Abstract
A method based on micro-matrix solid-phase dispersion (μ-MSPD) followed by gas-chromatography tandem mass spectrometry (GC–MS/MS) was developed to analyze UV filters in personal care products. It is the first time that MSPD is employed to extract UV filters from cosmetics samples. This technique provides efficient and low-cost extractions, and allows performing extraction and clean-up in one step, which is one of their main advantages. The amount of sample employed was only 0.1 g and the extraction procedure was performed preparing the sample-sorbent column in a glass Pasteur pipette instead of the classic plastic columns in order to avoid plastizicer contamination. Factors affecting the process such as type of sorbent, and amount and type of elution solvent were studied by a factorial design. The method was validated and extended to other families of cosmetic ingredients such as fragrance allergens, preservatives, plasticizers and synthetic musks, including a total of 78 target analytes. Recovery studies in real sample at several concentration levels were also performed. Finally, the green extraction methodology was applied to the analysis of real cosmetic samples of different nature.
1. Introduction
The cosmetic industry is one of the fastest growing markets in the world, due to a high demand for cosmetics and personal care products. Manufacturers must innovate to offer attractive and safe products for consumers to stay ahead in a highly competitive sector. Cosmetic formulations usually include a large number or organic compounds, such as fragrances, preservatives, antioxidants, plasticizers, or surfactants among others. One type of these compounds are the ultraviolet filters (UV filters). These substances are intended to protect consumers against the harmful solar radiation and, although their presence is especially important in sunscreens, they can be found in a broad range of daily care products such as creams, hair-care products, lip protectors, make-up, and many others. The widespread inclusion of UV filters in personal care and consumer products increases the human exposure to these compounds. Some of them are considered as endocrine disruptors, with high bioaccumulative properties. In fact, some of them have been recently detected in human breast milk. Nowadays, according to the Annex VI of the Regulation EC No 1223/2009 [1], 26 organic UV filters are allowed for their use in the formulation of cosmetic products, being the maximum concentration permitted in the final product up to 10% (w/w). It is important to note that the Regulation regarding cosmetic products is being continually updated, with the restriction and even prohibition of several compounds each year. Therefore, the cosmetic sector demands the development of reliable, fast and easy to implement analytical methodology to analyze a broad range of cosmetics ingredients. One major drawback for the analysis of cosmetics is sample preparation, since the cosmetic matrices are complex and varied. Besides, the concentration of the different ingredients in cosmetic formulations usually ranges several orders of magnitude, from the ng g−1 to thousands of μg g−1.
Most of the reported methodologies for the determination of UV filters in cosmetics deal with the simultaneous analysis of few target compounds. Regarding the sample preparation, solid-liquid or liquid–liquid extraction, or simple dilution, have been the most employed procedures [2,3,4]. However, since cosmetics are complex mixtures of ingredients, the direct dilution of the samples can negatively affect the chromatographic determination and the chromatographic system, producing damage in the injector, column and detector. Therefore, the use of sample preparation techniques which imply an in-situ clean-up step is a good approach. In this way, matrix solid-phase dispersion (MSPD) has been proposed for the extraction of different families of cosmetic ingredients such as fragrances, preservatives or dyes [5,6,7].
New trends in sample preparation are focused on the development of miniaturized procedures which complies with the green chemistry principles [8,9], and techniques such as ultrasound-assisted emulsification microextraction (USAEME) or single drop microextraction have been developed [10,11] for the determination of parabens of phthalates. In this way, a miniaturization of the classical MSPD, micro-MSPD (μ-MSPD), employing low-cost material, low amount of sample and organic solvent consumption, has been successfully proposed for the extraction of different compounds such as synthetic musks, preservatives, fragrance allergens, or dyes [12,13,14,15] in cosmetics and personal care products. However, to the best of our knowledge MSPD and μ-MSPD have never been applied for the determination of UV filters.
Regarding the analytical determination of UV filters in cosmetic samples, LC-DAD has been the most employed technique [2]. However, the use of other detectors, such as MS, and especially the use of triple quadrupole working under MS/MS provides improved selectivity and sensitivity [16,17].
