Measurement of the Temperature Dependence of Polarization Switching in Gain-Switched VCSELs for Quantum Random Number Generation
Abstract
1. Introduction
2. Experimental Setup and Device Characterization
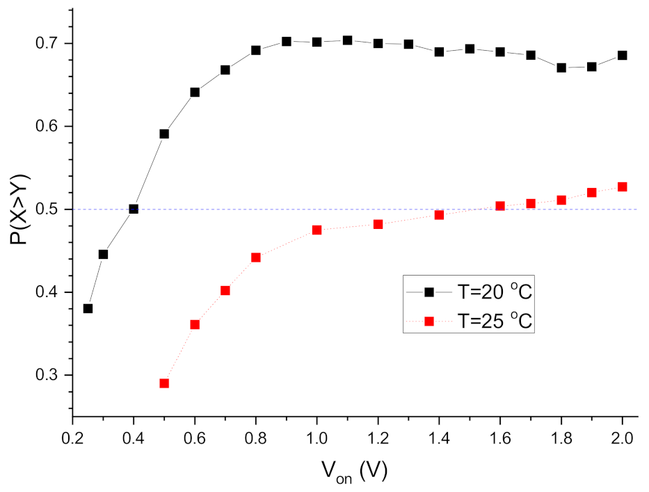
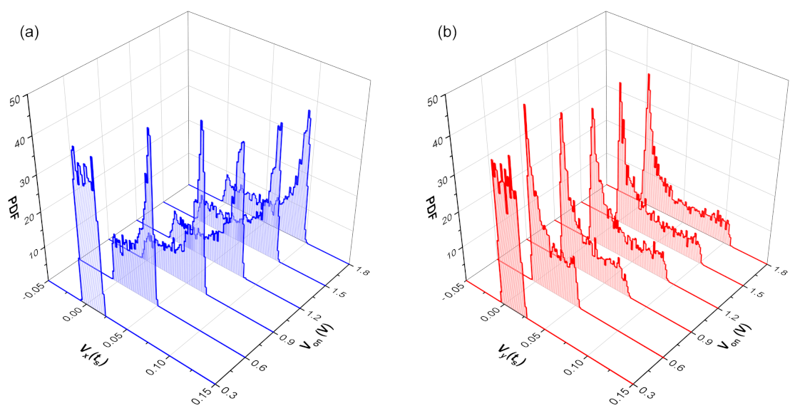
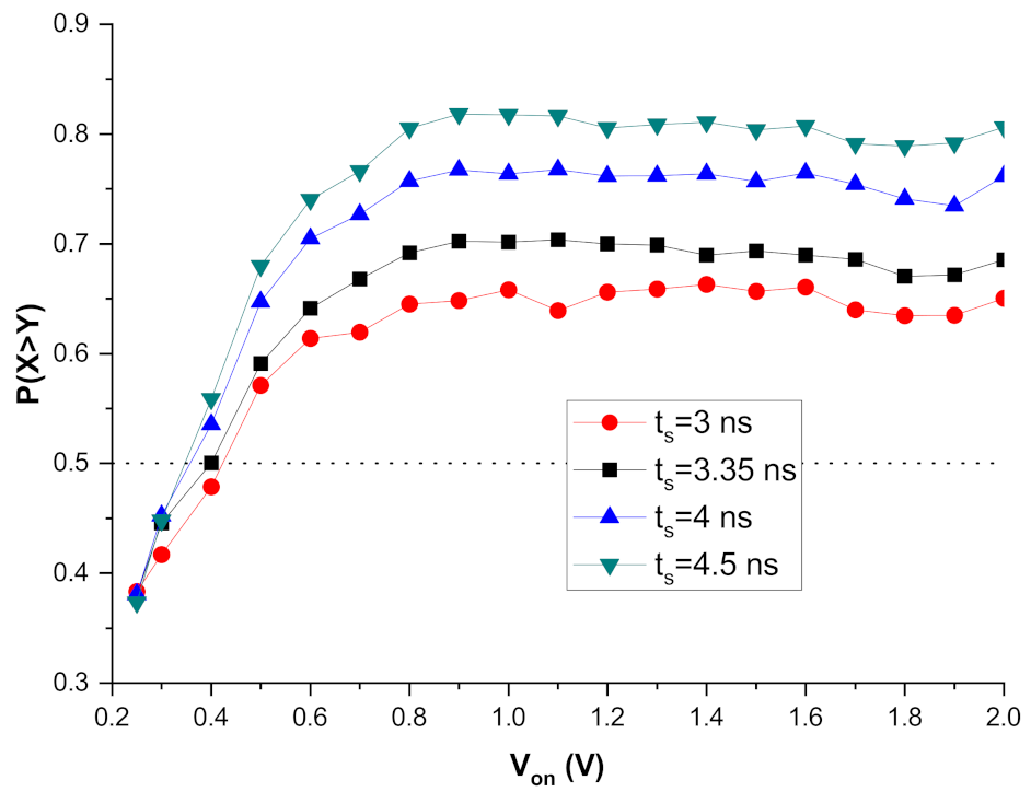
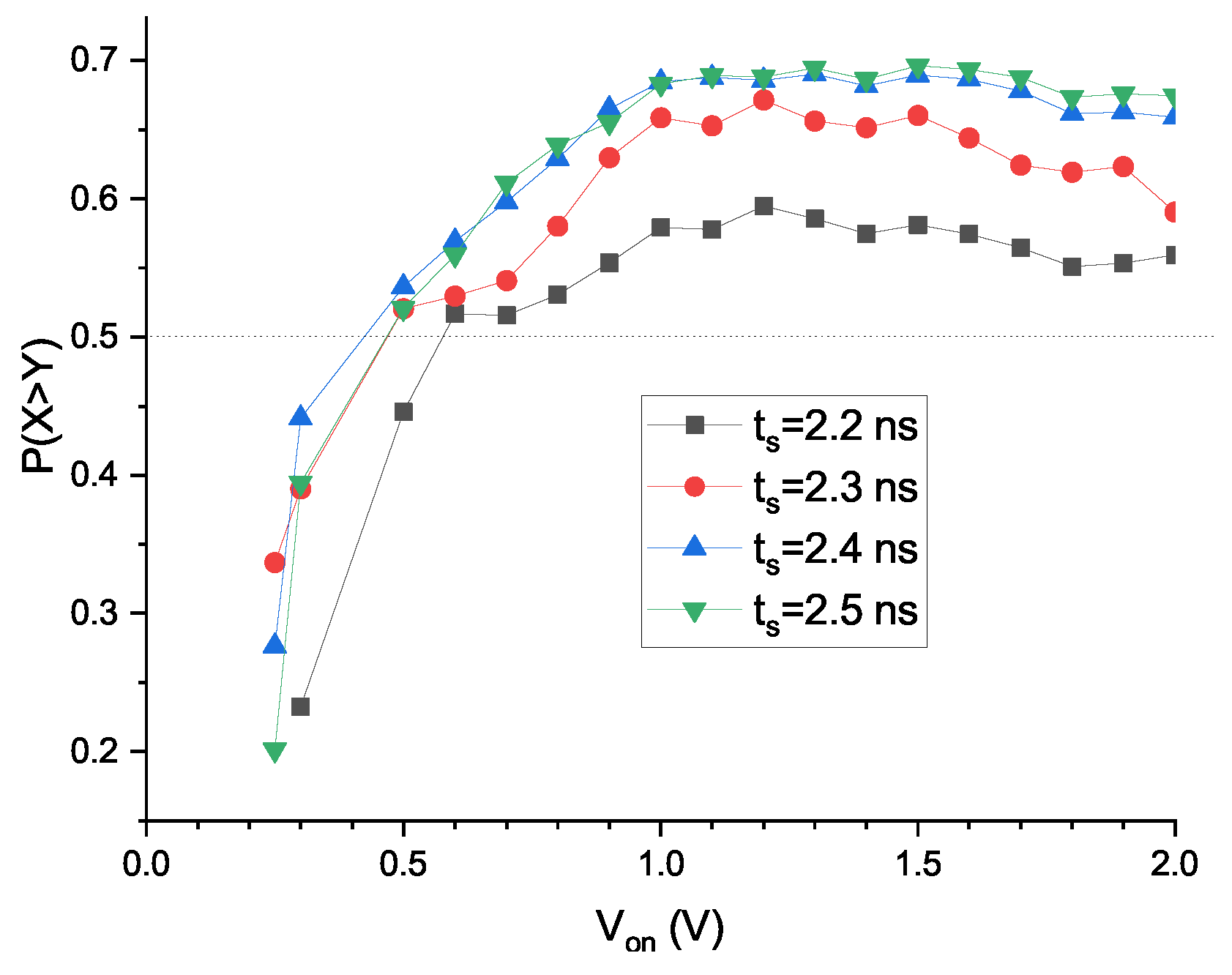
3. Experimental Results
4. Discussion and Summary
4.1. Discussion of Experimental Results
4.2. Digitization and Post-Processing of the Data
Funding
Conflicts of Interest
Abbreviations
| QRNG | Quantum random number generation |
| QKD | Quantum key distribution |
| VCSEL | Vertical-cavity surface-emitting laser |
| Probability density function | |
| RNG | Random number generation |
| RF | Radio frequency |
| PS | Polarization switching |
| NIST | National Institute of Standards and Technology |
References
- Lax, M. Quantum noise. IV. Quantum theory of noise sources. Phys. Rev. 1966, 145, 110. [Google Scholar] [CrossRef]
- Lax, M.; Louisell, W. Quantum noise. XII. Density-operator treatment of field and population fluctuations. Phys. Rev. 1969, 185, 568. [Google Scholar] [CrossRef]
- Risken, H. Fokker-Planck equation. In The Fokker-Planck Equation; Springer: Berlin/Heidelberg, Germany, 1996. [Google Scholar]
- Henry, C.H.; Kazarinov, R.F. Quantum noise in photonics. Rev. Mod. Phys. 1996, 68, 801. [Google Scholar] [CrossRef]
- Arecchi, F.; Degiorgio, V.; Querzola, B. Time-dependent statistical properties of the laser radiation. Phys. Rev. Lett. 1967, 19, 1168. [Google Scholar] [CrossRef]
- Coldren, L.A.; Corzine, S.W.; Mashanovitch, M.L. Diode Lasers and Photonic Integrated Circuits; John Wiley & Sons: Hoboken, NJ, USA, 2012; Volume 218. [Google Scholar]
- Agrawal, G.P.; Dutta, N.K. Semiconductor Lasers; Springer Science & Business Media: Berlin/Heidelberg, Germany, 2013. [Google Scholar]
- Henry, C. Phase noise in semiconductor lasers. J. Light. Technol. 1986, 4, 298–311. [Google Scholar] [CrossRef]
- Balle, S.; De Pasquale, F.; Abraham, N.; San Miguel, M. Statistics of the transient frequency modulation in the switch-on of a single-mode semiconductor laser. Phys. Rev. A 1992, 45, 1955. [Google Scholar] [CrossRef]
