Abstract
To enhance imaging quality, singular value decomposition (SVD) has been applied to single-wavelength ghost imaging (GI) or color GI. In this paper, we extend the application of SVD to wavelength-multiplexing ghost imaging (WMGI) for reducing the redundant information in the random measurement matrix corresponding to multi-wavelength modulated speckle fields. The feasibility of this method is demonstrated through numerical simulations and optical experiments. Based on the intensity statistical properties of multi-wavelength speckle fields, we derived an expression for the contrast-to-noise ratio (CNR) to characterize imaging quality and conducted a corresponding analysis. The theoretical results indicate that in SVDWMGI, for the m-wavelength case, the CNR of the reconstructed image is times that of single-wavelength GI. Moreover, we carried out an optical experiment with a three-wavelength speckle-modulated light source to verify the method. This approach integrates the advantages of both SVD and wavelength division multiplexing, potentially facilitating the application of GI in long-distance imaging fields such as remote sensing.
1. Introduction
Ghost imaging (GI), also known as correlated imaging, is a nonlocal imaging method that reconstructs the image of an object through intensity correlation measurement. It has been demonstrated that GI can be achieved not only with entangled light [1] but also with classical thermal light [2,3,4,5,6,7,8]. Moreover, computational GI was proposed and demonstrated [9,10,11]. To date, GI has found many potential applications in lidar or remote sensing [12,13,14,15,16,17], 3D imaging [10], atmospheric imaging [18], multi-spectral imaging [19,20], bioimaging [21], optical encryption [22,23,24,25], moving object imaging [26], and X-ray imaging [27], etc. Especially, three-dimensional GI lidar exhibits a benefit in anti-interference against harsh environment and is considered to be one of the best potential applications in GI [14]. To promote the application of GI, many methods, including high-order GI [28,29,30], compressive GI [31], differential [32] or normalized GI [33], logarithmic GI, and exponential GI [34], have been developed to improve the image quality. Liu compares the imaging efficiency and error tolerance of these GI algorithms [35]. The probability theory, including the probability density function, is also employed to analyze GI [36,37,38,39,40], deepening the understanding of the essence of GI and the factors influencing its imaging quality. Additionally, there have been reports on leveraging deep learning to enhance the quality of GI [41]. Instead of using random speckle illumination, structured basis scanning illumination techniques, such as Fourier basis [42,43,44], Hadamard basis [45], or wavelet basis [46], are employed to achieve single-pixel imaging, thereby enhancing imaging quality.
Over the past few years, pseudo-inverse and SVD have been utilized in GI to enhance the image quality. Zhang et al. introduced pseudo-inverse ghost imaging (PGI) as a method for reconstructing images with exceptional quality [47]. Despite the randomness of the measurement matrix, its pseudo-inverse can be achieved through the application of SVD, in accordance with the Moore-Penrose theorem [47]. Gong et al. proposed an improved PGI technique, which exhibits the advantage of substantially improving the spatial transverse resolution of thermal light GI [48]. Subsequently, iterative PGI was proposed, integrating the advantages of iterative denoising and PGI [49]. This method can further eliminate background noise and achieve high-quality imaging with fewer measurements. In 2018, Zhang et al. introduced the concept of SVDGI from the standpoint of matrix reconstruction [50]. Different from conventional GI, SVDGI involves decomposing random matrices into their SVD components, thereby enhancing matrix orthogonality and improving image quality. Chen et al. utilized truncated SVD in GI, and the findings revealed that image reconstruction is feasible by selecting the first few largest singular values and the imaging quality can be further enhanced through additive filtering [51]. Wang et al. proposed a dual-mode adaptive SVDGI, which allows for switching between imaging and edge detection modes [52]. Recently, there are some related studies that have applied the pseudo-inverse or SVD to compressed GI [53], color GI [54,55], computational GI [56], encrypted GI [57], and target recognition [58]. These studies have contributed to a further improvement in the quality of GI. However, most of the aforementioned studies focused on applying SVD to single-wavelength GI or color GI.
In recent years, wavelength-multiplexing ghost imaging (WMGI), alternatively referred to as multi-wavelength GI, has been introduced [59,60]. The cornerstone of this technique lies in enhancing imaging efficiency through the parallel processing of multiple wavelengths. To improve the issue of long data acquisition time in traditional single-wavelength imaging, Zhang et al. implemented WMGI using a tricolor modulated light field as the light source and demonstrated that, with three-wavelength multiplexing, the CNR of the object image obtained is increased by a factor of compared to the single-wavelength case [60]. However, multi-wavelength modulation necessitates the generation and storage of a vast number of speckle patterns, resulting in a multiplicative increase in the number of speckles required for a single imaging session. Therefore, in this paper, we extend SVD into WMGI to investigate the impact of the number of singular values within the measurement matrix on the CNR. The rest of this paper is organized as follows. In Section 2, we present a theoretical analysis of the proposed method. Section 3 displays the numerical simulation results. The experimental setup and results are provided in Section 4. Finally, we present the discussion and conclusion in Section 5 and Section 6, respectively.
