Highly Sensitive SNS Structure Fiber Liquid-Sealed Temperature Sensor with PVA-Based Cladding for Large Range
Abstract
1. Introduction
2. Experimental and Methods
Sensing Principle and Structure Optimization
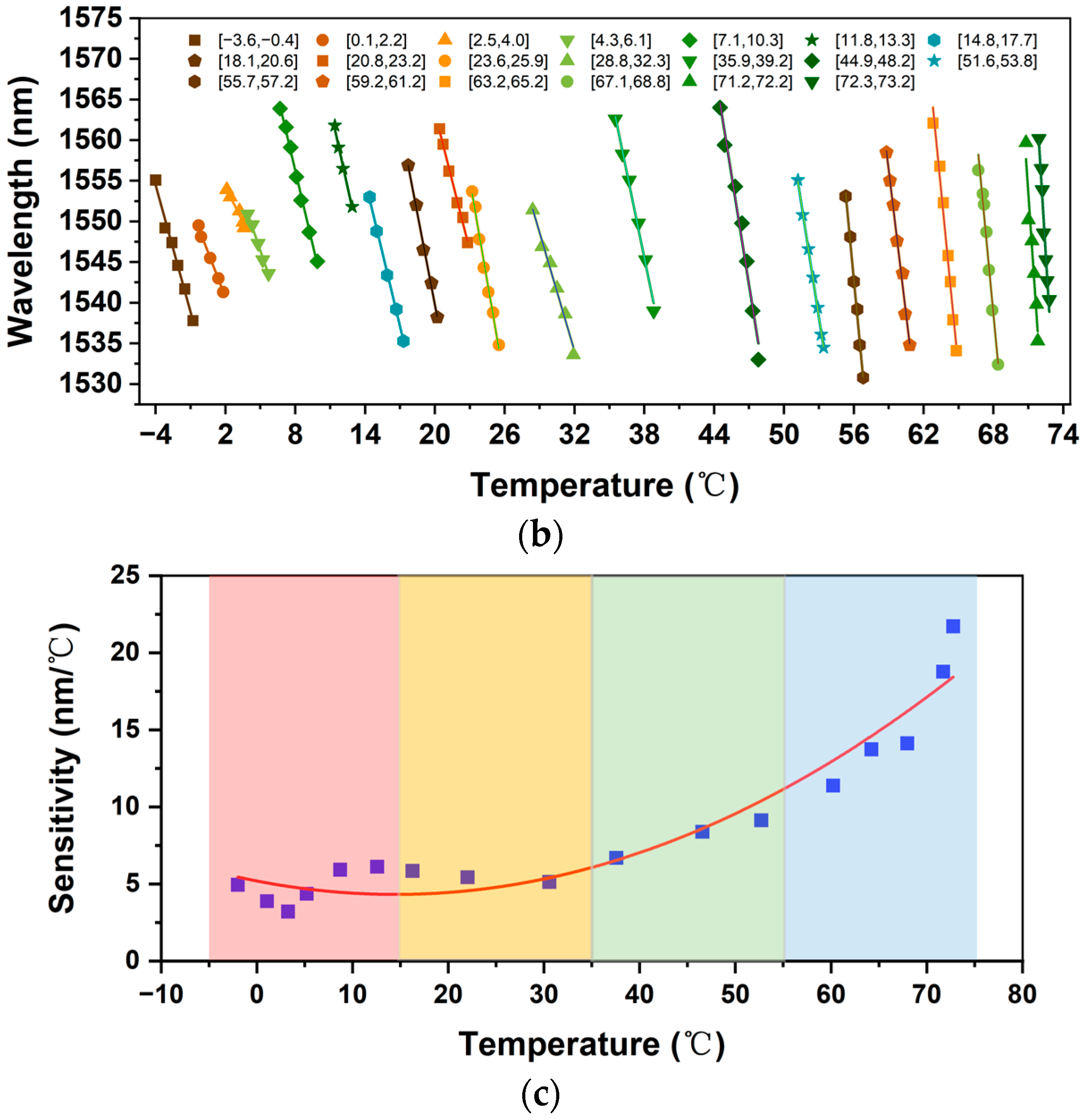
3. Results
4. Conclusions
Author Contributions
Funding
Institutional Review Board Statement
Informed Consent Statement
Data Availability Statement
Conflicts of Interest
References
- Zhang, S.; Deng, S.; Geng, T.; Sun, C.; Niu, H.; Li, X.; Wang, Z.; Li, X.; Ma, Y.; Yang, W.; et al. A Miniature Ultra Long Period Fiber Grating for Simultaneous Measurement of Axial Strain and Temperature. Opt. Laser Technol. 2020, 126, 106121. [Google Scholar] [CrossRef]
- Gonzalez-Reyna, M.A.; Alvarado-Mendez, E.; Estudillo-Ayala, J.M.; Vargas-Rodriguez, E.; Sosa-Morales, M.E.; Sier-ra-Hernandez, J.M.; Jauregui-Vazquez, D.; Rojas-Laguna, R. Laser Temperature Sensor Based on a Fiber Bragg Grating. IEEE Photon. Technol. Lett. 2015, 27, 1141–1144. [Google Scholar] [CrossRef]
- Hu, Y.; Lin, Q.; Yan, F.; Xiao, L.; Ni, L.; Liang, W.; Chen, L.; Liu, G.; Chen, Y.; Luo, Y.; et al. Simultaneous Measurement of the Refractive Index and Temperature Based on a Hybrid Fiber Interferometer. IEEE Sens. J. 2020, 20, 13411–13417. [Google Scholar] [CrossRef]
- Statkiewicz-Barabach, G.; Mergo, P.; Urbanczyk, W. Bragg Grating-Based Fabry–Perot Interferometer Fabricated in a Polymer Fiber for Sensing with Improved Resolution. J. Opt. 2017, 19, 015609. [Google Scholar] [CrossRef]
- Cai, M.; Chen, H.; Shi, R.; Li, H.; Zhang, S.; Jia, S.; Hu, J.; Li, S. Cryogenic temperature sensor based on fiber optic Sagnac interferometer with a panda polarization-maintaining fiber. Opt. Laser Technol. 2025, 180, 111477. [Google Scholar] [CrossRef]
- Shao, L.; Hu, J.; Lu, H.; Du, J.; Wu, T.; Wang, Y. High-Sensitivity Temperature Sensor Based on Polarization Maintaining Fiber Sagnac Loop. Photonic Sens. 2019, 9, 25–32. [Google Scholar] [CrossRef]
- Pizzaia, J.P.L.; Castellani, C.E.S.; Leal-Junior, A.G. Highly Sensitive Temperature Sensing Based on a Birefringent Fiber Sagnac Loop. Opt. Fiber Technol. 2022, 72, 102949. [Google Scholar] [CrossRef]
- Wang, J.; Wang, L.; Su, X.; Xiao, R.; Cheng, H. Temperature, Stress, Refractive Index and Humidity Multi Parameter Highly Integrated Optical Fiber Sensor. Opt. Laser Technol. 2022, 152, 108086. [Google Scholar] [CrossRef]
