Characterization of Chemical Constituents of Oxytropis microphylla (Pall.) DC. by Ultra-High-Performance Liquid Chromatography Coupled with Quadrupole-Time-of Flight Tandem Mass Spectrometry
Abstract
1. Introduction
2. Materials and Methods
2.1. Chemicals and Reagents
2.2. Animal Experiments
2.3. Sample Preparation
2.4. UHPLC-QTOF-MS/MS
3. Results and Discussion
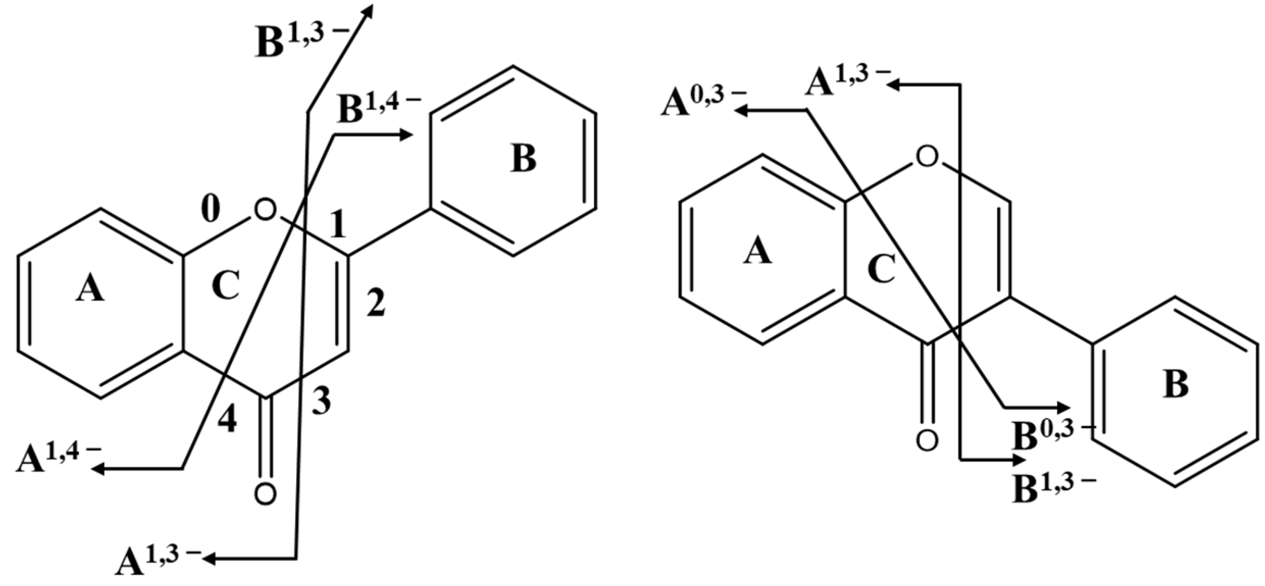
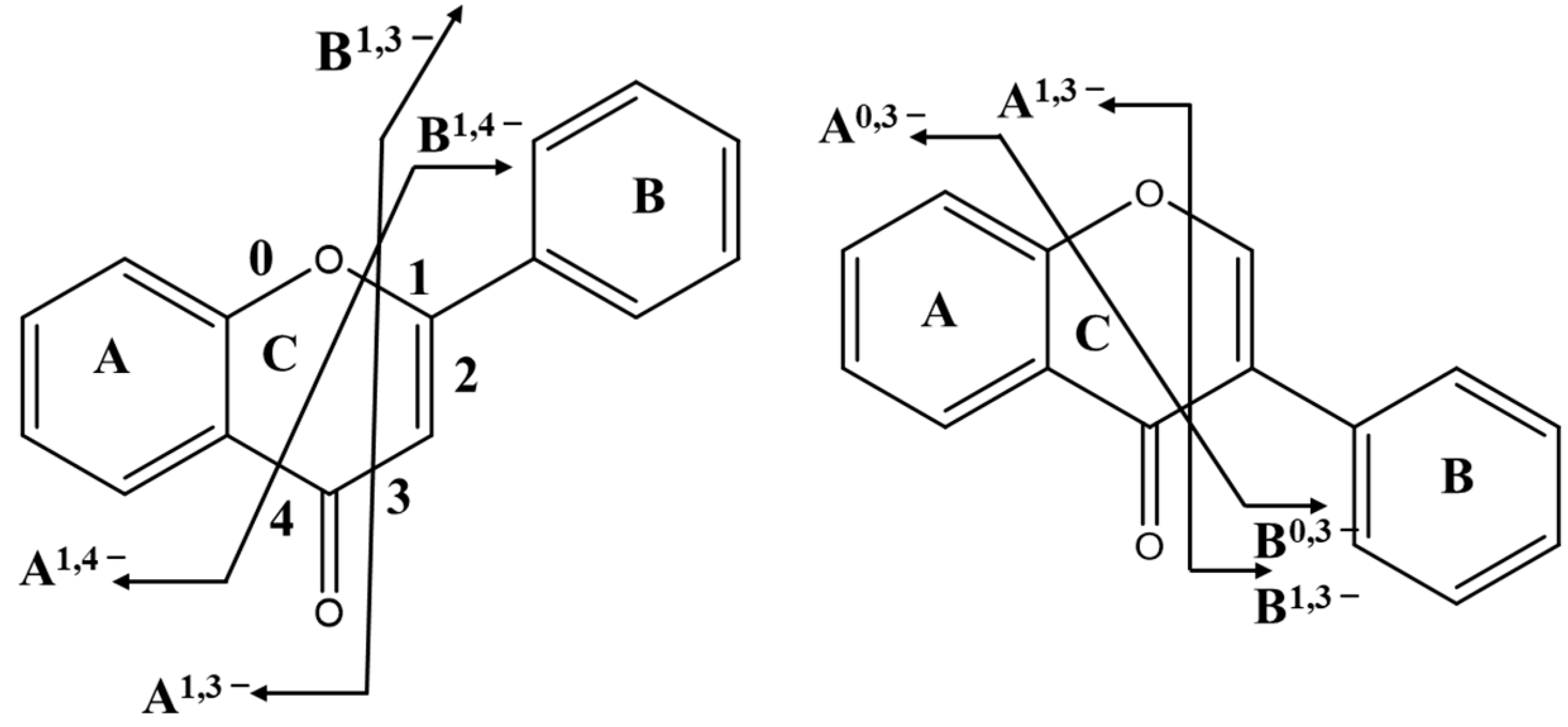
3.1. Screening and Identification of Chalcone
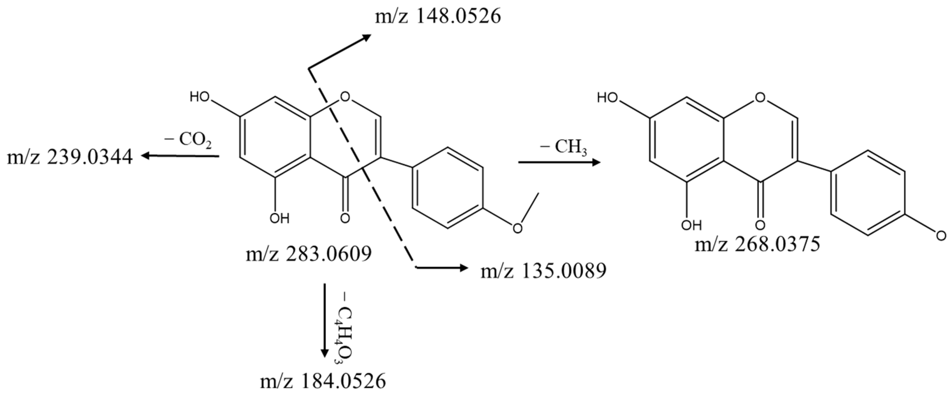
3.2. Screening and Identification of Flavone
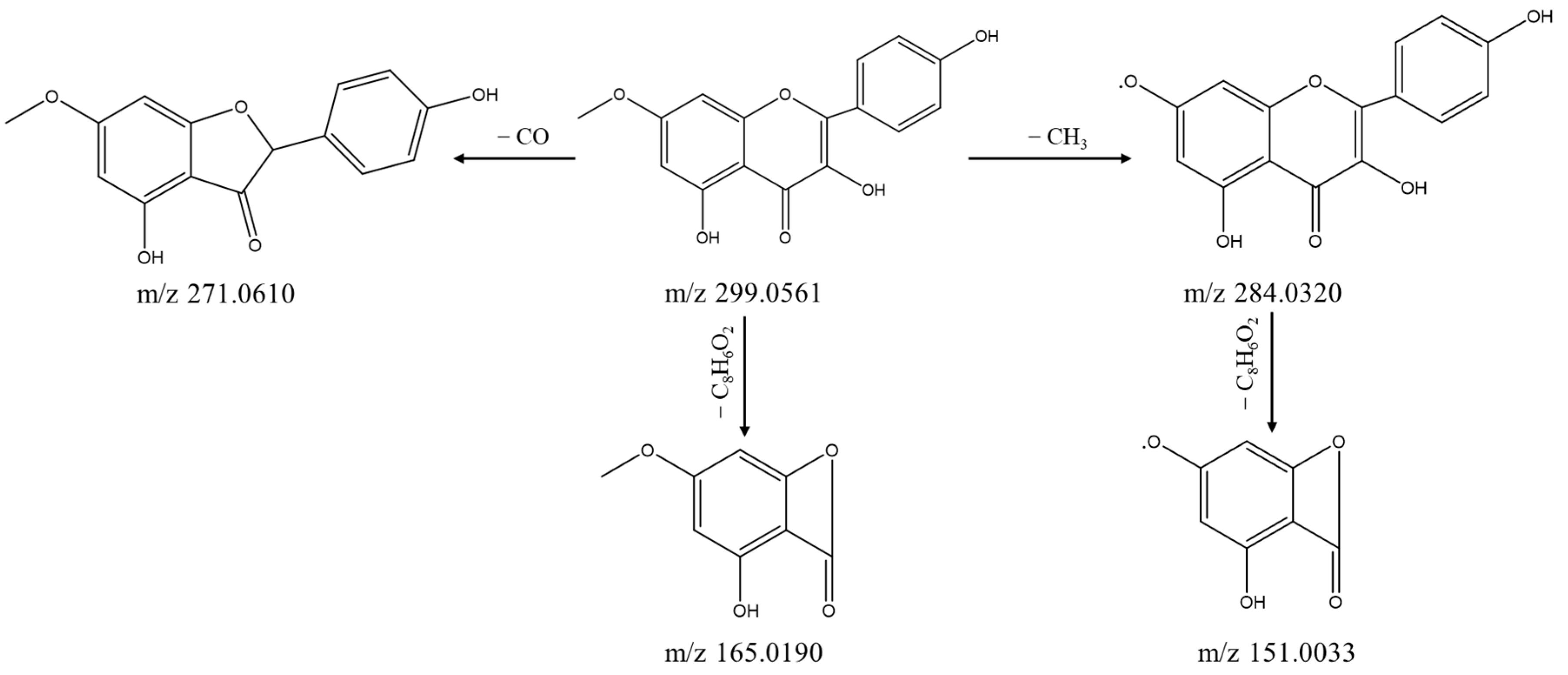
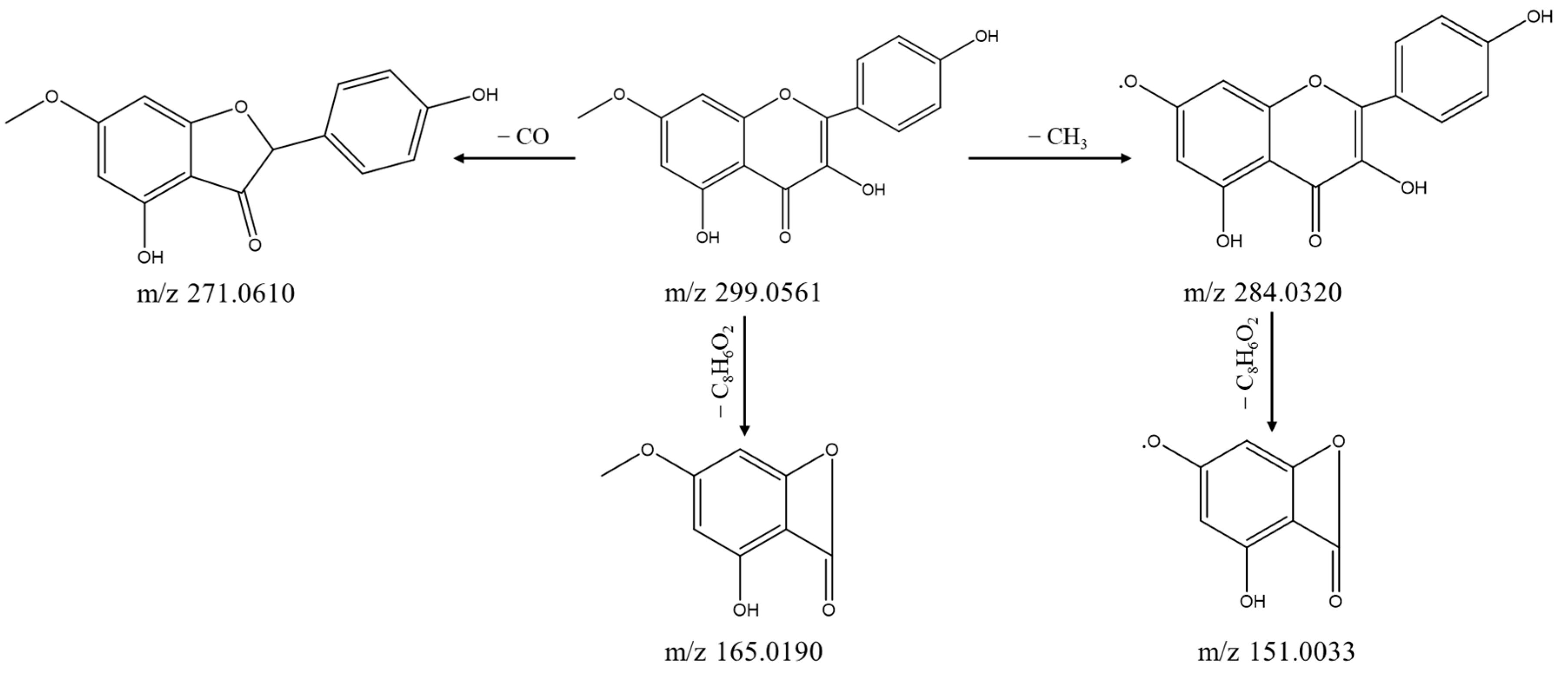
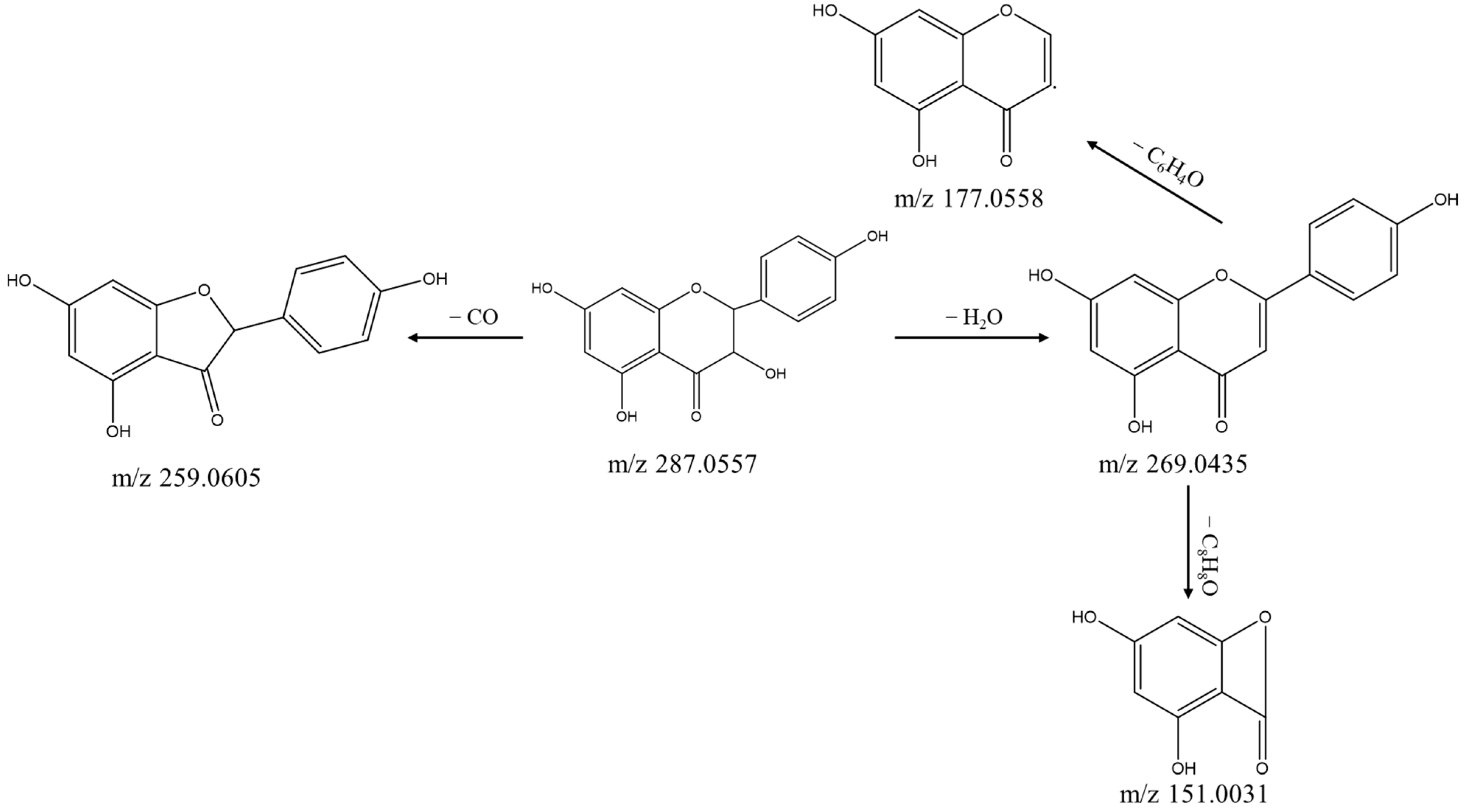
3.3. Screening and Identification of Flavonol
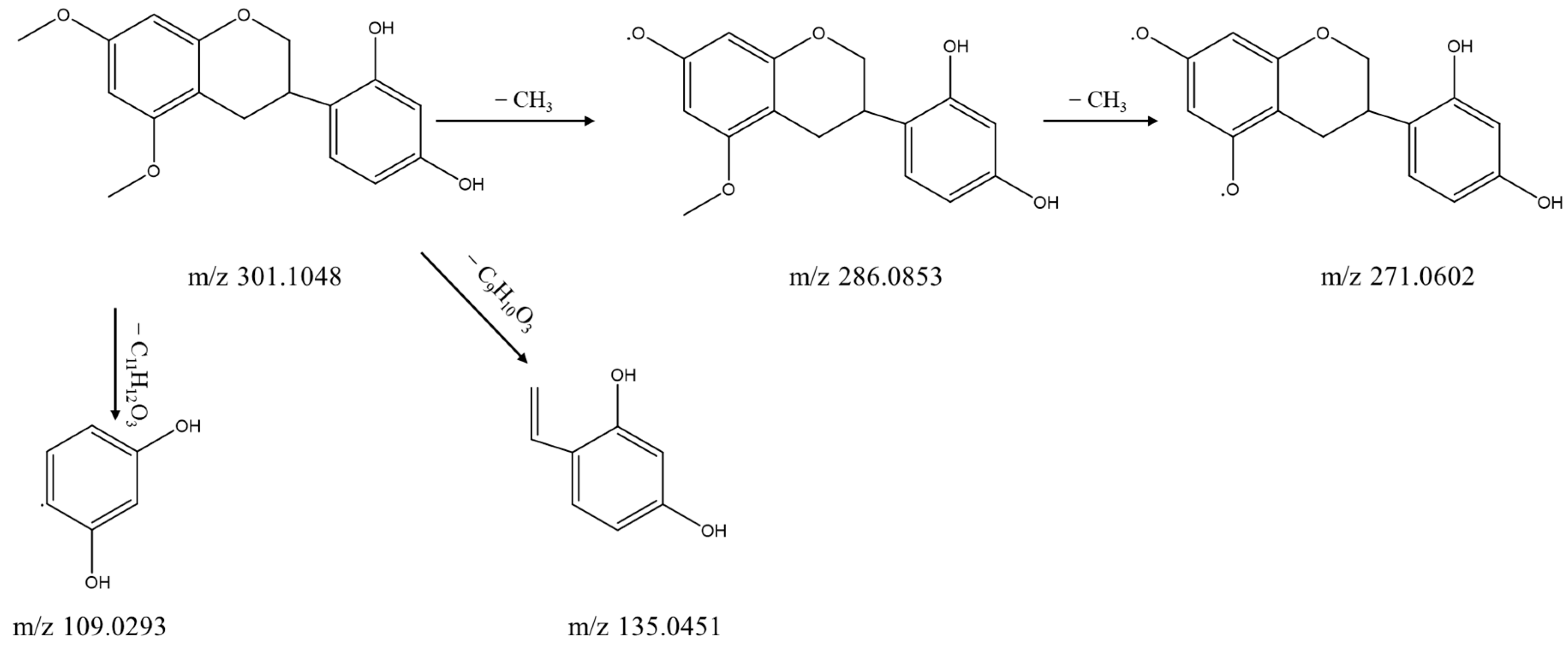
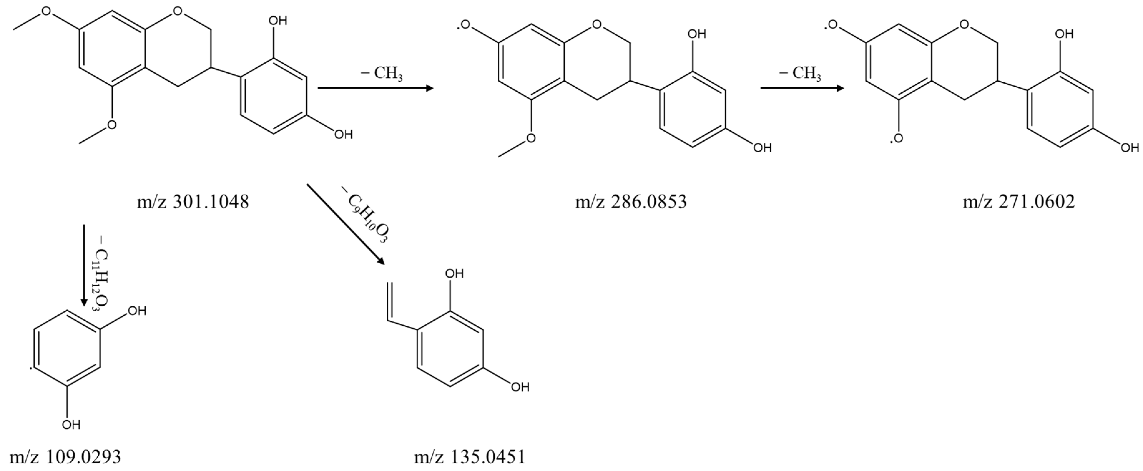
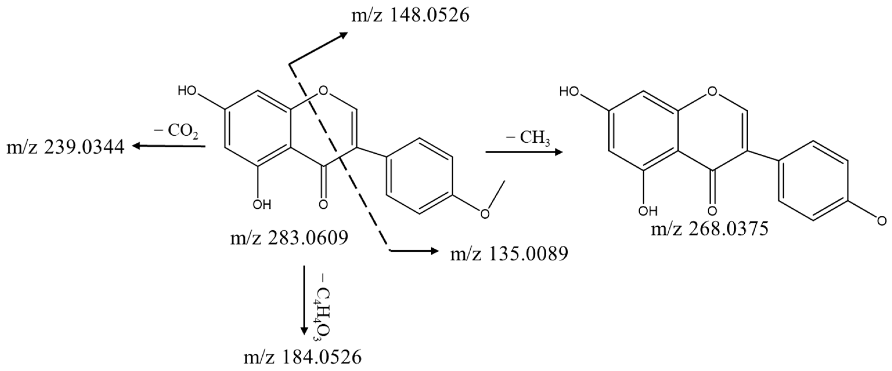
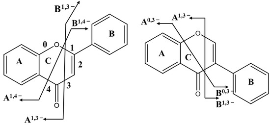
3.4. Screening and Identification of Isoflavane
3.5. Screening and Identification of Indole Alkaloids
3.6. Identification of 22 Metabolites (M1-M22) in Mice
4. Conclusions
Author Contributions
Funding
Institutional Review Board Statement
Informed Consent Statement
Data Availability Statement
Conflicts of Interest
References
- Chen, C.; Liu, F.Q.; Zhao, J.Y.; Chen, T.; Li, Y.L.; Zhang, D.J. Efficient Separation of Five Flavonoids from Oxytropis falcata Bunge by High-Speed Counter-Current Chromatography and their Anticancer Activity. Acta Chromatogr. 2020, 32, 189–193. [Google Scholar] [CrossRef]
- Wang, W.D.; Dang, J.; Shao, Y.; Wang, Q.L.; Mei, L.J.; Tao, Y.D. Flavonoids from the poisonous plant Oxytropis falcate. Chem. Nat. Compd. 2019, 55, 6. [Google Scholar] [CrossRef]
- Chen, Z.P.; Qu, M.M.; Chen, H.X.; Liu, D.; Xiao, Y.Y.; Chen, J.; Lu, T.L.; Cai, B.C. The studies of anti-inflammatory and analgesic activities and pharmacokinetics of Oxytropis falcate Bunge extraction after transdermal administration in rats. Fitoterapia 2011, 82, 426–433. [Google Scholar] [CrossRef]
- Chen, W.H.; Wang, R.; Shi, Y.P. Flavonoids in the Poisonous Plant Oxytropis falcata. J. Nat. Prod. 2010, 73, 1398–1403. [Google Scholar] [CrossRef] [PubMed]
- Jiang, H.; Zhan, W.Q.; Liua, X.; Jiang, S.X. Antioxidant activities of extracts and flavonoid compounds from Oxytropis falcate Bunge. Nat. Prod. Res. 2008, 22, 1650–1656. [Google Scholar] [CrossRef]
- Wang, D.; Tang, W.; Yang, G.M.; Cai, B.C. Anti-inflammatory, Antioxidant and Cytotoxic Activities of Flavonoids from Oxytropis falcata Bunge. Chin. J. Nat. Med. 2010, 8, 461–465. [Google Scholar] [CrossRef]
- Gu, Q.L.; Huang, C.L.; Zhang, L.; Jiang, H. A Preliminary Study on Anti-inflammatory Effects of Rhamnocitrin from Oxytropis falcata Bunge. Chin. J. Inf. Tradit. Chin. Med. 2014, 12, 48–50. [Google Scholar]
- Zhang, X.J.; Liu, W.X.; Wei, P.; Kelsang, N.; Que, S.; Zhang, L.; Zhang, Q.Y. Subacute toxicity and chemical analysis of Tibetan medicine Oxytropis falcata. China J. Chin. Mater. Med. 2014, 39, 1157–1162. [Google Scholar]
- Jiang, H.; Hu, J.R.; Zhan, W.Q.; Liu, X. Screening for fractions of Oxytropis falcata Bunge with antibacterial activity. Nat. Prod. Res. 2009, 23, 953–959. [Google Scholar] [CrossRef] [PubMed]
- Yang, G.M.; Wang, D.; Tang, W.; Chen, X.; Fan, L.Q.; Zhang, F.F.; Yang, H.; Cai, B.C. Anti-inflammatory and Antioxidant Activities of Oxytropis falcata Fractions and Its Possible Anti-inflammatory Mechanism. Chin. J. Nat. Med. 2010, 8, 285–292. [Google Scholar] [CrossRef]
- Yang, L.X.; Wang, Z.C.; Jiang, L.G.; Sun, E.; Fan, Q.; Liu, T.H. Total Flavonoids Extracted from Oxytropis falcata Bunge Improve Insulin Resistance through Regulation on the IKK𝛽/NF-𝜅B Inflammatory Pathway. Hindawi Evid. Based Complement. Altern. Med. 2017, 2017, 2405124. [Google Scholar]
- Guo, Y.; Zhan, B.Y.; Peng, Y.F.; Chang, L.C.; Li, Z.Q.; Zhang, X.X.; Zhang, D.J. Mechanism of Action of Flavonoids of Oxytropis falcata on the Alleviation of Myocardial Ischemia–Reperfusion Injury. Molecules 2022, 27, 1706. [Google Scholar] [CrossRef]
- Wang, Y.; Liu, S.; Hu, Y.; Li, P.; Wan, J.B. Current state of the art of mass spectrometry-based metabolomics studies—A review focusing on wide coverage, high throughput and easy identification. RSC Adv. 2015, 5, 78728–78737. [Google Scholar] [CrossRef]