- Spano, P.; D’Ottavi, A.; Mecozzi, A.; Daino, B. Experimental observation of time jitter in semiconductor laser turn-on. Appl. Phys. Lett. 1988, 52, 2203–2204. [Google Scholar] [CrossRef]
- Mecozzi, A.; Piazzolla, S.; D’Ottavi, A.; Spano, P. Passage time statistics in semiconductor laser turn on. Phys. Rev. A 1988, 38, 3136. [Google Scholar] [CrossRef]
- Obermann, K.; Kindt, S.; Petermann, K. Turn-on jitter in zero-biased single-mode semiconductor lasers. IEEE Photonics Technol. Lett. 1996, 8, 31–33. [Google Scholar] [CrossRef]
- Mecozzi, A.; Sapia, A.; Spano, P.; Agrawal, G.P. Transient multimode dynamics in nearly single-mode lasers. IEEE J. Quantum Electron. 1991, 27, 332–343. [Google Scholar] [CrossRef]
- Stipčević, M.; Koç, Ç.K. True random number generators. In Open Problems in Mathematics and Computational Science; Springer: Berlin/Heidelberg, Germany, 2014; pp. 275–315. [Google Scholar]
- Herrero-Collantes, M.; Garcia-Escartin, J.C. Quantum random number generators. Rev. Mod. Phys. 2017, 89, 015004. [Google Scholar] [CrossRef]
- Mannalath, V.; Mishra, S.; Pathak, A. A comprehensive review of quantum random number generators: Concepts, classification and the origin of randomness. arXiv 2022, arXiv:2203.00261. [Google Scholar]
- Lucamarini, M.; Yuan, Z.L.; Dynes, J.F.; Shields, A.J. Overcoming the rate–distance limit of quantum key distribution without quantum repeaters. Nature 2018, 557, 400–403. [Google Scholar] [CrossRef]
- Bhaskar, M.K.; Riedinger, R.; Machielse, B.; Levonian, D.S.; Nguyen, C.T.; Knall, E.N.; Park, H.; Englund, D.; Lončar, M.; Sukachev, D.D.; et al. Experimental demonstration of memory-enhanced quantum communication. Nature 2020, 580, 60–64. [Google Scholar] [CrossRef] [PubMed]
- Xie, Y.M.; Lu, Y.S.; Weng, C.X.; Cao, X.Y.; Jia, Z.Y.; Bao, Y.; Wang, Y.; Fu, Y.; Yin, H.L.; Chen, Z.B. Breaking the rate-loss bound of quantum key distribution with asynchronous two-photon interference. PRX Quantum 2022, 3, 020315. [Google Scholar] [CrossRef]
- Clivati, C.; Meda, A.; Donadello, S.; Virzì, S.; Genovese, M.; Levi, F.; Mura, A.; Pittaluga, M.; Yuan, Z.; Shields, A.J.; et al. Coherent phase transfer for real-world twin-field quantum key distribution. Nat. Commun. 2022, 13, 157. [Google Scholar] [CrossRef]