2. Theory and Methods
In optical communication, wavelength division multiplexing (WDM) is a technology that multiplexes optical signals of different wavelengths into a single fiber for transmission. These optical signals carry different information. At the transmitting end, a multiplexer combines them into a single fiber for transmission. At the receiving end, a demultiplexer separates the various wavelength optical carriers to facilitate further processing and signal recovery. Here, wavelength-multiplexing technology is integrated with GI and SVD to facilitate image reconstruction, that is SVD-WMGI. In this method, by using a multi-wavelength light source combined with SVD, speckle patterns of different wavelengths are modulated, multiplexed and superimposed at the transmitting end, demultiplexed at the receiving end through wavelength-selective detectors, and then image reconstruction is performed using second-order intensity correlation. Unlike color GI, which focuses on restoring colored objects based on intensity correlation, WMGI primarily aims to enhance imaging efficiency through independent and parallel intensity correlation of speckle patterns at different wavelength channels. For the sake of simplicity, we assume that the reflectivity function of a target object is and its reflectivity is wavelength-insensitive. Additionally, the wavelength channels are indexed by , where m denotes the total number of wavelength channels. For the i-th wavelength channel, assuming there are M (the number of measurements) independent illumination patterns sequentially projected onto the target object. In WMGI, the image reconstruction of the object is achieved by the summing of second-order intensity correlation function for each wavelength channel, which can be expressed as
where and denote the image reconstruction and second-order intensity correlation function for the i-th wavelength channel, respectively, and represents bucket detector intensity of the j-th measurement at the i-th wavelength channel.
To facilitate the extension of SVD into WMGI, the ensuing analysis is conducted from the perspective of matrix theory. For the i-th wavelength channel, suppose the illumination pattern projected onto the target object has a resolution of pixels. It can be reshaped into a row vector, where . Then, the row vectors corresponding to M illumination patterns (M measurements) can form an dimensional large matrix, which is referred to as the random measurement matrix . It can be represented as
Assuming that the target object also has a resolution of pixels, it can be reshaped into an N-dimensional column vector. Accordingly, the measurement process of the bucket signal can be described as
Hence, the image reconstruction at the i-th wavelength channel, characterized by the second-order intensity correlation, can be rewritten in matrix form
where denotes the ensemble average of the input variable, that is, and . For simplicity, we temporarily omit the second background term and substitute Equations (2) and (3) into Equation (4), yielding
where denotes the transpose of matrix . Equation (5) indicates that the perfect image reconstruction can be achieved when the condition is satisfied, where is the identity matrix and n is any real constant. Moreover, the closer the matrix resembles the identity matrix, the more superior the quality of the resulting image becomes.
As a powerful matrix decomposition tool, SVD has widespread application in image processing and data compression. SVD enables the decomposition of a matrix into the product of three matrices: two orthogonal matrices and one non-negative diagonal matrix of singular values, each containing significant characteristics of the original matrix. Correspondingly, performing SVD on the -dimensional random measurement matrix , one can obtain the left singular vector matrix of size , the -dimensional singular value matrix , and the right singular vector matrix of size . Hence, the random measurement matrix can be decomposed as
To begin with, we discuss the first case where all non-zero singular values are set to 1. That is manipulating the singular value matrix and, for simplicity, uniformly setting all its non-zero singular values to 1, we can artificially generate a measurement matrix, which is specifically represented as
where is an -dimensional unit matrix. By replacing the random measurement matrix with the artificial measurement matrix constructed based on SVD and then substituting Equation (7) into Equation (5) while considering the orthogonality of matrix , Equation (5) can be rewritten as
By incorporating Equation (8) into Equation (1), the image achieved through WMGI based on SVD can ultimately be described as
Taking into account the orthogonality of matrix , it can be found from Equation (9) that by assigning a value of 1 to all non-zero singular values to construct an artificial measurement matrix for WMGI, the perfect image reconstruction is attainable when the number of measurements M is equal to the object’s resolution .
The aforementioned simplified analysis, which uniformly sets all non-zero singular values to 1, may be more beneficial in practice by either retaining larger singular values or setting a threshold to cut off the smaller ones.
Subsequently, we consider more complex scenarios, where instead of setting all non-zero singular values to 1, we analyze the impact of retaining different numbers of larger singular values on the imaging results. For the sake of simplification, we assume herein that the reflective object under consideration is a binary (black-and-white) one, and its reflective function can be given by
where and represent the reflectivity of object in the white area and black area, respectively.
The imaging quality can be quantified using the contrast-to-noise ratio (CNR), which is defined as [16,36]
where and denote the ensemble average of second-order correlation function at any pixel where the reflectivity is and , respectively, and represents the variance of the corresponding second-order correlation function. Considering the statistical independent properties of random speckle patterns [36,61], and based on Equations (1), (10), and (11), the expression for the CNR in WMGI to evaluate the imaging quality of binary reflective objects is derived as
where and are defined as the ratios of the white area and black area of the object to the speckle size, is the kurtosis of speckle field, and are the variance and fourth moment of the intensity fluctuation for each random speckle pattern, respectively.
We proceed to conduct a detailed analysis of the CNR in WMGI, specifically addressing the scenarios involving random measurement matrix and artificially constructed measurement matrix.
Firstly, we focus on the case where the random measurement matrices exhibits a negative exponential distribution. The intensity statistics of random illumination patterns in each wavelength channel follows a negative exponential distribution, i.e., its probability density function is given by [61]
where represents the average intensity of the speckle pattern. According to the above equation, the n-th moment of intensity for random speckle pattern with a negative exponential statistical distribution can be calculated as
Hence, the variance and the fourth-order moment of intensity fluctuations can be obtained as, respectively
Thus, the kurtosis can be easily calculated to be 9. Substituting this value into Equation (12), one can obtain the expression for the CNR of reflective ghost image under negative exponential intensity statistics and speckle illumination
The above expression indicates that, for the case of a random measurement matrix corresponding to random speckle patterns with negative exponential intensity statistics, when the number of measurements M is large enough, the CNR is proportional to . Therefore, the CNR of the ghost image corresponding to m-wavelength multiplexing is times that of the single-wavelength case.
