Next Article in Journal
Highly Sensitive SNS Structure Fiber Liquid-Sealed Temperature Sensor with PVA-Based Cladding for Large Range
Next Article in Special Issue
Robust and Interpretable Machine Learning for Network Quality Prediction with Noisy and Incomplete Data
Previous Article in Journal
Reinforcement Learning Compensatory-Based Fully Actuated Control Method for Risley Prisms
 
 
Font Type:
Arial Georgia Verdana
Font Size:
Aa Aa Aa
Line Spacing:
Column Width:
Background:
Article

High-Precision Point-Ahead Angle Real-Time Prediction Algorithm for Inter-Satellite Laser Links

School of Aerospace Science and Technology, Xidian University, Xi’an 710071, China
*
Authors to whom correspondence should be addressed.
Photonics 2025, 12(9), 886; https://doi.org/10.3390/photonics12090886
Submission received: 6 August 2025 / Revised: 23 August 2025 / Accepted: 30 August 2025 / Published: 3 September 2025

Abstract

The accurate prediction of the point-ahead angle (PAA) is crucial for applications of inter-satellite laser links (ISLLs), especially laser ranging and continuous communication. Herein, a real-time and high-precision point-ahead-angle algorithm is presented; the principle of the algorithm is mathematically characterized, and its performance is simulated and verified using typical on-orbit scenarios. The maximum PAAs of a typical geosynchronous equatorial orbit (GEO)–GEO link and low Earth orbit (LEO)–GEO link were simulated with this algorithm, and the results are consistent with those of typical calculation methods, proving the algorithm’s accuracy. The performance of the proposed algorithm was verified using a practical engineering application of ISLLs, where it was used to calculate the point-ahead angle during stable on-orbit communication. The Pearson correlations between the curves of azimuth, elevation, and total point-ahead angles, and the actual experimental data are 99.91%, 52.32%, and 98.01%, respectively. The corresponding average deviations are −5.8510 nrad, −1.0945 nrad, and −79.5403 nrad, respectively. The maximum calculation error is 5.2103%, and the calculation accuracy exceeds 94%. The above results show that the algorithm produces results that closely match actual on-orbit experimental data with high calculation accuracy, enabling the accurate prediction of the point-ahead angle and the improvement of ISLL stability. Additionally, with this method, the measurement error of the laser ranging is smaller than 50 μm, further enhancing the accuracy of precision measurements based on ISLLs.

