An Autonomous Power-Frequency Control Strategy Based on Load Virtual Synchronous Generator
Abstract
1. Introduction
- The secondary frequency regulation controller is introduced into the VSG to realize frequent deviation-free control in microgrids.
- A proportional control is introduced into the output of the secondary frequency regulation controller, so as to allocate the system active power capacity according to the rated capacity of each VSG in microgrids. In addition, an active droop control is added to the input of the secondary frequency regulation controller, thus suppressing the active power oscillation caused by different operating parameters of each VSG.
- A dynamic small-signal model of the microgrid is established. Based on this model, the participation factors of the state variables in the dynamic model are calculated to reveal the internal relationship between the subsystems and the dynamic characteristic of microgrids.
2. Autonomous Power-Frequency Control Strategy
3. Establishment and Analysis of Dynamic Small-Signal Model
3.1. Autonomous Power-Frequency Control
3.2. Excitation Control
3.3. Output Voltage Control
3.4. LC-Filter
3.5. AC Load
4. Simulation Results
4.1. The Microgrid with Single VSG
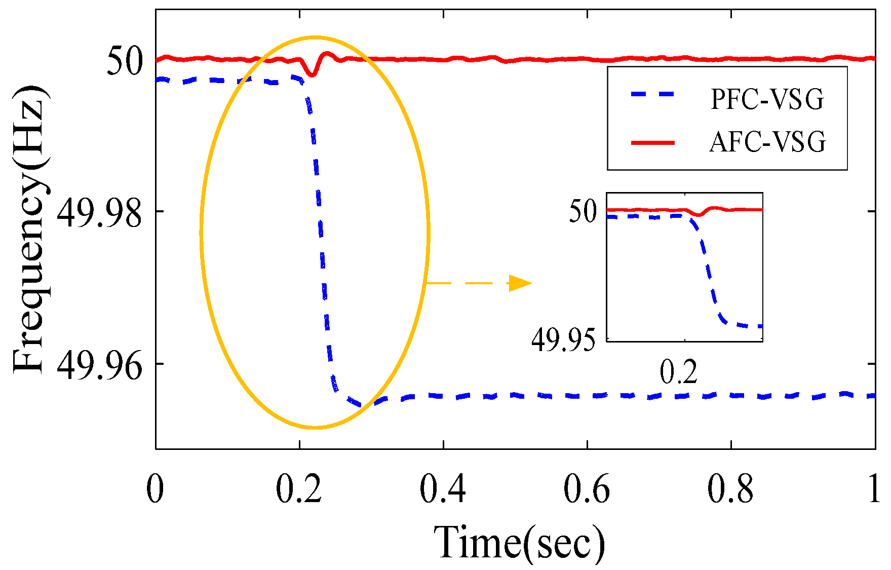
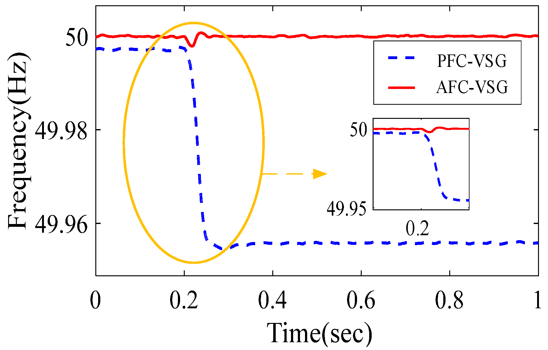
4.1.1. Sudden Load Increase Condition
4.1.2. Sudden Load Decrease Condition
4.2. The Microgrid with Multiple VSGs
5. Conclusions
- Due to the existence of the secondary frequency regulation controller, the APFC-VSG can realize secondary frequency regulation when the microgrid operates with a single VSG.
- This paper adds the proportional control and active power droop control to the input and output of the secondary frequency regulation controller, respectively, which make the APFC-VSG not only have the capacity of achieving secondary frequency regulation but also to suppress the active power oscillation when multiple VSGs operate simultaneously in the microgrid.
- By establishing the dynamic small-signal model of the microgrid, the participation factors of the state variables in the dynamic model are calculated, which reveal the leading roles of the APFC-VSG and filter in the dynamic stability of the microgrid.
- The simulation results indicate that the APFC-VSG would provide enough inertia according to the rated capacity of each AC load in the microgrid. In particular, the NARC-VSG can still suppress the active power oscillation caused by the different damping coefficients when multiple VSGs operate simultaneously.
