Full Bandwidth Time-Domain Intensity Statistical Characteristics of Raman Random Fiber Laser Based on a Temporal Dynamics Controllable Pump
Abstract
1. Introduction
2. Principle and Method
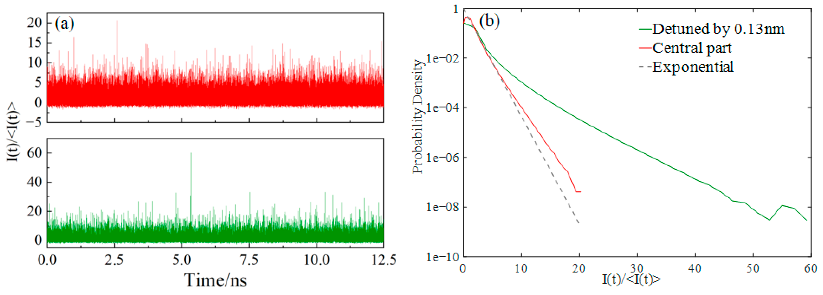
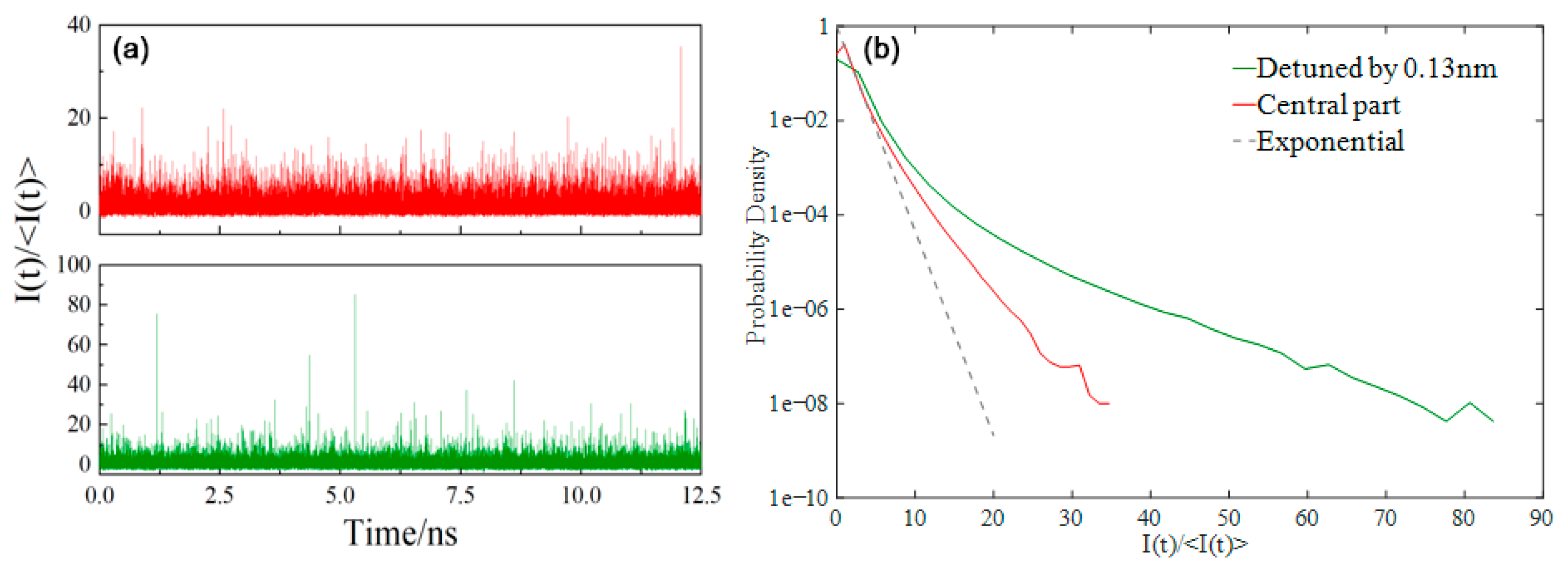
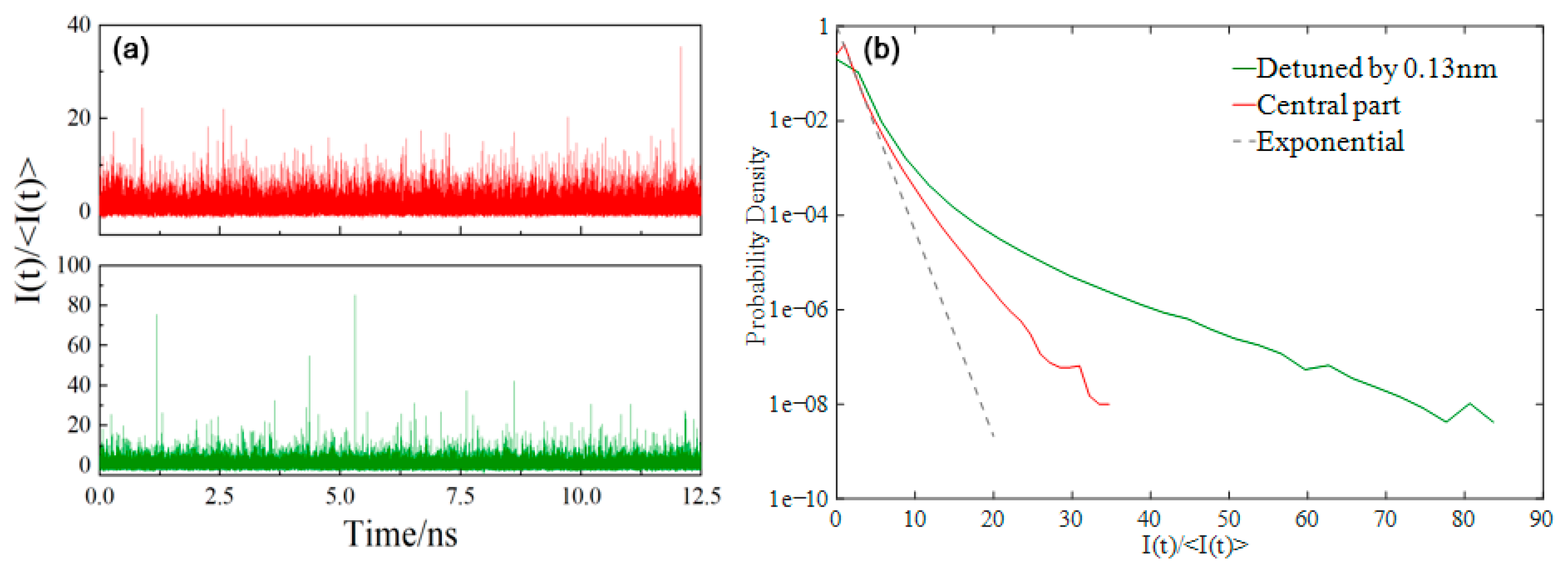
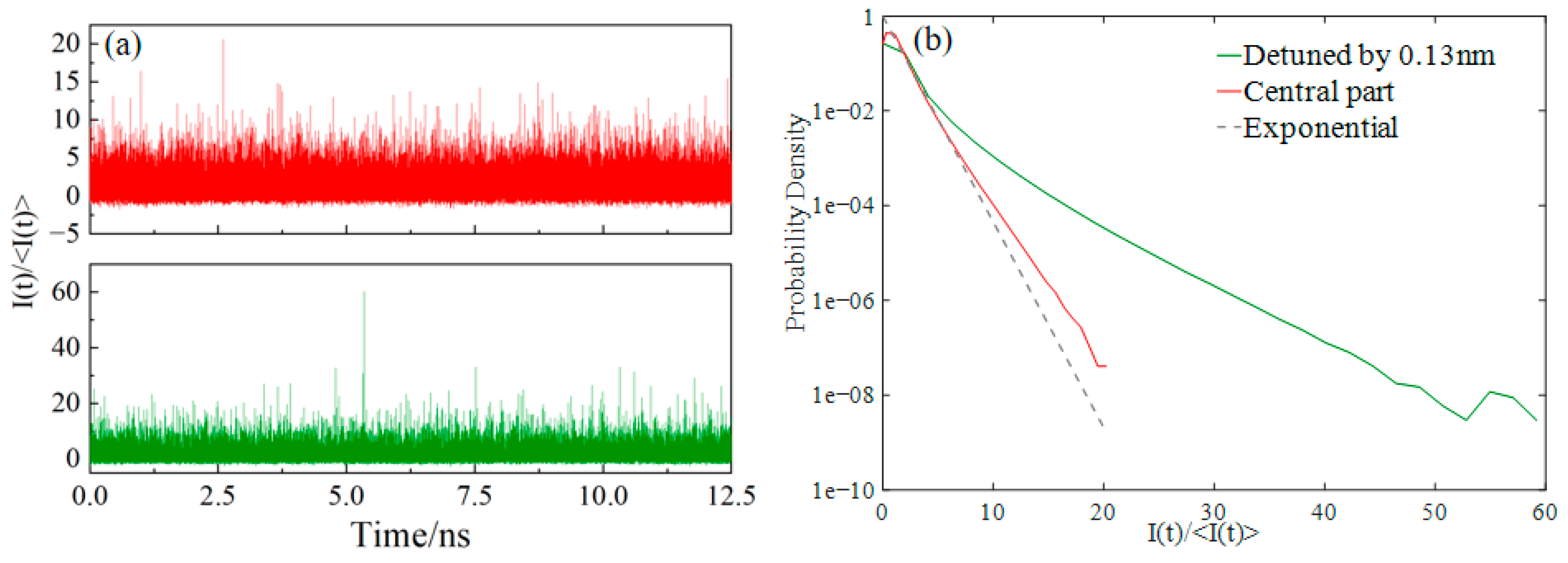
3. Results
4. Discussion
5. Conclusions
Author Contributions
Funding
Data Availability Statement
Conflicts of Interest
References
- Fotiadi, A.A.; Kiyan, R.V. Cooperative stimulated Brillouin and Rayleigh backscattering process in optical fiber. Opt. Lett. 1998, 23, 1805–1807. [Google Scholar] [CrossRef]
- Turitsyn, S.K.; Babin, S.A.; EI-Taher, A.E.; Harper, P.; Churkin, D.V.; Kablukov, S.I.; Ania-Castanon, J.D.; Karalekas, V.; Podivilov, E.V. Random distributed feedback fiber laser. Nat. Photonics 2010, 14, 231–235. [Google Scholar] [CrossRef]
- Vatnik, I.D.; Churkin, D.V.; Babin, S.A.; Nikulin, M.A. Cascaded random distributed feedback Raman fiber laser operating at 1.2 μm. Opt. Express 2011, 19, 18486–18494. [Google Scholar] [CrossRef]
- Zhang, Y.; Song, J.; Ye, J.; Xu, J.; Yao, T.; Zhou, P. Tunable random Raman fiber laser at 1.7 µm region with high spectral purity. Opt. Express 2019, 27, 28800–28807. [Google Scholar] [CrossRef]
- Babin, S.A.; Vatnik, I.D.; Laptev, A.Y.; Bubnov, M.M.; Dianov, E.M. High-efficiency cascaded Raman fiber laser with random distributed feedback. Opt. Express 2014, 22, 24929–24934. [Google Scholar] [CrossRef]
- Vatnik, I.D.; Churkin, D.V.; Podivilov, E.V.; Babin, S.A. High-efficiency generation in a short random fiber laser. Laser Phys. Lett. 2014, 11, 075101. [Google Scholar] [CrossRef][Green Version]