- Li, J.M.; Wen, Q.; Feng, Y.L.; Zhang, J.; Luo, Y.; Tan, T. Characterization of the multiple chemical components of Glechomae Herba using ultra high performance liquid chromatography coupled to quadrupole-time-of-flight tandemmass spectrometry with diagnostic ion filtering strategy. J. Sep. Sci. 2019, 42, 1312–1322. [Google Scholar] [CrossRef]
- Rodriguez, A.M.; Gurny, R.; Veuthey, J.L.; Guillarme, D. Coupling ultra-high-pressure liquid chromatography with mass spectrometry: Constraints and possible applications. J. Chromatogr. A 2013, 1292, 2–18. [Google Scholar] [CrossRef]
- Garran, T.A.; Ji, R.F.; Chen, J.L.; Xie, D.M.; Guo, L.P.; Huang, L.Q.; Lai, C.J.S. Elucidation of metabolite isomers of Leonurus japonicus and Leonurus cardiaca using discriminating metabolite isomerism strategy based on ultra-high performance liquid chromatography tandem quadrupole time-of-flight mass spectrometry. J. Chromatogr. A 2019, 1598, 141–153. [Google Scholar] [CrossRef] [PubMed]
- Guillarme, D.; Schappler, J.; Rudaz, S.; Venthey, J.L. Coupling ultrahigh-pressureliquid chromatography with mass spectrometry. TrAC Trend Anal. Chem. 2010, 29, 15–27. [Google Scholar] [CrossRef]
- Ouyang, H.; Li, J.M.; Wu, B.; Zhang, X.Y.; Li, Y.; Yang, S.L.; He, M.Z.; Feng, Y.L. A robust platform based on ultra-high performance liquid chromatography quadrupole time of flight tandem mass spectrometry with a two-step data mining strategy in the investigation, classification, and identification of chlorogenic acids in Ainsliaea fragrans Champ. J. Chromatogr. A 2017, 1502, 38–50. [Google Scholar]
- He, M.Z.; Jia, J.; Li, J.M.; Wu, B.; Huang, W.P.; Liu, M.; Li, Y.; Yang, S.L.; Ouyang, H.; Feng, Y.L. Application of characteristic ion filtering with ultra-high performance liquid chromatography quadrupole time of flight tandem mass spectrometry for rapid detection and identification of chemical profiling in Eucommia ulmoides Oliv. J. Chromatogr. A 2018, 1554, 81–91. [Google Scholar] [CrossRef]
- Xue, Z.Z.; Lai, C.J.S.; Kang, L.P.; Kotani, A.; Hakamata, H.; Jing, Z.X.; Li, H.; Wang, W.H.; Yang, B. Profiling and isomer recognition of phenylethanoid glycosides from Magnolia officinalis based on diagnostic/holistic fragment ions analysis coupled with chemometrics. J. Chromatogr. A 2019, 1611, 460583. [Google Scholar] [CrossRef]
- Oshimura, M.Y.; Sano, A.T.; Amei, J.U.C.K.; Bata, A.K.O. Identification and Quantification of Metabolites of Orally Administered Naringenin Chalcone in Rats. J. Agric. Food Chem. 2009, 57, 6432–6437. [Google Scholar] [CrossRef] [PubMed]
- Norbo, K.; Padro, Q.K.; Zhang, X.J.; Samnor; Liang, H.; Zhang, Q.Y. High-performance liquid chromatographic fingerprint analysis of Oxytropis falcata Bunge and Oxytropis chiliophylla Royle. J. Chin. Pharm. Sci. 2014, 23, 783–789. [Google Scholar] [CrossRef]
- Shen, L.; Cong, W.J.; Lin, X.; Hong, Y.L.; Hu, R.H.; Feng, Y.; Xu, D.S.; Ruan, K.F. Characterization Using LC/MS of the Absorption Compounds and Metabolites in Rat Plasma after Oral Administration of a Single or Mixed Decoction of Shaoyao and Gancao. Chem. Pharm. Bull. 2012, 60, 712–721. [Google Scholar] [CrossRef]
- Zhang, J.Q.; Wang, Y.; Li, H.L.; Wen, Q.; Yin, H.; Zeng, N.K.; Lai, W.Y.; Wei, N.; Cheng, S.Q.; Kang, S.L.; et al. Simultaneous quantification of seventeen bioactive components in rhizome and aerial parts of Alpinia officinarum Hance using LC-MS/MS. Anal. Methods 2015, 7, 4919–4926. [Google Scholar] [CrossRef]
- Tian, D.; Yang, Y.; Yu, M.; Han, Z.Z.; Wei, M.; Zhang, H.W.; Jia, H.M.; Zou, Z.M. Anti-inflammatory chemical constituents of Flos Chrysanthemi Indici determined by UPLC-MS/MS integrated with network pharmacology. Food Funct. 2020, 11, 6340–6351. [Google Scholar] [CrossRef]
- Nóra, G.; András, D.; Szilvia, L.; Szabolcs, B.; László, K. Characterization and identification of isoflavonoid glycosides in the root of Spiny restharrow (Ononis spinosa L.) by HPLC-QTOF-MS, HPLC-MS/MS and NMR. J. Pharm. Biomed. 2016, 123, 74–81. [Google Scholar]
- Wang, H.; Wang, J.Y.; Wu, X.P.; Shen, H.Y.; Luo, Y.; Dai, H.F.; Mei, W.L. HPLC-ESI-MS Analysis of Flavonoids Obtained from Tissue Culture of Dracaena cambodiana. Chem. Res. Chin. Univ. 2015, 31, 38–43. [Google Scholar] [CrossRef]
- Nóra, G.; András, D.; László, K.; Szabolcs, B. Separation and characterization of homopipecolic acid isoflavonoid ester derivatives isolated from Ononis spinosa L. root. J. Chromatogr. B 2018, 1091, 21–28. [Google Scholar]