1. Introduction

With continuous advancements in aerospace technology, inter-satellite laser communication has become an important research direction in the field of high-speed information transmission in space. Compared with microwave-based GNSS components, laser ranging shows higher performance in precision and contributes to improved orbital models of satellites. The precision of laser ranging and the stability of laser communication demand rapid establishment and long-term stabilization of inter-satellite laser links (ISLLs).
The divergence angle of a laser beam used in satellite laser communication is usually on the order of tens of microradians, and the extremely narrow beam alignment requires the laser terminal involved in ISLLs to have pointing and tracking accuracies on the order of microradians [1,2,3,4,5,6,7,8,9,10,11]. Since the two satellites involved in inter-satellite laser communication move relative to each other at a distance of thousands or even tens of thousands of kilometers, an inevitable transmission delay between them arises during laser beam transmission and reception. During this period, the laser terminals at both ends move along their respective flight orbits, generating a certain relative distance and angle. In order to maintain accurate laser ranging, stable tracking, and continuous communication of the laser link during this dynamic movement process, the transmitting end must accurately predict the additional movement angle caused by the bidirectional transmission delay of the beam in advance, according to the direction of the received beam. Then, the transmitting laser beam can target the predicted position of the receiving end to ensure accurate communication [11,12,13]. The laser beam emitted by the transmitting end is a Gaussian beam. The transmitting end will introduce a large additional pointing loss when the deviation of the PAA is too large, resulting in the deterioration of the link performance and the interruption of tracking or the communication link. Hence, in order to realize accurate laser ranging, stable tracking, and continuous communication of the laser link between satellites, the laser terminal needs to accurately predict the point-ahead angle, accounting for the delay in the relative movement of the two ends, and adjust the direction of the transmitting laser beam by loading the driver to control the advanced pointing lens through software.
At present, some research relevant to the estimation algorithms and ground test methods of the point-ahead angle of ISLLs has been carried out [12,13,14,15,16,17]. As early as 1977, McElroy et al. proposed that the point-ahead angle of the geosynchronous equatorial orbit (GEO)–GEO laser link and the low Earth orbit (LEO)–GEO laser link were 40 μrad and 70 μrad, respectively, but no calculation method was given [12]. In recent years, Wang et al. presented an advanced point-ahead angle measurement method in 2017 and conducted experimental verification, with a measurement accuracy of less than 1 μrad [13]. In 2020, Gerard et al. proposed a calculation method for the point-ahead angle of the GEO-GEO laser link and the LEO-GEO laser link. However, this method cannot calculate the point-ahead angle of an LEO-GEO laser link in real time [14]. In 2020, Zhang et al. studied a prediction method of the point-ahead angle based on the Kalman filter algorithm, and the maximum prediction error is 3.8 μrad [15]. In 2022, Shao et al. studied the algorithm for the point-ahead angle based on movement information fusion. The experimental results showed that the accuracy of the proposed method was better than 0.1 μrad under the working conditions of using very short arc optical data for orbit determination [16]. In the same year, Lazzaro et al. evaluated the possibility of accurately estimating the PAA in advance using the TLE (two-line element) sets for the orbiting satellite and found that the maximum error observed between the estimated and measured PAAs was less than 1 μrad, demonstrating the possibility of this point-ahead correction technique for LEO orbiting satellites [17]. In 2023, Wang et al. put forward a tracking compensation method for the point-ahead angle, but only completed simulation verification using MATLAB 2022 without obtaining actual on-orbit experimental verification [18]. In summary, the calculation results of the above-mentioned point-ahead angle estimation methods have not been verified in orbit, and the correctness and accuracy of the proposed algorithm cannot be evaluated.
In this work, a real-time and high-precision point-ahead angle algorithm was proposed and verified to accurately predict the point-ahead angle of ISLLs. Based on the spatiotemporal body coordinate rotation relationship between local and target satellites, the temporal variation in the azimuth and elevation components of the point-head angle can be accurately calculated, combined with the definition of the point-head angle and the angle projection relationship. This algorithm does not require additional filtering calculations and achieves higher prediction accuracy with less satellite computational resources. First, to verify the correctness of the proposed algorithm, the maximum point-ahead angles of typical GEO-GEO and LEO-GEO links were simulated and compared with the results in the existing literature. Then, based on an actual engineering application of ISLLs, the algorithm was used to simulate the temporal variation in azimuth, elevation, and synthetic point-ahead angles. The simulation results were analyzed and compared with on-orbit experimental results. The deviation between the calculations and the on-orbit experimental results was on the order of nanoradians, and the calculation accuracy was improved by three orders of magnitude compared with the existing literature (μrad). The algorithm proposed in this manuscript can be applied to the prediction of PAAs of various inter-satellite laser links in medium, low, and high orbits, with a wide application range and strong universality.