- Xu, J.; Huang, L.; Jiang, M.; Ye, J.; Ma, P.; Leng, J.; Wu, J.; Zhang, H.; Zhou, P. Near-diffraction-limited linearly polarized narrow-linewidth random fiber laser with record kilowatt output. Photonics Res. 2017, 5, 350–354. [Google Scholar] [CrossRef]
- Zhang, L.; Xu, Y.; Gao, S.; Saxena, B.; Chen, L.; Bao, X. Linearly polarized low-noise Brillouin random fiber laser. Opt. Lett. 2017, 42, 739–742. [Google Scholar] [CrossRef] [PubMed]
- Zhang, L.; Jiang, H.; Yang, X.; Pan, W.; Cui, S.; Feng, Y. Nearly-octave wavelength tuning of a continuous wave fiber laser. Sci. Rep. 2017, 7, 42611. [Google Scholar] [CrossRef]
- Zhang, Y.; Ye, J.; Ma, X.; Xu, J.; Song, J.; Yao, T.; Zhou, P. High power tunable multiwavelength random fiber laser at 1.3 μm waveband. Opt. Express 2021, 29, 5516–5524. [Google Scholar] [CrossRef]
- Han, B.; Wu, H.; Liu, Y.; Dong, S.; Rao, Y.; Wang, Z.; Xu, J.; Ma, L. Ultralong Single-Ended Random Fiber Laser and Sensor. Laser Photonics Rev. 2023, 17, 2200923. [Google Scholar] [CrossRef]
- Jia, X.; Rao, Y.; Peng, F.; Wang, Z.; Zhang, W.; Wu, H.; Jiang, Y. Random-lasing-based distributed fiber-optic amplification. Opt. Express 2013, 21, 6572–6577. [Google Scholar] [CrossRef] [PubMed]
- Wang, S.; Zhang, W.; Yang, N.; Ma, R.; Zhang, Y.; Wang, Z.; Zhang, J.; Rao, Y. High-Power Multimode Random Fiber Laser for Speckle-Free Imaging. Ann. Phys. 2021, 533, 2100284. [Google Scholar]
- Wu, H.; Hu, B.; Chen, L.; Peng, F.; Wang, Z.; Genty, G.; Liang, H. Mid-infrared computational temporal ghost imaging. Light Sci. Appl. 2024, 13, 45. [Google Scholar] [CrossRef] [PubMed]
- Jiang, L.; Wu, J.; Song, R.; Chen, Z.; Zhu, X.; Li, F.; Li, K.; Zhang, H.; Hou, J. Kilowatt-level supercontinuum generation in a single-stage random fiber laser with a half-open cavity. High. Power Laser Sci. Eng. 2023, 11, e80. [Google Scholar] [CrossRef]