The main goal of this work is the development of an analytical methodology based on μ-MSPD-GC–MS/MS for the simultaneous determination of 14 multiclass UV filters in cosmetic samples. The main experimental parameters affecting extraction, such as the type of sorbent, and amount and type of extraction solvent have been optimized by means of experimental design. The method was validated and applied to a broad range of cosmetic and personal care products to quantify not only UV filters, but also other families of compounds such as fragrances, preservatives, plasticizers, and synthetic musks, allowing the simultaneous analysis of 78 compounds with very different chemical nature in a single extraction and chromatographic run.
2. Materials and Methods
2.1. Chemicals, Reagents and Materials
The studied UV filters, their Chemical Abstracts Service (CAS) number, retention times, and MS/MS transitions are summarized in Table 1. Target fragrance allergens, preservatives, plasticizers and synthetic musks are shown in Table S1. Ethyl acetate, acetonitrile (ACN) and isooctane were provided by Sigma-Aldrich Chemie GmbH (Steinheim, Germany), methanol (MeOH) was supplied by Scharlab (Barcelona, Spain), and acetone was provided by Fluka Analytical (Steinheim, Germany). Florisil (60–100 μm mesh), and glass wool were purchased from Supelco Analytical (Bellefonte, PA, USA), and sand (200–300 μm mesh) and anhydrous sodium sulphate, Na2SO4, (99%) from Panreac (Barcelona, Spain). Individual stock solutions of all the compounds were prepared in acetone, isooctane or methanol. Further dilutions and mixtures were prepared in acetone (spike solutions) or acetonitrile (calibration study). Solutions were stored in amber glass vials at −20 °C. All solvents and reagents were of analytical grade.
Table 1.
Studied ultraviolet (UV) filters. CAS number, retention time and mass spectrometry (MS)/MS transitions.
Metallic, glass materials, dispersing agents (Florisil and sand), Na2SO4 and glass wool were maintained at 230 °C for 12 h before use to eliminate possible phthalate contamination. All materials were allowed to cool down, wrapped with aluminum foil, and Florisil, sand, and Na2SO4 were kept in desiccator.
2.2. Cosmetic Samples
Cosmetics and personal care products from national and international brands were obtained from local sources. They included sunscreens intended for adults and for children, hair-care products, moisturizing face creams, antiwrinkle creams, make-up, lip protectors, make-up, lipsticks, among others. The samples were kept in their original containers and protected from light at room temperature.
2.3. μ-MSPD Procedure
Cosmetic samples (0.1 g) were exactly weighed into a glass vial. Then, the sample was gently blended with 0.4 g of the drying agent anhydrous Na2SO4, and 0.4 g of the corresponding dispersing agent (Florisil or sand), into the vial, using a glass rod, until a homogeneous mixture was obtained (ca. 5 min). The mixture was then transferred into a glass Pasteur pipette (approximately 150 mm), with a small amount of glass wool at the bottom, containing 0.1 g of Florisil (to obtain a further degree of fractionation and an in-situ clean-up step). Finally, a small amount of glass wool was placed on top to compress the mixture. Elution with the corresponding solvent (ethyl acetate, ACN, MeOH or the mixture MeOH/acetone (1:1, v/v)) depending on the experiment was made by gravity flow, collecting the extract into a 1 mL or 2 mL volumetric flask. The obtained extracts were diluted 1:10 (v/v) and 1:100 (v/v) in ACN (or even more when necessary), and analyzed by GC–MS/MS. Fortified samples were spiked with 10 μL of the corresponding spiking solution to get the desired final concentration of the target compounds, and submitted to the same process described above. Figure 1 illustrates the described μ-MSPD procedure under the optimal conditions.
Figure 1.
Schematic representation of the micro-matrix solid-phase dispersion (μ-MSPD) procedure under the optimal conditions.
2.4. GC–MS/MS Analysis
The GC–MS/MS analysis was carried out employing a Thermo Scientific Trace 1310 gas chromatograph coupled to a triple quadrupole mass spectrometer (TSQ 8000) with IL 1310 autosampler from Thermo Scientific (San Jose, CA, USA). Separation was performed on a Zebron ZB-Semivolatiles (30 m × 0.25 mm i.d., 0.25 μm film thickness) obtained from Phenomenex (Torrance, CA, USA). Helium (purity 99.999%) was employed as carrier gas at a constant column flow of 1.0 mL min−1. The GC oven temperature was programmed from 60 °C (held 1 min) to 100 °C at 8 °C min−1, to 150 °C at 20 °C min−1, to 200 °C at 25 °C min−1 (held 5 min), to 220 °C at 8 °C min−1, and to 290 °C at 30 °C min−1 (held 3 min). Pulsed splitless mode (200 kPa, held 1 min) was used for injection and the injector temperature was set at 260 °C. The injection volume was 1 μL and the total run time was 23.5 min.