- Sakata, H.; Kosaka, F.; Hayakawa, K. Broadly Tunable Tm/Ho-Codoped Fiber Lasers Based on Temperature-Sensitive Single-Mode–Multimode–Single-Mode Fiber Structures. Appl. Opt. 2020, 59, 4016–4021. [Google Scholar] [CrossRef]
- Wu, Q.; Qu, Y.; Liu, J.; Yuan, J.; Wan, S.-P.; Wu, T.; He, X.-D.; Liu, B.; Liu, D.; Ma, Y.; et al. Singlemode-Multimode-Singlemode Fiber Structures for Sensing Applications—A Review. IEEE Sens. J. 2021, 21, 12734–12751. [Google Scholar] [CrossRef]
- Wang, K.; Dong, X.; Köhler, M.H.; Kienle, P.; Bian, Q.; Jakobi, M.; Koch, A.W. Advances in Optical Fiber Sensors Based on Multimode Interference (MMI): A Review. IEEE Sens. J. 2021, 21, 132–142. [Google Scholar] [CrossRef]
- Li, E.; Wang, X.; Zhang, C. Fiber-optic temperature sensor based on interference of selective higher-order modes. Appl. Phys. Lett. 2006, 89, 091119. [Google Scholar] [CrossRef]
- Zhao, Y.; Zhao, J.; Zhao, Q. Review of No-Core Optical Fiber Sensor and Applications. Sens. Actuators Phys. 2020, 313, 112160. [Google Scholar] [CrossRef]
- Silva, S.; Pachon, E.G.P.; Franco, M.A.R.; Jorge, P.; Santos, J.L.; Malcata, F.X.; Cordeiro, C.M.B.; Frazao, O. Curvature and Temperature Discrimination Using Multimode Interference Fiber Optic Structures—A Proof of Concept. J. Light. Technol. 2012, 30, 3569–3575. [Google Scholar] [CrossRef]
- Silva, S.; Pachon, E.G.P.; Franco, M.A.R.; Hayashi, J.G.; Malcata, F.X.; Frazão, O.; Jorge, P.; Cordeiro, C.M.B. Ultrahigh-Sensitivity Temperature Fiber Sensor Based on Multimode Interference. Appl. Opt. 2012, 51, 3236–3242. [Google Scholar] [CrossRef] [PubMed]
- Ling, C.; Li, J.; Wang, Y.; Chen, H.; Gu, L.; Ding, Y. Structure Optimization of a Liquid-Sealed SNS Fiber Optic Temperature Sensor. Opt. Laser Technol. 2023, 162, 109290. [Google Scholar] [CrossRef]
- Wu, Q.; Semenova, Y.; Hatta, A.M.; Wang, P.; Farrell, G. Bent SMS fibre structure for temperature measurement. Electron. Lett. 2010, 46, 1769. [Google Scholar] [CrossRef]
- Sun, H.; Hu, M.; Rong, Q.; Du, Y.; Yang, H.; Qiao, X. High sensitivity optical fiber temperature sensor based on the temperature cross-sensitivity feature of RI-sensitive device. Opt. Commun. 2014, 323, 28–31. [Google Scholar] [CrossRef]