Now, we delve into the analysis of the CNR in a scenario where the measurement matrix is artificially constructed using SVD. Here, we explore a more practical situation where the measurement matrix is crafted by truncating the larger singular values, rather than setting all non-zero singular values uniformly to 1. From Equation (12), which is the general expression for the CNR, it can be seen that when the ratio of the object size to the speckle size is large enough, that is , the CNR is almost independent on the kurtosis of speckle patterns. Therefore, although the artificial measurement matrix is different from the original random original measurement matrix, that is, the kurtosis of the speckle patterns corresponding to the artificially constructed measurement matrix deviates from a negative exponential distribution, the CNR is almost the same as that of random measurement matrix case. Even when the singular value truncation ratio is relatively small, the image reconstruction can still be achieved as long as the speckle patterns, corresponding to the artificially constructed measurement matrix, exhibit intensity fluctuations. Additionally, when the number of measurements M is large enough, the CNR of WMGI is proportional to . Accordingly, the CNR for m-wavelength-multiplexing GI based on SVD is times better than that of the single-wavelength case. This improvement arises because multiplexing multiple wavelengths effectively increases the amount of information available for reconstruction, leading to a better CNR. The use of SVD helps to optimize the measurement matrix, reducing the redundant information.
3. Numerical Simulations
To validate the aforementioned theoretical analysis, we conduct numerical simulations.
The numerical simulations are carried out in a three-wavelength multiplexing GI using the constructed measurement matrix based on truncated singular values. The target object used is a black-and-white binary “FIT” characters of size pixels. The random speckle patterns have a resolution of pixels and adhere to a negative exponential distribution for their intensity statistics. The random measurement matrix is achieved through M random speckle patterns according to Equation (2). Then, by performing SVD on the random measure matrix and retaining the k largest singular values (where ) and their corresponding singular vectors, the artificial measurement matrix is constructed. We adopt the singular value truncation ratio to characterize matrix data compression. The singular value truncation ratio refers to the ratio of the number of retained singular values k to the total number of non-zero singular values r of the original random measurement matrix, that is . The artificially constructed measurement matrix, based on the above method, is utilized to perform GI of the reflective object. Figure 1 and Figure 2 present the numerically reconstructed images with and their CNRs for single-wavelength (red, green, blue light beams) and 3-wavelength multiplexing cases, when the singular value truncation ratio is 0.4 and 0.8, respectively.
Figure 1.
Numerical simulation results for SVDWMGI at singular value truncation ratio = 0.4. The rows from top to bottom show reconstructed images and CNRs for M = 1500, 3000, 4500 measurements, the columns from left to right represent images reconstructed with red, green, blue beams, and WMGI, respectively.
Figure 2.
Numerical simulation results for SVDWMGI at singular value truncation ratio = 0.8. The rows from top to bottom show reconstructed images and CNRs for M = 1500, 3000, 4500 measurements, the columns from left to right represent images reconstructed with red, green, blue beams, and WMGI, respectively.
The simulation results indicate that, on the one hand, it is feasible to achieve WMGI by truncating singular values to compress redundant data in the original random measurement matrix and constructing an artificial measurement matrix. On the other hand, when SVD is applied to three-wavelength multiplexing GI, the CNR for imaging binary reflective object is times that of single-wavelength GI, which is consistent with traditional three-wavelength multiplexing. In addition, for SVD-based two-wavelength (RG, GB, or RB) multiplexing GI, the CNR for imaging binary reflective object is times higher than that of single-wavelength GI. Unlike the SVD-R, SVD-G, and SVD-B cases that rely solely on single-color patterns, the SVD-WMGI integrates information from all the multiplexed patterns at the same time for image reconstruction, resulting in better performance.
4. Optical Experiments
To further validate the SVD-WMGI, we carry out an optical experiment. The schematic diagram of the experimental setup is shown in Figure 3, which consists of spatial light modulation system, three color-selective (red, green, and blue) photodetectors acting as bucket detectors, a reflective object, and a computer. A 3LCD projector (Sony, VPL-EW578, Sony (China) Co., Ltd., Shanghai, China) is employed as spatial light modulation system which includes a UHP (ultra high pressure) lamp, two dichroic mirrors and used for generating RGB light, three mirrors , , and , three liquid-crystal-display panels , , and , and a beam combiner prism B. The detector is a silicon photodetector with a spectral range of approximately 400–1000 nm, a bandwidth of about 10 MHz, a sensitivity of around mA/mV, a noise power of approximately 10 mV, and a detection signal-to-noise ratio of about 15 dB. Red, green, and blue filters with center wavelengths of approximately 630 nm, 550 nm, and 450 nm, respectively, are placed in front of their corresponding detectors. The incoherent white light from the UHP lamp in the projector is separated into red, green, and blue beams by dichroic mirrors , . Note that the power and spectral range of the UHP are approximately 200 W and 400–680 nm, respectively. Based on 3LCD modulation technology, we are able to independently modulate three light beams of different wavelengths. These color-modulated light beams are subsequently combined to form a superposed RGB random pattern, which illuminates a binary reflective object located approximately 0.85 m away from the light source. The object used in the experiment is a black-and-white reflective object with a size of approximately 21.0 cm × 15.7 cm, bearing the letters “TEL” on its surface. The surface roughness of the object is approximately 1.5 μm, and the reflectivity of its white and black areas is about 0.86 and 0.11, respectively. A typical example of an illuminated random pattern is provided in Figure 4. The resolution of projected pattern illuminating the object is 128 × 96. The reflected light signals from the object are captured by three color-selective (red, green, blue) photodetectors. It should be noted that the three signals detected in a single measurement are mutually independent, and each matches the modulated light of its respective color.
Figure 3.
Experimental configuration. The UHP lamp—the ultra high pressure lamp; , —dichroic mirrors; , , —mirrors; B—beam-combining prism; , , —liquid crystal display panels. Object size: cm × cm.
Figure 4.
Typical random patterns. (a) Red light, (b) green light, (c) blue light, (d) RGB superposed light.