- He, J.; Song, R.; Tao, Y.; Hou, J. Supercontinuum generation directly from a random fiber laser based on photonic crystal fiber. Opt. Express 2020, 28, 27308–27315. [Google Scholar] [CrossRef]
- Cui, S.; Qian, J.; Zeng, X.; Cheng, X.; Gu, X.; Feng, Y. A watt-level yellow random laser via single-pass frequency doubling of a random Raman fiber laser. Opt. Fiber Technol. 2021, 64, 102545. [Google Scholar] [CrossRef]
- Wu, H.; Wang, W.; Hu, B.; Li, Y.; Tian, K.; Ma, R.; Li, C.; Liu, J.; Yao, J.; Liang, H. Widely tunable continuous-wave visible and mid-infrared light generation based on a dual-wavelength switchable and tunable random Raman fiber laser. Photonics Res. 2023, 11, 808–816. [Google Scholar] [CrossRef]
- Fan, M.; Lin, S.; Yao, K.; Qi, Y.; Zhang, J.; Zheng, J.; Wang, P.; Ni, L.; Bao, X.; Zhou, D.; et al. Spectrum-tailored random fiber laser towards ICF laser facility. Matter Radiat. Extrem. 2023, 8, 025902. [Google Scholar] [CrossRef]
- Churkin, D.V.; Kolokolov, I.V.; Podivilov, E.V.; Vatnik, I.D.; Nikulin, M.A.; Vergeles, S.S.; Terekhov, I.S.; Lebedev, V.V.; Falkovich, G.; Babin, S.A.; et al. Wave kinetics of random fiber lasers. Nat. Commun. 2015, 6, 6214. [Google Scholar] [CrossRef]
- Smirnov, S.V.; Churkin, D.V. Modeling of spectral and statistical properties of a random distributed feedback fiber laser. Opt. Express 2013, 21, 21236–21241. [Google Scholar] [CrossRef]
- Han, B.; Cheng, Q.; Tao, Y.; Ma, Y.; Liang, H.; Ma, R.; Qi, Y.; Zhao, Y.; Wang, Z.; Wu, H. Spectral Manipulations of Random Fiber Lasers: Principles, Characteristics, and Applications. Laser Photonics Rev. 2024, 18, 2400122. [Google Scholar] [CrossRef]
- Churkin, D.V.; Sugavanam, S.; Vatnik, I.D.; Wang, Z.; Podivilov, E.V.; Babin, S.A.; Rao, Y.; Turitsyn, S.K. Recent advances in fundamentals and applications of random fiber lasers. Adv. Opt. Photonics 2015, 7, 516–569. [Google Scholar] [CrossRef]