- Yu, D.D.; Liang, X.R. Characterization and Identification of Isoflavonoids in the Roots of Millettia speciosa Champ. by UPLC-Q-TOF-MS/MS. Curr. Pharm. Anal. 2019, 15, 580–591. [Google Scholar] [CrossRef]
- Wang, Y.; Xu, C.H.; Wang, P.; Lin, X.Y.; Yang, Y.; Li, D.H.; Li, H.F.; Wu, X.Z.; Liu, H.B. Pharmacokinetic comparisons of different combinations of Shaoyao-Gancao-Decoction in rats: Simultaneous determination of ten active constituents by HPLC–MS/MS. J. Chromatogr. B 2013, 932, 76–87. [Google Scholar] [CrossRef]
- Xie, S.; Zhao, T.; Zhang, Z.W.; Meng, J.F. Reduction of Dihydrokaempferol by Vitis vinfera Dihydroflavonol 4-Reductase to Produce Orange Pelargonidin-type Anthocyanins. J. Agric. Food Chem. 2018, 66, 3524–3532. [Google Scholar] [CrossRef] [PubMed]
- Tsimogiannis, D.; Samiotaki, M.; Panayotou, G.; Oreopoulou, V. Characterization of Flavonoid Subgroups and Hydroxy Substitution by HPLC-MS/MS. Molecules 2007, 12, 593–606. [Google Scholar] [CrossRef] [PubMed]
- Tang, X.Y.; Dai, Z.Q.; Wu, Q.C.; Zeng, J.X.; Gao, M.X.; Xiao, H.H.; Yao, Z.H.; Dai, Y.; Yao, X. Simultaneous determination of multiple components in rat plasma and pharmacokinetic studies at a pharmacodynamic dose of Xian-Ling-Gu-Bao capsule by UPLC-MS/MS. J. Pharm. Biomed. Anal. 2020, 177, 112836. [Google Scholar] [CrossRef] [PubMed]
- Lee, J.H.; Lee, S.J.; Park, S.; Kim, H.K.; Jeong, W.Y.; Choi, J.Y.; Sung, N.J.; Lee, W.S.; Lim, C.S.; Kim, G.S.; et al. Characterisation of flavonoids in Orostachys japonicus A. Berger using HPLC–MS/MS: Contribution to the overall antioxidant effect. Food Chem. 2011, 124, 1627–1633. [Google Scholar] [CrossRef]
- Yao, Y.F.; Lin, C.Z.; Liu, F.L.; Zhang, R.J.; Zhang, Q.Y.; Huang, T.; Zou, Y.S.; Wang, M.Q.; Zhu, C.C. Identification and Pharmacokinetic Studies on Complanatuside and Its Major Metabolites in Rats by UHPLC-Q-TOF-MS/MS and LC-MS/MS. Molecules 2019, 24, 71. [Google Scholar] [CrossRef]
- Chen, W.H. Investigation on the Chemical Constituents of Tridax procumbens and Oxytropis falcata and Total Synthesis of A New Pterocarpan. Ph.D. Thesis, Lanzhou University, Lanzhou, China, 2009. [Google Scholar]












| No. | Formula | [M-H]- | Error (ppm) | tR (min) | MS/MS (Characteristic Product Ions) | Identity | Intensity |
|---|---|---|---|---|---|---|---|
| 1 | C15H12O5 | 271.0612 | −0.9 | 8.17 | 243.0656, 227.0728, 185.0579, 164.0089, 136.0160, 109.0292, 91.0215, 65.0417 | 2′,3,4,4′-Tetrahydroxychalcone | 7488 |
| 2 | C15H12O6 | 287.0561 | −0.7 | 12.52 | 269.0428, 259.0615, 243.0683, 203.0330, 173.0608, 151.0031, 125.0255 | (−)-dihydrokaempferol | 3122 |
| 3 | C15H14O5 | 273.0769 | −4 | 12.87 | 255.0650, 243.0622, 109.0287, | 2,4,2’,5’ -Tetrahydrodihydrochalcone | 1984 |
| 4 | C15H12O5 | 271.0612 | −0.7 | 12.94 | 253.0493, 243.0659, 227.0566, 13.0819, 164.0107, 136.0168, 109.0303, 91.0195, 67.0190 | 2′,3,5,4′-Tetrahydroxychalcone | 21,430 |
| 5 | C15H10O5 | 269.0456 | −0.9 | 13.75 | 241.0515, 225.0545, 197.0611, 181.0653, 135.0096, 91.0205 | 2’,5,7-Trihydroxyflavone | 5705 |
| 6 | C21H22O10 | 433.11402 | 3.2 | 13.84 | 271.0590, 165.0192 | Naringenin-glucose | 1139 |
| 7 | C15H10O7 | 301.0354 | −0.6 | 14.08 | 283.0248, 255.0286, 215.0340, 151.0003, 145.9294 | Quercetin; 2-(3,4-Dihydroxyphenyl)-3,5,7-trihydroxy-4H-chromen-4-one | 3244 |
| 8 | C15H14O5 | 273.0769 | −1.4 | 14.12 | 227.0768, 167.0349, 149.0244, 137.0246, 123.0453, 109.0302 | 2’,4’,6’,4-Tetrahydroxydihydrochalcone | 3608 |
| 9 | C15H12O6 | 287.0561 | −0.5 | 14.79 | 269.0435, 259.0605, 243.0667, 201.0534, 177.0558, 151.0031, 125.0242, 83.0133, 63.0250 | Dihydrokaempferol; 3,5,7-trihydroxy-2-(4-hydroxyphenyl)-2,3-dihydrochromen-4-one | 6907 |
| 10 | C17H16O6 | 315.08741 | −1.2 | 14.83 | 300.0646, 257.0497, 178.9552, 149.0271 | 3’,5-Dihydroxy-4’,7-Dimethoxyflavanone | 1362 |
| 11 | C16H14O6 | 301.07176 | −0.7 | 15.1 | 286.0473, 283.0595, 271.0616, 255.0702, 191.0359, 179.0344, 176.0093, 164.9257, 151.0394, 135.0081, 121.0295 | 3’,5,7-Trihydroxy-4’-Methoxyflavanone | 4211 |
| 12 | C15H10O5 | 269.0456 | −0.7 | 15.26 | 251.0317, 241.0492, 225.0556, 181.0643, 149.0225, 135.0082, 91.0232 | 7,8,3’-Trihydroxyflavone | 8460 |
| 13 | C21H22O10 | 433.11402 | 0.7 | 15.42 | 271.0601, 165.0179 | Naringenin-glucose | 1470 |
| 14 | C15H14O5 | 273.0769 | −0.9 | 15.62 | 255.0670, 227.0683, 167.0347, 148.0172, 137.0131, 123.0455, 109.0286 | 2,4,2′,5′-Tetrahydrodihydrochalcone | 5233 |