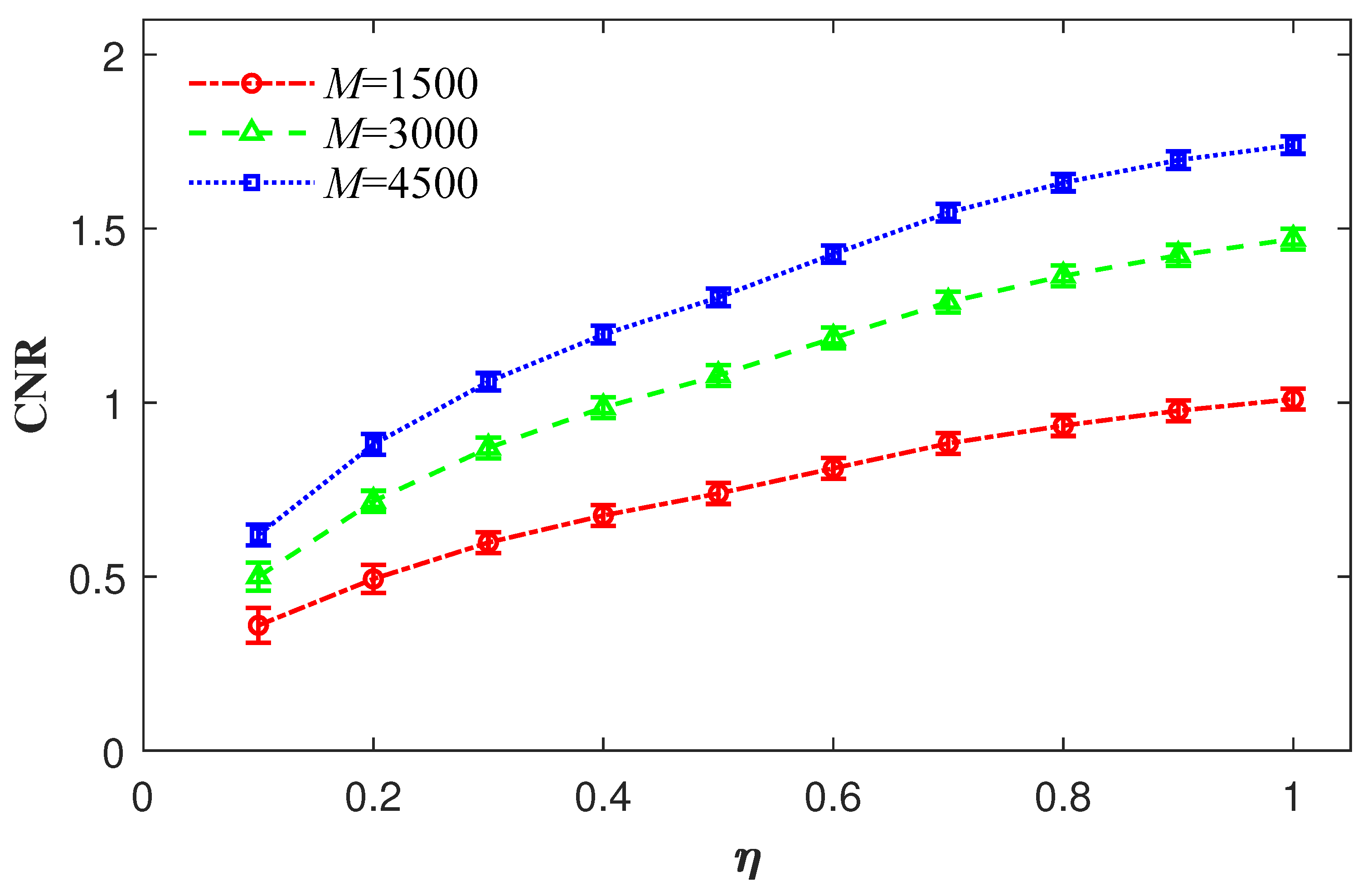
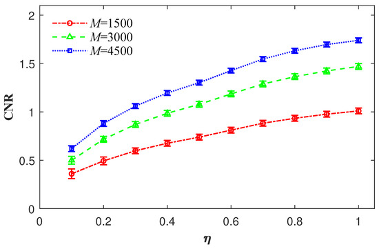
We perform SVD on the original random measurement matrix that satisfies a negative exponential intensity distribution, and then construct different artificial measurement matrices for experiment by varying the singular value truncation ratio and their corresponding singular vector matrices. The image reconstruction of reflective object is achieved through the second-order intensity correlation between the detected bucket values and the man-made measurement matrix. The experimental reconstructed images with and their corresponding CNRs for both single-wavelength (red, green, blue light beams) and three-wavelength multiplexing cases are presented in Figure 5 and Figure 6, respectively, when the singular value truncation ratio is 0.4 and 0.8.
Figure 5.
Experimental results at = 0.4. Rows show the reconstructed images and the corresponding CNRs for measurements. Columns show images reconstructed with red, green, blue beams, and WMGI.
Figure 6.
Experimental results at = 0.8. Rows show the reconstructed images and the corresponding CNRs for measurements. Columns show images reconstructed with red, green, blue beams, and WMGI, respectively.
The experimental results presented in Figure 5 and Figure 6 further demonstrate that, by leveraging SVD to compress random measurement matrix data through singular value truncation and constructing an artificial measurement matrix, WMGI can be realized. The CNR of three-wavelength multiplexing GI based on the artificial measurement matrix is approximately to times better than that of single-wavelength GI, which is basically consistent with theoretical analysis. Moreover, based on the three-wavelength experiment, we can perform any two wavelengths (RG, GB, or RB) for multiplexing, resulting in a two-wavelength multiplexed ghost imaging CNR approximately to times that of single-wavelength ghost imaging. These results are generally consistent with theoretical simulations.