- Gu, J.; Cao, X.Y.; Fu, Y.; He, Z.W.; Yin, Z.J.; Yin, H.L.; Chen, Z.B. Experimental measurement-device-independent type quantum key distribution with flawed and correlated sources. Sci. Bull. 2022, 67, 2167–2175. [Google Scholar] [CrossRef]
- Yin, H.L.; Fu, Y.; Li, C.L.; Weng, C.X.; Li, B.H.; Gu, J.; Lu, Y.S.; Huang, S.; Chen, Z.B. Experimental quantum secure network with digital signatures and encryption. Natl. Sci. Rev. 2022, nwac228. [Google Scholar] [CrossRef]
- Paraïso, T.K.; Woodward, R.I.; Marangon, D.G.; Lovic, V.; Yuan, Z.; Shields, A.J. Advanced Laser Technology for Quantum Communications (Tutorial Review). Adv. Quantum Technol. 2021, 4, 2100062. [Google Scholar] [CrossRef]
- Shalm, L.K.; Zhang, Y.; Bienfang, J.C.; Schlager, C.; Stevens, M.J.; Mazurek, M.D.; Abellán, C.; Amaya, W.; Mitchell, M.W.; Alhejji, M.A.; et al. Device-independent randomness expansion with entangled photons. Nat. Phys. 2021, 17, 452–456. [Google Scholar] [CrossRef]
- Liu, W.B.; Lu, Y.S.; Fu, Y.; Huang, S.C.; Yin, Z.J.; Jiang, K.; Yin, H.L.; Chen, Z.B. Source-independent quantum random number generator against tailored detector blinding attacks. Opt. Express 2023, 31, 11292–11307. [Google Scholar] [CrossRef]
- Jennewein, T.; Achleitner, U.; Weihs, G.; Weinfurter, H.; Zeilinger, A. A fast and compact quantum random number generator. Rev. Sci. Instrum. 2000, 71, 1675–1680. [Google Scholar] [CrossRef]
- Stipčević, M.; Rogina, B.M. Quantum random number generator based on photonic emission in semiconductors. Rev. Sci. Instrum. 2007, 78, 045104. [Google Scholar] [CrossRef] [PubMed]
- Wei, W.; Guo, H. Bias-free true random-number generator. Opt. Lett. 2009, 34, 1876–1878. [Google Scholar] [CrossRef]
- Fürst, H.; Weier, H.; Nauerth, S.; Marangon, D.G.; Kurtsiefer, C.; Weinfurter, H. High speed optical quantum random number generation. Opt. Express 2010, 18, 13029–13037. [Google Scholar] [CrossRef]
- Durt, T.; Belmonte, C.; Lamoureux, L.P.; Panajotov, K.; Van den Berghe, F.; Thienpont, H. Fast quantum-optical random-number generators. Phys. Rev. A 2013, 87, 022339. [Google Scholar] [CrossRef]
- Guo, H.; Tang, W.; Liu, Y.; Wei, W. Truly random number generation based on measurement of phase noise of a laser. Phys. Rev. E 2010, 81, 051137. [Google Scholar] [CrossRef]
