Numerical Simulation of Combustion in 35 t/h Industrial Pulverized Coal Furnace with Burners Arranged on Front Wall
Abstract
1. Introduction
2. Physical Model and Meshing
2.1. Physical Model
2.2. Meshing
3. Mathematical Model and Solution Conditions
4. Results and Discussion
4.1. Analysis of the Fluid Flow and Temperature Field of the Burners
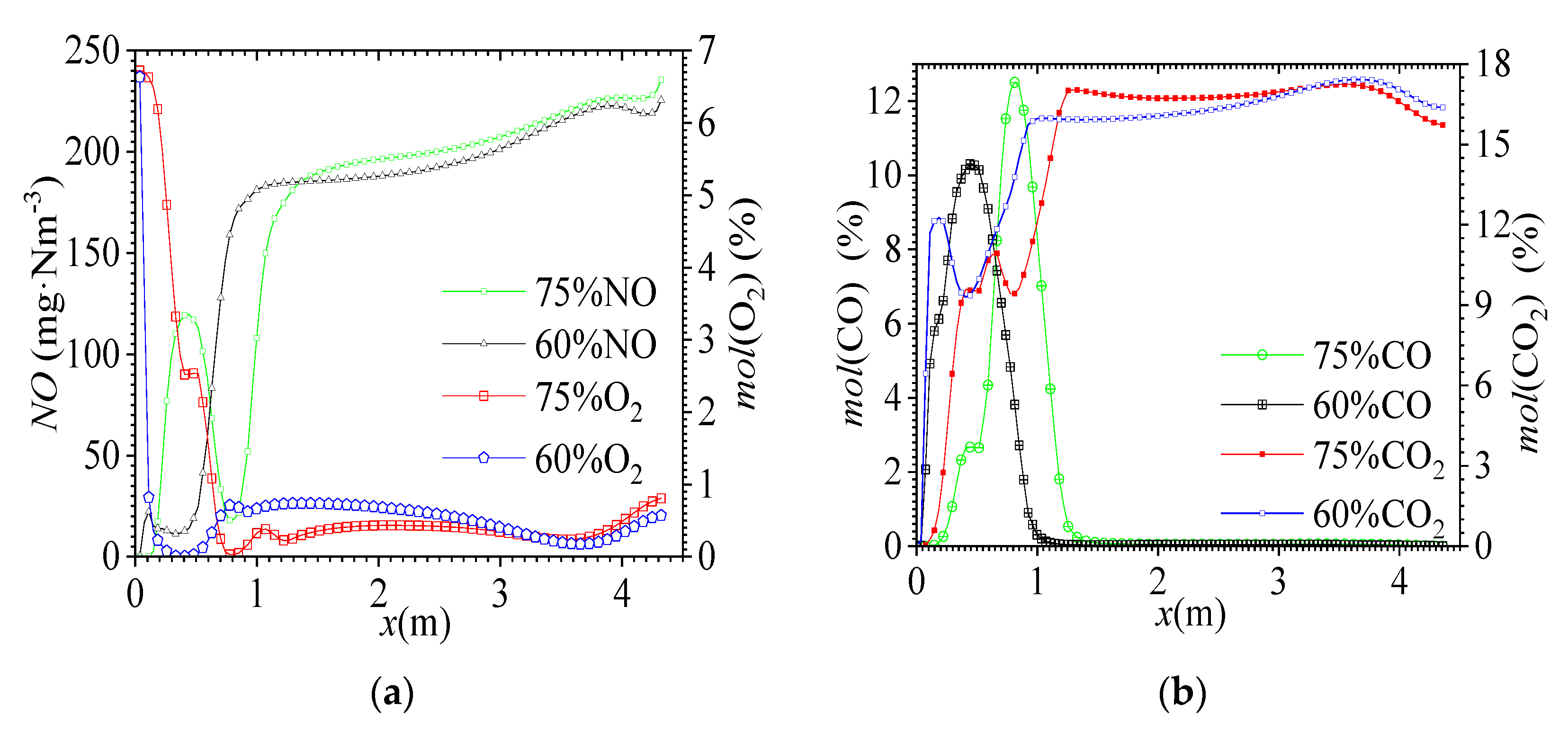
4.2. Analysis of Main Combustion Species in the Center Axis of the Burner
4.3. Analysis of Flue Gas Temperature and Species NO along the Furnace Height
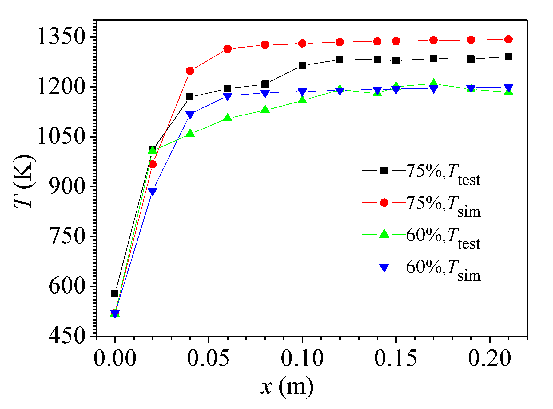
4.4. Comparison of Simulation Results and Experimental Data
5. Conclusions
- The swirl burner of this work can produce an obvious vortex flow region caused by the entrainment, which is conducive to the preheating and stable ignition of pulverized coal particles.
- Along the direction of the furnace depth (x) in the burner axis, there was a critical distance L; when x < L, the O2 molar fraction decreased sharply with the x coordinate. When x > L, the NO concentration increased gradually with an increase in furnace depth; the increase value was very small with load. L increased with an increase in load.
- In the furnace along the height direction (y), take the height of the center axis of the burner as the HC (y = 4.35 m). When y < HC, the NO concentration decreased sharply with an increase in the y coordinate, and the NO concentration at 75% load was greater than that at 60% load in the ash bucket area; when y > HC, the NO concentration increased sharply with the temperature increasing in the swirl combustion zone with no obvious change, and the NO concentration was basically the same at the furnace outlet. The average temperature of the flue gas in the furnace became lower at the Hc position with an increase in the swirl radius of the SA diffuse flow; there were two peak temperatures at two locations.
Author Contributions
Funding
Conflicts of Interest
References
- Hu, F.; Li, P.F.; Wang, K. Evaluation, development, and application of a new skeletal mechanism for fuel-NO formation under air and oxy-fuel combustion. Fuel Process. Technol. 2020, 199, 1–17. [Google Scholar] [CrossRef]
- Wen, X.; Luo, K.; Yujuan, L. Large eddy simulation of a semi-industrial scale coal furnace using non-adiabatic three-stream flamelet/progress variable model. Appl. Energy 2016, 183, 1086–1097. [Google Scholar] [CrossRef]