The mass spectrometer (MSD) was operated in the electron impact (EI) ionization positive mode (+70 eV). The temperatures of the transfer line and the ion source were set at 290 °C and 350 °C, respectively. Selected reaction monitoring (SRM) acquisition mode was implemented monitoring three transitions per compound (see Table 1 for UV filters, and Table S1 for the other compounds). The system was operated by Xcalibur 2.2 and Trace FinderTM 3.2 software.
2.5. Statistical Analysis
Basic and descriptive statistical analysis were performed using Statgraphics Centurion XVII (Manugistics, Rockville, MD, USA) as software package.
3. Results and Discussion
3.1. Chromatographic Analysis
The chromatographic GC–MS/MS method for the determination of the target UV filters was previously proposed by the authors [16,17,18], and it was extended to other compounds including 25 fragrance allergens, 13 preservatives, 15 plasticizers, and 11 synthetic musks, making a total of 78 compounds. The chromatographic conditions have been previously described in Section 2.4. SRM acquisition mode was employed monitoring two or three transitions per compound (see Table 1 and Table S1).
3.2. Optimization of the μ-MSPD Procedure
The influence of the main parameters potentially affecting the μ-MSPD procedure must be evaluated to obtain an efficient extraction. Several factors, such as the amount of sample, desiccant and dispersing agents were maintained constant, based on previous studies [3,12,13,14]. The amount of sample was 0.1 g, which was mixed with 0.4 g of Na2SO4 to remove the moisture of the samples, which could negatively affect the extraction. Regarding the dispersing agent, its amount was fixed at 0.4 g. The studied parameters were the extraction solvent (factor A), the dispersing agent (factor B), and the extraction volume (factor C), and the different levels are summarized in Table 2. The choice of an appropriate solvent is essential in the development of extraction methods. For an efficient extraction, the solvent must solubilize the target compounds while leaving the sample matrix as intact as possible. Four solvents were investigated: ACN, ethyl acetate (EtAc), methanol (MeOH), and the mixture MeOH/acetone (1:1, v/v). The dispersing agent can be also a very important factor affecting the extraction. In addition, it can contribute to obtain cleaner extracts, preventing lipids and other co-extractable matrix materials from coming out to the extract. Based on our previous works [6,12,14,15], this factor was considered at two levels: Florisil and sand. The solvent volume was also studied at two levels: 1 mL and 2 mL. Larger solvent volumes were not evaluated since the purpose of this study was the development of a green miniaturized extraction protocol. Lower solvent volumes were also not considered since they are not suitable for practical purposes, making necessary the use of inserts to perform further chromatographic analysis.
Table 2.
Experimental factors and levels included in the experimental design.
The influence of the three variables was studied using a multifactor strategy. The study consisted of a multifactor 4*22 design, involving 16 randomized experiments and allowing three degrees of freedom to estimate the experimental error. The design has resolution V, which means that it is capable of evaluating all main effects and all two-factor interactions. Numerical analysis of data resulting from the experimental design was made employing the software package Statgraphics Centurion XVII (Manugistics, CA, USA). The experiments were performed using composite sample prepared as a mixture of four real samples including a sunscreen, a facial cream, a body lotion, and a lip protector. Since the composite sample contained six of the target compounds from the different families of the UV filters studied, it was decided to work with the sample as it, without compounds addition, to really evaluate the capability of the miniaturized procedure to break analyte-matrix interactions, providing efficient extractions. Besides, other compounds such as 11 fragrance allergens, seven preservatives, three plasticizers, and two synthetic musks, were detected in the composite sample. The analysis of variance, ANOVA, describes the impact of the studied factors on the obtained responses. Results for the UV filters are shown in the ANOVA table, Table 3. For the sake of simplicity, only F-ratios and p-values are given. The F-ratio measures the contribution of each factor and interaction on the variance of the response. The p-value tests the statistical significance of each factor and interaction. When p-value is lower than 0.05, the factor has a statistically significant effects at the 95% confidence level.
Table 3.
ANOVA summary table obtained for the micro-matrix solid-phase dispersion (μ-MSPD) procedure.