2. Basic Principle and Algorithm

The principle of the real-time high-precision point-head angle prediction algorithm is described in this section. As shown in Figure 1, in the laser link established between satellite S and satellite M, the transmitting angle of the laser beam emitted by the laser terminal on satellite S needs to follow the moving direction of satellite M to compensate for the point-ahead angle caused by the relative displacement of the two ends of the beam within the propagation time from t0 to t2. M ( t 0 ) S ( t 1 ) represents the direction of the signal from satellite M received by satellite S at time t1. S ( t 1 ) M ( t 2 ) represents the direction of the signal transmitted by satellite S at time t1. The angle β between S ( t 1 ) M ( t 0 ) and S ( t 1 ) M ( t 2 ) is the point-ahead angle of the ISLL.
In Figure 1, the position of satellite S in the J2000 coordinate system is denoted as p(xJ, yJ, zJ), and the velocity is denoted as v(vJx, vJy, vJz). For a three-axis stabilized satellite S, the origin of its body coordinate system is taken from the center of mass of the satellite, where Xs is the rolling axis, Ys is the elevation axis, and Zs is the yawing axis. When the flight attitude angle of the satellite is 0, the body coordinate system of the satellite coincides with the centroid orbit coordinate system. In this case, the coordinates δrJ(xJ, yJ, zJ) under the inertial ordinate system can be converted to the coordinates δrs(xs, ys, zs) under the centroid orbit coordinate system, and the conversion relationship can be expressed as:
δ r s = L o o 1 L Z u L X i L Z δ r J x s y s z s = 0 1 0 0 0 1 1 0 0 cos u sin u 0 sin u cos u 0 0 0 1 1 0 0 0 cos i sin i 0 sin i cos i cos sin 0 sin cos 0 0 0 1 x J y J z J = sin u cos cos u cos i sin sin u sin + cos u cos i cos cos u sin i sin i sin sin i cos cos i cos u cos + sin u cos i sin cos u sin sin u cos i cos sin u sin i x J y J z J
where LX and LZ are the rotation matrices rotating around XJ and ZJ, respectively [19]; u is the argument of latitude in the satellite Kepler-orbit parameters, which is equal to the sum of the argument of perigee ω and the true anomaly f; i is the inclination of the satellite orbit, Ω is the right ascension of the ascending node, and LOO1 is the inverse matrix of coordinate axes.
As can be seen from Figure 1, under the body coordinate system of satellite S, X s points to the forward direction of satellite S, in other words, to the direction of the velocity v . Z s always points to the Earth’s core, that is, to the origin 0J of the J2000 coordinate system. According to the magnitude r of the position vector r and the magnitude v of the velocity vector v at time t, the rotational angular velocity ω of satellite S under its body coordinate system can be expressed as:
ω = v r = v J x 2 + v J y 2 + v J z 2 x J 2 + y J 2 + z J 2
Under the body coordinate system of satellite S, the position of satellite M is denoted as M(xi, yi, zi, ti). In this case, the target vector r 1 from satellite S to satellite M at t1 can be expressed as r1(x1, y1, z1), and the target vector r 2 from satellite S to satellite M at t2 can be expressed as r2(x2, y2, z2). According to Equation (2), it can be calculated that in the period Δt = t2t1, the rotation angle θ of satellite S under its body coordinate system can be expressed as:
θ = ω t 2 t 1 = ω t
To obtain the point-ahead angle β of satellite M at t1 relative to satellite S, the coordinates of satellite M at t2 r2(x2, y2, z2) should be converted into the body coordinate system of satellite S at t1  r 2 ( x 2 , y 2 , z 2 ). According to the rotation relation of the coordinate systems and Equation (3), x 2 , y 2 , z 2 can be expressed as:
x 2 y 2 z 2 = cos θ 0 sin θ 0 1 0 sin θ 0 cos θ x 2 y 2 z 2 = cos ω t 0 sin ω t 0 1 0 sin ω t 0 cos ω t x 2 y 2 z 2
At t1, the azimuth angle A1 and elevation angle E1 under the body coordinate system of satellite S can be expressed as:
A 1 = arctan y 1 x 1
E 1 = arcsin z 1 r 1
At t2, the azimuth angle A 2 and elevation angle E 2 under the body coordinate system of satellite S can be expressed as:
A 2 = arctan y 2 x 2
E 2 = arcsin z 2 r 2
Thus, in the period Δt = t2t1, the azimuthal angular velocity A ˙ and the elevation angular velocity E ˙ of the target vector under the body coordinate system of satellite S can be expressed as:
A ˙ = A 2 A 1 t 2 t 1
E ˙ = E 2 E 1 t 2 t 1
According to the definition of the point-ahead angle, the bidirectional transmission delay can be approximated as twice that of the unidirectional transmission delay. Thus, the azimuth component βA, elevation component βE, and the total β of the point-ahead angle can be expressed by using the azimuth and elevation components as:
β A = 2 r 1 A ˙ cos E 1 c
β E = 2 r 1 E ˙ c
β = β A 2 + β E 2
where c is the speed of light in vacuum.

