Optimally Controlled Non-Adiabatic Quantum State Transmission in the Presence of Quantum Noise
Abstract
1. Introduction
2. The Models and The Hamiltonian
3. Quantum State Transfer under Control
- Step 1. Calculate the gradient vector of the loss function with respect to the selected variable
- Step 2. Calculate the new exponential moving average
- Step 3. Compute the new bias-corrected moment vectors
- Step 4. Update the variables according to
- Step 5. Repeat the above steps until or ( and denote the given threshold and the maximum number of iterations, respectively).
| Algorithm 1: Adam. |
|
Initial pulse intensity . Parameter: EMA parameters and , learning rate and the epsilon . for iteration .
|
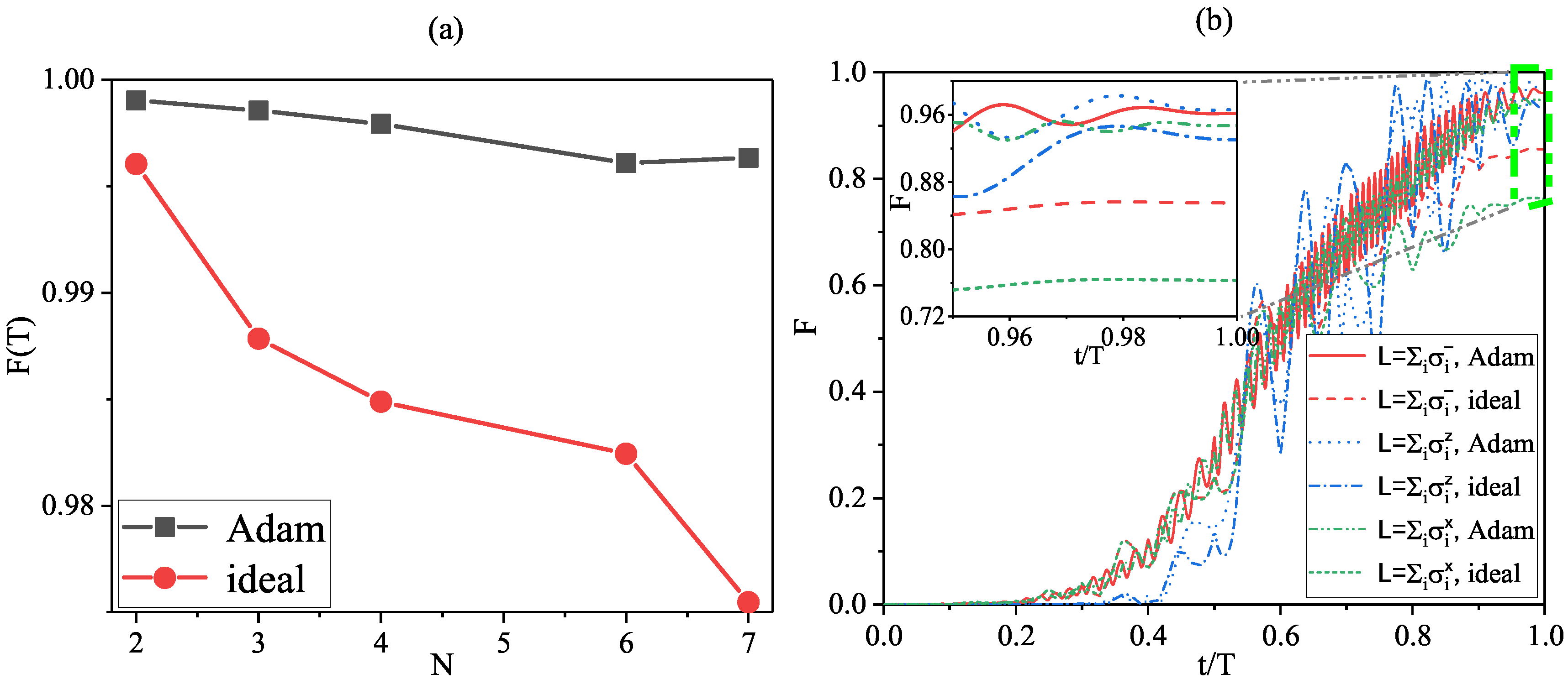
4. Results and Discussion
5. Conclusions
Author Contributions
Funding
Institutional Review Board Statement
Informed Consent Statement
Data Availability Statement
Acknowledgments
Conflicts of Interest
Abbreviations
| QST | Quantum State Transmission |
| QSD | Quantum State Diffusion |
| EMA | Exponential Moving Average |
References
- Axline, C.J.; Burkhart, L.D.; Pfaff, W.; Zhang, M.; Chou, K.; Campagne-Ibarcq, P.; Reinhold, P.; Frunzio, L.; Girvin, S.; Jiang, L.; et al. On-demand quantum state transfer and entanglement between remote microwave cavity memories. Nat. Phys. 2018, 14, 705–710. [Google Scholar] [CrossRef]
- Chapman, R.J.; Santandrea, M.; Huang, Z.; Corrielli, G.; Crespi, A.; Yung, M.H.; Osellame, R.; Peruzzo, A. Experimental perfect state transfer of an entangled photonic qubit. Nat. Commun. 2016, 7, 11339. [Google Scholar] [CrossRef] [PubMed]
- Matsukevich, D.; Kuzmich, A. Quantum state transfer between matter and light. Science 2004, 306, 663–666. [Google Scholar] [CrossRef]
- Stute, A.; Casabone, B.; Brandstätter, B.; Friebe, K.; Northup, T.; Blatt, R. Quantum-state transfer from an ion to a photon. Nat. Photonics 2013, 7, 219–222. [Google Scholar] [CrossRef] [PubMed]
- He, Y.; He, Y.M.; Wei, Y.J.; Jiang, X.; Chen, K.; Lu, C.Y.; Pan, J.W.; Schneider, C.; Kamp, M.; Höfling, S. Quantum state transfer from a single photon to a distant quantum-dot electron spin. Phys. Rev. Lett. 2017, 119, 060501. [Google Scholar] [CrossRef] [PubMed]
- Ashhab, S. Quantum state transfer in a disordered one-dimensional lattice. Phys. Rev. A 2015, 92, 062305. [Google Scholar] [CrossRef]
- Ashhab, S.; De Groot, P.; Nori, F. Speed limits for quantum gates in multiqubit systems. Phys. Rev. A 2012, 85, 052327. [Google Scholar] [CrossRef]
- Christandl, M.; Datta, N.; Ekert, A.; Landahl, A.J. Perfect State Transfer in Quantum Spin Networks. Phys. Rev. Lett. 2004, 92, 187902. [Google Scholar] [CrossRef]
- Apollaro, T.J.G.; Banchi, L.; Cuccoli, A.; Vaia, R.; Verrucchi, P. 99%-fidelity ballistic quantum-state transfer through long uniform channels. Phys. Rev. A 2012, 85, 052319. [Google Scholar] [CrossRef]
