopic particles. Opt. Express 2013, 21, 30492–30499. [Google Scholar] [CrossRef]
- Eckerskorn, N.O. Trapping and Guiding Microscopic Particles with Light-Induced Forces; Australian National University: Canberra, Australia, 2016. [Google Scholar]
- Singh, M.; Gupta, D. Plasma based optical guiding of an amplitude-modulated electromagnetic beam. In Proceedings of the International Conference on Optics and Photonics, Kolkata, India, 15 June 2015; p. 96541R. [Google Scholar]
- Arlt, J.; Dholakia, K.; Soneson, J.; Wright, E.M. Optical dipole traps and atomic waveguides based on Bessel light beams. Phys. Rev. A 2001, 63, 063602. [Google Scholar] [CrossRef] [Green Version]
- Pisanello, F.; Mandelbaum, G.; Pisanello, M.; Oldenburg, I.A.; Sileo, L.; Markowitz, J.E.; Peterson, R.E.; Della Patria, A.; Haynes, T.M.; Emara, M.S.; et al. Dynamic illumination of spatially restricted or large brain volumes via a single tapered optical fiber. Nat. Neurosci. 2017, 20, 1180–1188. [Google Scholar] [CrossRef] [PubMed] [Green Version]







Publisher’s Note: MDPI stays neutral with regard to jurisdictional claims in published maps and institutional affiliations. |
© 2021 by the authors. Licensee MDPI, Basel, Switzerland. This article is an open access article distributed under the terms and conditions of the Creative Commons Attribution (CC BY) license (https://creativecommons.org/licenses/by/4.0/).
Share and Cite
Ti, C.; Shen, Y.; Lei, Y.; Liu, Y. Optical Trapping of Sub−Micrometer Particles with Fiber Tapers Fabricated by Fiber Pulling Assisted Chemical Etching. Photonics 2021, 8, 367. https://doi.org/10.3390/photonics8090367
Ti C, Shen Y, Lei Y, Liu Y. Optical Trapping of Sub−Micrometer Particles with Fiber Tapers Fabricated by Fiber Pulling Assisted Chemical Etching. Photonics. 2021; 8(9):367. https://doi.org/10.3390/photonics8090367
Chicago/Turabian StyleTi, Chaoyang, Yao Shen, Yiming Lei, and Yuxiang Liu. 2021. "Optical Trapping of Sub−Micrometer Particles with Fiber Tapers Fabricated by Fiber Pulling Assisted Chemical Etching" Photonics 8, no. 9: 367. https://doi.org/10.3390/photonics8090367
APA StyleTi, C., Shen, Y., Lei, Y., & Liu, Y. (2021). Optical Trapping of Sub−Micrometer Particles with Fiber Tapers Fabricated by Fiber Pulling Assisted Chemical Etching. Photonics, 8(9), 367. https://doi.org/10.3390/photonics8090367