3. Simulation Results

Two typical ISLL scenarios, namely the GEO-GEO link and the LEO-GEO link, were selected to verify the correctness of the point-ahead angle estimation algorithm proposed in this work.
(1)
Simulation results of the point-ahead angle of the GEO-GEO link
For the GEO-GEO link, two GEO satellites are in the same circular orbit above the equator. According to the spatial position relationship between the two satellites, the point-ahead angle β of the GEO-GEO ISLL can be calculated by using the spatial position with the following equation:
β = 2 V T 1 V T 2 c = 4 ω GEO R O + R E sin α / 2 c
where VT1 and VT2 are the tangential components of the orbital speeds of the two satellites [12,13].
The rotational angular velocity ωGEO and the altitude R0 of a geosynchronous Earth orbit satellite are equal to 7.287 × 10−5 rad/s and 35,786 km, respectively. The radius of the Earth RE is equal to 6378 km. α is the angle between the center of the Earth between the two GEO satellites, and c is the speed of light in vacuum. It can be seen from Equation (14) that for a fixed α, the point-ahead angle of the laser link between two GEO satellites is a fixed value.
Figure 2 shows the simulated point-ahead angle results and the corresponding errors when the geocentric angle α is set to be 30°, 45°, 60°, 90°, 120°, 135°, and 150°, respectively. As shown in Figure 2, with the increase in α, the point-ahead angle of the GEO-GEO ISLL increases. Specifically, when the geocentric angle α is 30°, the simulated point-ahead angle β is 10.610 μrad, and when the geocentric angle α is 120°, the simulated point-ahead angle β is 35.502 μrad. For better comparison, the calculated curve of the relation between the point-ahead angle β and the geocentric angle α obtained from traditional Equation (14) is also given in Figure 2. Therefore, by comparing and analyzing the results obtained by Equation (14) and the algorithm proposed in this paper, the estimation error of the proposed algorithm is less than 7.5 nrad.
(2)
Simulation results of the point-ahead angle for the LEO-GEO link
For the LEO-GEO ISLL, the two satellites are located in different orbits. According to the spatial relationship between the two satellites, it can be known that when the LEO satellite crosses the equatorial plane, the relative speed between them reaches a maximum. Therefore, the point-ahead angle β of the LEO-GEO ISLL can be calculated by the following equation:
β = 2 V T 1 V T 2 c = 2 c V s 1 2 + V s 2 2 + 2 V s 1 V s 2 cos i 1 / 2
V s 1 = ω GEO R 0 + R E
V s 2 = ω LEO h + R E = μ 1 / 2   ( h + R E ) 3 / 2
where h and i are the orbital altitude and inclination of the LEO satellite, respectively [12,13]; ωGEO and ωLEO are the rotational angular velocities of the GEO and the LEO satellites, respectively. The geocentric gravitational constant μ is equal to 3.986 × 1014 m3/s2.
Figure 3 shows the simulated point-ahead angle results and the corresponding errors when the orbital inclination i is fixed at 0° and the orbital altitude h is set to be 250 km, 500 km, 800 km, 1000 km, 1500 km, and 2000 km. As shown in Figure 3, with the increase in h, the point-ahead angle of the LEO-GEO ISLL decreases. When the orbital altitude h is 250 km, the calculated maximum point-ahead angle β is 72.329 μrad, and when the orbital altitude h is 2000 km, the simulated maximum point-ahead angle β is 66.556 μrad. By comparing and analyzing the results obtained by traditional Equation (15) and the algorithm proposed in this paper, the estimation error of the proposed algorithm is less than 0.15 nrad.

4. Experimental Verification

4.1. Precision of PAA Predicted

Based on the proposed point-ahead angle estimation algorithm introduced above, the calculated results were compared with the experimental data obtained during an on-orbit bidirectional stable laser communication of an ISLL.
Figure 4 shows the calculated results and experimental data of the azimuth point-ahead angle. It can be seen from Figure 4 that the azimuth point-ahead angle of the ISLL varies in period for the time, and the corresponding calculation error varies from −19.1431 μrad to +19.0736 μrad. The Pearson correlation between the calculated results and the experimental data is 99.91%.
Figure 5 presents the calculated elevation point-ahead angle results of the ISLL and the on-orbit experimental data. As can be seen from Figure 5, the elevation point-ahead angle of the ISLL changes periodically along with the orbital motion, and the corresponding elevation point-ahead angle changes from 16.8625 μrad to 18.7351 μrad. The Pearson correlation coefficient between the calculated results and the actual experimental data of the ISLL is 52.3167%, which is mainly caused by the actual driving error of the fast-steering mirror used in the laser terminal.
Figure 6 gives the calculated total point-ahead angle results of the ISLL and the on-orbit experimental data. As can be seen from Figure 6, the combined point-ahead angle of the ISLL also changes periodically along with the orbital motion, and the corresponding combined point-ahead angle changes from 21.0947 μrad to 26.7657 μrad. The Pearson correlation coefficient between the calculated results and the actual experimental data of the ISLL is 98.01%.
According to the above analysis and discussion results, the error distribution of the calculated point-ahead angle based on the proposed algorithm is shown in Figure 7. As can be seen from Figure 7, the mean calculation errors of the elevation, azimuth, and combined point-ahead angle are −5.8510 nrad, −1.0945 nrad, and −79.5403 nrad, respectively, and the square deviations are 0.6048, 0.3151, and 0.3005, respectively. The maximum calculation error of the proposed algorithm is 5.2103%, indicating that the calculation accuracy is better than 94%.