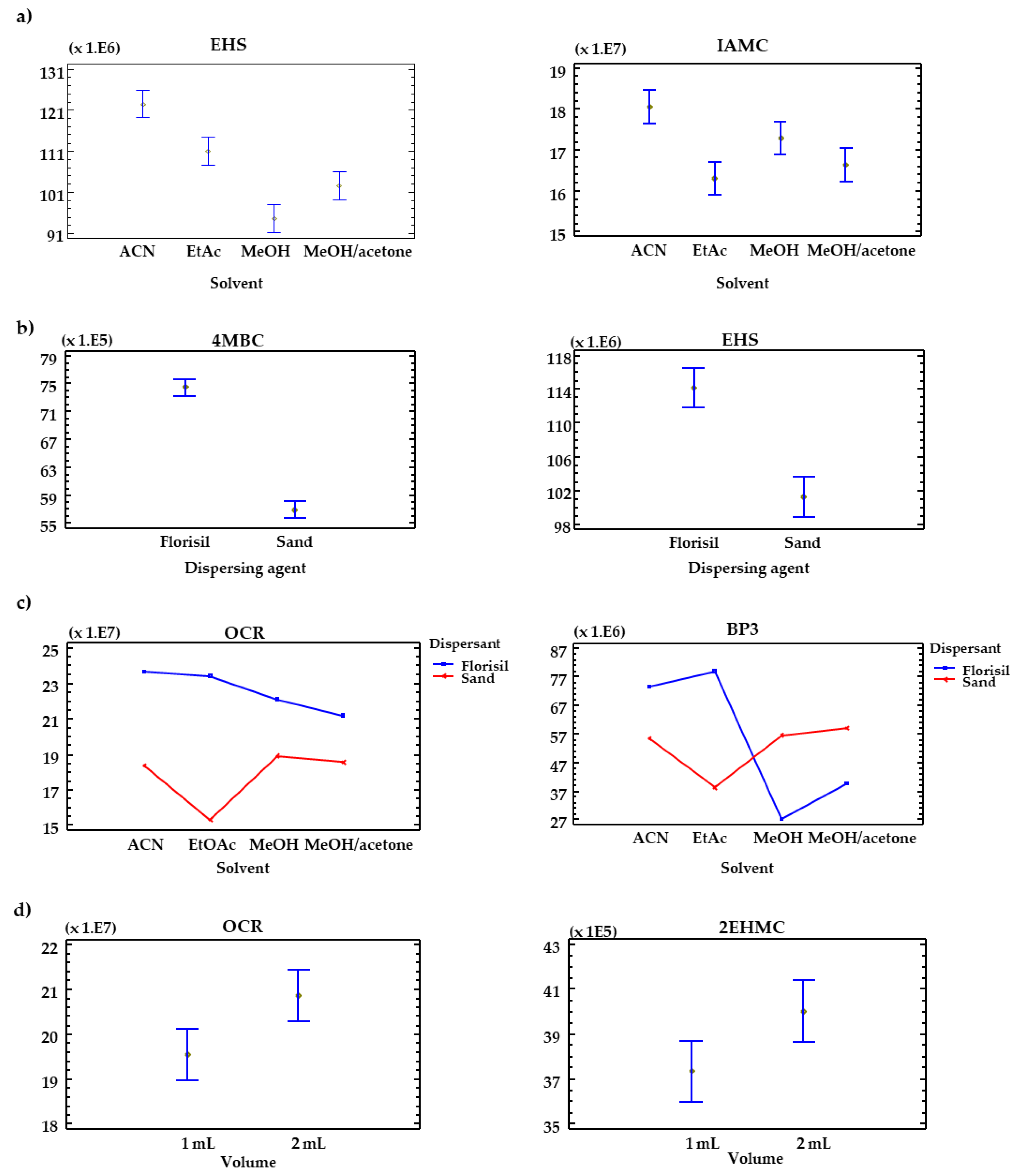
As can be seen, the three studied factors were significant for all the UV filters present in the sample in most cases. The interaction solvent-dispersant (AB) was significant for all the compounds. The other two second order factors (solvent-volume, AC and dispersant-volume, BC) were not significant. Figure 2 shows some selected mean plot graphs, that illustrate the effect of the main factors by showing the mean values as well as the confidence intervals for each level, easily visualizing the most favorable extraction conditions. For all the UV filters, the most efficient solvent was ACN providing higher responses (see Figure 2a). Regarding the dispersing agent, Florisil gave also higher responses for all the analytes (see Figure 2b). As regards the interaction AB, some examples are included in Figure 2c. The two-factor plots display the least squared means at all combinations of two factors, which allows studying the effect of both factors simultaneously. In this case, two different behaviors can be observed. For 2-ethylhexyl 4-methoxycinnamate (2EHMC), 4-methylbenzylidene camphor (4MBC), octocrylene (OCR) and isoamyl-4-methoxycinnamate (IAMC), the use of Florisil provided the highest response regardless of the solvent used (see as example OCR graph in Figure 2c). In the case of ethylhexylsalicylate (EHS) and benzophenone-3 (BP3), the use of sand was more favorable when MeOH or the mixture MeOH/acetone (1:1, v/v) was employed but, in any case, higher responses were obtained using ACN or EtAc with Florisil (see as example BP3 graph in Figure 2c). Regarding solvent volume, 2 mL was initially more favorable, although the differences in the responses were not very high (see Figure 2d).
