Generation of Ultrashort Pulses in XUV and X-ray FELs via an Excessive Reverse Undulator Taper
Abstract
1. Introduction
2. The Concept of Excessive Reverse Taper
- To generate a short electron bunch (or a short lasing part within longer bunch) and
- To apply a slippage-suppression mechanism in the undulator.
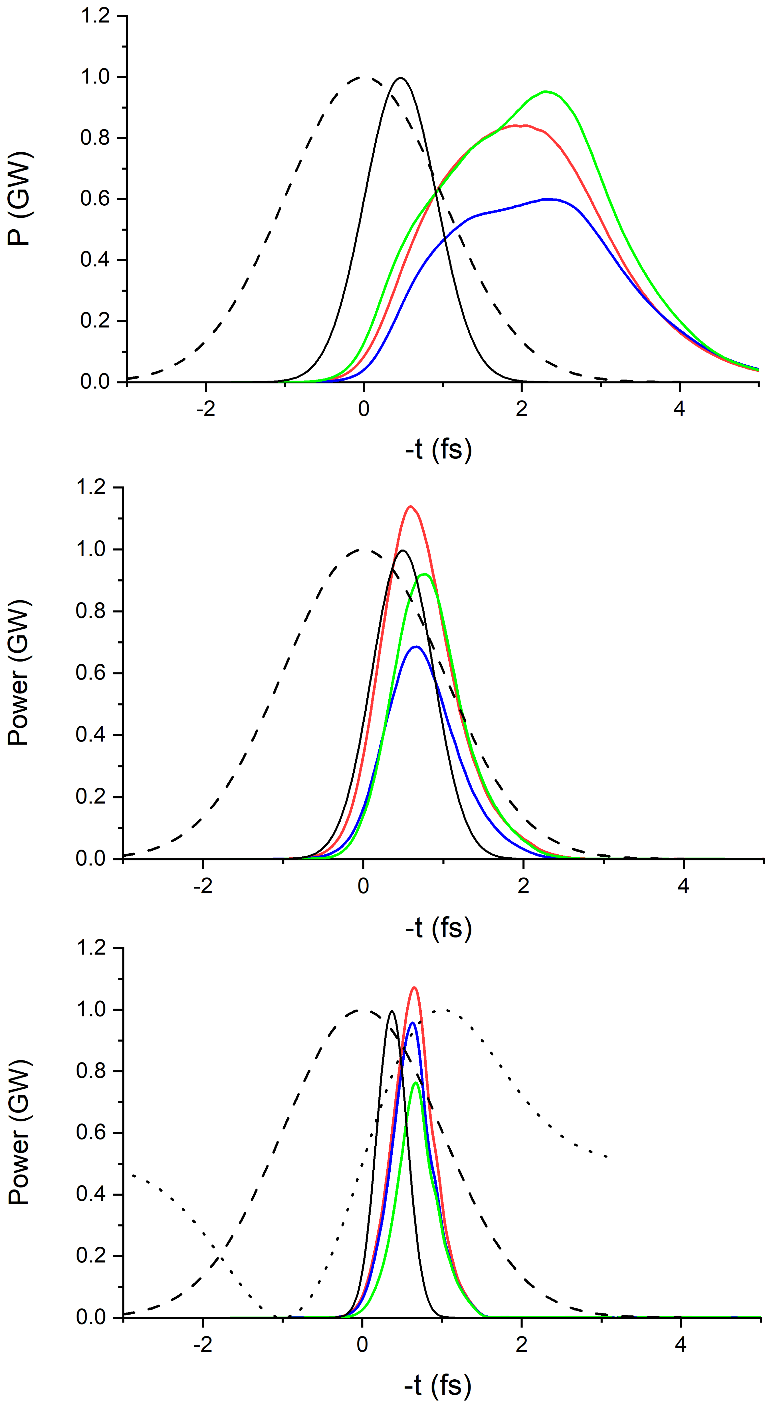
3. Numerical Example
4. Experiment at FLASH
5. Discussion
Author Contributions
Funding
Institutional Review Board Statement
Informed Consent Statement
Acknowledgments
Conflicts of Interest
References
- Saldin, E.L.; Schneidmiller, E.A.; Yurkov, M.V. Scheme for attophysics experiments at a X-ray SASE FEL. Opt. Commun. 2002, 212, 377–390. [Google Scholar] [CrossRef]
- Saldin, E.L.; Schneidmiller, E.A.; Yurkov, M.V. Terawatt-scale sub-10-fs laser technology–key to generation of GW-level attosecond pulses in X-ray free electron laser. Opt. Commun. 2004, 237, 153–164. [Google Scholar] [CrossRef]
- Zholents, A.A.; Fawley, W.M. Proposal for intense attosecond radiation from an X-ray free-electron laser. Phys. Rev. Lett. 2004, 92, 224801. [Google Scholar] [CrossRef] [PubMed]
- Emma, P.; Huang, Z.; Borland, M. Proc. of the FEL2004 Conference, p. 333. Available online: http://www.jacow.org (accessed on 26 May 2023).