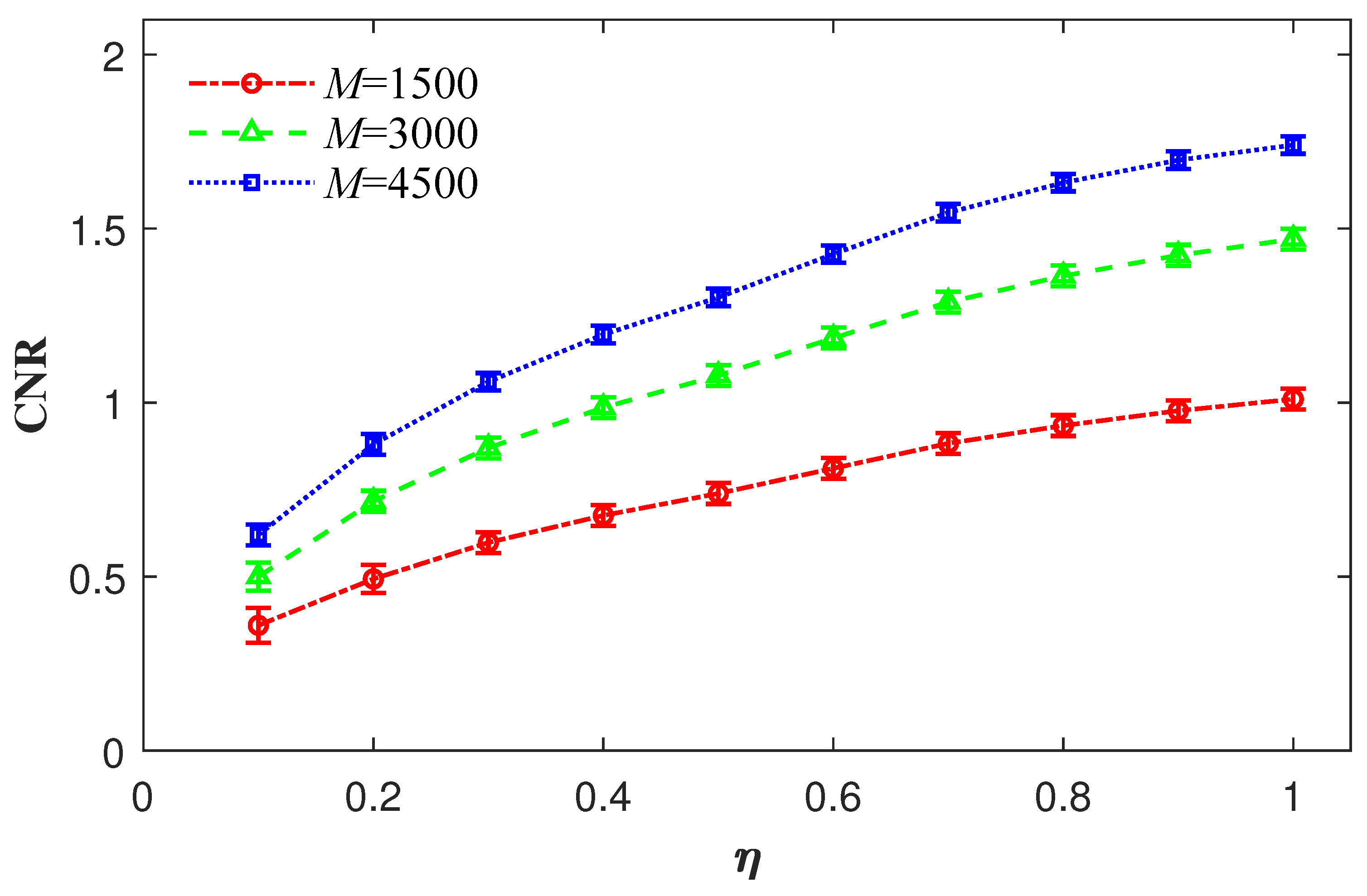
To comprehensively analyze the impact of random speckle data compression on imaging quality, we further varied the truncation ratio to remove redundant information and constructed corresponding artificial measurement matrices for image reconstruction. Figure 7 presents the CNRs of the SVD-WMGI reconstructed images vary with the singular value truncation ratio. It can be seen from Figure 7 that the imaging reconstruction can still be performed even when the singular value truncation ratio is as low as 0.1. When the truncation ratio exceeds 0.5, the change in the CNR curve decelerates. This result can be understood through the higher-order kurtosis of speckle intensity fluctuations that determines the CNR, as obtained in the theoretical analysis.
Figure 7.
The CNRs of SVD-WMGI reconstructed images vary with the singular value truncation ratio for M = 1500, 3000, 4500, respectively.
5. Discussion
Based on the above experimental and numerical simulation results, on the one hand, it can be found that the experimental results are generally consistent with the theoretical results in terms of CNR improvement. On the other hand, the overall CNR of the experimental results is lower than that of the numerical simulation results. The specific discussion is as follows. In SVDWMGI, beams of different wavelengths are independently modulated and detected. Intensity correlation exists between beams of the same wavelength, but not between beams of different wavelengths. Therefore, SVDWMGI can be considered as a parallel operation of single-wavelength SVDGI. Hence, the improvement in CNR is attributed to the fact that in SVD-based WMGI, the multiplexing of multi-wavelength speckle fields effectively increases the number of measurement frames indirectly. Although the improvement factor of the measured CNR closely matches the theoretical simulation result, the experimentally measured CNR values are lower than obtained from the simulations. This discrepancy could be attributed to two key factors: (1) the non-ideal binary object used in the experiment, whose surface roughness may introduce additional optical effects degrading imaging quality, and (2) the presence of experimental background noise.
