Next Article in Journal
Theoretical and Experimental Investigation of Differential Modulation and Detection in FSO Systems
Previous Article in Journal
Demonstration of Multiple Access FSO Communication System Based on Silicon Optical Phased Array
 
 
Font Type:
Arial Georgia Verdana
Font Size:
Aa Aa Aa
Line Spacing:
Column Width:
Background:
Article

Tunable Unidirectional Guided Resonances in Momentum Space via a Si-Ge2Sb2Te5 Metasurface

1
College of Science, Hunan University of Science and Engineering, Yongzhou 425199, China
2
College of Physics and Optoelectronics, Taiyuan University of Technology, Taiyuan 030024, China
*
Author to whom correspondence should be addressed.
Photonics 2025, 12(11), 1121; https://doi.org/10.3390/photonics12111121
Submission received: 5 August 2025 / Revised: 4 November 2025 / Accepted: 11 November 2025 / Published: 13 November 2025

Abstract

Unidirectional guided resonances (UGRs) in periodic metasurfaces have recently attracted research interest because of their ability to achieve unidirectional radiation in all-dielectric structures without metal reflectors, which offers new possibilities for efficient grating couplers and unidirectional lasers. Here, we propose a hybrid metasurface consisting of silicon and Ge 2 Sb 2 Te 5 (GST) phase change material for controlled UGR generation in the mid-infrared region. Leveraging GST’s phase-change properties to modulate the optical response of the metasurface, we achieve tunable generation of the UGR, which is demonstrated to carry a topological charge of +1. Moreover, by adjusting the degree of GST phase transition, continuous tuning of the radiation asymmetry ratio from 10 4 to 1 is achieved for a specific in-plane momentum and operating wavelength. These findings offer a promising avenue for dynamically controllable UGRs, with potential applications in tunable on-chip optical couplers and light sources.

1. Introduction

In recent years, the emergence of metasurfaces has presented the possibility of realizing planar optical devices with ultrathin thickness. These microstructures have not only challenged traditional notions of optical components but have also opened doors to new frontiers in the field of photonics. By carefully designing the structure and arrangement of the subwavelength units constituting metasurfaces, it has been demonstrated that the phase, polarization, and amplitude of the incident optical field can be flexibly controlled. These unique abilities of metasurfaces have led to various applications in compact and multifunctional photonic devices, such as metalenses [1,2,3,4], structured light generators [5,6,7,8,9,10,11,12,13], beam steering [14,15,16], holographic imaging [17,18,19], integrated photodetectors [20,21,22,23,24], and plasmonic launchers [25,26]. Building on these foundational advancements, the integration of novel materials has been pivotal in elevating metasurface performance. Materials such as titanium nitride (TiN), graphene, Dirac semimetals, and black phosphorus exhibit exceptional properties that enhance optical device functionality [27,28,29,30]. For instance, TiN in solar absorbers and graphene in terahertz absorbers have achieved remarkable gains in broadband absorption efficiency. Likewise, Dirac semimetals and black phosphorus support innovative designs for dynamic optical tuning and switching, thereby broadening the scope of metasurface applications.
From a fabrication perspective, metasurfaces can be fabricated on both rigid and flexible platforms. On rigid substrates such as silicon and glass [31,32], CMOS-compatible top-down processes (lithography and dry etching) enable high-fidelity dielectric metasurfaces across the visible–IR spectrum. On flexible elastomers (e.g., PDMS/Ecoflex), mechanically reconfigurable devices can be realized by integrating functional conductors and nanomaterials—such as PDMS-supported graphene and liquid-metal-filled PDMS—offering stretchability, conformability, and dynamic tuning [33,34,35].
In addition to manipulating light field in real space by controlling the local optical response of constituent units within metasurfaces, recent research on the bound states in the continuum (BICs) existing in periodic metasurfaces has sparked enthusiasm for controlling optical fields in momentum space [36,37,38,39]. In momentum space, the BIC corresponds to a vortex polarization singularity (V point), thus it cannot couple with modes in free space and theoretically possesses an infinite quality factor [36]. Beyond ideal BICs, which are completely decoupled from radiation, symmetry breaking in the structure can transform BICs into quasi-BICs (q-BICs) that weakly couple to radiation while retaining a very high Q-factor. These characteristics render q-BICs valuable for various applications, including enhanced nonlinear optical effects [40,41,42,43], high-performance optical sensing and detection [44,45,46,47], and low-threshold lasers [48,49,50]. By breaking the symmetry of the structure, BICs also can be transformed into unidirectional guided resonances (UGRs), which can only radiate towards one side of the system [37,38]. Since UGRs can achieve unidirectional radiation in an all-dielectric structure without metal reflectors, they can be used in efficient grating couplers and directional laser emission. However, current implementations of UGRs rely on fine-tuning of structural parameters, posing fabrication challenges, and lack controllability of device functionality. There is still a lack of research on achieving tunable UGR devices within simple photonic structures.
In this paper, we propose a hybrid metasurface composed of silicon (Si) and Ge 2 Sb 2 Te 5 (GST) to achieve controllable generation of UGR in the mid-infrared region. GST, as a phase-change material, is utilized to control the optical response of the metasurface through a variable refractive index when its phase is changed [51,52]. By designing the structural parameters of this metasurface, we demonstrate that as GST transforms from crystalline to amorphous phase, the far-field radiation of the metasurface changes from bidirectional to unidirectional emission towards the upper side (i.e., forming a UGR). Further calculations show that the topological charge of this UGR is +1. Additionally, by controlling the degree of GST phase transition, continuous tuning of the asymmetry ratio between upward and downward radiation intensity at specific in-plane momentum and wavelength can be achieved. These results provide an effective approach for achieving dynamically controllable UGRs, which may find applications in tunable on-chip optical couplers.