4.2. Precision of Laser Ranging

The precision of laser ranging is also affected by the precision of the PAA error. The light spot area after long-distance transmission is larger compared to the satellite. Although the distance can still be detected, the detected error introduced by the calculation error of the point-ahead angle will affect the coaxiality of transmission and reception, which will further influence the laser ranging accuracy. The relationship of distance, PAA error, and the measurement error of laser ranging can be written as:
R = R ( 1 cos ( β ) )
where ΔR represents the measurement error of laser ranging, R corresponds to the distance, and Δβ represents the PAA error.
Based on this relationship, the precision of laser ranging was calculated under different conditions as follows, as shown in Figure 8. We can observe that the measurement error of laser ranging decreases as the PAA error decreases. Based on the PAA prediction algorithm proposed, the PAA error is bellow 1 μrad. Therefore, the measurement error of laser ranging is less than 50 μm.
In summary, the real-time high-precision point-ahead angle estimation algorithm proposed in this work for inter-satellite laser communication links has been verified by on-orbit data. It is characterized by high calculation accuracy, long-term prediction capability, and low resource consumption, which can meet the real-time prediction requirements of high-precision point-ahead angle estimation for various inter-satellite laser communication links and is of great significance for the rapid establishment of ISLLs and the stabilization of communication performance. Furthermore, the algorithm in this work also provides a reliable method for high-precision measurement using ISLLs.

5. Discussion

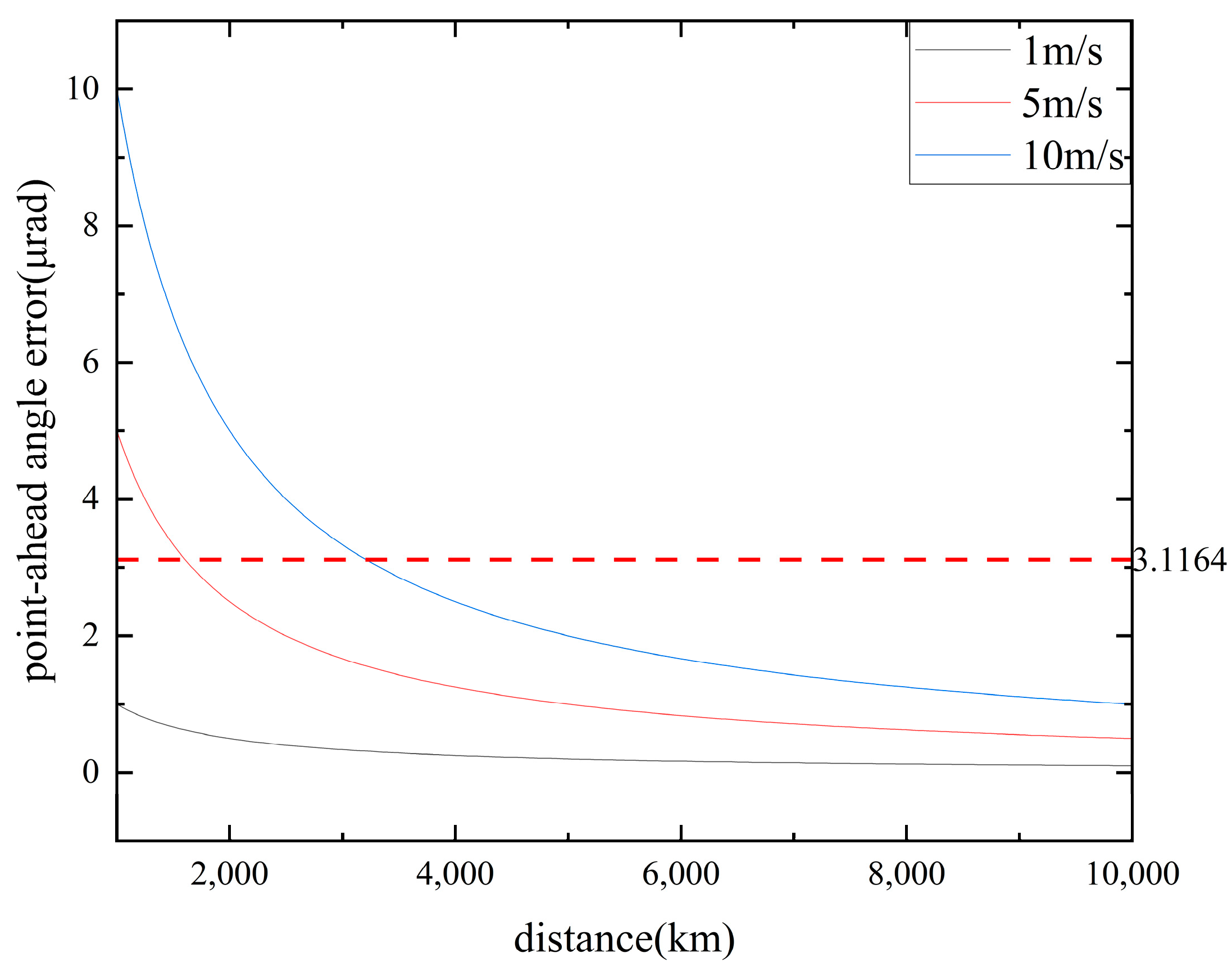
To maintain the stability of the ISLL, the PAA calculation error needs to be eliminated. Compared with other traditional calculation method (μrad and sub-μrad accuracy), our method shows higher performance (nrad accuracy) in precision and is more suitable for multiple scenarios such as GEO-GEO, GEO-LEO, and LEO-LEO [13,15]. Apart from the calculation error, the PAA error is also affected by the orbital recurrence accuracy. When the inter satellite distance is 10,000 km, a 1 m/s orbital recurrence accuracy will result in a pointing error of 100 nrad, as shown in Figure 9. When the distance becomes larger, the calculation accuracy of PAA has a greater impact on the PAA error. Therefore, improving the accuracy of the PAA is of great significance for the establishment and stability of the ISLL. In addition, for engineering applications, the higher the link stability, the higher the requirement for the PAA accuracy. Therefore, high PAA accuracy can provide engineering reserves for the long-term application of the ISLL. Meanwhile, the accuracy of the PAA is a crucial parameter used to characterize the ranging accuracy, in which improving the accuracy of PAA is also important for enhancing the measurement accuracy.