- Shen, Y.; Tian, L.; Zou, H. Practical quantum random number generator based on measuring the shot noise of vacuum states. Phys. Rev. A 2010, 81, 063814. [Google Scholar] [CrossRef]
- Qi, B.; Chi, Y.M.; Lo, H.K.; Qian, L. High-speed quantum random number generation by measuring phase noise of a single-mode laser. Opt. Lett. 2010, 35, 312–314. [Google Scholar] [CrossRef]
- Jofre, M.; Curty, M.; Steinlechner, F.; Anzolin, G.; Torres, J.; Mitchell, M.; Pruneri, V. True random numbers from amplified quantum vacuum. Opt. Express 2011, 19, 20665–20672. [Google Scholar] [CrossRef]
- Argyris, A.; Pikasis, E.; Deligiannidis, S.; Syvridis, D. Sub-Tb/s physical random bit generators based on direct detection of amplified spontaneous emission signals. J. Light. Technol. 2012, 30, 1329–1334. [Google Scholar] [CrossRef]
- Xu, F.; Qi, B.; Ma, X.; Xu, H.; Zheng, H.; Lo, H.K. Ultrafast quantum random number generation based on quantum phase fluctuations. Opt. Express 2012, 20, 12366–12377. [Google Scholar] [CrossRef] [PubMed]
- Abellán, C.; Amaya, W.; Jofre, M.; Curty, M.; Acín, A.; Capmany, J.; Pruneri, V.; Mitchell, M. Ultra-fast quantum randomness generation by accelerated phase diffusion in a pulsed laser diode. Opt. Express 2014, 22, 1645–1654. [Google Scholar] [CrossRef]
- Yuan, Z.; Lucamarini, M.; Dynes, J.; Fröhlich, B.; Plews, A.; Shields, A. Robust random number generation using steady-state emission of gain-switched laser diodes. Appl. Phys. Lett. 2014, 104, 261112. [Google Scholar] [CrossRef]
- Nie, Y.Q.; Huang, L.; Liu, Y.; Payne, F.; Zhang, J.; Pan, J.W. The generation of 68 Gbps quantum random number by measuring laser phase fluctuations. Rev. Sci. Instrum. 2015, 86, 063105. [Google Scholar] [CrossRef] [PubMed]
- Abellan, C.; Amaya, W.; Domenech, D.; Muñoz, P.; Capmany, J.; Longhi, S.; Mitchell, M.W.; Pruneri, V. Quantum entropy source on an InP photonic integrated circuit for random number generation. Optica 2016, 3, 989–994. [Google Scholar] [CrossRef]
- Marangon, D.G.; Plews, A.; Lucamarini, M.; Dynes, J.F.; Sharpe, A.W.; Yuan, Z.; Shields, A.J. Long-term test of a fast and compact quantum random number generator. J. Light. Technol. 2018, 36, 3778–3784. [Google Scholar] [CrossRef]