- Reyes-Vera, E.; Cordeiro, C.M.B.; Torres, P. Highly sensitive temperature sensor using a Sagnac loop interferometer based on a side-hole photonic crystal fiber filled with metal. Appl. Opt. 2017, 56, 156–162. [Google Scholar] [CrossRef]
- She, L.; Wang, P.; Sun, W.; Wang, X.; Yang, W.; Brambilla, G.; Farrell, G. A Chalcogenide Multimode Interferometric Temperature Sensor Operating at a Wavelength of 2 μm. IEEE Sens. J. 2017, 17, 1721–1726. [Google Scholar] [CrossRef]
- Zhang, Y.; Xue, L.; Wang, T.; Yang, L.; Zhu, B.; Zhang, Q. High Performance Temperature Sensing of Single Mode-Multimode-Single Mode Fiber With Thermo-Optic Polymer as Cladding of Multimode Fiber Segment. IEEE Sens. J. 2014, 14, 1143–1147. [Google Scholar] [CrossRef]
- Sakata, H.; Okada, K.; Mochizuki, J. Highly Sensitive Temperature Sensor Based on Multimode-Interference Fiber Structure with Gel Cladding. Microw. Opt. Technol. Lett. 2021, 63, 1647–1651. [Google Scholar] [CrossRef]
- Chen, Y.; Hu, Y.; Yan, F.; Xiao, L.; Huang, J.; Ni, L.; Liang, W.; Liu, G.-S.; Chen, L.; Luo, Y.; et al. Ultrahigh-Sensitive and Compact Temperature Sensor Based on No-Core Fiber with PMMA Coating. Opt. Express 2021, 29, 37591–37601. [Google Scholar] [CrossRef]
- Chen, Q.; Yang, W.; Zhang, L.; Li, C.; Guan, C.; Xiong, Y.; Yang, Y.; Li, L. The fiber temperature sensor with PDMS sensitization based on the T-MFM fiber structure. Opt. Fiber Technol. 2021, 67, 102701. [Google Scholar] [CrossRef]
- Teng, C.; Liu, Y.; Min, R.; Hu, X.; Qin, Z.; Deng, H.; Yuan, L. An MMF–HCF Reflective SPR Sensor for Simultaneous Measurement of Temperature and Relative Humidity. IEEE Sens. J. 2023, 23, 21301–21307. [Google Scholar] [CrossRef]
- Chen, L.; Xu, Y.; Liu, Y.; Wang, J.; Chen, J.; Chang, X.; Zhu, Y. Flexible and Transparent Electronic Skin Sensor with Sensing Capabilities for Pressure, Temperature, and Humidity. ACS Appl. Mater. Interfaces 2023, 15, 24923–24932. [Google Scholar] [CrossRef] [PubMed]
- Al-Hayali, S.K.; Al-Janabi, A.H. All Fiber-Optic Temperature Sensor Based on Cladding Etched No-Core Fiber Coated with Nanostructured Copper Oxide-Polyvinyl Alcohol Thin Film. Optik 2020, 220, 165154. [Google Scholar] [CrossRef]