2. Design and Method

As shown in the schematic diagram in Figure 1a, the designed metasurface consists of Si - Ge 2 Sb 2 Te 5 gratings on a SiO 2 substrate. The gratings have a period of a = 2500 nm , a thickness of H = 1495 nm , and a width of W = 1350 nm , with a thin GST layer sandwiched between Si layers and measuring 100 nm in thickness. For completeness, all geometric parameters used in the simulation study, including the SiO 2 substrate thickness H SiO 2 and the air superstrate height H air , are summarized in Table 1. These structural parameters were developed as follows. Initial values were selected based on key principles: a = 2500 nm to limit open radiation channels—facilitating BIC/UGR realization— H g = 100 nm for operable switching and index tunability, H λ / n Si to satisfy the vertical guidance condition, and W near f = W / a 0.5 for manufacturability. Subsequent minor adjustments (tens of nm and a few degrees in θ ) were applied through iterative feedback to optimize performance, with final values chosen at the center of the robust operational window. To generate a UGR, the sidewalls of the gratings are tilted to a specific angle θ , which can break the up-down mirror symmetry of the gratings and cause a difference in the radiation energy directed upward and downward. By carefully designing these structural parameters, the upward and downward radiation can be tuned by the phase change of GST layer. As depicted in Figure 1b, in this work, the designed metasurface is optimized to generate a UGR that can only radiate toward the upper side (i.e., into air) when the phase change layer transforms from crystalline GST (C-GST) to amorphous GST (A-GST).
To design a metasurface with the functionalities described above, we start with a free-standing metasurface with up-down mirror symmetry. The structure of the unit cell is shown in the inset of Figure 2a, which forms a grating with period a = 2500 nm , H = 1495 nm , W = 1350 nm and a C-GST layer with H g = 100 nm . To analyze the guided resonance modes and leakage radiation of the metasurface, eigenmode simulations based on finite element method (FEM) are performed for a unit cell. Periodic boundary conditions are used in the x-direction and perfectly matched layers (PMLs) with a thickness of 3 um are used in the z-direction. Both the air superstrate and SiO2 substrate are set to a thickness of 14 um . The maximum mesh element size in the air and substrate regions is 200 nm , and the mesh is further refined in the GST layer, Si layers, and sidewall regions to accurately resolve the field variation near material interfaces. The refractive indexes of Si and C-GST are set as 3.48 and 5.3, respectively. Figure 2a presents the photonic band structure for transverse electric (TE)-like modes, showing the relation between the real part of the eigenfrequency, R e ( ω ) = 2 π c / λ , and k x (the x-component of the wave vector). The calculation was performed by sweeping k x from 0 to 0.35 ( 2 π / a ) with a step size of Δ k x = 0.001 ( 2 π / a ) . Here, we focus on the radiation of band A (highlighted in red). As shown in Figure 2b, the Q factor of band A for the metasurface with θ = 90 exhibits a diverging value at about k x = 0.25 2 π / a , indicating the existence of an accidental BIC. To further demonstrate this, in Figure 2c, we present the mode profile at k x = 0.25 2 π / a , where it can be observed that there is no leakage radiation.
To transform this BIC into a UGR, it is required to break the up-down mirror symmetry of the structure. As shown by the red dashed line in Figure 2b, when the sidewall angle θ is set as 78 , the up-down symmetry breaking of the metasurface leads to the disruption of the BIC, and the Q value no longer diverges. The mode profile of this metasurface at k x = 0.25 2 π / a in Figure 2d shows that the resonance mode becomes leaky, which is consistent with a finite Q value in Figure 2b. The disruption of the BIC provides the conditions for achieving UGRs. In the following sections, we will demonstrate the tunable generation of UGR through phase transition of the GST layer in the metasurface.
In the final part of this section, we briefly discuss the fabrication feasibility of the proposed metasurface and the laser-induced phase transition of GST. The proposed Si–GST–Si metasurface can be experimentally realized by first depositing a Si (≈ 700 nm )/GST (100 nm )/Si (≈ 700 nm ) trilayer on a SiO 2 substrate, where the Si layers can be prepared by plasma-enhanced chemical vapor deposition (PECVD) and the GST layer by RF sputtering at room temperature. Subsequently, a wedge-shaped hydrogen silsesquioxane (HSQ) resist profile, defined by grayscale electron-beam lithography, is transferred into the multilayer using inductively coupled plasma reactive-ion etching (ICP-RIE), yielding the required asymmetric sidewalls that implement the up–down symmetry breaking for the BIC-to-UGR transition. As for the phase transition of GST, laser-induced switching provides a practical approach. Multiple low-power pulses (typically several pulses of 100 ns duration) are usually applied during the crystallization process to achieve uniform phase change, while amorphization is typically realized by a single, shorter (ps–ns) high-energy pulse. The entire switching process can be completed within nanoseconds to microseconds, depending on the direction of phase transition. The total energy required is approximately on the order of nJ/um2. Importantly, well-optimized laser switching has been widely reported to support high-endurance, reversible operation exceeding 10 7 10 8 cycles, underscoring its practicality for reconfigurable photonic devices.