| 15 | C17H16O6 | 315.08741 | −0.8 | 16.23 | 300.0618, 257.0438, 178.9567, 149.0228, 121.0309 | 4’,6-Dihydroxy-5,7-Dimethoxyflavanone | 1794 |
| 16 | C16H14O6 | 301.07176 | −0.9 | 16.39 | 283.0612, 271.0613, 225.0554, 179.0352, 151.0418, 136.0136, 121.0305, 93.0353 | 7-methoxy-3’,4’,5-trihydroxyflavanone | 4732 |
| 17 | C15H10O6 | 285.0405 | −0.8 | 16.9 | 257.0449, 217.0506, 199.0390, 175.0396, 149.0229, 133.0292, 83.0140, 65.0201 | Luteolin; 3’,4’,5,7-Tetrahydroxyflavone | 42,838 |
| 18 | C15H12O4 | 255.0663 | −1.4 | 17.65 | 135.0088, 119.0504, 91.0198 | Liquiritigenin; 4’, 7-dihydroxyflavanone | 114,322 |
| 19 | C15H10O6 | 285.0405 | −0.8 | 17.71 | 257.0504, 271.0504, 199.0396, 175.0391, 149.0239, 133.0293, 83.0159, 65.0047 | 2’,4’,5,7-Tetrahydroxyisoflavone | 56,144 |
| 20 | C16H14O6 | 301.07176 | −1.3 | 18.06 | 191.0353, 176.0103, 164.9285, 148.0148, 109.0297, 67.0208 | 3′,4′,7-Trihydroxy-5-methoxyflavanone | 2937 |
| 21 | C9H8O2 | 147.04515 | −0.8 | 18.3 | 103.0556, 77.0391, 61.9902 | Cinnamic acid | 8302 |
| 22 | C16H12O5 | 283.0612 | −0.5 | 18.42 | 268.0377, 239.0341, 215.0326, 211.0400, 195.0450, 184.0531, 147.0451, 112.9849, 61.9902 | 6,7-dihydroxy-5-methoxyflavone | 9831 |
| 23 | C15H12O4 | 255.0663 | −1.3 | 18.64 | 237.0560, 209.0608, 199.0761, 167.0861, 149.0247, 135.0090, 109.0301, 91.0206 | 6,7-dihydroxyflavanone | 225,821 |
| 24 | C16H12O5 | 283.0612 | −1 | 18.73 | 268.0376, 239.0345, 211.0394, 184.0519, 148.0168, 135.0089 | 5,7-dihydroxy-4′-Methoxy isoflavones | 91,281 |
| 25 | C16H16O5 | 287.0925 | −1.4 | 18.91 | 272.0683, 257.0439, 163.0405, 150.0321, 135.0439, 121.0306, 109.0280, 91.0580 | 7,2′,3′-Trihydroxy-4′-methoxyisoflavane | 4783 |
| 26 | C21H22O9 | 417.1191 | 0.6 | 18.96 | 255.0659, 177.0147, 151.0057 | Pinocembrin-glucoside | 4369 |
| 27 | C16H12O5 | 283.0612 | −0.4 | 19.22 | 268.0375, 239.0344, 211.0399, 184.0526, 148.0168, 135.0089 | 4’,7-Dihydroxy-2’-methoxyisoflavon | 131,630 |
| 28 | C21H22O9 | 417.1191 | 0.4 | 19.47 | 255.0669, 177.0191, 151.0029 | Pinocembrin-glucoside | 4277 |
| 29 | C16H16O5 | 287.0925 | −0.4 | 19.48 | 272.0690, 257.0435, 163.0397, 150.0317, 135.0463, 121.0292, 109.0279, 91.0615 | 7,2′,3′-Trihydroxy-6-Methoxy isoflavane | 5798 |
| 30 | C15H12O4 | 255.0663 | −1.1 | 19.52 | 237.0610, 209.0610, 199.0765, 165.0709, 135.0089, 109.0302, 91.0202 | 3’, 6-dihydroxyflavanone | 279,373 |
| 31 | C16H14O4 | 269.0819 | −1 | 19.75 | 253.0522, 163.0401, 148.0178, 135.0084, 119.0499, 109.0299, 91.0224 | 7-hydroxy-4’-methoxy dihydroflavone | 36,522 |
| 32 | C16H12O6 | 299.0561 | −1 | 19.96 | 109.0297, 65.0433 | 7,3’,4’-trihydroxy-5-methoxy flavone | 13,371 |
| 33 | C16H14O4 | 269.0819 | −0.6 | 20.26 | 253.0499, 225.0541, 163.0397, 148.0158, 135.0085, 119.0508, 109.0294, 91.0188 | 2’,4’-Dihydroxy-2-methoxychalcone | 46,597 |
| 34 | C21H20O10 | 431.09837 | 0.1 | 20.32 | 269.0456, 226.9665, 158.9784, 140.9788 | Apigenin-glucoside | 1697 |
| 35 | C21H22O9 | 417.1191 | 0.7 | 20.33 | 255.0658, 145.0644 | Pinocembrin-glucoside | 9326 |
| 36 | C16H12O6 | 299.0561 | −0.4 | 20.45 | 109.0299, 65.0411 | 2’,4’,5-Trihydroxy-7-methoxyisoflavone | 14,610 |
| 37 | C21H20O10 | 431.09837 | 1.5 | 20.62 | 269.0439, 223.0971, 140.9806 | Apigenin-glucoside | 1657 |
| 38 | C21H22O9 | 417.1191 | 0.9 | 20.76 | 255.0659, 211.0790, 171.0418, 151.0031 | Pinocembrin-glucoside | 10,565 |
| 39 | C16H16O5 | 287.0925 | −0.7 | 20.83 | 257.0818, 239.0698, 224.0470, 136.0171, 109.0297, 91.0210 | 7,2′,3′-Trihydroxy-4′-methoxyisoflavane | 11,412 |
| 40 | C15H12O5 | 271.0612 | −0.4 | 20.84 | 253.0506, 225.0542, 215.0712, 197.0600, 177.0190, 161.0607, 151.0033, 119.0504, 107.0144, 93.0352 | Naringenin; 4’,5,7-trihydroxyflavanone | 196,476 |
| 41 | C16H12O5 | 283.0612 | −0.8 | 21.16 | 268.0372, 239.0360, 211.0406, 184.0529, 146.9650, 135.0069, 61.9916 | 3’-methoxy-5,7-dihydroxyflavone | 9696 |
| 42 | C16H16O5 | 287.0925 | −0.7 | 21.26 | 257.0820, 239.0712, 224.0484, 136.0170, 109.0298, 91.0204 | 7,2′,3′-Trihydroxy-4′-methoxyisoflavane | 13,087 |
| 43 | C15H12O5 | 271.0612 | −0.7 | 21.32 | 253.0507, 225.0548, 215.0706, 197.0598, 185.0599, 177.0191, 161.0605, 151.0038, 119.0508, 107.0143, 93.0354, 63.0268 | Naringenin chalcone; 2’,4,4’,6’-tetrahydroxychalcone | 300,571 |