Figure 2.
Mean plots (a,b,d) and interaction plots (c) of the main factors studied in the multi-factor categorical design for some representative ultraviolet (UV) filters.
Since Florisil was the most favorable dispersing agent for all analytes, the results were analyzed considering only the experiments carried out with this sorbent. The ANOVA results were similar for all the analytes and are graphically displayed for IAMC and EHS as example in Figure 3a. The plot shows scaled effects for each factor, so the natural variance of the points in the diagram can be comped to that of the residuals, displayed at the bottom of the plot. By comparing the variability amongst the factors to that of the residuals, it is easy to identify those factors showing differences of a greater magnitude than could be solely accounted by the experimental error. As can be observed, the solvent nature was significant, but the amount of solvent was not a significant factor. The levels of the factors at the right part of the ANOVA plot indicate the conditions that offer higher response and therefore, more efficient extraction. In the mean plot in Figure 3b the influence of the solvent is clearly appreciate. ACN and EtAc provided similar results, whereas for the other solvents the responses were clearly lower.
Figure 3.
(a,b) ANOVA plots showing the main effects for isoamyl-4-methoxycinnamate (IAMC) and ethylhexylsalicylate (EHS).
Therefore, in view of the results, the selected conditions for the analysis of UV filters comprise the use of Florisil as dispersing agent, and ACN or EtAc as eluting solvent. Under these conditions the amount of solvent was not significant and, therefore, the low solvent volume, 1 mL, was selected. Regarding the other cosmetic ingredients and additives present in the composite sample, including fragrance allergens, preservatives, plasticizers and synthetic musks, the statistical analysis showed as more favourable conditions the once previously selected for the UV filters. Therefore, a general multianalyte method for the determination of all these families of personal care products (PCPs) can be proposed.
3.3. Method Performance
The μ-MSPD-GC–MS/MS method was validated in terms of linearity, accuracy and precision. Method performance is summarized in Table 4 for UV filters, and Table 5 for the other compounds.
Table 4.
μ-MSPD-gas-chromatography tandem mass spectrometry (GC–MS/MS) performance for the UV filters. Linearity, precision, and recovery studies.
Table 5.
μ-MSPD-GC–MS/MS performance for the fragrance allergens, preservatives, plasticizers and synthetic musks. Linearity, precision, and recovery studies.
The calibration study was performed employing standard solutions prepared in acetonitrile containing the 78 compounds at different levels, covering a concentration range from 0.001 to 10 mg L−1 (see specific ranges for each compound in Table 4 and Table 5) with twelve levels and three replicates per level. The method exhibited a direct proportional relationship between the concentration of each analyte and the chromatographic response with determination coefficients R2 ≥ 0.9915 for all compounds. Calibration plots for some representative compounds are shown in Figure S1.
Intra-day, and inter-day precision was also evaluated. The relative standard deviation (RSD) values for the inter-day are shown in Table 4 and Table 5, and they were lower than 10% for all the analyzed UV filters, and lower than 14% for the other compounds.
Recovery studies were carried out by implementing the optimized μ-MSPD-GC–MS/MS method to a real cosmetic sample (a moisturizing hand cream). Sample was fortified at three different concentration levels (1, 10 and 100 μg g−1) for the UV filters and the μ-MSPD-GC–MS/MS procedure was performed. Recoveries were calculated as the ratio of concentration found/added considering the responses obtained for each analyte, and they are shown in Table 4 Quantitative recoveries were obtained in all cases, with mean values between 97% and 111%. The precision was also evaluated, and the obtained relative standard deviation (RSD) values were lower than 10% for all the analytes.