6. Conclusions

High-precision aiming is one of the most important preconditions for laser ranging and long-term link stabilization among satellites. Therefore, the transmitting end must accurately predict the point-ahead angle caused by the transmission delay according to the orbital information of both ends in advance and compensate for it in real time.
Given the requirements for laser ranging and establishing ISLLs, a point-ahead angle estimation algorithm is studied in this work, aiming to solve the problem of real-time compensation for the point-ahead angle of the laser link. Simulation and experimental verification were carried out based on typical on-orbit scenarios. The verification results show that the proposed algorithm is characterized by high precision, while the measurement error of laser ranging is less than 50 μm. The algorithm can meet the real-time prediction requirements of various ISLLs, such as GEO-GEO. In addition, the algorithm has a simple calculation process and low resource consumption. It has significant practical value in improving the measurement accuracy, aiming performance, and link stability of ISLLs and can be widely promoted and applied in inter-satellite laser communication.

Author Contributions

Conceptualization, X.L. (Xiangnan Liu); software, X.L. (Xiangnan Liu); validation, Z.D. and H.S.; formal analysis, X.L. (Xiangnan Liu); writing—original draft preparation, X.L. (Xiangnan Liu); writing—review and editing, X.L. (Xiangnan Liu); supervision, X.L. (Xiaoping Li); project administration, X.L. (Xiangnan Liu) and X.L. (Xiaoping Li); funding acquisition, X.L. (Xiaoping Li). All authors have read and agreed to the published version of the manuscript.

Funding

This work was supported by the National Natural Science Foundation of China (No. 52205576), Optoelectronic Measurement and Intelligent Perception Zhongguancun Open Lab (No. LabSOMP-2023-04), and the State Key Laboratory for Manufacturing Systems Engineering (Grant No. klms2021005).

Institutional Review Board Statement

Not applicable.

Informed Consent Statement

Not applicable.

Data Availability Statement

All the data used in this article can be obtained from the author upon reasonable request.

Conflicts of Interest

The authors declare no conflicts of interest.