- Sugavanam, S.; Sorokina, M.; Churkin, D.V. Spectral correlations in a random distributed feedback fiber laser. Nat. Commun. 2017, 8, 15514. [Google Scholar] [CrossRef] [PubMed]
- Li, J.; Wu, H.; Wang, Z.; Lin, S.; Lu, C.; Raposo, E.P.; Gomes, A.S.L.; Rao, Y. Lévy spectral intensity statistics in a Raman random fiber laser. Opt. Lett. 2019, 44, 2799–2802. [Google Scholar] [CrossRef]
- Ni, L.; Qi, Y.; Bao, X.; Zhang, J.; Wang, P.; Wu, H.; Wang, Z. Temporal-spectral correlation dynamics of Raman random fiber laser. Sci. China Inf. Sci. 2025, 68, 112301. [Google Scholar] [CrossRef]
- Ghofraniha, N.; Viola, I.; Di Maria, F.; Barbarella, G.; Gigli, G.; Leuzzi, L.; Conti, C. Experimental evidence of replica symmetry breaking in random lasers. Nat. Commun. 2015, 6, 6058. [Google Scholar] [CrossRef]
- Gomes, A.S.L.; Lima, B.C.; Pincheira, P.I.R.; Moura, A.L.; Gagné, M.; Raposo, E.P.; Araújo, C.B.; Kashyap, R. Glassy behavior in a one-dimensional continuous-wave erbium-doped random fiber laser. Phys. Rev. A 2016, 94, 011801. [Google Scholar] [CrossRef]
- Zhang, L.; Zhang, J.; Pang, F.; Wang, T.; Chen, L.; Bao, X. Transient replica symmetry breaking in Brillouin random fiber lasers. PhotoniX 2023, 4, 33. [Google Scholar] [CrossRef]
- Zhong, Z.; Zhang, L.; Guo, X.; Zhang, J.; Zhu, M.; Pang, F.; Wang, T. Observation and all-optical manipulation of replica symmetry breaking dynamics in a multi-Stokes-involved Brillouin random fiber laser photonic system. Opt. Express 2024, 32, 18639–18649. [Google Scholar] [CrossRef]
- Li, Y.; Zhong, Z.; Zhang, L.; Wei, Z.; Khalil, D.; Kotb, H.; Wei, H.; Zhu, M.; Wen, J.; Pang, F.; et al. Replica symmetry breaking dynamics in high-order optical mode multi-Stokes coherent random fiber laser. APL Photonics 2025, 10, 070804. [Google Scholar] [CrossRef]
