Assessing Banana-Based Activated Carbon as a Biomaterial for the Adsorption of Drug Metabolites in Wastewater: Simulation of an Industrial-Scale Packed Column
Abstract
1. Introduction
2. Materials and Methods
2.1. Configuration and Simulation
2.2. Sensitivity Analysis
2.3. Governing Equations
- Langmuir isothermal model: it considers that adsorption occurs in a single layer on the surface of the adsorbate, making the adsorption energy constant [35].
- Freundlich model: it describes adsorption as a process that takes place on a homogeneous, multilayer surface, where the distribution of adsorbed components is influenced by both the duration of contact and the energy of the available adsorption sites [36].
2.4. Machine Learning Techniques
2.5. Reference Parameters
3. Results and Discussions
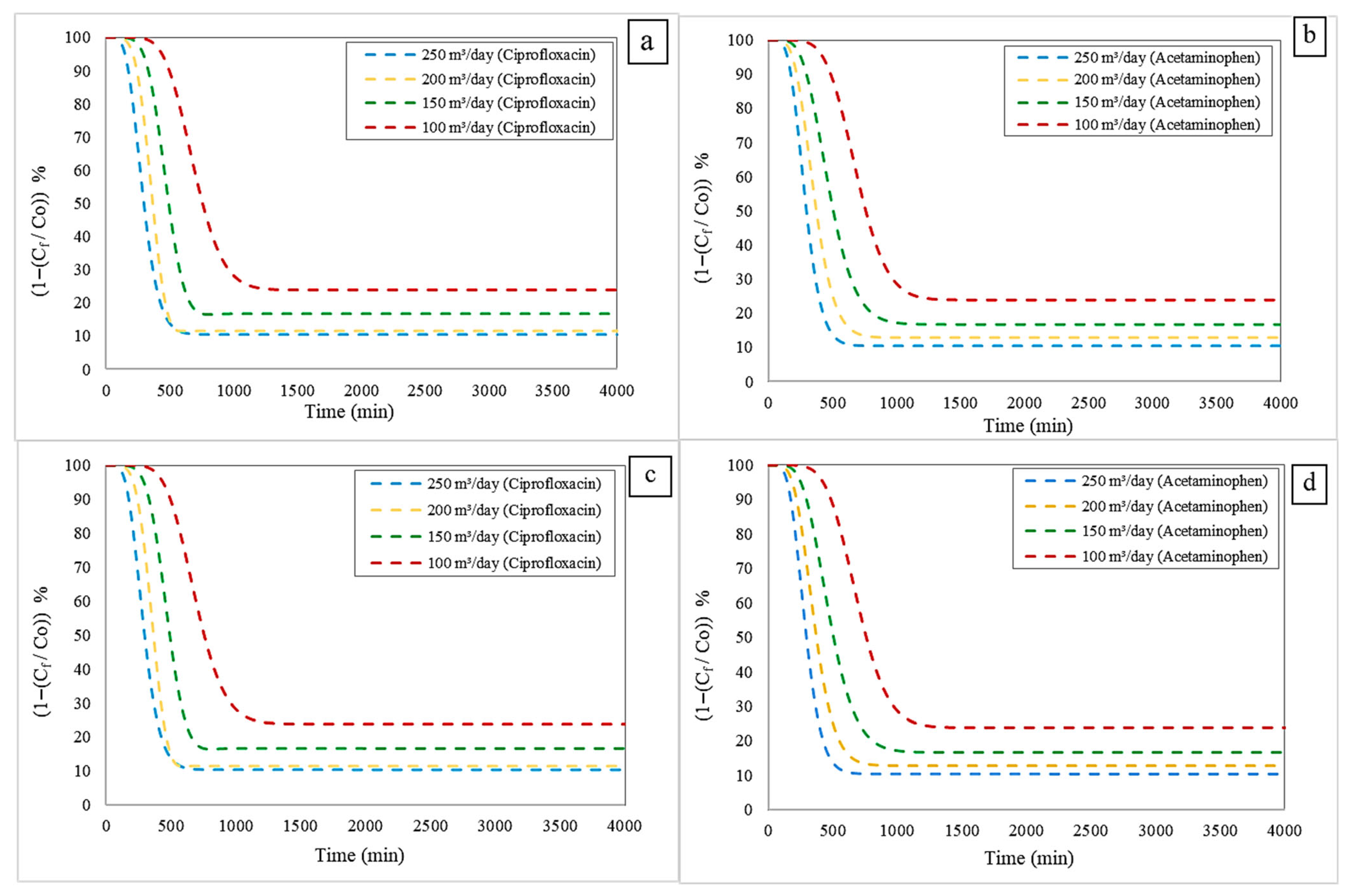
3.1. Inlet Flow Rate Effects
3.2. Bed Height Effects
3.3. ML Implementations
3.4. Comparative Study
4. Conclusions
Supplementary Materials
Author Contributions
Funding
Data Availability Statement
Acknowledgments
Conflicts of Interest
Nomenclature
| Porosity of the column | |
| Longitudinal dispersion coefficient (m2/s) | |
| Length of the bed (m) | |
| Amount of ions absorbed by the adsorbent (mg/g) | |
| Concentration of contaminants in the liquid phase (mg/L) | |
| Apparent density of the adsorbent (kg/m3) | |
| Velocity of the fluid through the bed (m/s) | |
| Adsorption capacity of the contaminant (mg/g) | |
| Maximum loading capacity (mg/g) | |
| Langmuir constant (L/mg) | |
| Concentration of contaminant in solution at equilibrium (mg/L) | |
| Represents competition between solutes for active sites (-) | |
| Freundlich constant indicating adsorption capacity [(mg/g) · (mg/L)n] | |
| Effect of initial concentration on adsorption capacity | |
| Total concentration of solutes present in the solution (mg/L) | |
| Empirical parameter that quantifies the intensity of competition between species (-) | |
| Concentration adsorbed in the solid for component k (mg/g) | |
| Amount that should be adsorbed if the system were in instantaneous equilibrium with the fluid phase (mg/g) | |
| Mass transfer coefficient (1/s) | |
| Indicates the efficiency of the adsorption process (%) | |
| Total number of observations | |
| True value of a response | |
| Predicted value of a response | |