- Guirguis, O.W.; Moselhey, M.T.H. Optical Study of Poly(Vinyl Alcohol)/Hydroxypropyl Methylcellulose Blends. J. Mater. Sci. 2011, 46, 5775–5789. [Google Scholar] [CrossRef]
- Chen, T.; Jiang, H.; Xia, H.; Luo, H.; Xie, K. U-Shaped Microfiber Sensor Coated with PVA Nanofibers for the Simultaneous Measurement of Humidity and Temperature. Sens. Actuators B Chem. 2023, 378, 133203. [Google Scholar] [CrossRef]
- Tong, R.; Zhao, Y.; Zheng, H.; Xia, F. Simultaneous Measurement of Temperature and Relative Humidity by Compact Mach-Zehnder Interferometer and Fabry-Perot Interferometer. Measurement 2020, 155, 107499. [Google Scholar] [CrossRef]
- Li, F.; Li, X.-G.; Zhou, X.; Zhang, Y.-N.; Lv, R.-Q.; Zhao, Y.; Xie, L.-S.; Nguyen, L.V.; Ebendorff-Heidepriem, H.; Warren-Smith, S.C. Simultaneous Measurement of Temperature and Relative Humidity Using Cascaded C-Shaped Fabry-Perot Interferometers. J. Light. Technol. 2022, 40, 1209–1215. [Google Scholar] [CrossRef]
- Hu, P.; Chen, Z.; Yang, M.; Yang, J.; Zhong, C. Highly Sensitive Liquid-Sealed Multimode Fiber Interferometric Temperature Sensor. Sens. Actuators A Phys. 2015, 223, 114–118. [Google Scholar] [CrossRef]
- Ling, C.; Wang, Y.; Li, J.; Chen, H.; Ding, Y. Numerical and Experimental Study on Temperature Measurement Performance of SNS Fiber Optic Sensor with Liquid-Sealed. Opt. Fiber Technol. 2022, 73, 103042. [Google Scholar] [CrossRef]
- Zhang, R.; Liu, T.; Han, Q.; Chen, Y.; Li, L.; Yao, X.S. Temperature Cross-Sensitivity Characteristics of Singlemode–Multimode–Singlemode Fiber Structure. Rev. Sci. Instrum. 2015, 86, 013108. [Google Scholar] [CrossRef]
- Ogawa, S.; Koga, M.; Osanai, S. Anomalous ice nucleation behavior in aqueous polyvinyl alcohol solutions. Chem. Phys. Lett. 2009, 48, 86–89. [Google Scholar] [CrossRef][Green Version]
- Zhu, X.; Schulzgen, A.; Li, H.; Li, L.; Han, L.; Moloney, J.V.; Peyghambarian, N. Detailed investigation of self-imaging in largecore multimode optical fibers for application in fiber lasers and amplifiers. Opt. Express 2008, 16, 16632–16645. [Google Scholar] [CrossRef]
- Mohammed, W.S.; Smith, P.W.E.; Gu, X. All-fiber multimode interference bandpass filter. Opt. Lett. 2006, 31, 2547–2549. [Google Scholar] [CrossRef] [PubMed]