- Bayat, A.; Banchi, L.; Bose, S.; Verrucchi, P. Initializing an unmodulated spin chain to operate as a high-quality quantum data bus. Phys. Rev. A 2011, 83, 062328. [Google Scholar] [CrossRef]
- Lorenzo, S.; Apollaro, T.J.G.; Paganelli, S.; Palma, G.M.; Plastina, F. Transfer of arbitrary two-qubit states via a spin chain. Phys. Rev. A 2015, 91, 042321. [Google Scholar] [CrossRef]
- Christandl, M.; Datta, N.; Dorlas, T.C.; Ekert, A.; Kay, A.; Landahl, A.J. Perfect transfer of arbitrary states in quantum spin networks. Phys. Rev. A 2005, 71, 032312. [Google Scholar] [CrossRef]
- Kay, A. Perfect state transfer: Beyond nearest-neighbor couplings. Phys. Rev. A 2006, 73, 032306. [Google Scholar] [CrossRef]
- Zhang, X.M.; Cui, Z.W.; Wang, X.; Yung, M.H. Automatic spin-chain learning to explore the quantum speed limit. Phys. Rev. A 2018, 97, 052333. [Google Scholar] [CrossRef]
- Fitzsimons, J.; Twamley, J. Globally controlled quantum wires for perfect qubit transport, mirroring, and computing. Phys. Rev. Lett. 2006, 97, 090502. [Google Scholar] [CrossRef]
- Balachandran, V.; Gong, J. Adiabatic quantum transport in a spin chain with a moving potential. Phys. Rev. A 2008, 77, 012303. [Google Scholar] [CrossRef]
- Wang, Z.M.; Ren, F.H.; Sarandy, M.S.; Byrd, M.S. Nonequilibrium quantum thermodynamics in non-Markovian adiabatic speedup. Phys. A Stat. Mech. Its Appl. 2022, 603, 127861. [Google Scholar] [CrossRef]
- Zhou, H.; Chen, X.; Nie, X.; Bian, J.; Ji, Y.; Li, Z.; Peng, X. Floquet-engineered quantum state transfer in spin chains. Sci. Bull. 2019, 64, 888–895. [Google Scholar] [CrossRef] [PubMed]
- Chancellor, N.; Haas, S. Using the J1–J2 quantum spin chain as an adiabatic quantum data bus. New J. Phys. 2012, 14, 095025. [Google Scholar] [CrossRef]
- Chen, Y.; Zhang, L.; Gu, Y.; Wang, Z.M. Acceleration of adiabatic quantum state transfer in a spin chain under zero-energy-change pulse control. Phys. Lett. A 2018, 382, 2795–2798. [Google Scholar] [CrossRef]
- Kandel, Y.P.; Qiao, H.; Fallahi, S.; Gardner, G.C.; Manfra, M.J.; Nichol, J.M. Adiabatic quantum state transfer in a semiconductor quantum-dot spin chain. Nat. Commun. 2021, 12, 2156. [Google Scholar] [CrossRef]
- Wang, Z.M.; Luo, D.W.; Byrd, M.S.; Wu, L.A.; Yu, T.; Shao, B. Adiabatic speedup in a non-Markovian quantum open system. Phys. Rev. A 2018, 98, 062118. [Google Scholar] [CrossRef]
- Guéry-Odelin, D.; Ruschhaupt, A.; Kiely, A.; Torrontegui, E.; Martínez-Garaot, S.; Muga, J.G. Shortcuts to adiabaticity: Concepts, methods, and applications. Rev. Mod. Phys. 2019, 91, 045001. [Google Scholar] [CrossRef]
- Luan, T.; Shen, H.; Yi, X. Shortcuts to adiabaticity with general two-level non-Hermitian systems. Phys. Rev. A 2022, 105, 013714. [Google Scholar] [CrossRef]