3. Results and Discussion

In the mid-infrared wavelength range, the refractive index of GST can continuously change from about 5.3 in its crystalline state to 2.9 in its amorphous state, depending on the degree of crystallinity [52]. Based on the data in Ref [52] and given the narrow spectral band (4.35–4.7 um ) as well as the thin GST layer, dispersion within this range can be safely neglected. Therefore, a wavelength-independent refractive index is adopted for each phase in the simulations. Additionally, GST is modeled as lossless for similar reasons, owing to its small extinction coefficients ( k 0 for A-GST; k 0.086 for C-GST) and thin layer. As shown in Figure 3a, to investigate the effect of GST phase change on radiation from the metasurface, we consider the presence of a SiO2 substrate with refractive index of 1.4 in practical scenarios, and simulate the radiative losses toward the upward ( γ u ) and downward ( γ d ) of the structure along the k x axis for different refractive index n g from 5.3 to 2.9. Here, the presence of SiO2 substrate—together with the sidewall tilt—breaks the up–down mirror symmetry of the metasurface and changes the number of open radiation channels. Its addition can affect the formation of UGR and influence the balance between upward and downward radiation. It can be clearly observed that as the refractive index is gradually changed from 5.3 to 2.9 (i.e., GST transitioning from crystalline phase to amorphous phase), the downward radiative losses γ d gradually decrease and diverge at k x = 0.15 ( 2 π / a ) . In contrast, the upward radiative losses γ u exhibit a relatively smooth change without divergence. These results indicate the occurrence of a Unidirectional Guided Resonance (UGR) when GST transitions to its amorphous phase, which can only radiate toward the upper side of the metasurface because the downward radiation disappears at k x = 0.15 ( 2 π / a ) due to diverging γ d .
In Figure 3b, we additionally calculated the asymmetry ratio η between upward and downward radiative losses for different n g , where the asymmetry ratio is defined as η = γ u / γ d . It can be seen that as GST gradually transitions to its amorphous phase, the maximum value of asymmetry ratio η steadily increases and shifts towards larger k x (see the color circles in Figure 3b). Ultimately, upon transitioning to its amorphous state ( n g = 2.9 ), η tends to diverge at k x = 0.15 ( 2 π / a ) . This verifies the controllable generation of UGR through GST phase transition. Importantly, near the UGR point at n g = 2.9 , a high- η window ( η > 100 ) spans a finite spectral bandwidth of δ λ 10 n m and an angular bandwidth of δ k x 0.014 ( 2 π / a ) . Similar high- η windows persist for other n g values up to 3.5, with the center wavelength shifting modestly and the spectral bandwidth narrowing to 4 nm at n g = 3.5 , demonstrating limited but practical tunability. To further elucidate the effect of GST phase transition on the radiation field of the metasurface, in Figure 3c, we plot the electric field profiles at the maximum asymmetry ratio corresponding to n g ranging from 5.3 to 2.9. It can be observed that the downward radiation fields from the metasurface become progressively weaker with the phase transition of GST. When GST transitions completely into its amorphous state (A-GST, n g = 2.9 ), the downward radiation field vanishes, and the guided resonance only radiates upwards, directly demonstrating the presence of the UGR.
To gain deeper insight into the formation mechanism and topological property of the UGR in this metasurface, we plot the simulated far-field polarization distributions of upward and downward radiations in momentum space for n g = 4.1 , 3.5 , and 2.9 in Figure 4. For a polarization singularity (C point or V point), its topological charge q is defined as [36]
q = 1 2 π L d k k ϕ k ,
where L is a counterclockwise closed loop around the polarization singularity in momentum space. k = ( k x , k y ) is the in-plane wave vector. ϕ k = 1 2 arg S 1 + i S 2 is the orientation angle of the far-field radiation polarization state, where S 1 and S 2 are Stokes parameters determined by the far-field electric fields. Numerically, in this work the topological charge q is evaluated along a counter-clockwise square loop (with a side length of 0.02 ( 2 π / a ) ) around the identified singularity point with a uniform sampling step of δ k x = δ k y = 0.0005 ( 2 π / a ) .