It should be noted that the effectiveness of the proposed methodology is demonstrated through simulation and experiments with simple binary objects. In practical applications, the reflectance maybe vary across different wavelengths. The proposed method also has limitations. On one hand, it only employs binary objects and the assumption of equal reflectance primarily to simplify the analysis complexity, and more complex objects such as multi-spectral, grayscale and dynamic object remain to be further studied. Furthermore, the method proposed in this paper, when integrated with a strategically designed arrangement of bucket detectors and reconstruction algorithms from prior 3D ghost imaging research [10], holds promise for 3D object image reconstruction. On the other hand, the UHP-based projector used in the experiment, while having the advantage of high brightness, has a limited spectral range, and an LED-based projector may be more suitable.
6. Conclusions
In conclusion, we have extended SVD to WMGI and the validity of this approach has been confirmed through both numerical simulations and optical experiments. We utilized the SVD method to construct a wavelength-multiplexed modulation matrix for ghost imaging to improve the sampling ratio and imaging quality. We investigated the influence of the singular value truncation ratio of the measurement matrix on the imaging CNR. The theoretical results reveal that, similar to conventional WMGI, in SVD-based WMGI, for an m-wavelength multiplexing, the CNR of the reconstructed object image is times better than that of single-wavelength GI. In the experiment, we validated the theoretical results using a three-color light source as an example. This method integrates the advantages of SVD and wavelength division multiplexing, thereby holding potential for enhancing the application of GI in long-distance imaging domain.
Author Contributions
Y.Z.: writing—original draft preparation, methodology, investigation, formal analysis; X.Z.: writing—original draft preparation, software, validation, data curation; Z.L.: methodology, investigation; H.L.: writing—review & editing, conceptualization, methodology, funding acquisition. All authors have read and agreed to the published version of the manuscript.
Funding
This research was funded by the Natural Science Foundation of Tianjin (23JCYBJC00150); the Technology Innovation Guidance Project (Fund) of Tianjin (25YDTPJC00120); and the National Natural Science Foundation of China (11604243).
Institutional Review Board Statement
Not applicable.
Informed Consent Statement
Not applicable.
Data Availability Statement
The data that support the findings of this study are available from the corresponding author upon request.
Conflicts of Interest
The authors declare no conflicts of interest.
References
- Pittman, T.B.; Shih, Y.H.; Strekalov, D.V.; Sergienko, A.V. Optical imaging by means of two-photon quantum entanglement. Phys. Rev. A 1995, 52, R3429–R3432. [Google Scholar] [CrossRef] [PubMed]
- Bennink, R.S.; Bentley, S.J.; Boyd, R.W. Two-photon coincidence imaging with a classical source. Phys. Rev. Lett. 2002, 89, 113601. [Google Scholar] [CrossRef]
- Gatti, A.; Brambilla, E.; Bache, M.; Lugiato, L.A. Correlated imaging, quantum and classical. Phys. Rev. A 2004, 70, 013802. [Google Scholar] [CrossRef]
- Cheng, J.; Han, S. Incoherent coincidence imaging and its applicability in X-ray diffraction. Phys. Rev. Lett. 2004, 92, 093903. [Google Scholar] [CrossRef]
- Valencia, A.; Scarcelli, G.; D’Angelo, M.; Shih, Y. Two-photon imaging with thermal light. Phys. Rev. Lett. 2005, 94, 063601. [Google Scholar] [CrossRef]
- Ferri, F.; Magatti, D.; Gatti, A.; Bache, M.; Brambilla, E.; Lugiato, L.A. High-resolution ghost image and ghost diffraction experiments with thermal light. Phys. Rev. Lett. 2005, 94, 183602. [Google Scholar] [CrossRef] [PubMed]
- Cao, D.Z.; Xiong, J.; Wang, K. Geometrical optics in correlated imaging systems. Phys. Rev. A 2005, 71, 013801. [Google Scholar] [CrossRef]
- Zhang, D.; Zhai, Y.H.; Wu, L.A.; Chen, X.H. Correlated two-photon imaging with true thermal light. Opt. Lett. 2005, 30, 2354–2356. [Google Scholar] [CrossRef]
- Shapiro, J.H. Computational ghost imaging. Phys. Rev. A 2008, 78, 061802. [Google Scholar] [CrossRef]
- Sun, B.; Edgar, M.P.; Bowman, R.; Vittert, L.E.; Welsh, S.; Bowman, A.; Padgett, M.J. 3D computational imaging with single-pixel detectors. Science 2013, 340, 844. [Google Scholar] [CrossRef]
- Bromberg, Y.; Katz, O.; Silberberg, Y. Ghost imaging with a single detector. Phys. Rev. A 2009, 79, 053840. [Google Scholar] [CrossRef]