- Wang, Z.M.; Bishop, C.A.; Jing, J.; Gu, Y.J.; Garcia, C.; Wu, L.A. Shortcut to nonadiabatic quantum state transmission. Phys. Rev. A 2016, 93, 062338. [Google Scholar] [CrossRef]
- Oh, S.; Lee, S.; Lee, H.w. Fidelity of quantum teleportation through noisy channels. Phys. Rev. A 2002, 66, 022316. [Google Scholar] [CrossRef]
- Xue, C.; Chen, Z.Y.; Wu, Y.C.; Guo, G.P. Effects of quantum noise on quantum approximate optimization algorithm. Chin. Phys. Lett. 2021, 38, 030302. [Google Scholar] [CrossRef]
- Benabdallah, F.; Rahman, A.U.; Haddadi, S.; Daoud, M. Long-time protection of thermal correlations in a hybrid-spin system under random telegraph noise. Phys. Rev. E 2022, 106, 034122. [Google Scholar] [CrossRef]
- Wang, C.; Li, L.; Gong, J.; Liu, Y.X. Arbitrary entangled state transfer via a topological qubit chain. Phys. Rev. A 2022, 106, 052411. [Google Scholar] [CrossRef]
- Jeske, J.; Vogt, N.; Cole, J.H. Excitation and state transfer through spin chains in the presence of spatially correlated noise. Phys. Rev. A 2013, 88, 062333. [Google Scholar] [CrossRef]
- Chen, X.; Mereau, R.; Feder, D.L. Asymptotically perfect efficient quantum state transfer across uniform chains with two impurities. Phys. Rev. A 2016, 93, 012343. [Google Scholar] [CrossRef]
- Breuer, H.P.; Petruccione, F. The Theory of Open Quantum Systems; Oxford University Press on Demand: New York, NY, USA, 2002. [Google Scholar]
- Hu, M.L. State transfer in dissipative and dephasing environments. Eur. Phys. J. D 2010, 59, 497–507. [Google Scholar] [CrossRef]
- Breuer, H.P.; Laine, E.M.; Piilo, J.; Vacchini, B. Colloquium: Non-Markovian dynamics in open quantum systems. Rev. Mod. Phys. 2016, 88, 021002. [Google Scholar] [CrossRef]
- De Vega, I.; Alonso, D. Dynamics of non-Markovian open quantum systems. Rev. Mod. Phys. 2017, 89, 015001. [Google Scholar] [CrossRef]
- Zhao, X. Macroscopic entanglement in optomechanical system induced by non-Markovian environment. Opt. Express 2019, 27, 29082–29097. [Google Scholar] [CrossRef]
- Ren, F.H.; Wang, Z.M.; Gu, Y.J. Quantum state transfer through a spin chain in two non-Markovian baths. Quantum Inf. Process. 2019, 18, 193. [Google Scholar] [CrossRef]
- Shi, W.; Zhao, X.; Yu, T. Non-Markovian fermionic stochastic Schrödinger equation for open system dynamics. Phys. Rev. A 2013, 87, 052127. [Google Scholar] [CrossRef]
- Yu, T.; Diósi, L.; Gisin, N.; Strunz, W.T. Non-Markovian quantum-state diffusion: Perturbation approach. Phys. Rev. A 1999, 60, 91. [Google Scholar] [CrossRef]
- Li, C.F.; Guo, G.C.; Piilo, J. Non-Markovian quantum dynamics: What is it good for? EPL (Europhys. Lett.) 2020, 128, 30001. [Google Scholar] [CrossRef]
- Nakajima, T.; Delbecq, M.R.; Otsuka, T.; Amaha, S.; Yoneda, J.; Noiri, A.; Takeda, K.; Allison, G.; Ludwig, A.; Wieck, A.D.; et al. Coherent transfer of electron spin correlations assisted by dephasing noise. Nat. Commun. 2018, 9, 2133. [Google Scholar] [CrossRef]