| 44 | C16H12O5 | 283.0612 | −0.7 | 21.53 | 268.0375, 239.0348, 211.0406, 195.0449, 184.0515, 146.9653, 135.0073, 61.9892 | 6,4’-dihydroxy-7-methoxyflavone | 11,665 |
| 45 | C15H10O5 | 269.0456 | −1 | 21.83 | 225.0554, 201.0550, 181.0660, 151.0031, 149.0242, 117.0347, 107.0154, 87.0472 | Apigenin; 4’,5,7-Trihydroxyflavone | 48,246 |
| 46 | C17H16O6 | 315.08741 | −0.2 | 21.84 | 297.0389, 269.0453, 109.0294, 65.0404 | 5,4’-dihydroxy-7,3’-dimethoxy-flavanone | 6428 |
| 47 | C16H12O7 | 315.051 | 0.2 | 22.08 | 297.0397, 269.0450, 254.0218, 226.0249, 165.0199, 109.0293, 65.0390 | Rhamnetin | 4246 |
| 48 | C15H12O5 | 271.0612 | −0.8 | 22.1 | 253.0502, 227.0706, 185.0606, 151.0034, 143.0499, 107.0138, 83.0146, 65.0044 | 7,3’,5’-trihydroxyflavanone | 46,118 |
| 49 | C17H16O6 | 315.08741 | −0.6 | 22.14 | 297.0401, 269.0448, 254.0230, 226.0184, 198.0315, 165.0202, 109.0293, 65.0433 | 3’,4’-Dihydroxy-6,7-methoxyflavanone | 6592 |
| 50 | C15H12O5 | 271.0612 | −0.8 | 22.43 | 253.0500, 227.0706, 185.0601, 151.0030, 143.0495, 107.0143, 83.0157, 65.0053 | 3,7,4’-Trihydroxyflavanone | 55,627 |
| 51 | C16H12O6 | 299.0561 | −0.5 | 23.26 | 284.0323, 255.0261, 227.0338, 211.0398, 148.0180, 91.0200 | 5,7,2′-trihydroxy-4’-methoxy flavone | 8908 |
| 52 | C15H14O4 | 257.0819 | −1.1 | 23.56 | 163.0400, 151.0405, 135.0088, 107.0511, 93.0358, 65.0414 | 2’,4’,4-Trihydroxydihydrochalcone | 218,604 |
| 53 | C15H10O3 | 237.0557 | −1.2 | 23.69 | 208.0531, 193.0658, 180.0573, 165.0721, 132.0213, 91.0209 | 7-Hydroxyflavone | 52,893 |
| 54 | C16H12O4 | 267.0663 | −0.3 | 24.19 | 252.0418, 223.0387, 196.0520, 168.0583, 135.0085, 117.0344, 91.0192 | 7-methoxy-4’-hydroxyisoflavone | 26,052 |
| 55 | C15H10O3 | 237.0557 | −2.4 | 24.54 | 208.0515, 193.0641, 180.0579, 135.0094, 117.0348, 91.0268 | 6-Hydroxyflavone | 10,396 |
| 56 | C16H14O5 | 285.07685 | −1 | 24.56 | 267.0644, 163.0393, 135.0452, 121.0306, 109.03222, 91.0673 | Vestitone; 2’,7-dihydroxy-4’-methoxyisoflavanone | 5450 |
| 57 | C16H10O5 | 281.0456 | −0.9 | 24.73 | 253.0504, 224.0477, 209.0602, 195.0446, 167.0493, 135.0088, 117.0337, 91.0201 | Pseudobaptigenin | 158,719 |
| 58 | C21H22O8 | 401.1242 | 0.8 | 24.76 | 239.0712, 197.0607, 135.0087, 112.9851 | 2′,4′-Dihydroxychalcone-glucose | 13,190 |
| 59 | C15H12O4 | 255.0663 | −1.2 | 25.06 | 135.0093, 119.0512, 91.0204 | Isoliquiritigenin; 2’,4,4’-Trihydroxychalcone | 518,486 |
| 60 | C16H12O6 | 299.0561 | −0.9 | 25.39 | 284.0315, 256.0351, 165.0191, 149.9952, 121.0293, 65.0262 | 3’-Methoxy-4’,5,7-trihydroxyflavone | 39,790 |
| 61 | C16H12O4 | 267.0663 | −1.2 | 25.45 | 252.0424, 223.0391, 208.0522, 195.0442, 167.0485, 132.0214, 91.0181 | Formononetin; 7-Hydroxy-4’-methoxyisoflavone | 101,086 |
| 62 | C15H12O3 | 239.0714 | −2.3 | 25.85 | 197.0603, 169.0658, 148.0164, 135.0090, 109.0302, 91.0207 | 7-Hydroxyflavanone | 1,785,720 |
| 63 | C16H14O4 | 269.0819 | −0.8 | 25.9 | 225.0899, 148.0184, 119.0510 | 4,4’-dihydroxy-2’-methoxychalcone | 20,639 |
| 64 | C15H12O4 | 255.0663 | −1.1 | 26.12 | 237.0560, 209.0605, 193.0657, 169.0661, 145.0294, 135.0088, 119.0503, 109.0302, 91.0201 | (2R)-Pinocembrin; (2R)-5,7-dihydroxy-2-phenyl-2,3-dihydrochromen-4-one | 202,511 |
| 65 | C16H12O6 | 299.0561 | −0.7 | 26.31 | 284.0326, 255.03040, 227.0347, 211.0384, 148.0152, | 3′,4′,7-Trihydroxy-5-methoxyflavone | 12,184 |
| 66 | C15H10O4 | 253.0506 | −0.8 | 26.78 | 223.0384, 208.0526, 195.0450, 180.0582, 152.0633, 132.0422, 116.9286, 92.0318 | 4’,7-Dihydroxyisoflavone | 26,456 |
| 67 | C17H18O5 | 301.1082 | −0.9 | 27.07 | 286.0853, 271.0602, 179.0728, 164.0482, 149.0234, 135.0451, 109.0293 | 7,3 ‘-dihydroxy-2’, 4 ‘-dimethoxy isoflavane | 5886 |
| 68 | C16H8O6 | 295.02481 | −0.8 | 27.88 | 267.0292, 266.0218, 239.0352, 211.0407, 195.0285, 158.9768, 114.9876 | Medicagol | 2425 |
| 69 | C15H10O4 | 253.0506 | −0.9 | 29.23 | 225.0561, 209.0610, 181.0659, 143.0504, 119.0504, 107.0147, 63.0270 | Chrysin; 5,7-Dihydroxyflavone | 872,015 |
| 70 | C16H14O5 | 285.07685 | −0.1 | 29.5 | 269.0472, 165.0191, 119.0505, 97.0290, 89.0041, 65.0129 | Sakuranetin, 4’,5-Dihydroxy-7-methoxyflavanone | 52,887 |
| 71 | C15H12O4 | 255.0663 | −1.3 | 29.68 | 227.0708, 213.0549, 211.0762, 185.0603, 171.0447, 169.0655, 151.0035, 145.0659, 107.0146, 83.0160, 65.0068 | Pinocembrin; 5,7-Dihydroxyflavanone | 2,838,626 |
| 72 | C15H12O5 | 271.0612 | −2 | 29.72 | 253.0504, 243.0659, 227.0706, 185.0603, 173.0606, 152.0107, 124.0162, 95.0139, 65.0050 | 7,3’,4’-Trihydroxyflavanone | 45,968 |