- Qi, Y.; Ni, L.; Ye, Z.; Zhang, J.; Bao, X.; Wang, P.; Rao, Y.; Raposo, E.P.; Gomes, A.S.L.; Wang, Z. Replica symmetry breaking in 1D Rayleigh scattering system: Theory and validations. Light Sci. Appl. 2024, 13, 151. [Google Scholar] [CrossRef] [PubMed]
- Bao, X.; Lin, S.; Zhang, J.; Ni, L.; Qi, Y.; Wan, A.; Wang, Z. Characterization and tailoring of statistical properties of erbium-doped random fiber lasers. Chin. Opt. Lett. 2024, 22, 121401. [Google Scholar] [CrossRef]
- Gorbunov, O.A.; Sugavanam, S.; Vatnik, I.D.; Churkin, D.V. Poisson distribution of extreme events in radiation of random distributed feedback fiber laser. Opt. Lett. 2020, 45, 2375–2378. [Google Scholar] [CrossRef] [PubMed]
- Zhang, J.; Lin, S.; Bao, X.; Wang, P.; Qi, Y.; Wu, H.; Liang, J.; Wang, Z. Full bandwidth statistical properties of the Raman randomfiber laser. Chin. Opt. Lett. 2024, 22, 061401. [Google Scholar] [CrossRef]
- Gorbunov, O.A.; Sugavanam, S.; Churkin, D.V. Revealing statistical properties of quasi-CW fibre lasers in bandwidth-limited measurements. Opt. Express 2014, 22, 28071–28076. [Google Scholar] [CrossRef]
- Wu, H.; Han, B.; Wang, Z.; Liang, H. Statistical properties of Er/Yb co-doped random Rayleigh feedback fiber laser. Chin. Opt. Lett. 2021, 19, 021402. [Google Scholar] [CrossRef]
- Randoux, S.; Suret, P. Experimental evidence of extreme value statistics in Raman fiber lasers. Opt. Lett. 2012, 37, 500–502. [Google Scholar] [CrossRef]
- Gorbunov, O.A.; Sugavanam, S.; Vatnik, I.D.; Churkin, D.V. Statistical properties of radiation of multi-wavelength random DFB fiber laser. Opt. Express 2016, 24, 19417–19423. [Google Scholar] [CrossRef]
- Churkin, D.V.; Gorbunov, O.A.; Smirnov, S.V. Extreme value statistics in Raman fiber lasers. Opt. Lett. 2011, 36, 3617–3619. [Google Scholar] [CrossRef]