Recovery studies were also performed for the fragrance allergens, preservatives, plasticizers and synthetic musks, at two different concentration levels (10 and 100 μg g−1). Results are summarized in Table 5. As can be seen, good recoveries with mean values between 70% and 110% were obtained for all the studied compounds. The RSD values were also lower than 10% in all cases.
3.4. Application to Real Samples
To show the suitability of the proposed methodology, 13 different cosmetic and personal care products were analyzed, including moisturizing face creams, sunscreens with different solar protection factor (SPF), including products intended from children, blemish base (BB) creams, hair-care products, protection lipsticks, hands cream, make-up, or vitalizing creams. Concentration (μg g−1) of the target UV filters, and the other analyzed PCPs are summarized in Table 6.
Table 6.
Concentration of the UV filters and the other personal care products (PCPs) (μg g−1 equivalent to ×104 %w/w).
Eleven out of the 14 studied UV filters were detected in the analyzed samples. The UV filter most frequently found was 2-EHMC, in 11 of the 13 samples, with concentration levels up to 46,364 μg g−1 (4.6%, w/w) followed by EHS in eight samples. The concentration for this UV filter was higher than 20,000 μg g−1 (2%, w/w) in four samples (S2, S4, S5, and S7). OCR and avobenzone (BMDM) were found in seven samples, at concentrations up to 50,000 μg g−1, excluding BMDM in samples S2, and S4. The other UV filters homosalate (HMS), BP3, benzyl salicylate (BS), and IAMC, were found in six, five, four and three samples, respectively, with concentration ranging from 0.5 to 52,000 μg g−1, whereas 4MBC, DHHB and DRT were only found in one sample each one. Regarding the number of compounds per sample, sample S3 (BB cream) contained eight out of the 11 detected UV filters, followed by sample S2, sample S6 and sample S8, which contained 6 compounds. Highlights especially the high UV filters concentration (between 25,000–99,000 μg g−1) found in Sample S2. This sample was a SPF 50 sunscreen. In the other samples, between 1–5 UV filters were detected. Although for some compounds, while very high concentrations were found, all of them comply with the European requirements according to the Regulation EC No 1223/2009 [1].
Regarding the other studied PCPs, 14 of the 25 target fragrance allergens were found. Highlights the presence of limonene and benzyl alcohol in 12 of the 13 analyzed samples, with concentrations ranging between 0.2 to 213 μg g−1. The other fragrance allergens were found in between 1–4 samples. It is important to note the presence of Lyral®, fragrance which has been recently banned, in one cream at 87 μg g−1. Sample S3, a BB cream, contained the highest number of fragrances, nine of them at also the highest concentration for them, 270 μg g−1 for α-isomethylionone. The other analyzed samples contained between one (sample S2) and six (samples S4 and S9) fragrances.
Seven of the 13 target preservatives were found in the analyzed samples. The most frequently found were phenoxyethanol (PhEtOH) and butylhydroxytoluene (BHT) in 92% of the analyzed samples. The highest PhEtOH concentration reached up to 8461 μg g−1, close to its legal limit (10,000 μg g−1), in sample S2, whereas for BHT its concentration was lower than 80 μg g−1 in all cases. Methyl paraben (MeP) was found in nine samples, reaching 3100 μg g−1, also close to its maximum permitted concentration (4000 μg g−1), in sample S1, whereas the other parabens (EtP, PrP, BuP, and iBuP) were found in six, five, and three samples respectively. The samples containing more preservatives were sample S6 and sample S7, containing both seven preservatives, whereas on the other hand, samples S4 and S10 only contained BHT and PhEtOH, respectively.
Regarding the synthetic musks, only celestolide, cashmeran and ambrettolide were detected in the analyzed samples. Galaxolide was found in three samples at concentrations up to 534 μg g−1, whereas the other two were only detected in one sample each one.