| 73 | C15H10O3 | 237.0557 | −0.3 | 29.79 | 208.0519, 193.0671, 180.0560, 165.0724, 135.0106, 107.0156, 91.0193, 65.0103 | 5-Hydroxyflavone | 13,845 |
| 74 | C15H12O3 | 239.0714 | −1.7 | 30.26 | 211.0796, 197.0601, 195.0805, 169.0653, 148.0164, 135.0089, 109.0305, 91.0203, 65.0057 | 2’,5’-Dihydroxychalcone | 74,066 |
| 75 | C15H10O5 | 269.0456 | −0.1 | 30.44 | 252.0426, 239.0369, 224.0454, 200.8814, 169.0643, | 3’,4’,5-Trihydroxyflavon | 7107 |
| 76 | C16H14O5 | 285.07685 | −1.9 | 30.57 | 267.0656, 145.0293, 139.0398, 124.0168, 96.0229 | 3′,4′-Dihydroxy-5′-methoxyflavanone | 63,776 |
| 77 | C15H14O4 | 257.0819 | −2.2 | 30.73 | 239.0721, 213.0925, 195.0814, 173.0610, 151.0039, 122.0377, 107.0153, 81.0367, 65.0043 | 2’,4’,6’-Trihydroxydihydrochalcone | 127,231 |
| 78 | C16H8O6 | 295.02481 | −0.8 | 30.79 | 267.0293, 266.0216, 237.0185, 211.0393, 135.0100 | Medicagol; 7-Hydroxy-11,12-methylenedioxycoumestan | 23,276 |
| 79 | C16H12O6 | 299.0561 | −0.6 | 30.99 | 284.0320, 271.0610, 256.0367, 240.0415, 178.0270, 165.0190, 151.0033, 122.0014, 93.0355, 65.0054 | Rhamnocitrin; 3,4’,5-Trihydroxy-7-methoxyflavone | 64,943 |
| 80 | C15H14O3 | 241.087 | −1.2 | 33.52 | 223.0762, 197.0970, 150.0321, 135.0091, 122.0380, 109.0307, 91.0209, 65.0436 | 2′,4′-Dihydroxydihydrochalcone | 2,684,260 |
| 81 | C16H14O4 | 269.0819 | −1.2 | 33.69 | 225.0916, 148.0151, 119.0507, 93.0337 | 2′,4-dihydroxy-4′-Methoxy chalcone | 108,605 |
| 82 | C15H12O3 | 239.0714 | −1.4 | 33.95 | 211.0761, 197.0600, 195.0812, 169.0662, 148.0169, 135.0090, 109.0308, 91.0210, 65.0074 | 2′,4′-Dihydroxychalcone | 3,251,005 |
| 83 | C15H10O5 | 269.0456 | −0.5 | 35.22 | 241.0498, 225.0544, 197.0596, 181.0645 | 3’,4’,7-Trihydroxyflavone | 9165 |
| 84 | C16H14O4 | 269.0819 | −1.2 | 35.86 | 254.0574, 226.0620, 198.0652, 165.0185, 149.9948, 122.0016, 65.0080 | 5-hydroxy-7-methoxy dihydroflavone | 5383 |
| 85 | C16H16O4 | 271.09758 | −0.2 | 36.11 | 256.0734, 165.0207, 152.0110, 139.0396, 124.0166 | 4,5-Dihydroxy-2-Methoxy dihydrochalcone | 7714 |
| 86 | C16H16O4 | 271.09758 | −1.4 | 36.66 | 256.0752, 253.0872, 165.0202, 151.0116, 139.0392, 124.0158 | 4,5-Dihydroxy-2-Methoxy dihydrochalcone | 7147 |
| 87 | C16H14O4 | 269.0819 | −0.9 | 38.02 | 254.0580, 226.0628, 177.0184, 165.0196, 149.9946, 122.0012, 65.0046 | 5-hydroxy-7-methoxy dihydroflavone | 40,090 |
| 88 | C16H14O5 | 285.07685 | −0.9 | 38.02 | 270.0547, 165.0202, 145.0286, 139.0408, 93.0353 | 3’,4’-Dihydroxy-5’-methoxyflavanone | 3772 |
| 89 | C20H20O4 | 323.1289 | −0.7 | 39.75 | 255.0667, 203.0706, 159.0805, 119.0506, 93.0361 | isobavachin; 4’,7-dihydroxy-8-prenylflavanone | 25,579 |
| 90 | C16H14O5 | 285.07685 | −0.9 | 40.66 | 267.0642, 241.0865, 176.0101, 148.0137, 109.0191 | 3’,4’-Dihydroxy-6-methoxyflavanone | 3395 |
| 91 | C20H20O4 | 323.1289 | −0.4 | 43.34 | 305.1204, 277.1659, 255.0628, 219.0698, 186.9312 | 4,2′,4′-trihydroxy-3′-isopentenyl chalcone | 2040 |
| 92 | C16H14O6 | 301.07176 | −0.8 | 52.85 | 283.0601, 257.0847, 192.0055, 173.0594, 164.0103 | 4’,5,7-trihydroxy-3’-methoxyflavanone | 9203 |
| No. | Formula | [M+H]- | Error (ppm) | tR (min) | MS/MS (Characteristic Product Ions) | Identity | Identity |
|---|---|---|---|---|---|---|---|
| 93 | C15H11NO3 | 254.0812 | 0.5 | 21.29 | 236.0703, 208.0760, 165.0695, 121.0288, 107.0498, 93.0677, 65.0383 | 3-Hydroxy-N-(3-hydroxybenzoyl) indole | 6243 |
| 94 | C15H26O2 | 239.2006 | −0.8 | 22.19 | 221.1896, 203.1798, 147.1171, 135.1166, 133.1010, 107.0862, 95.0863, 81.0710 | 3-Methyl-5-(1,3,3-trimethyl-7-oxabicyclo [2.2.1] hept-2-yl)-pent-1-en-3-ol | 18,924 |
| 95 | C15H11NO3 | 254.0812 | 0.4 | 22.85 | 236.0713, 208.0754, 165.0694, 121.0289, 107.0493, 93.0342, 65.0396 | 3-Hydroxy-N-(3-hydroxybenzoyl) indole | 33,513 |
| 96 | C16H13NO4 | 284.0917 | 0.7 | 22.91 | 269.0690, 226.0628, 150.0299, 121.0280, | 3-Methoxy-4-hydroxy-n-(p-hydroxybenzoyl) indole | 9202 |
| 97 | C16H13NO4 | 284.0917 | 0.8 | 23.79 | 269.0685, 150.0309, 120.0442 | 3-Methoxy-4-hydroxy-n-(p-hydroxybenzoyl) indole | 165,711 |
| 98 | C15H11NO3 | 254.0812 | 0.9 | 24.9 | 236.0716, 208.0768, 181.0657, 165.0705, 135.0449, 121.0291, 107.0499, 93.0341, 65.0399 | 3-Hydroxy-N-(p-hydroxybenzoyl) indole | 251,175 |
| 99 | C15H15NO | 226.1226 | 0.7 | 25.7 | 122.0602, 105.0342, 103.0553, 77.0399 | N-Benzoyl-phenylethylamine | 1,428,756 |