- Zholents, A.A.; Penn, G. Obtaining attosecond x-ray pulses using a self-amplified spontaneous emission free electron laser. Phys. Rev. Spec.-Top. Beams 2005, 8, 050704. [Google Scholar] [CrossRef]
- Saldin, E.L.; Schneidmiller, E.A.; Yurkov, M.V. Self-amplified spontaneous emission FEL with energy-chirped electron beam and its application for generation of attosecond X-ray pulses. Phys. Rev. Spec.-Top. Beams 2006, 9, 050702. [Google Scholar] [CrossRef]
- Ding, Y.; Huang, Z.; Ratner, D.; Bucksbaum, P.; Merdji, H. Generation of attosecond x-ray pulses with a multicycle two-color enhanced self-amplified spontaneous emission scheme. Phys. Rev. Spec.-Top. Beams 2009, 12, 060703. [Google Scholar] [CrossRef]
- Huang, S.; Ding, Y.; Feng, Y.; Hemsing, E.; Huang, Z.; Krzywinski, J.; Lutman, A.A.; Marinelli, A.; Maxwell, T.J.; Zhu, D. Generating single-spike hard X-ray pulses with nonlinear bunch compression in free-electron lasers. Phys. Rev. Lett. 2017, 119, 154801. [Google Scholar] [CrossRef]
- Duris, J.; Li, S.; Driver, T.; Champenois, E.G.; MacArthur, J.P.; Lutman, A.A.; Zhang, Z.; Rosenberger, P.; Aldrich, J.W.; Coffee, R.; et al. Tunable isolated attosecond X-ray pulses with gigawatt peak power from a free-electron laser. Nat. Photonics 2020, 14, 30–36. [Google Scholar] [CrossRef]
- Malyzhenkov, A.; Arbelo, Y.P.; Craievich, P.; Dijkstal, P.; Ferrari, E.; Reiche, S.; Schietinger, T.; Juranić, P.; Prat, E. Single-and two-color attosecond hard x-ray free-electron laser pulses with nonlinear compression. Phys. Rev. Res. 2020, 2, 042018(R). [Google Scholar] [CrossRef]
- Trebushinin, A.; Geloni, G.; Serkez, S.; Mercurio, G.; Gerasimova, N.; Maltezopoulos, T.; Guetg, M.; Schneidmiller, E. Experimental Demonstration of Attoseconds-at-Harmonics at the SASE3 Undulator of the European XFEL. Photonics 2023, 10, 131. [Google Scholar] [CrossRef]
- Saldin, E.L.; Schneidmiller, E.A.; Yurkov, M.V. The Physics of Free Electron Lasers; Springer: Berlin/Heidelberg, Germany, 1999. [Google Scholar]
- Schneidmiller, E.A. Application of a modified chirp-taper scheme for generation of attosecond pulses in extreme ultraviolet and soft X-ray free electron lasers. Phys. Rev. Accel. Beams 2022, 25, 010701. [Google Scholar] [CrossRef]
- Tu, L.; Qi, Z.; Wang, Z.; Zhao, S.; Lu, Y.; Fan, W.; Sun, H.; Wang, X.; Feng, C.; Zhao, Z. Improving the Performance of an Ultrashort Soft X-ray Free-Electron Laser via Attosecond Afterburners. Appl. Sci. 2022, 12, 11850. [Google Scholar] [CrossRef]
- Ackermann, W.A.; Asova, G.; Ayvazyan, V.; Azima, A.; Baboi, N.; Bähr, J.; Balandin, V.; Beutner, B.; Brandt, A.; Bolzmann, A.; et al. Operation of a free-electron laser from the extreme ultraviolet to the water window. Nat. Photonics 2007, 1, 336–342. [Google Scholar] [CrossRef]
- Schneidmiller, E.A.; Yurkov, M.V. Obtaining high degree of circular polarization at x-ray free electron lasers via a reverse undulator taper. Phys. Rev. Spec.-Top. Beams 2013, 16, 110702. [Google Scholar] [CrossRef]
- Lutman, A.A.; MacArthur, J.P.; Ilchen, M.; Lindahl, A.O.; Buck, J.; Coffee, R.N.; Dakovski, G.L.; Dammann, L.; Ding, Y.; Dürr, H.A.; et al. Polarization control in an X-ray free-electron laser. Nat. Photonics 2016, 10, 468–472. [Google Scholar] [CrossRef]
- Schneidmiller, E.A.; Yurkov, M.V. Reverse undulator tapering for polarization control and background-free Harmonic production in XFELS: Results From Flash. In Proceedings of the 38th International Free Electron Laser Conference FEL2017, Santa Fe, NM, USA, 20–25 August 2017; JACoW Publishing: Geneva, Switzerland, 2017; p. 106, ISBN 978-3-95450-179-3. [Google Scholar] [CrossRef]
- Hemsing, E. Coherent photons with angular momentum in a helical afterburner. Phys. Rev. Accel. Beams 2020, 23, 020703. [Google Scholar] [CrossRef]
- Zhang, K.; Liu, T.; Qi, Z.; Fu, X.; Feng, C.; Deng, H.; Liu, B. Extending the Photon Energy Coverage of a Seeded Free-Electron Laser via Reverse Taper Enhanced Harmonic Cascade. Photonics 2021, 8, 44. [Google Scholar] [CrossRef]