| Average value of observations | |
| Kernel function between two data vectors | |
| Feature vectors of the dataset | |
| Dot product between feature vectors | |
| Degree of the polynomial | |
| Response variable | |
| Latent variable introduced in each observation | |
| Predictors | |
| Matrix of basic functions | |
| Coefficient computed from the dataset | |
| Identify matrix | |
| Error variance |
References
- Pásková, M.; Štekerová, K.; Zanker, M.; Lasisi, T.T.; Zelenka, J. Water pollution generated by tourism: Review of system dynamics models. Heliyon 2024, 10, e23824. [Google Scholar] [CrossRef] [PubMed]
- Luo, Z.; Qin, M.; Guo, Z.; Li, X.; Zhou, T.; Zeng, Z.; Zhou, C.; Song, B. Potential of Salvinia biloba Raddi for the remediation of water polluted with ciprofloxacin: Removal, physiological response, and root microbial community. J. Hazard. Mater. 2024, 480, 136038. [Google Scholar] [CrossRef]
- Zheng, Y.; Shao, Y.; Zhang, Y.; Liu, Z.; Zhao, Z.; Xu, R.; Ding, J.; Li, W.; Wang, B.; Zhang, H. Metformin as an Emerging Pollutant in the Aquatic Environment: Occurrence, Analysis, and Toxicity. Toxics 2024, 12, 483. [Google Scholar] [CrossRef]
- Flórez-Restrepo, M.A.; López-Legarda, X.; Segura-Sánchez, F. Bioremediation of emerging pharmaceutical pollutants, acetaminophen and ibuprofen by white-rot fungi—A review. Sci. Total Environ. 2025, 977, 179379. [Google Scholar] [CrossRef] [PubMed]
- Fu, X.; Yang, X.; Lin, X.; Zhu, L.; Yang, P.; Wang, F.; Shen, Z.; Wang, J.; Ling, Y.; Qiu, Z. Environmental concentrations of acetaminophen and its metabolites promote the spread of antibiotic resistance genes through pheromone signaling pathway. Chem. Eng. J. 2024, 488, 150994. [Google Scholar] [CrossRef]
- Khwaza, V.; Mlala, S.; Aderibigbe, B.A. Advancements in Synthetic Strategies and Biological Effects of Ciprofloxacin Derivatives: A Review. Int. J. Mol. Sci. 2024, 25, 4919. [Google Scholar] [CrossRef]
- Shariati, A.; Arshadi, M.; Khosrojerdi, M.A.; Abedinzadeh, M.; Ganjalishahi, M.; Maleki, A.; Heidary, M.; Khoshnood, S. The resistance mechanisms of bacteria against ciprofloxacin and new approaches for enhancing the efficacy of this antibiotic. Front. Public Health 2022, 10, 1025633. [Google Scholar] [CrossRef]