- Bermúdez, A.; Ferrín, J.L.; Liñán, A.; Saavedra, L. Numerical simulation of group combustion of pulverized coal. Combust. Flame 2011, 158, 1852–1865. [Google Scholar] [CrossRef]
- Mikulcic, H.; Von-Berg, E.; Wang, X. Using an Advanced Numerical Technique for Improving Pulverized Coal Combustion inside an Industrial Furnace. CET J. 2017, 61, 235–240. [Google Scholar]
- Li, S.; Zhong, G.F.; Xue, N.D. Influence of combustion system retrofit on NOx formation characteristics in a 300 MW tangentially fired furnace. Appl. Therm. Eng. 2016, 98, 766–777. [Google Scholar]
- Askarova, A.; Bolegenova, S.; Maximov, V. Numerical modeling of pulverized coal combustion at thermal power plant boilers. J. Therm. Sci. 2015, 24, 275–282. [Google Scholar] [CrossRef]
- Hwang, M.Y.; Ahn, S.G.; Jang, H.C. Numerical study of an 870MW wall-fired boiler using De-NOx burners and an air staging system for low rank coal. J. Mech. Sci. Technol. 2016, 30, 5715–5725. [Google Scholar] [CrossRef]
- Mohd Noor, N.A.W.; Hassan, H.; Hashim, M.F. Preliminary investigation on the effects of primary airflow to coal particle distribution in coal-fired boilers. J. Phys. Conf. Series 2017, 822, 21–23. [Google Scholar]
- Silva-Daindrusiak, C.V.; Sbeskow, M.L. CFD analysis of the pulverized coal combustion processes in a 160 MW tangentially-fired-boiler of a thermal power plant. J. Braz. Soc. Mech. Sci. 2010, 32, 427–436. [Google Scholar] [CrossRef][Green Version]
- Constenla, I.; Ferrín, J.L.; Saavedra, L. Numerical study of a 350 MW tangentially fired pulverized coal furnace of the As Pontes Power Plant. Fuel Process. Technol. 2013, 116, 189–200. [Google Scholar] [CrossRef]
- Belošević, S.; Tomanović, I.; Crnomarković, N. Numerical study of pulverized coal-fired utility boiler over a wide range of operating conditions for in-furnace SO2/NOx reduction. Appl. Therm. Eng. 2016, 9, 657–669. [Google Scholar] [CrossRef]
- Wang, J.; Zheng, K.; Singh, R. Numerical simulation and cold experimental research of a low-NOx, combustion technology for pulverized low-volatile coal. Appl. Therm. Eng. 2017, 11, 498–510. [Google Scholar] [CrossRef]
- Sung, Y.; Choi, C.; Moon, C. Nitric oxide emissions and combustion performance of nontraditional ring-fired boilers with furnace geometries. J. Mech. Sci. Technol. 2015, 29, 3489–3499. [Google Scholar] [CrossRef]