- Geloni, G.; Saldin, E.; Schneidmiller, E.; Yurkov, M. Scheme for stabilization of output power of an X-ray self-amplified spontaneous emission free-electron laser. Nucl. Instr. Methods 2007, A583, 228. [Google Scholar] [CrossRef]
- Tanaka, T. SIMPLEX: Simulator and postprocessor for free-electron laser experiments. J. Synchrotron Radiat. 2015, 22, 1319–1326. [Google Scholar] [CrossRef]
- Baxevanis, P.; Duris, J.; Huang, Z.; Marinelli, A. Time-domain analysis of attosecond pulse generation in an X-ray free-electron laser. Phys. Rev. Accel. Beams 2018, 21, 110702. [Google Scholar] [CrossRef]
- Faatz, B.; Plönjes, E.; Ackermann, S.; Agababyan, A.; Asgekar, V.; Ayvazyan, V.; Baark, S.; Baboi, N.; Balin, V.; Von Bargen, N.; et al. Simultaneous operation of two soft x-ray free-electron lasers driven by one linear accelerator. New J. Phys. 2016, 18, 062002. [Google Scholar] [CrossRef]
- Schaper, L.; Ackermann, S.; Allaria, E.; Amstutz, P.; Baev, K.; Beye, M.; Gerth, C.; Hartl, I.; Hillert, W.; Honkavaara, K.; et al. Flexible and Coherent Soft X-ray Pulses at High Repetition Rate: Current Research and Perspectives. Appl. Sci. 2021, 11, 9729. [Google Scholar] [CrossRef]
- Sorokin, A.A.; Bican, Y.; Bonfigt, S.; Brachmanski, M.; Braune, M.; Jastrow, U.F.; Gottwald, A.; Kaser, H.; Richter, M.; Tiedtke, K. An X-ray gas monitor for free-electron lasers. J. Synchrotron Rad. 2019, 26, 1092–1100. [Google Scholar] [CrossRef] [PubMed]
- Tanikawa, T.; Hage, A.; Kuhlmann, M.; Gonschior, J.; Grunewald, S.; Plönjes, E.; Düsterer, S.; Brenner, G.; Dziarzhytski, S.; Braune, M.; et al. First observation of SASE radiation using the compact wide-spectral-range XUV spectrometer at FLASH2. Nucl. Instrum. Methods Phys. Res. Sect. A Accel. Spectrometers Detect. Assoc. Equip. 2016, 830, 170–175. [Google Scholar] [CrossRef]
- Dreimann, M.; Wahlert, F.; Eckermann, D.; Rosenthal, F.; Roling, S.; Reiker, T.; Kuhlmann, M.; Toleikis, S.; Brachmanski, M.; Treusch, R.; et al. The soft X-ray and XUV split-and-delay unit at beamlines FL23/24 at FLASH2. J. Synchrotron Radiat. 2023, 30, 479. [Google Scholar] [CrossRef]





Disclaimer/Publisher’s Note: The statements, opinions and data contained in all publications are solely those of the individual author(s) and contributor(s) and not of MDPI and/or the editor(s). MDPI and/or the editor(s) disclaim responsibility for any injury to people or property resulting from any ideas, methods, instructions or products referred to in the content. |
© 2023 by the authors. Licensee MDPI, Basel, Switzerland. This article is an open access article distributed under the terms and conditions of the Creative Commons Attribution (CC BY) license (https://creativecommons.org/licenses/by/4.0/).
Share and Cite
Schneidmiller, E.; Dreimann, M.; Kuhlmann, M.; Rönsch-Schulenburg, J.; Zacharias, H. Generation of Ultrashort Pulses in XUV and X-ray FELs via an Excessive Reverse Undulator Taper. Photonics 2023, 10, 653. https://doi.org/10.3390/photonics10060653
Schneidmiller E, Dreimann M, Kuhlmann M, Rönsch-Schulenburg J, Zacharias H. Generation of Ultrashort Pulses in XUV and X-ray FELs via an Excessive Reverse Undulator Taper. Photonics. 2023; 10(6):653. https://doi.org/10.3390/photonics10060653
Chicago/Turabian StyleSchneidmiller, Evgeny, Matthias Dreimann, Marion Kuhlmann, Juliane Rönsch-Schulenburg, and Helmut Zacharias. 2023. "Generation of Ultrashort Pulses in XUV and X-ray FELs via an Excessive Reverse Undulator Taper" Photonics 10, no. 6: 653. https://doi.org/10.3390/photonics10060653
APA StyleSchneidmiller, E., Dreimann, M., Kuhlmann, M., Rönsch-Schulenburg, J., & Zacharias, H. (2023). Generation of Ultrashort Pulses in XUV and X-ray FELs via an Excessive Reverse Undulator Taper. Photonics, 10(6), 653. https://doi.org/10.3390/photonics10060653