- Wang, Z.M.; Ren, F.H.; Luo, D.W.; Yan, Z.Y.; Wu, L.A. Quantum state transmission through a spin chain in finite-temperature heat baths. J. Phys. A Math. Theor. 2021, 54, 155303. [Google Scholar] [CrossRef]
- Wang, Z.M.; Ren, F.H.; Luo, D.W.; Yan, Z.Y.; Wu, L.A. Almost-exact state transfer by leakage-elimination-operator control in a non-Markovian environment. Phys. Rev. A 2020, 102, 042406. [Google Scholar] [CrossRef]
- Xie, Y.Y.; Ren, F.H.; He, R.H.; Ablimit, A.; Wang, Z.M. Stochastic learning control of adiabatic speedup in a non-Markovian open qutrit system. Phys. Rev. A 2022, 106, 062612. [Google Scholar] [CrossRef]
- Nie, S.S.; Ren, F.H.; He, R.H.; Wu, J.; Wang, Z.M. Control cost and quantum speed limit time in controlled almost-exact state transmission in open systems. Phys. Rev. A 2021, 104, 052424. [Google Scholar] [CrossRef]
- Diósi, L.; Strunz, W.T. The non-Markovian stochastic Schrödinger equation for open systems. Phys. Lett. A 1997, 235, 569–573. [Google Scholar] [CrossRef]
- Diósi, L.; Gisin, N.; Strunz, W.T. Non-Markovian quantum state diffusion. Phys. Rev. A 1998, 58, 1699. [Google Scholar] [CrossRef]
- Cai, X.; Zheng, Y. Non-Markovian decoherence dynamics in nonequilibrium environments. J. Chem. Phys. 2018, 149, 094107. [Google Scholar]
- Shibata, F.; Arimitsu, T. Expansion formulas in nonequilibrium statistical mechanics. J. Phys. Soc. Jpn. 1980, 49, 891–897. [Google Scholar] [CrossRef]
- Xu, J.; Zhao, X.; Jing, J.; Wu, L.A.; Yu, T. Perturbation methods for the non-Markovian quantum state diffusion equation. J. Phys. Math. Theor. 2014, 47, 435301. [Google Scholar] [CrossRef]
- Yu, T. Non-Markovian quantum trajectories versus master equations: Finite-temperature heat bath. Phys. Rev. A 2004, 69, 062107. [Google Scholar] [CrossRef]
- Chen, B.; Fan, W.; Xu, Y.; Peng, Y.D.; Zhang, H.Y. Multipath adiabatic quantum state transfer. Phys. Rev. A 2013, 88, 022323. [Google Scholar] [CrossRef]
- Feng, Z.; Gao, Z.W.; Wu, L.A.; Tang, H.; Sun, K.; Hu, C.Q.; Wang, Y.; Li, Z.M.; Wang, X.W.; Chen, Y.; et al. Photonic Newton’s cradle for remote energy transport. Phys. Rev. Appl. 2019, 11, 044009. [Google Scholar] [CrossRef]
- Wu, L.A.; Lidar, D.A. Overcoming quantum noise in optical fibers. Phys. Rev. A 2004, 70, 062310. [Google Scholar] [CrossRef]
- Wang, Z.M.; Wu, L.A.; Modugno, M.; Yao, W.; Shao, B. Fault-tolerant almost exact state transmission. Sci. Rep. 2013, 3, 3128. [Google Scholar] [CrossRef]
- Mouloudakis, G.; Ilias, T.; Lambropoulos, P. Arbitrary-length X X spin chains boundary-driven by non-Markovian environments. Phys. Rev. A 2022, 105, 012429. [Google Scholar] [CrossRef]
- Wang, Y.; Wu, J.L.; Feng, Y.K.; Han, J.X.; Xia, Y.; Jiang, Y.Y.; Song, J. Optimal control for robust photon state transfer in optomechanical systems. Annalen der Physik 2021, 533, 2000608. [Google Scholar] [CrossRef]