In Figure 4a, it is shown that when n g = 4.1 , there exists a pair of C points with topological charges of + 1 / 2 in the downward radiation field, including one right circularly polarized state (RCP, blue circle) and one left circularly polarized state (LCP, red circle). However, no polarization singularities are present in the upward radiation field. As the refractive index of GST changes to n g = 3.5 , the pair of C points in the downward radiation field gradually approaches the k x axis. When GST transitions completely to amorphous state ( n g = 2.9 ), the pair of C points merge into one V point carrying a topological charge of + 1 at k x = 0.15 ( 2 π / a ) , indicating the generation of the UGR characterized by the complete suppression of downward leakage. As a result, γ d 0 , and l o g 10 ( γ d ) changes dramatically, as shown in Figure 3. However, no polarization singularities are present in the upward radiation field, and thus the upward radiation γ u varies smoothly. These results further demonstrate the topological properties of the tunable UGR generated in this metasurface. The merging behavior of this two C-points is determined by the structural parameters of the metasurface. The sidewall angle θ , together with other geometric parameters, controls their trajectories in ( k x , k y )-space—setting both the initial separation and the drift rate with respect to n g —and thus determines where the two C-points merge. This merging point defines the UGR.
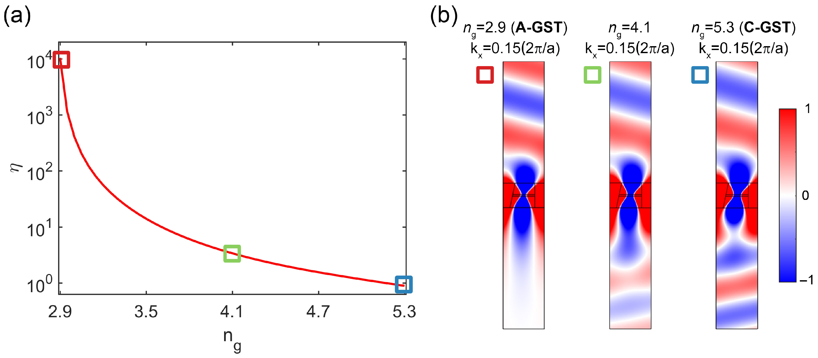
The results in Figure 3 and Figure 4 have shown the process and relevant mechanism of controlling the generation of the UGR in momentum space with the designed metasurface. Next, we focus on the continuous control of the metasurface radiation field at a specific k x or operating wavelength. We first examine the control of the asymmetric radiation towards both upward and downward sides of the metasurface at the fixed wave vector k x = 0.15 2 π / a . As shown in Figure 5a, as GST gradually transitions from A-GST n g = 2.9 to C-GST n g = 5.3 , the radiation asymmetry ratio η decreases gradually. It is worth noting that the metasurface is designed to generate the UGR (i.e., η diverges to infinity) at k x = 0.15 2 π / a when GST is in its amorphous phase, but due to computational accuracy, the asymmetry ratio η here is on the order of 10 4 in Figure 5a, which is large enough to ensure the performance of unidirectional radiation. As GST fully transitions to C-GST, the asymmetry ratio tends to 1, indicating that the intensities of upward and downward radiation fields are nearly identical. To illustrate this control effect more clearly, in Figure 5b, we provide the electric field profiles for n g = 2.9 , 4.1 , and 5.3 (corresponding to the color squares in Figure 5a). It can be observed that as GST undergoes phase transition, the radiation field of the guided resonance at k x = 0.15 2 π / a evolves from purely upward radiation (for A-GST) to approximately equal intensity of upward and downward radiations (for C-GST), which is consistent with the asymmetry ratio shown in Figure 5a.
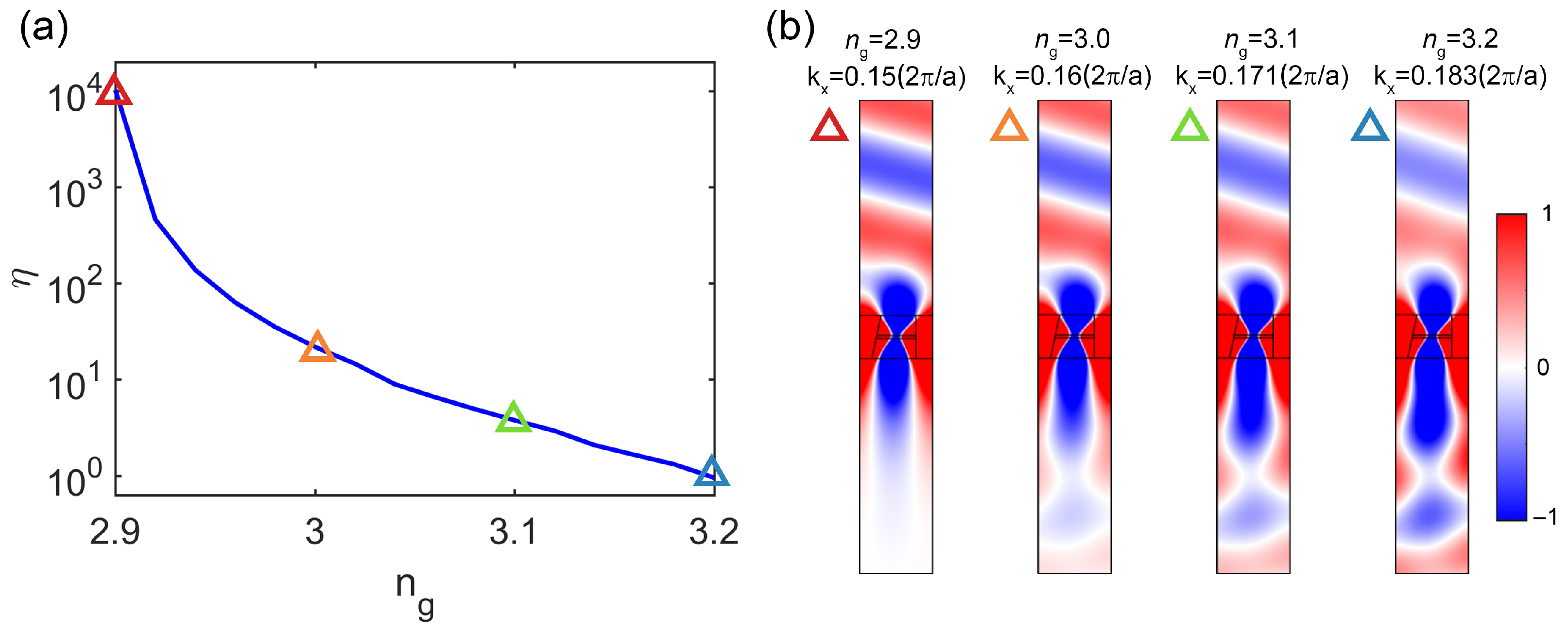
For the case of fixed operating wavelength, in Figure 6a, we present the asymmetry ratio η when varying refractive index of GST from 2.9 to 3.2 at the wavelength of 4392 nm (corresponding to the wavelength of UGR for A-GST). It is found that the radiation asymmetry ratio η changes more rapidly with variation of the refractive index of the GST layer compared to the case of fixed k x in Figure 5a. It can be observed that η decreases from 10 4 to about 1 when n g changes from 2.9 to 3.2. This faster change arises from the functional dependence of η and λ on both n g and k x . For fixed k x , the total derivative is η n g . In contrast, for fixed λ , variations in n g also induce a compensating shift in k x to satisfy the condition λ ( k x , n g ) = const . Consequently, the total derivative of η with respect to n g includes an additional term η k x · d k x d n g . Near the UGR point, this extra term acts constructively with the direct derivative η n g , significantly amplifying the overall sensitivity of η to n g , as shown in Figure 6. In fact, at the UGR point ( k x = 0.15 ( 2 π / a ) , n g = 2.9 ), η k x diverges to infinity due to the topological singularity of UGR in k-space. This strong sensitivity enables efficient tuning with small refractive-index changes, which is beneficial for high-sensitivity and fast-switching applications, although precise control of the GST state is required to ensure stability and repeatability. Figure 6b depicts electric field profiles for n g = 2.9 , 3.0 , 3.1 , and 3.2, clearly illustrating the evolution of guided resonance radiation from purely upward radiation to equal intensity of upward and downward radiations. These results in Figure 5 and Figure 6 convincingly demonstrate the effectiveness of our designed metasurface in achieving asymmetric radiation control by phase change of the sandwiched GST layer.
To conclude this section, we present Table 2, which benchmarks our phase-change metasurface against representative prior works, emphasizing its distinctive integration of in-operation tunability and non-volatile retention.