- Zhao, C.; Gong, W.; Chen, M.; Li, E.; Wang, H.; Xu, W.; Han, S. Ghost imaging lidar via sparsity constraints. Appl. Phys. Lett. 2012, 101, 141123. [Google Scholar] [CrossRef]
- Gong, W.; Zhao, C.; Yu, H.; Chen, M.; Xu, W.; Han, S. Three-dimensional ghost imaging lidar via sparsity constraint. Sci. Rep. 2016, 6, 26133. [Google Scholar] [CrossRef]
- Gong, W.; Han, S. Ghost imaging Lidar: Principle, progress and prospect. J. Opt. 2024, 26, 123001. [Google Scholar] [CrossRef]
- Hardy, N.D.; Shapiro, J.H. Computational ghost imaging versus imaging laser radar for three-dimensional imaging. Phys. Rev. A 2013, 87, 023820. [Google Scholar] [CrossRef]
- Li, H.; Zhang, D.; Xu, D.; Zhao, Q.; Wang, S.; Wang, H.; Xiong, J.; Wang, K. Ghost imaging via optical parametric amplification. Phys. Rev. A 2015, 92, 043816. [Google Scholar] [CrossRef]
- Iqbal, R.; Abbas, A.; Jie, C.; Shah, S.A.; Idrees, M.; Ning, Y. A comprehensive analysis of ghost imaging for remote sensing (girs): A review. Opt. Laser Technol. 2025, 189, 112973. [Google Scholar] [CrossRef]
- Lin, H.; Luo, C. Demonstration of computational ghost imaging through fog. Opt. Laser Technol. 2025, 182, 112075. [Google Scholar] [CrossRef]
- Bian, L.; Suo, J.; Situ, G.; Li, Z.; Fan, J.; Chen, F.; Dai, Q. Multispectral imaging using a single bucket detector. Sci. Rep. 2016, 6, 24752. [Google Scholar] [CrossRef]
- Shumigai, V.S.; Oparin, E.N.; Chernykh, A.V.; Ismagilov, A.O.; Petrov, N.V.; Nasedkin, B.A.; Kalinichev, A.A.; Tsypkin, A.N. Parallel multispectral ghost imaging data acquisition with supercontinuum. Opt. Laser Technol. 2024, 169, 11035. [Google Scholar] [CrossRef]
- Zhu, X.H.; Bai, Y.F.; Tian, W.; Zhou, L.; Huang, X.; Jiang, T.; Jiang, T.; Nan, S.; Fu, X. High-resolution microscopic ghost imaging for bioimaging. Phys. Rev. Appl. 2023, 20, 014028. [Google Scholar] [CrossRef]
- Tanha, M.; Kheradmand, R.; Ahmadi-Kandjani, S. Gray-scale and color optical encryption based on computational ghost imaging. Appl. Phys. Lett. 2012, 101, 101108. [Google Scholar] [CrossRef]
- Kong, L.J.; Li, Y.; Qian, S.; Li, S.; Tu, C.; Wang, H. Encryption of ghost imaging. Phys. Rev. A 2013, 88, 013582. [Google Scholar] [CrossRef]
- Chen, W.; Chen, X. Marked ghost imaging. Appl. Phys. Lett. 2014, 104, 251109. [Google Scholar] [CrossRef]
- Zheng, P.; Dai, Q.; Li, Z.; Ye, Z.; Xiong, J.; Liu, H.; Zheng, G.; Zhang, S. Metasurface-based key for computational imaging encryption. Sci. Adv. 2021, 7, eabg0363. [Google Scholar] [CrossRef]
- Sun, S.; Gu, J.H.; Lin, H.; Jiang, L.; Liu, W.T. Gradual ghost imaging of moving objects by tracking based on cross correlation. Opt. Lett. 2019, 44, 5594–5597. [Google Scholar] [CrossRef]
- Pelliccia, D.; Rack, A.; Scheel, M.; Cantelli, V.; Paganin, D.M. Experimental X-Ray ghost imaging. Phys. Rev. Lett. 2016, 117, 113902. [Google Scholar] [CrossRef]
- Cao, D.; Xiong, J.; Zhang, S.; Lin, L.; Gao, L.; Wang, K. Enhancing visibility and resolution in Nth-order intensity correlation of thermal light. Appl. Phys. Lett. 2008, 92, 201102. [Google Scholar] [CrossRef]
- Chan, K.W.C.; O’Sullivan, M.N.; Boyd, R.W. High-order thermal ghost imaging. Opt. Lett. 2009, 34, 3343–3345. [Google Scholar] [CrossRef]
- Liu, H.C.; Xiong, J. Properties of high-order ghost imaging with natural light. J. Opt. Soc. Am. A 2013, 30, 956–961. [Google Scholar] [CrossRef]
- Katz, O.; Bromberg, Y.; Silberberg, Y. Compressive ghost imaging. Appl. Phys. Lett. 2009, 95, 131110. [Google Scholar] [CrossRef]
- Ferri, F.; Magatti, D.; Lugiato, L.A.; Gatti, A. Differential ghost imaging. Phys. Rev. Lett. 2010, 104, 253603. [Google Scholar] [CrossRef]
- Sun, B.; Welsh, S.S.; Edgar, M.P.; Shapiro, J.H.; Padgett, M.J. Normalized ghost imaging. Opt. Express 2012, 20, 16892–16901. [Google Scholar] [CrossRef]
- Liu, H.; Yang, H.; Xiong, J.; Zhang, S. Positive and negative ghost Imaging. Phys. Rev. Appl. 2019, 12, 034019. [Google Scholar] [CrossRef]
- Liu, H. Imaging reconstruction comparison of different ghost imaging algorithms. Sci. Rep. 2020, 10, 14626. [Google Scholar] [CrossRef]
- Zerom, P.; Shi, Z.; O’ Sullivan, M.N.; Chan, K.W.C.; Krogstad, M.; Shapiro, J.H.; Boyd, R.W. Thermal ghost imaging with averaged speckle patterns. Phys. Rev. A 2012, 86, 063817. [Google Scholar] [CrossRef]
- Li, H.; Zhang, D.; Zhao, Q.; Wang, S.; Wang, H.; Xiong, J. Influence of detector response speed on the contrast-to-noise ratio of reflective ghost imaging. Opt. Commun. 2015, 355, 558–561. [Google Scholar] [CrossRef]
- Yang, H.; Wu, S.; Wang, H.; Cao, D.; Zhang, S.; Xiong, J.; Wang, K. Probability theory in conditional-averaging ghost imaging with thermal light. Phys. Rev. A 2018, 98, 053853. [Google Scholar] [CrossRef]