Only four plasticizers out of the 15 studied were detected in the analyzed samples. The diethylhexyl adipate (DEHA) was found in nine samples, with concentrations up to 2630 μg g−1. Regarding the other detected phthalates, DEP was found in five samples, whereas two of the phthalates forbidden for their use as ingredients in cosmetics according to the Regulation EC No 1223/2009, dibutyl phthalate (DBP) and diethylhexyl phthalate (DEHP) were found in three and nine samples, respectively. The detected concentrations were lower than 9 μg g−1 in all samples, and the presence of these compounds may be related with a possible transfer between the plastic package and the cosmetic.
4. Conclusions
A new analytical methodology based on μ-MSPD-GC–MS/MS has been proposed for the first time for the simultaneous analysis of 14 multiclass organic UV filters in cosmetic and personal care products. The main parameters affecting μ-MSPD extraction have been optimized to obtain the highest extraction efficiency. Under the optimal conditions, which implies the use of Florisil as the dispersing agent and 1 mL of ACN as elution solvent, the method was successfully validated in terms of linearity, accuracy and precision. The proposed methodology was extended to other PCPs families, including fragrance allergens, preservatives, plasticizers and synthetic musks comprising a total of 78 compounds. Finally, to show the method suitability, it was applied to a broad range of real cosmetic samples present on the market, including sunscreen, make up, and hair-care products, among many others. In summary, the developed methodology provides a suitable, green, and fast tool to determine a broad range of cosmetic ingredients in a wide variety of cosmetic products, allowing simultaneous analysis of 78 compounds with very different chemical nature in a single extraction and chromatographic run.
Supplementary Materials
The following are available online at https://www.mdpi.com/2297-8739/6/2/30/s1, Figure S1: Calibration plots for some representative compounds of each studied family, Table S1: Retention time and MS/MS transitions for the fragrance allergens, preservatives, plasticizers and synthetic musks.
Author Contributions
Conceptualization, M.L. and M.C.; methodology, M.L. and C.G.J.; validation, J.P.L., L.V. and M.L.; formal analysis, M.V., J.P.L., M.C. and L.V.; resources, M.L. and C.G.J.; writing—original draft preparation, M.L. and M.C.; writing—review and editing, M.C. and M.L.; supervision, M.L.; funding acquisition, M.L.
Funding
This research was supported by the project UNST10-1E-491 (Ministry of Science and Innovation, Spain). The authors belong to the Galician Competitive Research Group GPC2017/04 and to the CRETUS Strategic Partnership (ED431 2018/01). All these programs are co-funded by FEDER (EU).
Conflicts of Interest
The authors declare no conflict of interest.
References
- European Union. Regulation (EC) No 1223/2009 of the European Parliament and of the Council of 30 November 2009 on cosmetic products. Off. J. Eur. Union. 2009, 342, 59–209. Available online: https://eur-lex.europa.eu/legal-content/EN/ALL/?uri=CELEX%3A32009R1223 (accessed on 19 April 2019).
- Salvador, A.; Chisvert, A. Sunscreen analysis: A critical survey on UV filters determination. Anal. Chim. Acta 2005, 537, 1–14. [Google Scholar] [CrossRef]
- Lores, M.; Llompart, M.; Alvarez-Rivera, G.; Guerra, E.; Vila, M.; Celeiro, M.; Lamas, J.P.; Garcia-Jares, C. Positive lists of cosmetic ingredients: Analytical methodology for regulatory and safety controls-A. Anal. Chim. Acta 2016, 915, 1–26. [Google Scholar] [CrossRef] [PubMed]
- Zhong, Z.; Li, G. Current trends in sample preparation for cosmetic analysis. J. Sep. Sci. 2017, 40, 152–169. [Google Scholar] [CrossRef] [PubMed]
- Alvarez-Rivera, G.; Dagnac, T.; Lores, M.; Garcia-Jares, C.; Sanchez-Prado, L.; Lamas, J.P.; Llompart, M. Determination of isothiazolinone preservatives in cosmetics and household products by matrix solid-phase dispersion followed by high-performance liquid chromatography-tandem mass spectrometry. J. Chromatogr. A 2012, 127, 41–50. [Google Scholar] [CrossRef] [PubMed]