- Badawy, S.; Yang, Y.Q.; Liu, Y.; Marawan, M.A.; Ares, I.; Martinez, M.A.; Martínez-Larrañaga, M.R.; Wang, X.; Anadón, A.; Martínez, M. Toxicity induced by ciprofloxacin and enrofloxacin: Oxidative stress and metabolism. Crit. Rev. Toxicol. 2021, 51, 754–787. [Google Scholar] [CrossRef]
- Alam, R.; Sheob, M.; Saeed, B.; Khan, S.U.; Shirinkar, M.; Frontistis, Z.; Basheer, F.; Farooqi, I.H. Use of Electrocoagulation for Treatment of Pharmaceutical Compounds in Water/Wastewater: A Review Exploring Opportunities and Challenges. Water 2021, 13, 2105. [Google Scholar] [CrossRef]
- Dai, W.; Wang, C.; Wang, Y.; Sun, J.; Ruan, H.; Xue, Y.; Xiao, S. Unlocking photocatalytic NO removal potential in an S-type UiO-66-NH2/ZnS(en)0.5 heterostructure. Interdiscip. Mater. 2024, 3, 400–413. [Google Scholar] [CrossRef]
- Zhou, W.; Deng, W.Q.; Lu, X. Metallosalen covalent organic frameworks for heterogeneous catalysis. Interdiscip. Mater. 2024, 3, 87–112. [Google Scholar] [CrossRef]
- Manna, M.; Sen, S. Advanced oxidation process: A sustainable technology for treating refractory organic compounds present in industrial wastewater. Environ. Sci. Pollut. Res. 2023, 30, 25477–25505. [Google Scholar] [CrossRef]
- Cardoso, I.M.F.; Cardoso, R.M.F.; Esteves da Silva, J.C.G. Advanced Oxidation Processes Coupled with Nanomaterials for Water Treatment. Nanomaterials 2021, 11, 2045. [Google Scholar] [CrossRef] [PubMed]
- Ewis, D.; Ba-Abbad, M.M.; Benamor, A.; El-Naas, M.H. Adsorption of organic water pollutants by clays and clay minerals composites: A comprehensive review. Appl. Clay Sci. 2022, 229, 106686. [Google Scholar] [CrossRef]
- Islam, I.U.; Qurashi, A.N.; Adnan, A.; Ali, A.; Malik, S.; Younas, F.; Akhtar, H.T.; Farishta, F.; Janiad, S.; Ali, F.; et al. Bioremediation and Adsorption: Strategies for Managing Pharmaceutical Pollution in Aquatic Environment. Water Air Soil Pollut. 2025, 236, 579. [Google Scholar] [CrossRef]
- Alaqarbeh, M. Adsorption Phenomena: Definition, Mechanisms, and Adsorption Types: Short Review. RHAZES Green Appl. Chem. 2021, 13, 43–51. [Google Scholar] [CrossRef]
- Sukmana, H.; Bellahsen, N.; Pantoja, F.; Hodur, C. Adsorption and coagulation in wastewater treatment—Review. Prog. Agric. Eng. Sci. 2021, 17, 49–68. [Google Scholar] [CrossRef]
- Lewoyehu, M. Comprehensive review on synthesis and application of activated carbon from agricultural residues for the remediation of venomous pollutants in wastewater. J. Anal. Appl. Pyrolysis 2021, 159, 105279. [Google Scholar] [CrossRef]