- Lisandy, K.Y.; Kim, J.W.; Lim, H. Prediction of unburned carbon and NO formation from low-rank coal during pulverized coal combustion: Experiments and numerical simulation. Fuel 2016, 185, 478–490. [Google Scholar] [CrossRef]
- Zhang, Z.; Li, Z.S.; Cai, N.S. Reduced-order model of char burning for CFD modeling. Combust. Flame 2016, 16, 83–96. [Google Scholar] [CrossRef]
- Shen, Y.S.; Guo, B.Y.; Yu, A.B.; Zulli, P. A three-dimensional numerical study of the combustion of coal blends in blast furnace. Fuel 2009, 88, 255–263. [Google Scholar] [CrossRef]
- Roache, P.J. Perspective: A method for uniform reporting of grid refinement studies. J. Fluids Eng. 1994, 116, 405–413. [Google Scholar] [CrossRef]
- Feng, R.; Li, Z.; Liu, G. Numerical simulation of flow and combustion characteristics in a 300 MW down-Fired boiler with different overfire air angles. Energy Fuels 2011, 25, 1457–1464. [Google Scholar]
- ANSYS Inc. ANSYS FLUENT Theory Guide; ANSYS Inc.: Canonsburg, PA, USA, 2010; pp. 200–396. [Google Scholar]
- Patankar, S.V. Numerical Heat Transfer and Fluid Flow; Hemisphere Publishing Corporation: New York, NY, USA, 1980; pp. 104–156. [Google Scholar]
- Wang, Q.; Guan, J.; Sun, D.H. A simulation of flow field on furnace for horizontal coal smokeless combustion boiler. Proc. CSEE 2003, 23, 164–167. [Google Scholar]
- Sarkar, A.; So, R.M.C. A critical evaluation of near-wall two-equation models against direct numerical simulation data. Int. J. Heat Fluid Flow 1997, 18, 197–208. [Google Scholar] [CrossRef]
- Hill, S.C.; Smoot, L.D. Modeling of nitrogen oxides formation and destruction in combustion systems. Prog. Energy Combust. Sci. 2000, 26, 417–458. [Google Scholar] [CrossRef]
- De Soete, G.G. Overall reaction rates of NO and N2 formation from fuel nitrogen. In Proceedings of the 15th International Symposium on Combustion, Tokyo, Japan, 25–31 August 1974; pp. 1093–1102. [Google Scholar]
- Laubscher, R.; Rousseau, P. Numerical investigation on the impact of variable particle radiation properties on the heat transfer in high ash pulverized coal boiler through co-simulation. Energy 2020, 195, 117006. [Google Scholar] [CrossRef]








| Proximate Analysis (As Received) (wt.%) | |
| Moisture | 3.40 |
| Volatile matter | 31.58 |
| Fixed carbon | 56.64 |