References

  1. Lee, K.; Mai, V.; Kim, H. Acquisition Time in Inter-Satellite Laser Link Under Satellite Vibrations. IEEE Photonics J. 2023, 15, 7303009. [Google Scholar] [CrossRef]
  2. Ulmer, T.G.; Reynolds, B.; Moores, J.D.; Butterfield, M.; Kuperman, G. Implementing and Testing Generalized Pointing, Acquisition, and Tracking for a Space-Based Adaptive Communications Node (Space-BACN). In Proceedings of the SPIE Defense + Commercial Sensing, Orlando, FL, USA, 7–11 April 2024. [Google Scholar]
  3. Chaudhry, A.U.; Yanikomeroglu, H. Laser Intersatellite Links in a Starlink Constellation: A Classification and Analysis. IEEE Veh. Technol. Mag. 2021, 16, 48–56. [Google Scholar] [CrossRef]
  4. Chaudhry, A.U.; Yanikomeroglu, H. Temporary Laser Inter-Satellite Links in Free-Space Optical Satellite Networks. IEEE Open J. Commun. Soc. 2022, 3, 1413–1427. [Google Scholar] [CrossRef]
  5. Heine, F.; Brzoska, A.; Gregory, M.; Hiemstra, T.; Mahn, R.; Pimentel, P.M.; Zech, H. Status on Laser Communication Activities at Tesat-Spacecom. In Proceedings of the SPIE Optical Engineering + Applications, San Diego, CA, USA, 20–24 August 2023. [Google Scholar]
  6. Carrizo, C.; Knapek, M.; Horwath, J.; Gonzalez, D.D.; Cornwell, P. Optical Inter-Satellite Link Terminals for Next Generation Satellite Constellations. In Proceedings of the SPIE Free-Space Laser Communications XXXII, San Francisco, CA, USA, 1–6 February 2020. [Google Scholar]
  7. Hwang, J.S.; Lee, J.Y.; Chun, H. Ego-Satellite Perspective Multi-PAT Configurations for Optical Inter-Satellite Links. IEEE Access 2024, 12, 144412–144419. [Google Scholar] [CrossRef]
  8. Lee, K.; Mai, V.; Kim, H. Dynamic Adaptive Beam Control System Using Variable Focus Lenses for Laser Inter-Satellite Link. IEEE Photonics J. 2022, 14, 1–8. [Google Scholar] [CrossRef]
  9. Wang, X.; Han, J.; Cui, K.; Wang, C.; Xie, M.; Meng, X.; Chang, Z. On-Orbit Space Optical Communication Demonstration with a 22 s Acquisition Time. Opt. Lett. 2023, 48, 5980–5983. [Google Scholar] [CrossRef] [PubMed]
  10. Kahraman, Y.E.; Akbulut, A. Investigation of the Effects of Pointing Errors on Optical Intersatellite Links Using Real Orbital Data. In Proceedings of the 2021 8th International Conference on Electrical and Electronics Engineering (ICEEE), Istanbul, Turkey, 5–7 March 2021; IEEE: Piscataway, NJ, USA, 2021; pp. 273–276. [Google Scholar]
  11. Chaudhry, A.U.; Yanikomeroglu, H. Free Space Optics for Next-Generation Satellite Networks. IEEE Consum. Electron. Mag. 2020, 10, 21–31. [Google Scholar] [CrossRef]
  12. McElroy, J.H.; McAvoy, N.; Johnson, E.H.; Degnan, J.J.; Goodwin, F.E.; Henderson, D.M. CO2 Laser Communication Systems for Near-Earth Space Applications. Proc. IEEE 1977, 65, 221–251. [Google Scholar] [CrossRef]
  13. Wang, J.; Zhou, Y.; Bai, R.; Wang, G. Point-Ahead Angle and Co-Alignment Error Measurement Method for Free-Space Optical Communication Systems. J. Light. Technol. 2016, 35, 3886–3893. [Google Scholar] [CrossRef]
  14. Maral, G.; Bousquet, M.; Sun, Z. Satellite Communications Systems: Systems, Techniques and Technology, 6th ed.; John Wiley & Sons Ltd.: Chichester, UK, 2020; pp. 267–270. [Google Scholar]
  15. Zhang, F.; Ruan, P.; Han, J. Point Ahead Angle Prediction Based on Kalman Filtering of Optical Axis Pointing Angle in Satellite Laser Communication. Opt. Rev. 2020, 27, 447–454. [Google Scholar] [CrossRef]
  16. Shao, X.; Yuan, Z.; Liu, X. High-Accuracy Advance Pointing Angle Algorithm Based on Motion Information Fusion. Acta Opt. Sin. 2022, 42, 1812003. [Google Scholar]
  17. Lazzaro, R.; Bettanini, C. Evaluation of Satellite’s Point-Ahead Angle Derived from TLE for Laser Communication. Aerotec. Missili Spazio 2022, 101, 7–15. [Google Scholar] [CrossRef]
  18. Wang, Y.; Cong, S. Tracking Compensation of Inter Satellite Link Point Ahead Angle in Quantum Positioning System. J. Navig. Position 2023, 11, 80–91. [Google Scholar]
  19. Liu, Y.; Yi, D.; Wang, Z. Coordinate Transformation Methods from the Inertial System to the Centroid Orbit System. Aerosp. Control 2007, 25, 4–8. [Google Scholar]
Figure 1. Schematic diagram of the PAA for ISLLs.
Figure 1. Schematic diagram of the PAA for ISLLs.
Photonics 12 00886 g001
Figure 2. Simulation PAA results and the corresponding errors of the GEO-GEO laser link under different geocentric angles.
Figure 2. Simulation PAA results and the corresponding errors of the GEO-GEO laser link under different geocentric angles.
Photonics 12 00886 g002
Figure 3. Simulation PAA results and the corresponding errors of the LEO-GEO laser link under different LEO orbital altitudes.
Figure 3. Simulation PAA results and the corresponding errors of the LEO-GEO laser link under different LEO orbital altitudes.
Photonics 12 00886 g003
Figure 4. The calculated results (red dot) and experimental data (black dot) of the azimuth PAA.
Figure 4. The calculated results (red dot) and experimental data (black dot) of the azimuth PAA.
Photonics 12 00886 g004
Figure 5. The calculated results (red dot) and experimental data (black dot) of the elevation PAA.
Figure 5. The calculated results (red dot) and experimental data (black dot) of the elevation PAA.
Photonics 12 00886 g005
Figure 6. The calculated results (red dot) and experimental data (black dot) of the total PAA.
Figure 6. The calculated results (red dot) and experimental data (black dot) of the total PAA.
Photonics 12 00886 g006
Figure 7. The error distribution of the calculated PAA.
Figure 7. The error distribution of the calculated PAA.
Photonics 12 00886 g007
Figure 8. Relationship of distance, PAA error, and the measurement accuracy.
Figure 8. Relationship of distance, PAA error, and the measurement accuracy.
Photonics 12 00886 g008
Figure 9. Comparison of the calculation error and the orbit recursive error.
Figure 9. Comparison of the calculation error and the orbit recursive error.
Photonics 12 00886 g009
Disclaimer/Publisher’s Note: The statements, opinions and data contained in all publications are solely those of the individual author(s) and contributor(s) and not of MDPI and/or the editor(s). MDPI and/or the editor(s) disclaim responsibility for any injury to people or property resulting from any ideas, methods, instructions or products referred to in the content.