Author Contributions
Funding
Conflicts of Interest
Appendix A
| System Parameter | Parameter Value | System Parameter | Parameter Value |
|---|---|---|---|
| ωN (rad/s) | 314 | Ki2 | 50 |
| PN (kW) | 10 | D (W/rad2) | 20 |
| Qref (var) | 100 | J (kg/m2) | 0.5 |
| Kf | 1000 | Rs/Ω | 0.01 |
| Ki | 0.01 | Ls/H | 0.0002 |
| UN (kV) | 0.38 | C/F | 0.00001 |
| Kp1 | 0.5 | Lr/H | 0.01838 |
| Ki1 | 5000 | Rm/Ω | 144.4 |
| Kv (var/V) | 0.01 | Lm/H | 0.1444 |
| Kp2 | 400 |
- Kf
- 2.
- Kp1, Kp2
- 3.
- Ki, Ki1, Ki2.
References
- Pedrasa, M.A.A.; Spooner, T.D.; MacGill, I.F. Coordinated Scheduling of Residential Distributed Energy Resources to Optimize Smart Home Energy Services. IEEE Trans. Smart Grid 2010, 10, 4648–4661. [Google Scholar] [CrossRef]
- Hammerstrom, D.J. AC Versus DC Distribution Systems Did We Get It Right? In Proceedings of the IEEE Power Engineering Society General Meeting, Tampa, FL, USA, 24–28 June 2007. [Google Scholar]
- Starke, M.R.; Olbert, L.M.; Ozpineci, B. AC vs. DC distribution: A loss comparison. In Proceedings of the 2008 IEEE/PES Transmission and Distribution Conference and Exposition, Chicago, IL, USA, 21–24 April 2008. [Google Scholar]
- Starke, M.; Chen, X.; Tolbert, L.M.; Ozpineci, B. AC vs. DC distribution: Maximum transfer capability. In Proceedings of the 2008 IEEE Power and Energy Society General Meeting Conversion and Delivery of Electrical Energy in the 21st Century, Pittsburgh, PA, USA, 20–24 July 2008. [Google Scholar]
- Zhong, Q.C. Power Electronics Enabled Autonomous Power Systems: Architecture and Technical Routes. IEEE Trans. Ind. Electron. 2017, 64, 5907–5918. [Google Scholar] [CrossRef]
- Zhong, Q.C.; Weiss, G. Synchronverters: Inverters That Mimic Synchronous Generators. IEEE Trans. Ind. Electron. 2011, 58, 1259–1267. [Google Scholar] [CrossRef]
- Zhong, Q.C. Virtual Synchronous Generators and Autonomous Power Systems. Proc. CSEE 2017, 37, 336–348. [Google Scholar]
- Lv, Z.P.; Sheng, W.X.; Zhong, Q.C.; Liu, H.T.; Zeng, Z.; Yang, L.; Liu, L. Virtual Synchronous Generator and Its Applications in Microgrid. Proc. CSEE 2014, 16, 2591–2603. [Google Scholar]
- Yu, Y.; Hu, X. Active Disturbance Rejection Control Strategy for Grid-Connected Photovoltaic Inverter Based on Virtual Synchronous Generator. IEEE Access 2019, 7, 17328–17336. [Google Scholar] [CrossRef]
- Li, J.; Wen, B.Y.; Wang, H.Y. Adaptive Virtual Inertia Control Strategy of VSG for Micro-Grid Based on Improved Bang-Bang Control Strategy. IEEE Access 2019, 7, 39509–39514. [Google Scholar] [CrossRef]
- Li, D.D.; Zhu, Q.W.; Lin, S.F.; Bian, X.Y. A Self-Adaptive Inertia and Damping Combination Control of VSG to Support Frequency Stability. IEEE Trans Energy Convers 2017, 32, 397–398. [Google Scholar] [CrossRef]
- Xu, Y.; Zhang, T.F.; Yue, D. Frequent Deviation-Free Control for Micro-Grid Operation Modes Switching Based on Virtual Synchronous Generator. In Proceedings of the LSMS/ICSEE, Nanjing, Jiangsu, China, 22–24 September 2017. [Google Scholar]
- Jiang, K.; Su, H.S.; Sun, D. Secondary Frequency Regulation Scheme Based on Improved Virtual Synchronous Generator in an Islanded Microgrid. J. Vibroeng. 2019, 21, 215–227. [Google Scholar]
- Shi, K.; Zhou, G.L.; Xu, P.F.; Ye, H.H.; Tan, F. The Integrated Switching Control Strategy for Grid-Connected and Islanding Operation of Micro-Grid Inverters Based on a Virtual Synchronous Generator. Energies 2018, 11, 1544. [Google Scholar] [CrossRef]