| Ash | 8.38 |
| Ultimate Analysis (Dry Basis) (wt.%) | |
| C | 71.71 |
| H | 4.30 |
| N | 1.01 |
| O | 10.90 |
| S | 0.30 |
| Low heating value | 27.95MJ/kg |
| Load (%) | Boiler Capacity (t/h) | Mass Flow Rates of Coal in a Single Burner (kg/s) | Temperature of PA Stream and Pulverized Coal (°C) | Temperature of Internal and External SA Streams (°C) |
|---|---|---|---|---|
| 75 | 26.25 | 3.96 | 140 | 250 |
| 60 | 21 | 3.17 | 140 | 250 |
| Non-Premixed Combustion Model | Chemistry State Relation | Chemistry Energy Treatment | Chemistry Stream Option | Operating Pressure | PDF Opinion |
| Settings | Chemistry equilibrium | Non-adiabatic | Empirical stream | 101,325Pa | Inlet Diffusion |
| Discrete Phase Model | DPM Iteration Interval | Max. Number of Steps | Specify Length Scale Length Scale | Turbulent Dispersion Discrete | Number of Tries |
| Settings | 20 | 5000 | 0.005 | Random walk model | 10 |
| Load (%) | NO (mg/Nm3) | O2 (%) | Carbon Burn-off Rate (%) |
|---|---|---|---|
| 75 | 226.4 | 6.60 | 99.19 |
| 60 | 219.2 | 6.45 | 99.04 |
| Rate of change (%) | +3.3 | −2.3 | −0.15 |
© 2020 by the authors. Licensee MDPI, Basel, Switzerland. This article is an open access article distributed under the terms and conditions of the Creative Commons Attribution (CC BY) license (http://creativecommons.org/licenses/by/4.0/).
Share and Cite
Han, J.; Zhu, L.; Lu, Y.; Mu, Y.; Mustafa, A.; Ge, Y. Numerical Simulation of Combustion in 35 t/h Industrial Pulverized Coal Furnace with Burners Arranged on Front Wall. Processes 2020, 8, 1272. https://doi.org/10.3390/pr8101272
Han J, Zhu L, Lu Y, Mu Y, Mustafa A, Ge Y. Numerical Simulation of Combustion in 35 t/h Industrial Pulverized Coal Furnace with Burners Arranged on Front Wall. Processes. 2020; 8(10):1272. https://doi.org/10.3390/pr8101272
Chicago/Turabian StyleHan, Jiade, Lingbo Zhu, Yiping Lu, Yu Mu, Azeem Mustafa, and Yajun Ge. 2020. "Numerical Simulation of Combustion in 35 t/h Industrial Pulverized Coal Furnace with Burners Arranged on Front Wall" Processes 8, no. 10: 1272. https://doi.org/10.3390/pr8101272
APA StyleHan, J., Zhu, L., Lu, Y., Mu, Y., Mustafa, A., & Ge, Y. (2020). Numerical Simulation of Combustion in 35 t/h Industrial Pulverized Coal Furnace with Burners Arranged on Front Wall. Processes, 8(10), 1272. https://doi.org/10.3390/pr8101272