4. Conclusions

In summary, we have proposed a metasurface for tunable generation of UGR in the mid-infrared region by combining Si and GST phase change material. Through numerical simulations, it is demonstrated that when GST transitions from crystalline to amorphous phase, the metasurface can achieve a UGR radiating only upward. Furthermore, by studying the polarization distributions of far-field radiation in momentum space, we confirm the topological properties of this UGR and show that the vanishing of downward radiation is attributed to the emergence of the V point carrying a topological charge of +1. Further simulations show that by controlling the degree of phase transition for the GST layer, the asymmetry ratio between the upward and downward radiations can be adjusted from 10 4 to 1 at the specific wave vector k x = 0.15 ( 2 π / a ) and operating wavelength of 4392 nm, thereby achieving control from purely upward radiation to radiation with equal intensity towards the upward and downward sides. The proposed metasurface provides flexible control over the far-field radiation directionality in a simple structure, which could find applications in tunable grating couplers and light-emitting devices for on-chip photonic systems.

Author Contributions

Conceptualization, Z.-Y.Z. and Y.Y.; Data curation, Z.-Y.Z. and Y.Y.; Formal analysis, Z.-Y.Z. and Y.Y.; Investigation, Z.-Y.Z.; Methodology, Y.Y.; Project administration, Z.-Y.Z. and Y.Y.; Supervision, Z.-Y.Z. and Y.Y.; Validation, Z.-Y.Z. and Y.Y.; Writing—original draft, Z.-Y.Z. and Y.Y.; Writing—review & editing, Z.-Y.Z. and Y.Y. All authors have read and agreed to the published version of the manuscript.