- Karume, I.; Bbumba, S.; Tewolde, S.; Mukasa, I.Z.T.; Ntale, M. Impact of carbonization conditions and adsorbate nature on the performance of activated carbon in water treatment. BMC Chem. 2023, 17, 162. [Google Scholar] [CrossRef]
- Yin, G.; Jameel Ibrahim Alazzawi, F.; Mironov, S.; Reegu, F.; El-Shafay, A.S.; Lutfor Rahman, M.; Su, C.H.; Lu, Y.Z.; Chinh Nguyen, H. Machine learning method for simulation of adsorption separation: Comparisons of model’s performance in predicting equilibrium concentrations. Arab. J. Chem. 2022, 15, 103612. [Google Scholar] [CrossRef]
- Khan, H.A.; Jamil, S.; Piran, M.J.; Kwon, O.-J.; Lee, J.-W. A Comprehensive Survey on the Investigation of Machine-Learning-Powered Augmented Reality Applications in Education. Technologies 2024, 12, 72. [Google Scholar] [CrossRef]
- Lubiano, M.L.R.M.; Manacup, C.V.L.; Soriano, A.N.; Rubi, R.V.C. Continuous Biosorption of Pb2+ with Bamboo Shoots (Bambusa spp.) using Aspen Adsorption Process Simulation Software. ASEAN J. Chem. Eng. 2023, 23, 153–166. [Google Scholar] [CrossRef]
- Nieva, A.D.; Garcia, R.C.; Ped, R.M.R. Simulated Biosorption of Cr6+ Using Peels of Litchi chinensis sonn by Aspen Adsorption® V8.4. Int. J. Environ. Sci. Dev. 2019, 10, 331–337. [Google Scholar] [CrossRef]
- Yousef, R.; Qiblawey, H.; El-Naas, M.H. Evaluation of activated carbon fiber packed-bed for the treatment of gas-to-liquid wastewater: Experimental, modeling and ASPEN Adsorption simulation. Emergent Mater. 2025, 8, 1591–1603. [Google Scholar] [CrossRef]
- Agarwal, A.; Upadhyay, U.; Sreedhar, I.; Anitha, K.L. Simulation studies of Cu(II) removal from aqueous solution using olive stone. Clean. Mater. 2022, 5, 100128. [Google Scholar] [CrossRef]
- Ortega-Toro, R.; Tejada-Tovar, C.N.; Villabona-Ortiz, Á.; González-Delgado, Á.D.; Vergara-Villadiego, J.C. Computational prediction of packed-bed reactor performance for hexavalent chromium removal from aqueous solution. J. Water Land Dev. 2025, 66, 13–18. [Google Scholar] [CrossRef]
- Bernal Morales, D.M.; Aguirre Domelin, N.A. Escalamiento Columna de Adsorción Para la Remoción de Cromo en Las Aguas Residuales de la Industria de Curtiembre Por Medio de la Cáscara de Banano. Fundación Universidad de América. Available online: https://hdl.handle.net/20.500.11839/8848 (accessed on 22 September 2025).