- Septriani, B.; de Vries, O.; Steinlechner, F.; Gräfe, M. Parametric study of the phase diffusion process in a gain-switched semiconductor laser for randomness assessment in quantum random number generator. AIP Adv. 2020, 10, 055022. [Google Scholar] [CrossRef]
- Shakhovoy, R.; Sych, D.; Sharoglazova, V.; Udaltsov, A.; Fedorov, A.; Kurochkin, Y. Quantum noise extraction from the interference of laser pulses in an optical quantum random number generator. Opt. Express 2020, 28, 6209–6224. [Google Scholar] [CrossRef]
- Shakhovoy, R.; Sharoglazova, V.; Udaltsov, A.; Duplinskiy, A.; Kurochkin, V.; Kurochkin, Y. Influence of Chirp, Jitter, and Relaxation Oscillations on Probabilistic Properties of Laser Pulse Interference. IEEE J. Quantum Electron. 2021, 57, 1–7. [Google Scholar] [CrossRef]
- Lovic, V.; Marangon, D.G.; Lucamarini, M.; Yuan, Z.; Shields, A.J. Characterizing Phase Noise in a Gain-Switched Laser Diode for Quantum Random-Number Generation. Phys. Rev. Appl. 2021, 16, 054012. [Google Scholar] [CrossRef]
- Valle-Miñón, M.; Quirce, A.; Valle, A.; Gutiérrez, J. Quantum random number generator based on polarization switching in gain-switched VCSELs. Opt. Contin. 2022, 1, 2156–2166. [Google Scholar] [CrossRef]
- Alarcón, A.; Argillander, J.; Spegel-Lexne, D.; Xavier, G. Dynamic generation of photonic spatial quantum states with an all-fiber platform. Opt. Express 2023, 31, 10673–10683. [Google Scholar] [CrossRef]
- Loudon, R. The Quantum Theory of Light; OUP Oxford: Oxford, UK, 2000. [Google Scholar]
- Aldama, J.; Sarmiento, S.; Etcheverry, S.; Valivarthi, R.; Grande, I.L.; Vidarte, L.T.; Pruneri, V. Small-form-factor Gaussian-modulated coherent-state transmitter for CV-QKD using a gain-switched DFB laser. Opt. Express 2023, 31, 5414–5425. [Google Scholar] [CrossRef]
- Choquette, K.D.; Schneider, R.P.; Lear, K.L.; Leibenguth, R.E. Gain-dependent polarization properties of vertical-cavity lasers. IEEE J. Sel. Top. Quantum Electron. 1995, 1, 661–666. [Google Scholar] [CrossRef]
- Michalzik, R. VCSELs: Fundamentals, Technology and Applications of Vertical-Cavity Surface-Emitting Lasers; Springer: Berlin/Heidelberg, Germany, 2012; Volume 166. [Google Scholar]