- Wang, H.; Wu, L.A. Fast quantum algorithm for ec3 problem with trapped ions. arXiv 2014, arXiv:1412.1722. [Google Scholar]
- Wu, J.; Ren, F.H.; He, R.H.; Nie, S.S.; Wang, Z.M. Adiabatic speedup and quantum heat current in an open system. Europhys. Lett. 2022, 139, 48001. [Google Scholar] [CrossRef]
- Zhang, L.C.; Ren, F.H.; Chen, Y.F.; He, R.H.; Gu, Y.J.; Wang, Z.M. Adiabatic speedup via zero-energy-change control in a spin system. EPL (Europhys. Lett.) 2019, 125, 10010. [Google Scholar] [CrossRef]
- Jing, J.; Wu, L.A.; Yu, T.; You, J.Q.; Wang, Z.M.; Garcia, L. One-component dynamical equation and noise-induced adiabaticity. Phys. Rev. A 2014, 89, 032110. [Google Scholar] [CrossRef]
- Wang, H.; Wu, L.A. Ultrafast adiabatic quantum algorithm for the NP-complete exact cover problem. Sci. Rep. 2016, 6, 22307. [Google Scholar] [CrossRef]
- He, R.H.; Wang, R.; Ren, F.H.; Zhang, L.C.; Wang, Z.M. Adiabatic speedup in cutting a spin chain via zero-area pulse control. Phys. Rev. A 2021, 103, 052606. [Google Scholar] [CrossRef]
- Ren, F.H.; Wang, Z.M.; Wu, L.A. Accelerated adiabatic quantum search algorithm via pulse control in a non-Markovian environment. Phys. Rev. A 2020, 102, 062603. [Google Scholar] [CrossRef]
- Kingma, D.P.; Ba, J. Adam: A method for stochastic optimization. arXiv 2014, arXiv:1412.6980. [Google Scholar]





Disclaimer/Publisher’s Note: The statements, opinions and data contained in all publications are solely those of the individual author(s) and contributor(s) and not of MDPI and/or the editor(s). MDPI and/or the editor(s) disclaim responsibility for any injury to people or property resulting from any ideas, methods, instructions or products referred to in the content. |
© 2023 by the authors. Licensee MDPI, Basel, Switzerland. This article is an open access article distributed under the terms and conditions of the Creative Commons Attribution (CC BY) license (https://creativecommons.org/licenses/by/4.0/).
Share and Cite
Liang, X.-H.; Wu, L.-A.; Wang, Z.-M. Optimally Controlled Non-Adiabatic Quantum State Transmission in the Presence of Quantum Noise. Photonics 2023, 10, 274. https://doi.org/10.3390/photonics10030274
Liang X-H, Wu L-A, Wang Z-M. Optimally Controlled Non-Adiabatic Quantum State Transmission in the Presence of Quantum Noise. Photonics. 2023; 10(3):274. https://doi.org/10.3390/photonics10030274
Chicago/Turabian StyleLiang, Xiang-Han, Lian-Ao Wu, and Zhao-Ming Wang. 2023. "Optimally Controlled Non-Adiabatic Quantum State Transmission in the Presence of Quantum Noise" Photonics 10, no. 3: 274. https://doi.org/10.3390/photonics10030274
APA StyleLiang, X.-H., Wu, L.-A., & Wang, Z.-M. (2023). Optimally Controlled Non-Adiabatic Quantum State Transmission in the Presence of Quantum Noise. Photonics, 10(3), 274. https://doi.org/10.3390/photonics10030274