| 100 | C15H11NO3 | 254.0812 | 0.9 | 26.75 | 236.0714, 209.0585, 181.0654, 165.0708, 153.0689, 135.0453, 121.0286, 107.0482, 93.0338, 65.0401 | 3-Hydroxy-N-(p-hydroxybenzoyl) indole | 50,895 |
| 101 | C32H32O9 | 561.2119 | −1.3 | 27.96 | 509.1637, 424.1442, 385.1068, 373.1072, 259.0970, 167.0699, 123.0433, 107.0498 | (3R)-Propterol-B-(α,6)-(−)-isomucronulatol | 4620 |
| 102 | C15H26O2 | 239.2006 | 0.6 | 28.48 | 221.1925, 203.1806, 161.1315, 147.1172, 119.0849, 95.0860, 81.0722 | 3-Methyl-5-(2,2,4-trimethylcyclohexanol-3-yl)-pent-l-ene-3-ol | 18,924 |
| 103 | C16H13NO4 | 284.0917 | 1 | 28.57 | 269.0685, 137.0245, 91.0530 | 3-Methoxy-4-hydroxy-n-(p-hydroxybenzoyl) indole | 7924 |
| 104 | C17H19NO | 254.1539 | 0.8 | 29.84 | 131.0490, 122.0962, 105.0699, 103.0545, 79.0548 | N-Hydrocinnamoyl-2-phenylethylamine | 113,125 |
| 105 | C17H17NO | 252.1383 | 1.1 | 30.75 | 148.0760, 131.0492, 105.0699, 103.0543, 79.0550, 77.0395 | N-Cinnamoyl-2-phenylethylamine | 5,724,222 |
| 106 | C15H11NO2 | 238.0863 | 0.8 | 30.84 | 220.0760, 165.0700, 121.0291, 91.0548 | N-p-Hydroxybenzoyl indole | 369,512 |
| 107 | C15H11NO2 | 238.0863 | 0 | 31.83 | 220.0758, 165.0698, 121.0289, 93.0336, 65.0405, | N-p-Hydroxybenzoyl indole | 52,164 |
| 108 | C16H13NO3 | 268.0968 | 0.7 | 32.1 | 253.0742, 225.0792, 210.0675, 149.0602, 134.0366, 121.0291, 107.0496, 93.0347, 65.0397 | 3-Methoxy-N-(p-hydroxybenzoyl) indole | 520,562 |
| 109 | C16H13NO3 | 268.0968 | 1.1 | 32.63 | 253.0745, 150.0318, 121.0298, 105.0342, 77.0398 | 3-Methoxy-hydroxy-n-benzoyl indole | 503,247 |
| 110 | C30H48O3 | 457.3676 | −1 | 33.09 | 439.3568, 421.3458, 376.1913, 245.1907, 233.1914, 185.1312, 163.1505, 147.1145, 109.0989, 81.0724 | Soyasapogenol E | 13,542 |
| 111 | C16H13NO3 | 268.0968 | 0.5 | 33.3 | 253.0737, 255.0783, 150.0320, 134.0367, 121.0285, 105.0349, 93.0333, 77.0394, 65.0390 | 3-Methoxy-hydroxy-n-benzoyl indole | 29,002 |
| 112 | C15H11NO2 | 238.0863 | 1 | 33.57 | 221.0604, 220.0762, 193.0655, 165.0705, 135.0442, 105.0342, 77.0397 | 3-Hydroxy-N-benzoyl indole | 1,270,624 |
| 113 | C16H14O3 | 255.1016 | 1.6 | 34.48 | 240.0793, 209.0972, 194.0735, 177.0560, 165.0707, 151.0395, 131.0500, 103.0553, 95.0504, 77.0400 | 2′-Hydroxy-4′-methoxychalcone | 2,708,762 |
| 114 | C30H46O4 | 471.3469 | −1 | 35.03 | 453.3366, 435.3233, 395.2965, 199.1518, 173.1328, 159.1160, 145.0998, 97.0654 | 3,22,24-Trihydroxy-γ-lactone-olean-12-en-29-oic acid | 15,709 |
| 115 | C30H48O3 | 457.3676 | −0.7 | 35.18 | 439.3575, 421.3461, 409.3465, 381.3164, 309.2588, 259.2056, 245.1891, 233.1904, 205.1586, 145.1007, 135.1165, 119.0863, 81.0704 | Melilotigenin C | 64,956 |
| 116 | C16H13NO3 | 268.0968 | 0.8 | 35.67 | 253.0736, 165.0544, 150.0313, 137.121.0291, 105.0341, 77.0393 | 3-Methoxy-hydroxy-n-benzoyl indole | 59,907 |
| 117 | C20H19NO3 | 322.1438 | 1 | 35.79 | 266.0819, 238.0874, 211.0753, 133.0322, 121.00286 | 3-Hydroxy-N-(3-isopentenyl-4- hydroxybenzoyl) indole | 11,031 |
| 118 | C20H19NO3 | 322.1438 | 0.7 | 37.49 | 266.0825, 254.0814, 211.0757, 189.0913, 165.0703, 133.0289, 105.0336, 77.0389 | 3-Hydroxy-N-(3-isopentenyl-4-hydroxybenzoyl) indole | 261,939 |
| 119 | C16H14O3 | 255.1016 | 0.9 | 41.5 | 240.0783, 209.0972, 194.0725, 177.0551, 165.0699, 151.0392, 131.0492, 103.0545, 95.0498, 77.0385 | 2′-Hydroxy-4′-methoxychalcone | 129,251 |
| 120 | C30H46O4 | 471.3469 | −0.6 | 42.6 | 453.3360, 435.3254, 423.3261, 395.2930, 287.2016, 259.1681, 247.1705, 201.1631, 189.1624, 147.1173, 109.1043, 95.0854 | Unknown | 17,953 |
| 121 | C30H48O3 | 457.3676 | −0.9 | 45.42 | 421.3458, 399.2707, 297.2570, 215.1794, 173.1332, 135.1171, 109.1006 | Unknown | 54,664 |
| 122 | C30H46O4 | 471.3469 | −5.7 | 45.93 | 387.2866, 325.1404, 233.1514, 148.0852 | 24-Hydroxy-3-oxoolean-12-en-29-oic acid | 52,681 |
| 123 | C30H50O3 | 459.3833 | −0.5 | 46.13 | 441.3717, 423.3615, 355.1895, 335.2005, 247.2064, 203.1779, 163.0758, 131.0486, 81.0691 | Soyasapogenol B | 8837 |
| 124 | N19H21NO4 | 366.2127 | −1.7 | 46.43 | 244.1758, 145.0256, 121.0996, 85.0651 | 3-Methoxyaegeline | 64,028 |
| 125 | C30H50O4 | 475.3782 | −0.5 | 46.52 | 457.2366, 321.1122, 267.0679, 219.1767, 179.0354 | Wistariasapogenol B | 12,829 |
| 126 | C30H50O3 | 459.3833 | −0.2 | 47.04 | 441.3741, 423.3649, 323.1291, 311.1293, 219.0657, 203.1810, 161.1330, 135, 1163, 123.1181, 95.0873 | Unknown | 25,684 |