- Jiang, Y. Fourier Transform White-Light Interferometry for the Measurement of Fiber-Optic Extrinsic Fabry–Pérot Interferometric Sensors. IEEE Photon. Technol. Lett. 2008, 30, 75–77. [Google Scholar] [CrossRef]
- Yang, B.; Yang, B.; Zhang, J.; Yin, Y.; Niu, Y.; Ding, M. A sensing peak identification Method for fiber extrinsic Fabry–Perot interferometric refractive index sensing. Sensors 2019, 19, 96. [Google Scholar] [CrossRef] [PubMed]








| [−3.6, −0.4] | [0.1, 2.2] | [2.5, 4.0] | [4.3, 6.1] | [7.1, 10.3] | [11.8, 13.3] | [14.8, 17.7] | |
| Pearson’s r | −0.99526 | −0.99742 | −0.98542 | −0.99761 | −0.99807 | −0.99612 | −0.99911 |
| R2 (COD) | 0.99055 | 0.99485 | 0.97106 | 0.99523 | 0.99614 | 0.99226 | 0.99823 |
| [18.1, 20.6] | [20.8, 23.2] | [23.6, 25.9] | [28.8, 32.3] | [35.9, 39.2] | [44.9, 48.2] | [51.6, 53.8] | |
| Pearson’s r | −0.9982 | −0.99711 | −0.99563 | −0.99359 | −0.9969 | −0.98947 | −0.99944 |
| R2 (COD) | 0.9965 | 0.99422 | 0.99128 | 0.98722 | 0.9938 | 0.97905 | 0.99888 |
| [55.7, 57.2] | [59.2, 61.2] | [63.2, 65.2] | [71.2, 72.2] | [72.3, 73.2] | |||
| Pearson’s r | −0.99759 | −0.99561 | −0.99104 | −0.97478 | −0.98499 | ||
| R2 (COD) | 0.99518 | 0.99123 | 0.98216 | 0.95019 | 0.97021 |
| Sensing Structure | Max Temperature Sensitivity | Detection Range (°C) | Ref |
|---|---|---|---|
| SMS − ULPFG | 56.97 pm/°C | 26–118 | [1] |
| FBG + fiber ring laser | 18.8 pm/°C | 20–90 | [2] |
| SMS + BSF | −1.053 nm/°C | 30–70 | [3] |
| POF-FBG FPI | 25.1 pm/°C | 20–70 | [4] |
| SLI + PPMF | 1.8 nm/°C | −103.15–46.85 | [5] |
| SMF − PMF − SMF Sagnac Loop | 1.73 nm/°C | 30–50 | [6] |
| birefringent fiber Sagnac loop | 1.59 nm/°C | 18–42 | [7] |
| PMF + PVA film | 0.797 nm/°C | 20–100 | [8] |
| SMF − MMF (90/110) − SMF | 68 pm/°C | 30–90 | [8] |
| SNS + RI standard liquid (liquid-sealed) | 1.020 nm/°C | 7–105 | [9] |
| SMF − MMF (105/125) − SMF | 15 pm/°C | 100–750 | [12] |
| SNS + RI standard liquid | 1.18 nm/°C | 25–80 | [15] |
| SNS + ethanol and glycerol mixture (liquid-sealed) | −14.448 nm/°C | 2–30 | [16] |
| Bent SMS | 44.26 pm/°C | 20–80 | [17] |
| SNS + deionized water (liquid-sealed) | 358 pm/°C | 25–80 | [18] |
| SLI + In-filled side-hole PCF | −9.0 nm/°C | 22.4–46 | [19] |
| SLI + Bi-filled side-hole PCF | −1.80 nm/°C | 21.6–70.7 | [19] |
| SMF −chalcogenide fiber −SMF | 84.38 pm/°C | 20–100 | [20] |