- Chizhevsky, V. Bistable vertical cavity laser with periodic pump modulation as a random bits generator. Opt. Spectrosc. 2010, 108, 343–346. [Google Scholar] [CrossRef]
- Zhao, J.; Li, P.; Zhang, X.; Gao, Z.; Jia, Z.; Bogris, A.; Shore, K.A.; Wang, Y. Fast all-optical random number generator. arXiv 2022, arXiv:2201.07616. [Google Scholar]
- Shakhovoy, R.; Maksimova, E.; Sharoglazova, V.; Puplauskis, M.; Kurochkin, Y. Fast and compact VCSEL-based quantum random number generator. J. Phys. Conf. Ser. 2021, 1984, 012005. [Google Scholar] [CrossRef]
- Quirce, A.; Valle, A. Random polarization switching in gain-switched VCSELs for quantum random number generation. Opt. Express 2022, 30, 10513–10527. [Google Scholar] [CrossRef]
- Shakhovoy, R.; Maksimova, E. Gain-switched VCSEL as a quantum entropy source: The problem of quantum and classical noise. St. Petersburg Polythechnic Univ. J. Phys. Math. 2022, 15, 201–205. [Google Scholar]
- Rukhin, A.; Soto, J.; Nechvatal, J.; Smid, M.; Barker, E.; Leigh, S.; Levenson, M.; Vangel, M.; Banks, D.; Heckert, A.; et al. NIST Special Publication 800-22: A statistical test suite for the validation of random number generators and pseudo random number generators for cryptographic applications. NIST Spec. Publ. 2010, 800, 22. [Google Scholar]
- Ryvkin, B.; Georgievski, A. Effect of photon-energy-dependent loss and gain mechanisms on polarization switching in vertical-cavity surface-emitting lasers. JOSA B 1999, 16, 2106–2113. [Google Scholar] [CrossRef]
- Quirce, A.; Valle, A.; Pesquera, L.; Thienpont, H.; Panajotov, K. Measurement of temperature-dependent polarization parameters in long-wavelength VCSELs. IEEE J. Sel. Top. Quantum Electron. 2015, 21, 636–642. [Google Scholar] [CrossRef]
- Valle, A.; Sciamanna, M.; Panajotov, K. Irregular pulsating polarization dynamics in gain-switched vertical-cavity surface-emitting lasers. IEEE J. Quantum Electron. 2008, 44, 136–143. [Google Scholar] [CrossRef]
- Pérez, P.; Valle, A.; Pesquera, L. Polarization-resolved characterization of long-wavelength vertical-cavity surface-emitting laser parameters. J. Opt. Soc. Am. B 2014, 31, 2574–2580. [Google Scholar] [CrossRef]