- Liu, J.; Miura, Y.; Bevrani, H.; Ise, T. Enhanced Virtual Synchronous Generator Control for Parallel Inverters in Microgrids. IEEE Trans. Smart Grid 2019, 8, 2268–2277. [Google Scholar] [CrossRef]
- Wei, Y.L.; Zhang, H.; Song, Q.; Sun, K. Control Strategy for Parallel-Operated Virtual Synchronous Generators. In Proceedings of the 8th International Power Electronics and Motion Control Conference (IPEMC ECCE Asia), Anhui, China, 22–26 May 2017. [Google Scholar]
- Shintai, T.; Miura, Y.; Ise, T. Oscillation Damping of a Distributed Generator Using a Virtual Synchronous Generator. IEEE Trans. Power Deliv. 2014, 29, 668–676. [Google Scholar] [CrossRef]
- Alipoor, J.; Miura, Y.; Ise, T. Power System Stabilization Using Virtual Synchronous Generator with Alternating Moment of Inertia. IEEE J. Emerg. Sel. Topics Power Electron. 2015, 3, 451–458. [Google Scholar] [CrossRef]
- Wu, H.; Xuan, X.B.; Yang, D.S.; Chen, X.R.; Zhao, W.X.; Lv, Z.P.; Zhong, Q.C. Small-Signal Modeling and Parameters Design for Virtual Synchronous Generators. IEEE Trans. Ind. Electron. 2016, 63, 4292–4303. [Google Scholar] [CrossRef]
- Hu, P.; Chen, H.K.; Zhu, X.H.; Chen, L. Small-Signal Stability Analysis of Energy Internet through Differential Inclusion Theory. J. Eng. 2018, 2018, 1896–1902. [Google Scholar] [CrossRef]














| State Variable | Stable Operating Point | State Variable | Stable Operating Point |
|---|---|---|---|
| ω(rad/s) | 314.13 | D | 0.023 |
| ud(V) | 323.27 | iLd (A) | 18.06 |
| uq (V) | −22.32 | iLq (A) | −22.99 |
| A | 3.12 | imd (A) | 15.43 |
| B | 0.09 | imq (A) | −17.89 |
| C | 0.004 |
| Number | Characteristic Value |
|---|---|
| 1 | −0.671 |
| 2 | −0.0001 |
| 3,4 | −998.5888 ± 313.9922i |
| 5,6 | −272.4938 ± 15,269.7186i |
| 7,8 | −272.4852 ± 14,641.6651i |
| 9 | −992.4683 |
| 10,11 | −0.00113 ± 6.8096i |
| State Variable | Participation Factors of Eigenvalues 1 and 2 | Participation Factors of Eigenvalues 10 and 11 |
|---|---|---|
| ω | 0.5675 | 0.0327 |
| A | 0.3127 | 0.3241 |
| B | 0.0016 | 0.1463 |
| iLd | 0.0013 | 0.2536 |
| iLq | 0.0025 | 0.1396 |
| VSG Number | Rated Value of The Active Power (kW) | Damping Coefficient D (W/rad2) | Active Power Droop Control Coefficient η | The Coefficient of Proportional Control λ |
|---|---|---|---|---|
| VSG-1 | 10 | 20 | 500 | 1 |
| VSG-2 | 6 | 15 | 750 | 0.6 |
| VSG-3 | 10 | 10 | 1000 | 1 |
© 2020 by the authors. Licensee MDPI, Basel, Switzerland. This article is an open access article distributed under the terms and conditions of the Creative Commons Attribution (CC BY) license (http://creativecommons.org/licenses/by/4.0/).
Share and Cite
Han, J.; Liu, Z.; Liang, N.; Song, Q.; Li, P. An Autonomous Power-Frequency Control Strategy Based on Load Virtual Synchronous Generator. Processes 2020, 8, 433. https://doi.org/10.3390/pr8040433
Han J, Liu Z, Liang N, Song Q, Li P. An Autonomous Power-Frequency Control Strategy Based on Load Virtual Synchronous Generator. Processes. 2020; 8(4):433. https://doi.org/10.3390/pr8040433
Chicago/Turabian StyleHan, Jiangbei, Zhijian Liu, Ning Liang, Qi Song, and Pengcheng Li. 2020. "An Autonomous Power-Frequency Control Strategy Based on Load Virtual Synchronous Generator" Processes 8, no. 4: 433. https://doi.org/10.3390/pr8040433
APA StyleHan, J., Liu, Z., Liang, N., Song, Q., & Li, P. (2020). An Autonomous Power-Frequency Control Strategy Based on Load Virtual Synchronous Generator. Processes, 8(4), 433. https://doi.org/10.3390/pr8040433