- Koua, B.K.; Koffi, P.M.E.; Gbaha, P. Evolution of shrinkage, real density, porosity, heat and mass transfer coefficients during indirect solar drying of cocoa beans. J. Saudi Soc. Agric. Sci. 2019, 18, 72–82. [Google Scholar] [CrossRef]
- Patel, M.; Kumar, R.; Pittman, C.U.; Mohan, D. Ciprofloxacin and acetaminophen sorption onto banana peel biochars: Environmental and process parameter influences. Environ. Res. 2021, 201, 111218. [Google Scholar] [CrossRef]
- Hameed, A.; Hameed, B.H.; Almomani, F.A.; Usman, M.; Ba-Abbad, M.M.; Khraisheh, M. Dynamic simulation of lead(II) metal adsorption from water on activated carbons in a packed-bed column. Biomass Convers. Biorefin. 2024, 14, 8283–8292. [Google Scholar] [CrossRef]
- Grznár, P.; Gregor, M.; Mozol, Š.; Mozolová, L.; Krump, H.; Mizerák, M.; Trojan, J. A Comprehensive Analysis of Sensitivity in Simulation Models for Enhanced System Understanding and Optimisation. Processes 2024, 12, 716. [Google Scholar] [CrossRef]
- Dadebo, D.; Atukunda, A.; Ibrahim, M.G.; Nasr, M. Integrating chemical coagulation with fixed-bed column adsorption using rice husk-derived biochar for shipboard bilgewater treatment: Scale-up design and cost estimation. Chem. Eng. J. Adv. 2023, 16, 100520. [Google Scholar] [CrossRef]
- De Araujo, C.M.B.; Ghislandi, M.G.; Rios, A.G.; da Costa, G.R.B.; do Nascimento, B.F.; Ferreira, A.F.P.; da Motta Sobrinho, M.A.; Rodrigues, A.E. Wastewater treatment using recyclable agar-graphene oxide biocomposite hydrogel in batch and fixed-bed adsorption column: Bench experiments and modeling for the selective removal of organics. Colloids Surf. A Physicochem. Eng. Asp. 2022, 639, 128357. [Google Scholar] [CrossRef]
- González-Delgado, Á.D.; Tejada-Tovar, C.; Villabona-Ortíz, A. Computer-aided Modeling and Evaluation of a Packed Bed for Chromium (vi) Removal Using Residual Biomass of Theobroma cacao L. Chem. Eng. Trans. 2022, 92, 517–522. [Google Scholar] [CrossRef]
- Pereira, S.K.; Kini, S.; Prabhu, B.; Jeppu, G.P. A simplified modelling procedure for adsorption at varying pH conditions using the modified Langmuir–Freundlich isotherm. Appl. Water Sci. 2023, 13, 29. [Google Scholar] [CrossRef]
- Fouad, M.R. Physical characteristics and Freundlich model of adsorption and desorption isotherm for fipronil in six types of Egyptian soil. Curr. Chem. Lett. 2023, 12, 207–216. [Google Scholar] [CrossRef]
- Singh, M.; Hakimabadi, S.G.; Van Geel, P.J.; Carey, G.R.; Pham, A.L.T. Modified competitive Langmuir model for prediction of multispecies PFAS competitive adsorption equilibria on colloidal activated carbon. Sep. Purif. Technol. 2024, 345, 127368. [Google Scholar] [CrossRef]
- Khorshidi, N.; Azadmehr, A.R. Competitive adsorption of Cd (II) and Pb (II) ions from aqueous solution onto Iranian hematite (Sangan mine): Optimum condition and adsorption isotherm study. Desalination Water Treat. 2017, 58, 106–119. [Google Scholar] [CrossRef]
- Nikam, S.; Mandal, D.; Dabhade, P. LDF based parametric optimization to model fluidized bed adsorption of trichloroethylene on activated carbon particles. Particuology 2022, 65, 72–92. [Google Scholar] [CrossRef]
- Virmani, D.; Pandey, H. Comparative Analysis on Effect of Different SVM Kernel Functions for Classification. Lect. Notes Netw. Syst. 2023, 492, 657–670. [Google Scholar] [CrossRef]
- Singh, V.; Nemalipuri, P.; Vitankar, V.; Das, H.C. Multifluid Computational Fluid Dynamics Simulation for Sawdust Gasification inside an Industrial Scale Fluidized Bed Gasifier. Mater. Today Proc. 2023, in press. [Google Scholar] [CrossRef]