- Yu, W.; Leng, J. Probability theory of intensity correlation in ghost imaging with thermal light. Phys. Lett. A 2020, 384, 126778. [Google Scholar] [CrossRef]
- Liu, Z.; Meng, S.; Chen, X. A probability theory for filtered ghost imaging. Chin. Phys. B 2023, 32, 044204. [Google Scholar] [CrossRef]
- Wang, F.; Wang, C.; Chen, M.; Gong, W.; Zhang, Y.; Han, S.; Situ, G. Far-field super-resolution ghost imaging with a deep neural network constraint. Light Sci. Appl. 2022, 11, 1. [Google Scholar] [CrossRef]
- Zhang, Z.; Ma, X.; Zhong, J. Single-pixel imaging by means of Fourier spectrum acquisition. Nat. Commun. 2015, 6, 6225. [Google Scholar] [CrossRef]
- Ye, Z.; Qiu, P.; Wang, H.; Xiong, J.; Wang, K. Image watermarking and fusion based on Fourier single-pixel imaging with weighed light source. Opt. Express 2019, 27, 36505–36523. [Google Scholar] [CrossRef] [PubMed]
- Liu, Z.; Li, Z.; Zhao, Y.; Zhang, S.; Ye, Z.; Zhang, D.; Liu, H.; Xiong, J.; Li, H. Fourier single-pixel imaging via arbitrary illumination patterns. Phys. Rev. Appl. 2023, 19, 044025. [Google Scholar] [CrossRef]
- Zhang, Z.; Wang, X.; Zheng, G.; Zhong, J. Hadamard single-pixel imaging versus Fourier single-pixel imaging. Opt. Express 2017, 25, 19619. [Google Scholar] [CrossRef]
- Rousset, F.; Ducros, N.; Farina, A.; Valentini, G.; D’Andrea, C.; Peyrin, F. Adaptive basis scan by wavelet prediction for single-pixel imaging. IEEE Trans. Comput. Imaging 2017, 3, 36–46. [Google Scholar] [CrossRef]
- Zhang, C.; Guo, S.; Cao, J.; Guan, J.; Gao, F. Object reconstitution using pseudo-inverse for ghost imaging. Opt. Express 2014, 22, 30063–30073. [Google Scholar] [CrossRef] [PubMed]
- Gong, W. High-resolution pseudo-inverse ghost imaging. Photonic Res. 2015, 3, 234–237. [Google Scholar] [CrossRef]
- Lv, X.; Guo, S.; Wang, C.; Yang, C.; Zhang, H.; Song, J. Experimental investigation of iterative pseudoinverse ghost imaging. IEEE Photonics J. 2018, 10, 3900708. [Google Scholar] [CrossRef]
- Zhang, X.; Meng, X.; Yang, X.; Wang, Y.; Chen, H. Singular value decomposition ghost imaging. Opt. Express 2018, 26, 12948–12958. [Google Scholar] [CrossRef]
- Chen, L.; Wang, C.; Xiao, X.; Ren, C.; Zhang, D.; Li, Z.; Cao, D. Denoising in SVD-based ghost imaging. Opt. Express 2022, 30, 6248–6257. [Google Scholar] [CrossRef] [PubMed]
- Wang, D.; Liu, B.; Song, J.; Wang, Y.; Shan, X.; Zhong, X.; Wang, F. Dual-mode adaptive-SVD ghost imaging. Opt. Express 2023, 31, 486290. [Google Scholar] [CrossRef] [PubMed]
- Ma, P.; Meng, X.; Liu, F.; Yin, Y.; Yang, X. Singular value decomposition compressive ghost imaging based on multiple image prior information. Opt. Lasers Eng. 2024, 182, 108471. [Google Scholar] [CrossRef]
- Wang, L.; Zhao, S. Full color single pixel imaging by using multiple input single output technology. Opt. Express 2021, 29, 24486–24499. [Google Scholar] [CrossRef]
- Chen, L.; Zhao, Y.; Chen, L.; Wang, C.; Ren, C.; Cao, D. Color ghost imaging based on optimized random speckles and truncated singular value decomposition. Opt. Laser Technol. 2024, 169, 110007. [Google Scholar] [CrossRef]
- Wang, H.; Wang, X.; Gao, C.; Liu, X.; Wang, Y.; Zhao, H.; Yao, Z. High-quality computational ghost imaging with multi-scale light fields optimization. Opt. Laser Technol. 2024, 170, 110196. [Google Scholar] [CrossRef]
- Wang, S.; Meng, X.; Yin, Y.; Wang, Y.; Yang, X.; Zhang, X.; Peng, X.; He, W.; Dong, G.; Chen, H. Optical image watermarking based on singular value decomposition ghost imaging and lifting wavelet transform. Opt. Lasers Eng. 2019, 114, 76–82. [Google Scholar] [CrossRef]
- Chen, L.; Zhao, Y.; Ren, C.; Wang, C.; Cao, D. Target recognition based on singular value decomposition in a single-pixel non-imaging system. Photonics 2024, 11, 900. [Google Scholar] [CrossRef]
- Duan, D.; Du, S.; Xia, Y. Multiwavelength ghost imaging. Phys. Rev. A 2013, 88, 053842. [Google Scholar] [CrossRef]
- Zhang, D.; Li, H.; Zhao, Q.; Wang, S.; Wang, H.; Xiong, J.; Wang, K. Wavelength-multiplexing ghost imaging. Phys. Rev. A 2015, 92, 013823. [Google Scholar] [CrossRef]
- Goodman, J.W. Some fundamental properties of speckle. J. Opt. Soc. Am. 1976, 66, 1145–1150. [Google Scholar] [CrossRef]
Disclaimer/Publisher’s Note: The statements, opinions and data contained in all publications are solely those of the individual author(s) and contributor(s) and not of MDPI and/or the editor(s). MDPI and/or the editor(s) disclaim responsibility for any injury to people or property resulting from any ideas, methods, instructions or products referred to in the content. |
© 2026 by the authors. Licensee MDPI, Basel, Switzerland. This article is an open access article distributed under the terms and conditions of the Creative Commons Attribution (CC BY) license.