| 127 | C30H50O3 | 459.3833 | −0.4 | 48.77 | 441.3746, 323.1950, 311.1284, 293.1184, 201.1654, 179.0698, 109.1012, 107.0856 | Unknown | 18,190 |
| No. | Formula | [M-H]− | Error (ppm) | tR (min) | MS/MS (Characteristic Product Ions) | Identity |
|---|---|---|---|---|---|---|
| M1 | C27H28O16 | 607.13046 | 3.3 | 15.94 | 431.0981, 255.0655 | Dia-glucuronidation of 71 |
| M2 | C22H20O11 | 459.09329 | 0.4 | 16.3 | 283.0594, 268.0382 | Glucuronidation of 24 |
| M3 | C21H20O11 | 447.09329 | −48 | 16.42 | 271.0603, 151.0036, 119.0506 | Glucuronidation of 43 |
| M4 | C27H28O15 | 591.13554 | 2.7 | 16.67 | 415.1037, 239.0711 | Dia-glucuronidation of 82 |
| M5 | C27H30O15 | 593.15119 | 4.8 | 17.05 | 417.1143, 241.0861 | Dia-glucuronidation of 80 |
| M6 | C21H18O10 | 429.08272 | 3.5 | 17.36 | 253.0505, 195.0454 | Glucuronidation of 69 |
| M7 | C21H20O9 | 415.10346 | 1.4 | 19.78 | 239.0709, 197.0611, 135.0085 | Glucuronidation of 82 |
| M8 | C21H20O12S | 495.06027 | 5.2 | 21.37 | 319.0283, 239.0682 | Sulfation and glucuronidation of 82 |
| M9 | C21H20O13S | 511.05519 | 1.1 | 22.12 | 431.0999, 255.0656 | Sulfation and glucuronidation of 71 |
| M10 | C21H20O10 | 431.09837 | 1.9 | 23.03 | 255.0667, 213.0552, 211.0769, 171.0448 | Glucuronidation of 71 |
| M11 | C22H20O12 | 475.0882 | −61.9 | 23.27 | 299.0558, 284.0336, 255.0281, 227.0366 | Glucuronidation of 51 |
| M12 | C15H12O8S | 351.01801 | 0.4 | 23.58 | 271.0618, 177.0213, 151.0031, 119.0517, 107.0156 | Sulfation of 43 |
| M13 | C22H22O10 | 445.11402 | 0.9 | 25.99 | 269.0817, 254.0572, 226.0632, 165.0196 | Glucuronidation of 84 |
| M14 | C21H22O9 | 417.11911 | 0.2 | 27.33 | 241.0865, 197.0986, 150.0330 | Glucuronidation of 80 |
| M15 | C16H12O8S | 363.01801 | 1 | 27.59 | 283.0616, 268.0378 | Sulfation of 24 |
| M16 | C16H10O8S | 361.00236 | −1 | 28.34 | 281.0453, 253.0508, | Sulfation of 57 |
| M17 | C16H12O9S | 379.01293 | 0 | 29.92 | 299.0560, 284.0319, 165.0181 | Sulfation of 51 |
| M18 | C15H12O6S | 319.02818 | 0 | 30.36 | 239.0707, 197.0598, 148.0168, 135.0084 | Sulfation of 82 |
| M19 | C16H14O7S | 349.03875 | −0.7 | 32.49 | 269.0813, 165.0194, 149.9945 | Sulfation of 84 |
| M20 | C15H12O7S | 335.0231 | −0.5 | 35.08 | 255.0653, 213.0538, 171.0463, 151.0000, 145.0642, 107.0139 | Sulfation of 71 |
| M21 | C15H14O7S | 337.03875 | 0.3 | 40.05 | 257.0818, 239.0714, 151.0031 | Sulfation of 52 |
| M22 | C15H14O6S | 321.04383 | −0.8 | 41.09 | 241.0864, 197.0967, 150.0318, 135.0087 | Sulfation of 80 |
Publisher’s Note: MDPI stays neutral with regard to jurisdictional claims in published maps and institutional affiliations. |
© 2022 by the authors. Licensee MDPI, Basel, Switzerland. This article is an open access article distributed under the terms and conditions of the Creative Commons Attribution (CC BY) license (https://creativecommons.org/licenses/by/4.0/).
Share and Cite
Xia, M.; Yao, M.; Li, J.; Zhang, J.; Yu, Y.; Yang, S.; Zhong, G.; Pei, N.; Ouyang, H.; Feng, Y. Characterization of Chemical Constituents of Oxytropis microphylla (Pall.) DC. by Ultra-High-Performance Liquid Chromatography Coupled with Quadrupole-Time-of Flight Tandem Mass Spectrometry. Separations 2022, 9, 297. https://doi.org/10.3390/separations9100297
Xia M, Yao M, Li J, Zhang J, Yu Y, Yang S, Zhong G, Pei N, Ouyang H, Feng Y. Characterization of Chemical Constituents of Oxytropis microphylla (Pall.) DC. by Ultra-High-Performance Liquid Chromatography Coupled with Quadrupole-Time-of Flight Tandem Mass Spectrometry. Separations. 2022; 9(10):297. https://doi.org/10.3390/separations9100297
Chicago/Turabian StyleXia, Mengqi, Min Yao, Junmao Li, Jianjian Zhang, Yayun Yu, Shilin Yang, Guoyue Zhong, Na Pei, Hui Ouyang, and Yulin Feng. 2022. "Characterization of Chemical Constituents of Oxytropis microphylla (Pall.) DC. by Ultra-High-Performance Liquid Chromatography Coupled with Quadrupole-Time-of Flight Tandem Mass Spectrometry" Separations 9, no. 10: 297. https://doi.org/10.3390/separations9100297
APA StyleXia, M., Yao, M., Li, J., Zhang, J., Yu, Y., Yang, S., Zhong, G., Pei, N., Ouyang, H., & Feng, Y. (2022). Characterization of Chemical Constituents of Oxytropis microphylla (Pall.) DC. by Ultra-High-Performance Liquid Chromatography Coupled with Quadrupole-Time-of Flight Tandem Mass Spectrometry. Separations, 9(10), 297. https://doi.org/10.3390/separations9100297