| SMS + PUA polymer | −15 nm/°C | 12–87 | [21] |
| SMS + index-matching gels | −2 nm/°C | 40–200 | [22] |
| SNS + PMMA | 9.582 nm/°C | 25–45 | [23] |
| MMF-HCF SPR sensor + PVA or PDMS | 1.791 nm/°C | 25–80 | [25] |
| SNS + CuO-PVA film | 0.101 nm/°C | 25–235 | [27] |
| Bend fiber + PVA nanofiber | −0.19 nm/°C | 30–50 | [29] |
| FPI + MZI + GQDs-PVA | 0.37 nm/°C | 22.8–32.8 | [30] |
| C-shaped fiber + PVA+ PDMS | −0.722 nm/°C | 15–45 | [31] |
| SNS + glycerin solutions (liquid-sealed) | 5.15 nm/°C | 0–100 | [32] |
| SNS + ethanol or alcohol (liquid-sealed) | 158.6 pm/°C | 10–40 | [33] |
| SNS + glycerol–water mixture (liquid-sealed) | −453.4 pm/°C | 25–80 | [34] |
| SNS + PVAsolutions (liquid-sealed) | 21.713 nm/°C | −3.6–73.2 | this work |
Disclaimer/Publisher’s Note: The statements, opinions and data contained in all publications are solely those of the individual author(s) and contributor(s) and not of MDPI and/or the editor(s). MDPI and/or the editor(s) disclaim responsibility for any injury to people or property resulting from any ideas, methods, instructions or products referred to in the content. |
© 2025 by the authors. Licensee MDPI, Basel, Switzerland. This article is an open access article distributed under the terms and conditions of the Creative Commons Attribution (CC BY) license (https://creativecommons.org/licenses/by/4.0/).
Share and Cite
Cheng, S.; Tian, C.; Bai, X.; Zhang, Z. Highly Sensitive SNS Structure Fiber Liquid-Sealed Temperature Sensor with PVA-Based Cladding for Large Range. Photonics 2025, 12, 887. https://doi.org/10.3390/photonics12090887
Cheng S, Tian C, Bai X, Zhang Z. Highly Sensitive SNS Structure Fiber Liquid-Sealed Temperature Sensor with PVA-Based Cladding for Large Range. Photonics. 2025; 12(9):887. https://doi.org/10.3390/photonics12090887
Chicago/Turabian StyleCheng, Si, Chuan Tian, Xiaolei Bai, and Zhiyu Zhang. 2025. "Highly Sensitive SNS Structure Fiber Liquid-Sealed Temperature Sensor with PVA-Based Cladding for Large Range" Photonics 12, no. 9: 887. https://doi.org/10.3390/photonics12090887
APA StyleCheng, S., Tian, C., Bai, X., & Zhang, Z. (2025). Highly Sensitive SNS Structure Fiber Liquid-Sealed Temperature Sensor with PVA-Based Cladding for Large Range. Photonics, 12(9), 887. https://doi.org/10.3390/photonics12090887