- Ye, J.; Ma, X.; Zhang, Y.; Xu, J.; Zhang, H.; Yao, T.; Leng, J.; Zhou, P. Revealing the dynamics of intensity fluctuation transfer in a random Raman fiber laser. Photonics Res. 2022, 10, 618–627. [Google Scholar] [CrossRef]






Disclaimer/Publisher’s Note: The statements, opinions and data contained in all publications are solely those of the individual author(s) and contributor(s) and not of MDPI and/or the editor(s). MDPI and/or the editor(s) disclaim responsibility for any injury to people or property resulting from any ideas, methods, instructions or products referred to in the content. |
© 2025 by the authors. Licensee MDPI, Basel, Switzerland. This article is an open access article distributed under the terms and conditions of the Creative Commons Attribution (CC BY) license (https://creativecommons.org/licenses/by/4.0/).
Share and Cite
Leng, Z.; Fan, M.; Wu, H. Full Bandwidth Time-Domain Intensity Statistical Characteristics of Raman Random Fiber Laser Based on a Temporal Dynamics Controllable Pump. Photonics 2025, 12, 1108. https://doi.org/10.3390/photonics12111108
Leng Z, Fan M, Wu H. Full Bandwidth Time-Domain Intensity Statistical Characteristics of Raman Random Fiber Laser Based on a Temporal Dynamics Controllable Pump. Photonics. 2025; 12(11):1108. https://doi.org/10.3390/photonics12111108
Chicago/Turabian StyleLeng, Zhitao, Mengqiu Fan, and Han Wu. 2025. "Full Bandwidth Time-Domain Intensity Statistical Characteristics of Raman Random Fiber Laser Based on a Temporal Dynamics Controllable Pump" Photonics 12, no. 11: 1108. https://doi.org/10.3390/photonics12111108
APA StyleLeng, Z., Fan, M., & Wu, H. (2025). Full Bandwidth Time-Domain Intensity Statistical Characteristics of Raman Random Fiber Laser Based on a Temporal Dynamics Controllable Pump. Photonics, 12(11), 1108. https://doi.org/10.3390/photonics12111108