- Sanchez-Prado, L.; Lamas, J.P.; Alvarez-Rivera, G.; Lores, M.; Garcia-Jares, C.; Llompart, M. Determination of suspected fragrance allergens in cosmetics by matrix solid-phase dispersion gas chromatography-mass spectrometry analysis. J. Chromatogr. A 2011, 1218, 5055–5062. [Google Scholar] [CrossRef] [PubMed]
- Chen, M.; Bai, H.; Zhai, J.; Meng, X.; Guo, X.; Wang, C.; Wang, P.; Lei, H.; Niu, Z.; Ma, Q. Comprehensive screening of 63 coloring agents in cosmetics using matrix solid-phase dispersion and ultra-high-performance liquid chromatography coupled with quadrupole-Orbitrap high-resolution mass spectrometry. J. Chromatogr. A 2019, 1590, 27–38. [Google Scholar] [CrossRef] [PubMed]
- Anastas, P.; Eghbali, N. Green chemistry: Principles and practice. Chem. Soc. Rev. 2010, 39, 301–312. [Google Scholar] [CrossRef] [PubMed]
- Mohamed, H.M. Green, environment-friendly, analytical tools give insights in pharmaceuticals and cosmetics analysis. TrAC-Trend. Anal. Chem. 2015, 66, 176–192. [Google Scholar] [CrossRef]
- Kamarei, F.; Ebrahimzadeh, H.; Yamini, Y. Optimization of ultrasound-assisted emulsification microextraction with solidification of floating organic droplet followed by high performance liquid chromatography for the analysis of phthalate esters in cosmetic and environmental water samples. Microchem. J. 2011, 99, 26–33. [Google Scholar] [CrossRef]
- Saraji, M.; Mirmahdieh, S. Single-drop microextraction followed by in-syringe derivatization and GC-MS detection for the determination of parabens in water and cosmetic products. J. Sep. Sci. 2009, 32, 988–995. [Google Scholar] [CrossRef] [PubMed]
- Celeiro, M.; Guerra, E.; Lamas, J.P.; Lores, M.; Garcia-Jares, C.; Llompart, M. Development of a multianalyte method based on micro-matrix-solid-phase dispersion for the analysis of fragrance allergens and preservatives in personal care products. J. Chromatogr. A 2014, 1344, 1–14. [Google Scholar] [CrossRef] [PubMed]
- Celeiro, M.; Lamas, J.; Llompart, M.; Garcia-Jares, C. In-vial micro-matrix-solid phase dispersion for the analysis of fragrance allergens, preservatives, plasticizers, and musks in cosmetics. Cosmetics 2014, 1, 171–201. [Google Scholar] [CrossRef]
- Guerra, E.; Celeiro, M.; Lamas, J.P.; Llompart, M.; Garcia-Jares, C. Determination of dyes in cosmetic products by micro-matrix solid phase dispersion and liquid chromatography coupled to tandem mass spectrometry. J. Chromatogr. A 2015, 1415, 27–37. [Google Scholar] [CrossRef] [PubMed]
- Llompart, M.; Celeiro, M.; Lamas, J.P.; Sanchez-Prado, L.; Lores, M.; Garcia-Jares, C. Analysis of plasticizers and synthetic musks in cosmetic and personal care products by matrix solid-phase dispersion gas chromatography-mass spectrometry. J. Chromatogr. A 2013, 1293, 10–19. [Google Scholar] [CrossRef] [PubMed]
- Vila, M.; Celeiro, M.; Lamas, J.P.; Dagnac, T.; Llompart, M.; Garcia-Jares, C. Determination of fourteen UV filters in bathing water by headspace solid-phase microextraction and gas chromatography-tandem mass spectrometry. Anal. Methods 2016, 8, 7069–7079. [Google Scholar] [CrossRef]
- Vila, M.; Lamas, J.P.; Garcia-Jares, C.; Dagnac, T.; Llompart, M. Optimization of an analytical methodology for the simultaneous determination of different classes of ultraviolet filters in cosmetics by pressurized liquid extraction-gas chromatography tandem mass spectrometry. J. Chromatogr. A 2015, 1405, 12–22. [Google Scholar] [CrossRef] [PubMed]
- Vila, M.; Lamas, J.P.; Garcia-Jares, C.; Dagnac, T.; Llompart, M. Ultrasound-assisted emulsification microextraction followed by gas chromatography-mass spectrometry and gas chromatography-tandem mass spectrometry for the analysis of UV filters in water. Microchem. J. 2016, 124, 530–539. [Google Scholar] [CrossRef]
© 2019 by the authors. Licensee MDPI, Basel, Switzerland. This article is an open access article distributed under the terms and conditions of the Creative Commons Attribution (CC BY) license (http://creativecommons.org/licenses/by/4.0/).