Funding

This research was funded by the Hunan Provincial Natural Science Foundation of China (Grant No. 2021JJ40218) and the Fundamental Research Program of Shanxi Province (Grant No. 202203021221080).

Institutional Review Board Statement

Not applicable.

Informed Consent Statement

Not applicable.

Data Availability Statement

The data that support the findings of this study are available from the corresponding author upon reasonable request.

Conflicts of Interest

The authors declare no conflicts of interest.

Abbreviations

The following abbreviations are used in this manuscript:
BICBound state in the continuum
UGRUnidirectional guided resonance

References

  1. Chen, X.; Huang, L.; Mühlenbernd, H.; Li, G.; Bai, B.; Tan, Q.; Jin, G.; Qiu, C.W.; Zhang, S.; Zentgraf, T. Dual-polarity plasmonic metalens for visible light. Nat. Commun. 2012, 3, 1198. [Google Scholar] [CrossRef]
  2. Khorasaninejad, M.; Chen, W.T.; Devlin, R.C.; Oh, J.; Zhu, A.Y.; Capasso, F. Metalenses at visible wavelengths: Diffraction-limited focusing and subwavelength resolution imaging. Science 2016, 352, 1190–1194. [Google Scholar] [CrossRef]
  3. Bao, Y.; Jiang, Q.; Kang, Y.; Zhu, X.; Fang, Z. Enhanced optical performance of multifocal metalens with conic shapes. Light Sci. Appl. 2017, 6, e17071. [Google Scholar] [CrossRef]
  4. Wang, S.; Wu, P.C.; Su, V.C.; Lai, Y.C.; Chen, M.K.; Kuo, H.Y.; Chen, B.H.; Chen, Y.H.; Huang, T.T.; Wang, J.H.; et al. A broadband achromatic metalens in the visible. Nat. Nanotechnol. 2018, 13, 227–232. [Google Scholar] [CrossRef] [PubMed]
  5. Yue, F.; Wen, D.; Xin, J.; Gerardot, B.D.; Li, J.; Chen, X. Vector vortex beam generation with a single plasmonic metasurface. ACS Photonics 2016, 3, 1558–1563. [Google Scholar] [CrossRef]
  6. Jiang, Q.; Bao, Y.; Li, J.; Tian, L.; Fang, Z. Bi-channel Near- and Far-field Optical Vortex Generator Based on A Single Plasmonic Metasurface. Photonics Res. 2020, 8, 986–994. [Google Scholar] [CrossRef]
  7. Devlin, R.C.; Ambrosio, A.; Rubin, N.A.; Mueller, J.B.; Capasso, F. Arbitrary spin-to–orbital angular momentum conversion of light. Science 2017, 358, 896–901. [Google Scholar] [CrossRef] [PubMed]
  8. Zhang, Y.; Liu, W.; Gao, J.; Yang, X. Generating Focused 3D Perfect Vortex Beams By Plasmonic Metasurfaces. Adv. Opt. Mater. 2018, 6, 1701228. [Google Scholar] [CrossRef]
  9. Dorrah, A.H.; Rubin, N.A.; Zaidi, A.; Tamagnone, M.; Capasso, F. Metasurface optics for on-demand polarization transformations along the optical path. Nat. Photonics 2021, 15, 287–296. [Google Scholar] [CrossRef]
  10. Jiang, Q.; Xiang, H.; Han, D. Polarization-controlled generation and superposition of surface plasmon polariton vortices with a plasmonic metasurface. Appl. Phys. Lett. 2021, 119, 211102. [Google Scholar] [CrossRef]
  11. Zhang, X.; Huang, L.; Zhao, R.; Zhou, H.; Li, X.; Geng, G.; Li, J.; Li, X.; Wang, Y.; Zhang, S. Basis function approach for diffractive pattern generation with Dammann vortex metasurfaces. Sci. Adv. 2022, 8, eabp8073. [Google Scholar] [CrossRef] [PubMed]
  12. Ahmed, H.; Ansari, M.A.; Paterson, L.; Li, J.; Chen, X. Metasurface for Engineering Superimposed Ince-Gaussian Beams. Adv. Mater. 2024, 36, 2312853. [Google Scholar] [CrossRef] [PubMed]
  13. Jiang, Q.; Xiang, H.; Han, D. Generation of Bessel beams with tunable longitudinal electric and magnetic fields using an all-dielectric metasurface. Opt. Lett. 2023, 48, 920–923. [Google Scholar] [CrossRef]
  14. Yoon, G.; Lee, D.; Nam, K.T.; Rho, J. Geometric metasurface enabling polarization independent beam splitting. Sci. Rep. 2018, 8, 9468. [Google Scholar] [CrossRef] [PubMed]
  15. Hu, G.; Hong, X.; Wang, K.; Wu, J.; Xu, H.X.; Zhao, W.; Liu, W.; Zhang, S.; Garcia-Vidal, F.; Wang, B.; et al. Coherent steering of nonlinear chiral valley photons with a synthetic Au–WS2 metasurface. Nat. Photonics 2019, 13, 467–472. [Google Scholar] [CrossRef]
  16. Wang, J.; Jiang, Q.; Han, D. Multi-channel beam splitters based on gradient metasurfaces. Results Phys. 2021, 24, 104084. [Google Scholar] [CrossRef]
  17. Huang, L.; Chen, X.; Mühlenbernd, H.; Zhang, H.; Chen, S.; Bai, B.; Tan, Q.; Jin, G.; Cheah, K.W.; Qiu, C.W.; et al. Three-dimensional optical holography using a plasmonic metasurface. Nat. Commun. 2013, 4, 2808. [Google Scholar] [CrossRef]
  18. Wen, D.; Yue, F.; Li, G.; Zheng, G.; Chan, K.; Chen, S.; Chen, M.; Li, K.F.; Wong, P.W.H.; Cheah, K.W.; et al. Helicity multiplexed broadband metasurface holograms. Nat. Commun. 2015, 6, 8241. [Google Scholar] [CrossRef]
  19. Bao, Y.; Yan, J.; Yang, X.; Qiu, C.W.; Li, B. Point-source geometric metasurface holography. Nano Lett. 2020, 21, 2332–2338. [Google Scholar] [CrossRef]
  20. Du, B.; Yang, W.; Jiang, Q.; Shan, H.; Luo, D.; Li, B.; Tang, W.; Lin, F.; Shen, B.; Gong, Q.; et al. Plasmonic-functionalized broadband perovskite photodetector. Adv. Opt. Mater. 2018, 6, 1701271. [Google Scholar] [CrossRef]
  21. Mitrofanov, O.; Hale, L.L.; Vabishchevich, P.P.; Luk, T.S.; Brener, I. Perfectly absorbing dielectric metasurfaces for photodetection. APL Photonics 2020, 5, 101304. [Google Scholar] [CrossRef]
  22. Stewart, J.W.; Vella, J.H.; Li, W.; Fan, S.; Mikkelsen, M.H. Ultrafast pyroelectric photodetection with on-chip spectral filters. Nat. Mater. 2020, 19, 158–162. [Google Scholar] [CrossRef]
  23. Jiang, Q.; Du, B.; Jiang, M.; Liu, D.; Liu, Z.; Li, B.; Liu, Z.; Lin, F.; Zhu, X.; Fang, Z. Ultrathin circular polarimeter based on chiral plasmonic metasurface and monolayer MoSe2. Nanoscale 2020, 12, 5906–5913. [Google Scholar] [CrossRef] [PubMed]
  24. Wilson, N.C.; Shin, E.; Bangle, R.E.; Nikodemski, S.B.; Vella, J.H.; Mikkelsen, M.H. Ultrathin Pyroelectric Photodetector with Integrated Polarization-Sensing Metasurface. Nano Lett. 2023, 23, 6. [Google Scholar] [CrossRef] [PubMed]
  25. Lin, J.; Mueller, J.P.B.; Wang, Q.; Yuan, G.; Antoniou, N.; Yuan, X.C.; Capasso, F. Polarization-Controlled Tunable Directional Coupling of Surface Plasmon Polaritons. Science 2013, 340, 331–334. [Google Scholar] [CrossRef]
  26. Jiang, Q.; Bao, Y.; Lin, F.; Zhu, X.; Zhang, S.; Fang, Z. Spin-Controlled Integrated Near- and Far-Field Optical Launcher. Adv. Funct. Mater. 2018, 28, 1705503. [Google Scholar] [CrossRef]