Share and Cite

MDPI and ACS Style

Liu, X.; Li, X.; Deng, Z.; Sun, H. High-Precision Point-Ahead Angle Real-Time Prediction Algorithm for Inter-Satellite Laser Links. Photonics 2025, 12, 886. https://doi.org/10.3390/photonics12090886

AMA Style

Liu X, Li X, Deng Z, Sun H. High-Precision Point-Ahead Angle Real-Time Prediction Algorithm for Inter-Satellite Laser Links. Photonics. 2025; 12(9):886. https://doi.org/10.3390/photonics12090886

Chicago/Turabian Style

Liu, Xiangnan, Xiaoping Li, Zhongwen Deng, and Haifeng Sun. 2025. "High-Precision Point-Ahead Angle Real-Time Prediction Algorithm for Inter-Satellite Laser Links" Photonics 12, no. 9: 886. https://doi.org/10.3390/photonics12090886

APA Style

Liu, X., Li, X., Deng, Z., & Sun, H. (2025). High-Precision Point-Ahead Angle Real-Time Prediction Algorithm for Inter-Satellite Laser Links. Photonics, 12(9), 886. https://doi.org/10.3390/photonics12090886

Note that from the first issue of 2016, this journal uses article numbers instead of page numbers. See further details here.

Article Metrics

Back to TopTop