- Quirce, A.; Valle, A.; Valle-Miñón, M.; Gutiérrez, J. Characterizing polarization switching in gain-switched vertical-cavity surface-emitting lasers for quantum random number generation. In Proceedings of the European Quantum Electronics Conference, Virtual, 26–30 June 2023; p. EB-P.8. [Google Scholar]











| Test | Mean p-Value | Proportion Pass |
|---|---|---|
| Frequency | 0.479 | 0.985 |
| Block frequency | 0.490 | 0.992 |
| Run | 0.488 | 0.990 |
| Longest run | 0.486 | 0.990 |
| DFT | 0.490 | 0.979 |
| Cumulative sums forw. | 0.507 | 0.988 |
| Cumulative sums back. | 0.495 | 0.990 |
Disclaimer/Publisher’s Note: The statements, opinions and data contained in all publications are solely those of the individual author(s) and contributor(s) and not of MDPI and/or the editor(s). MDPI and/or the editor(s) disclaim responsibility for any injury to people or property resulting from any ideas, methods, instructions or products referred to in the content. |
© 2023 by the authors. Licensee MDPI, Basel, Switzerland. This article is an open access article distributed under the terms and conditions of the Creative Commons Attribution (CC BY) license (https://creativecommons.org/licenses/by/4.0/).
Share and Cite
Rivero, I.; Lázaro del Pozo, A.; Valle-Miñón, M.; Quirce, A.; Valle, A. Measurement of the Temperature Dependence of Polarization Switching in Gain-Switched VCSELs for Quantum Random Number Generation. Photonics 2023, 10, 474. https://doi.org/10.3390/photonics10040474
Rivero I, Lázaro del Pozo A, Valle-Miñón M, Quirce A, Valle A. Measurement of the Temperature Dependence of Polarization Switching in Gain-Switched VCSELs for Quantum Random Number Generation. Photonics. 2023; 10(4):474. https://doi.org/10.3390/photonics10040474
Chicago/Turabian StyleRivero, Iván, Alfonso Lázaro del Pozo, Marcos Valle-Miñón, Ana Quirce, and Angel Valle. 2023. "Measurement of the Temperature Dependence of Polarization Switching in Gain-Switched VCSELs for Quantum Random Number Generation" Photonics 10, no. 4: 474. https://doi.org/10.3390/photonics10040474
APA StyleRivero, I., Lázaro del Pozo, A., Valle-Miñón, M., Quirce, A., & Valle, A. (2023). Measurement of the Temperature Dependence of Polarization Switching in Gain-Switched VCSELs for Quantum Random Number Generation. Photonics, 10(4), 474. https://doi.org/10.3390/photonics10040474