  27. Liu, B.; Chen, F. Adjustable slow light and optical switch in a black phosphorus metamaterial based on double plasmon-induced transparency. Phys. B Condens. Matter 2025, 714, 417423. [Google Scholar] [CrossRef]
  28. Zhang, B.; Luo, Y. Dynamic optical tuning and sensing in L-shaped dirac semimetal-based terahertz metasurfaces. Phys. Lett. A 2025, 541, 130419. [Google Scholar] [CrossRef]
  29. Li, Z.; Cheng, S.; Zhang, H.; Yang, W.; Yi, Z.; Yi, Y.; Wang, J.; Ahmad, S.; Raza, R. Ultrathin broadband terahertz metamaterial based on single-layer nested patterned graphene. Phys. Lett. A 2025, 534, 130262. [Google Scholar] [CrossRef]
  30. Liu, H.; Li, J.; Yang, H.; Wang, J.; Li, B.; Zhang, H.; Yi, Y. TiN-Only Metasurface Absorber for Solar Energy Harvesting. Photonics 2025, 12, 443. [Google Scholar] [CrossRef]
  31. Han, G.W.; Jang, J.; Park, M.; Cho, H.J.; Song, J.; Park, Y. Large-scale fabrication of meta-axicon with circular polarization on CMOS platform. Nanophotonics 2024, 13, 4337–4345. [Google Scholar] [CrossRef] [PubMed]
  32. Jiao, S.; Zhao, K.; Jiang, J.; Zhao, K.; Guo, Q.; Wang, J.; Zhang, Y.; Chen, G.; Cheng, Q.; Zuo, P.; et al. Metasurface with all-optical tunability for spatially-resolved and multilevel thermal radiation. Nanophotonics 2024, 13, 1645–1655. [Google Scholar] [CrossRef] [PubMed]
  33. Li, J.; Fan, H.; Ye, H.; Wu, T.; Sun, Y.; Wang, X.; Liu, Y. Design of multifunctional tunable metasurface assisted by elastic substrate. Nanomaterials 2022, 12, 2387. [Google Scholar] [CrossRef]
  34. Li, X.j.; Hou, X.m.; Cheng, G.; Qiu, G.h.; Yan, D.x.; Li, J.s. Simulation on tunable graphene metasurface focusing mirror based on flexible substrate. Chin. Opt. 2021, 14, 1019–1028. [Google Scholar] [CrossRef]
  35. Kim, K.; Lee, D.; Eom, S.; Lim, S. Stretchable metamaterial absorber using liquid metal-filled polydimethylsiloxane (PDMS). Sensors 2016, 16, 521. [Google Scholar] [CrossRef]
  36. Zhen, B.; Hsu, C.W.; Lu, L.; Stone, A.D.; Soljacic, M. Topological Nature of Optical Bound States in the Continuum. Phys. Rev. Lett. 2014, 113, 257401. [Google Scholar] [CrossRef]
  37. Zeng, Y.; Hu, G.; Liu, K.; Tang, Z.; Qiu, C.W. Dynamics of topological polarization singularity in momentum space. Phys. Rev. Lett. 2021, 127, 176101. [Google Scholar] [CrossRef]
  38. Yin, X.; Jin, J.; Soljačić, M.; Peng, C.; Zhen, B. Observation of topologically enabled unidirectional guided resonances. Nature 2020, 580, 467–471. [Google Scholar] [CrossRef]
  39. Jiang, Q.; Du, B.; Yue, P.; Yu, Y. Evolution of topological singularities below the light line in momentum space. Opt. Lett. 2024, 49, 4010–4013. [Google Scholar] [CrossRef] [PubMed]
  40. Liu, Z.; Xu, Y.; Lin, Y.; Xiang, J.; Feng, T.; Cao, Q.; Li, J.; Lan, S.; Liu, J. High-Q quasibound states in the continuum for nonlinear metasurfaces. Phys. Rev. Lett. 2019, 123, 253901. [Google Scholar] [CrossRef]
  41. Koshelev, K.; Kruk, S.; Melik-Gaykazyan, E.; Choi, J.H.; Bogdanov, A.; Park, H.G.; Kivshar, Y. Subwavelength dielectric resonators for nonlinear nanophotonics. Science 2020, 367, 288–292. [Google Scholar] [CrossRef]
  42. Wang, J.; Clementi, M.; Minkov, M.; Barone, A.; Carlin, J.F.; Grandjean, N.; Gerace, D.; Fan, S.; Galli, M.; Houdré, R. Doubly resonant second-harmonic generation of a vortex beam from a bound state in the continuum. Optica 2020, 7, 1126–1132. [Google Scholar] [CrossRef]
  43. Wang, J.T.; Tonkaev, P.; Koshelev, K.; Lai, F.; Kruk, S.; Song, Q.; Kivshar, Y.; Panoiu, N.C. Resonantly enhanced second-and third-harmonic generation in dielectric nonlinear metasurfaces. Opto-Electron. Adv. 2024, 7, 230186. [Google Scholar] [CrossRef]
  44. Yesilkoy, F.; Arvelo, E.R.; Jahani, Y.; Liu, M.; Tittl, A.; Cevher, V.; Kivshar, Y.; Altug, H. Ultrasensitive hyperspectral imaging and biodetection enabled by dielectric metasurfaces. Nat. Photonics 2019, 13, 390–396. [Google Scholar] [CrossRef]
  45. Aigner, A.; Tittl, A.; Wang, J.; Weber, T.; Kivshar, Y.; Maier, S.A.; Ren, H. Plasmonic bound states in the continuum to tailor light-matter coupling. Sci. Adv. 2022, 8, eadd4816. [Google Scholar] [CrossRef]
  46. Du, B.; Zhang, Y.; Xie, F.; Chen, Z.; Wei, S.; Ge, Y.; Tian, X.; Jiang, Q.; Wang, Q.; Zhang, X.; et al. Single-Base Resolution Photonic-Integrated Chips via Hybrid Dielectric–Metal Nanocavities for Ultrasensitive Multichannel Biosensing. ACS Photonics 2024, 11, 4948–4957. [Google Scholar] [CrossRef]
  47. He, H.; Lai, F.; Zhang, Y.; Zhang, X.; Tian, C.; Li, X.; Wang, Y.; Xiao, S.; Huang, L. Spectro-polarimetric detection enabled by multidimensional metasurface with quasi-bound states in the continuum. Opto-Electron. Adv. 2025, 8, 250015. [Google Scholar] [CrossRef]
  48. Hirose, K.; Liang, Y.; Kurosaka, Y.; Watanabe, A.; Sugiyama, T.; Noda, S. Watt-class high-power, high-beam-quality photonic-crystal lasers. Nat. Photonics 2014, 8, 406–411. [Google Scholar] [CrossRef]
  49. Kodigala, A.; Lepetit, T.; Gu, Q.; Bahari, B.; Fainman, Y.; Kante, B. Lasing action from photonic bound states in continuum. Nature 2017, 541, 196. [Google Scholar] [CrossRef] [PubMed]
  50. Hwang, M.S.; Lee, H.C.; Kim, K.H.; Jeong, K.Y.; Kwon, S.H.; Koshelev, K.; Kivshar, Y.; Park, H.G. Ultralow-threshold laser using super-bound states in the continuum. Nat. Commun. 2021, 12, 4135. [Google Scholar] [CrossRef]
  51. Abdollahramezani, S.; Hemmatyar, O.; Taghinejad, M.; Taghinejad, H.; Krasnok, A.; Eftekhar, A.A.; Teichrib, C.; Deshmukh, S.; El-Sayed, M.A.; Pop, E.; et al. Electrically driven reprogrammable phase-change metasurface reaching 80% efficiency. Nat. Commun. 2022, 13, 1696. [Google Scholar] [CrossRef]
  52. Williams, C.; Hong, N.; Julian, M.; Borg, S.; Kim, H.J. Tunable mid-wave infrared Fabry-Perot bandpass filters using phase-change GeSbTe. Opt. Express 2020, 28, 10583–10594. [Google Scholar] [CrossRef] [PubMed]
  53. Cecchi, S.; Lopez Garcia, I.; Mio, A.M.; Zallo, E.; Abou El Kheir, O.; Calarco, R.; Bernasconi, M.; Nicotra, G.; Privitera, S.M. Crystallization and electrical properties of Ge-rich GeSbTe alloys. Nanomaterials 2022, 12, 631. [Google Scholar] [CrossRef] [PubMed]
  54. Zhou, S.; Li, Y.; Wang, W. Rotation-enabled efficient manipulation of bound states in the continuum and unidirectional guided resonances. Opt. Lett. 2025, 50, 2800–2803. [Google Scholar] [CrossRef]
  55. Xu, W.; Hong, Q.; Liu, P.; Peng, J.; Yang, B.; Zhang, J.; Zhu, Z. High quality factor unidirectional guided resonances of a silicon-on-lithium niobate photonic crystal slab for a tunable Gires–Tournois interferometer. Opt. Lett. 2023, 48, 4761–4764. [Google Scholar] [CrossRef] [PubMed]
  56. Zheng, B.J.; Shi, W.J.; Dong, H.Y.; Li, Y.T.; Li, J.Q.; Dong, Z.G.; Wang, J. Dynamical control of topological unidirectional guided resonances via external magnetic field. Phys. Rev. Res. 2025, 7, 013091. [Google Scholar] [CrossRef]
Figure 1. (a) Schematic of the proposed Si - Ge 2 Sb 2 Te 5 metasurface, which is constituted of gratings with period of a, thickness of H, width of W, sidewall angle θ , and a sandwiched GST layer with thickness of H g . (b) Illustration of the radiation from the metasurface when the GST layer transforms between crystalline and amorphous phase. (c) Ternary phase diagram of GST, modified and adapted from Ref. [53]. The temperature bar represents the crystallization temperature.
Figure 1. (a) Schematic of the proposed Si - Ge 2 Sb 2 Te 5 metasurface, which is constituted of gratings with period of a, thickness of H, width of W, sidewall angle θ , and a sandwiched GST layer with thickness of H g . (b) Illustration of the radiation from the metasurface when the GST layer transforms between crystalline and amorphous phase. (c) Ternary phase diagram of GST, modified and adapted from Ref. [53]. The temperature bar represents the crystallization temperature.
Photonics 12 01121 g001
Figure 2. (a) Calculated photonic band structures of TE-like modes of a free-standing grating with a = 2500 nm , H = 1495 nm , H g = 100 nm , and θ = 90 . The GST layer is crystalline phase. (b) Q factor of band A for θ = 90 (solid line) and 78 (dashed line). (c) Mode profile E y in the unit cell for band A at k x = 0.25 2 π / a when θ = 90 . (d) Mode profile in the unit cell for band A at k x = 0.25 2 π / a when θ = 78 .
Figure 2. (a) Calculated photonic band structures of TE-like modes of a free-standing grating with a = 2500 nm , H = 1495 nm , H g = 100 nm , and θ = 90 . The GST layer is crystalline phase. (b) Q factor of band A for θ = 90 (solid line) and 78 (dashed line). (c) Mode profile E y in the unit cell for band A at k x = 0.25 2 π / a when θ = 90 . (d) Mode profile in the unit cell for band A at k x = 0.25 2 π / a when θ = 78 .
Photonics 12 01121 g002
Figure 3. (a) Upward and downward radiative losses of band A when the GST layer transforms from C-GST n g = 5.3 to A-GST n g = 2.9 . (b) Calculated asymmetry ratio η between upward and downward radiative losses corresponding to the results in (a). (c) Mode profiles at k x of the maximum asymmetry ratio for n g = 5.3 , 4.7 , 4.1 , 3.5 , 2.9 [see the color circles in (b)].
Figure 3. (a) Upward and downward radiative losses of band A when the GST layer transforms from C-GST n g = 5.3 to A-GST n g = 2.9 . (b) Calculated asymmetry ratio η between upward and downward radiative losses corresponding to the results in (a). (c) Mode profiles at k x of the maximum asymmetry ratio for n g = 5.3 , 4.7 , 4.1 , 3.5 , 2.9 [see the color circles in (b)].
Photonics 12 01121 g003
Figure 4. Polarization distributions of upward and downward radiations when n g is (a) 4.1, (b) 3.5, and (c) 2.9. The blue (red) circles represent RCP (LCP) states, and the black circle indicates a V point with topological charge +1.
Figure 4. Polarization distributions of upward and downward radiations when n g is (a) 4.1, (b) 3.5, and (c) 2.9. The blue (red) circles represent RCP (LCP) states, and the black circle indicates a V point with topological charge +1.
Photonics 12 01121 g004
Figure 5. (a) Controlling asymmetry ratio η at k x = 0.15 2 π / a when the GST layer gradually transforms from A-GST n g = 2.9 to C-GST n g = 5.3 . (b) Mode profiles at k x = 0.15 2 π / a for n g = 2.9 , 4.1 , and 5.3, respectively.
Figure 5. (a) Controlling asymmetry ratio η at k x = 0.15 2 π / a when the GST layer gradually transforms from A-GST n g = 2.9 to C-GST n g = 5.3 . (b) Mode profiles at k x = 0.15 2 π / a for n g = 2.9 , 4.1 , and 5.3, respectively.
Photonics 12 01121 g005
Figure 6. (a) Controlling asymmetry ratio η at wavelength of 4392 nm when the refractive index of GST is gradually changed from n g = 2.9 to 3.2. (b) Mode profiles at 4392 nm for n g = 2.9 , 3.0 , 3.1 and 3.2, respectively.
Figure 6. (a) Controlling asymmetry ratio η at wavelength of 4392 nm when the refractive index of GST is gradually changed from n g = 2.9 to 3.2. (b) Mode profiles at 4392 nm for n g = 2.9 , 3.0 , 3.1 and 3.2, respectively.
Photonics 12 01121 g006
Table 1. Geometric parameters of the Si–Ge2Sb2Te5 metasurface used in simulations.
Table 1. Geometric parameters of the Si–Ge2Sb2Te5 metasurface used in simulations.
aH H g W θ H SiO 2 H air
2500 nm 1495 nm 100 nm 1350 nm 78 14 um 14 um
Table 2. Comparison of tunability and state retention.
Table 2. Comparison of tunability and state retention.
Ref.TunableNon-Volatile After Tuning?Holding Power to Keep State
[37,38,54]No
[55]YesNo>0
[56]YesNo>0
This workYesYes0
Disclaimer/Publisher’s Note: The statements, opinions and data contained in all publications are solely those of the individual author(s) and contributor(s) and not of MDPI and/or the editor(s). MDPI and/or the editor(s) disclaim responsibility for any injury to people or property resulting from any ideas, methods, instructions or products referred to in the content.

Share and Cite

MDPI and ACS Style

Zheng, Z.-Y.; Yu, Y. Tunable Unidirectional Guided Resonances in Momentum Space via a Si-Ge2Sb2Te5 Metasurface. Photonics 2025, 12, 1121. https://doi.org/10.3390/photonics12111121

AMA Style

Zheng Z-Y, Yu Y. Tunable Unidirectional Guided Resonances in Momentum Space via a Si-Ge2Sb2Te5 Metasurface. Photonics. 2025; 12(11):1121. https://doi.org/10.3390/photonics12111121

Chicago/Turabian Style

Zheng, Zhi-Yuan, and Ying Yu. 2025. "Tunable Unidirectional Guided Resonances in Momentum Space via a Si-Ge2Sb2Te5 Metasurface" Photonics 12, no. 11: 1121. https://doi.org/10.3390/photonics12111121

APA Style

Zheng, Z.-Y., & Yu, Y. (2025). Tunable Unidirectional Guided Resonances in Momentum Space via a Si-Ge2Sb2Te5 Metasurface. Photonics, 12(11), 1121. https://doi.org/10.3390/photonics12111121

Note that from the first issue of 2016, this journal uses article numbers instead of page numbers. See further details here.

Article Metrics

Back to TopTop