- Huang, J.; Zimmerman, A.R.; Chen, H.; Wan, Y.; Zheng, Y.; Yang, Y.; Zhang, Y.; Gao, B. Fixed bed column performance of Al-modified biochar for the removal of sulfamethoxazole and sulfapyridine antibiotics from wastewater. Chemosphere 2022, 305, 135475. [Google Scholar] [CrossRef]
- Vera, M.; Juela, D.M.; Cruzat, C.; Vanegas, E. Modeling and computational fluid dynamic simulation of acetaminophen adsorption using sugarcane bagasse. J. Environ. Chem. Eng. 2021, 9, 105056. [Google Scholar] [CrossRef]
- Juela, D.M. Comparison of the adsorption capacity of acetaminophen on sugarcane bagasse and corn cob by dynamic simulation. Sustain. Environ. Res. 2020, 30, 23. [Google Scholar] [CrossRef]






| Section | Description | Established Criterion |
|---|---|---|
| General | Describes the discretization technique applied for the simulated calculation of the adsorption system | First-order Upwind Discretization Scheme (UDS1) |
| Mass/momentum balance | Establishes the assumptions considered for modeling the system, considering axial dispersion, pressure drop, and flow velocity factors | No axial dispersion No pressure drops Velocity is constant |
| Kinetic model | Allows selection of the mathematical model describing the adsorption rate. | Linear Driving Force (LDF) model |
| Isothermal model | Establishes the mathematical model used to understand the interactions between the adsorbate and the adsorbent during the adsorption process | Langmuir model Freundlich model |
| Energy balance | It is addressed in the established adsorption process | Isothermal system |
| Parameters | Unit | Reference Value |
|---|---|---|
| Bed diameter | m | 1 |
| Bed porosity | m3 void/m3 bed | 0.4 |
| Bulk density | kg/m3 | 400 |
| Total void porosity | m3 void/m3 bed | 0.6 |
| Constant mass transfer coefficient | 1/s | 2.52 × 10−4 |
| Variables | Unit | Ranges | Source |
|---|---|---|---|
| Inlet flow | m3/day | 100, 150, 200, 250 | [32] |
| Bed height | m | 3, 4, 5 | [33] |
| Contaminant | Ciprofloxacin | |||
|---|---|---|---|---|
| Mathematical Model | Parameter Evaluated | BT (min) | ST (min) | Efficiency (%) |
| Freundlich—LDF | 250 m3/day | 148 | 725 | 89.57 |
| 200 m3/day | 210 | 822 | 88.48 | |
| 150 m3/day | 291 | 1014 | 83.29 | |
| 100 m3/day | 438 | 1334 | 76.12 | |
| Langmuir—LDF | 250 m3/day | 148 | 725 | 89.60 |
| 200 m3/day | 210 | 832 | 87.19 | |
| 150 m3/day | 291 | 1036 | 83.33 | |
| 100 m3/day | 438 | 1310 | 76.15 | |
| Contaminant | Acetaminophen | |||
| Freundlich—LDF | 250 m3/day | 148 | 725 | 89.57 |
| 200 m3/day | 187 | 825 | 88.51 | |
| 150 m3/day | 252 | 1047 | 83.29 | |
| 100 m3/day | 425 | 1353 | 76.12 | |
| Langmuir—LDF | 250 m3/day | 148 | 725 | 89.59 |
| 200 m3/day | 187 | 832 | 87.17 | |
| 150 m3/day | 252 | 1043 | 83.31 | |
| 100 m3/day | 425 | 1341 | 76.18 | |
| Contaminant | Ciprofloxacin | |||
|---|---|---|---|---|
| Mathematical Model | Parameter Evaluated | BT (min) | ST (min) | Efficiency (%) |
| Freundlich—LDF | 3 m | 148 | 725 | 89.57 |
| 4 m | 227 | 1326 | 87.50 | |
| 5 m | 252 | 1685 | 83.29 | |
| Langmuir—LDF | 3 m | 148 | 725 | 89.60 |
| 4 m | 227 | 1338 | 87.52 | |
| 5 m | 252 | 1692 | 83.33 | |
| Contaminant | Acetaminophen | |||
| Freundlich—LDF | 3 m | 148 | 725 | 89.57 |
| 4 m | 200 | 1326 | 86.37 | |
| 5 m | 291 | 1685 | 83.29 | |
| Langmuir—LDF | 3 m | 148 | 725 | 89.59 |
| 4 m | 227 | 1338 | 86.39 | |
| 5 m | 252 | 1692 | 83.31 | |
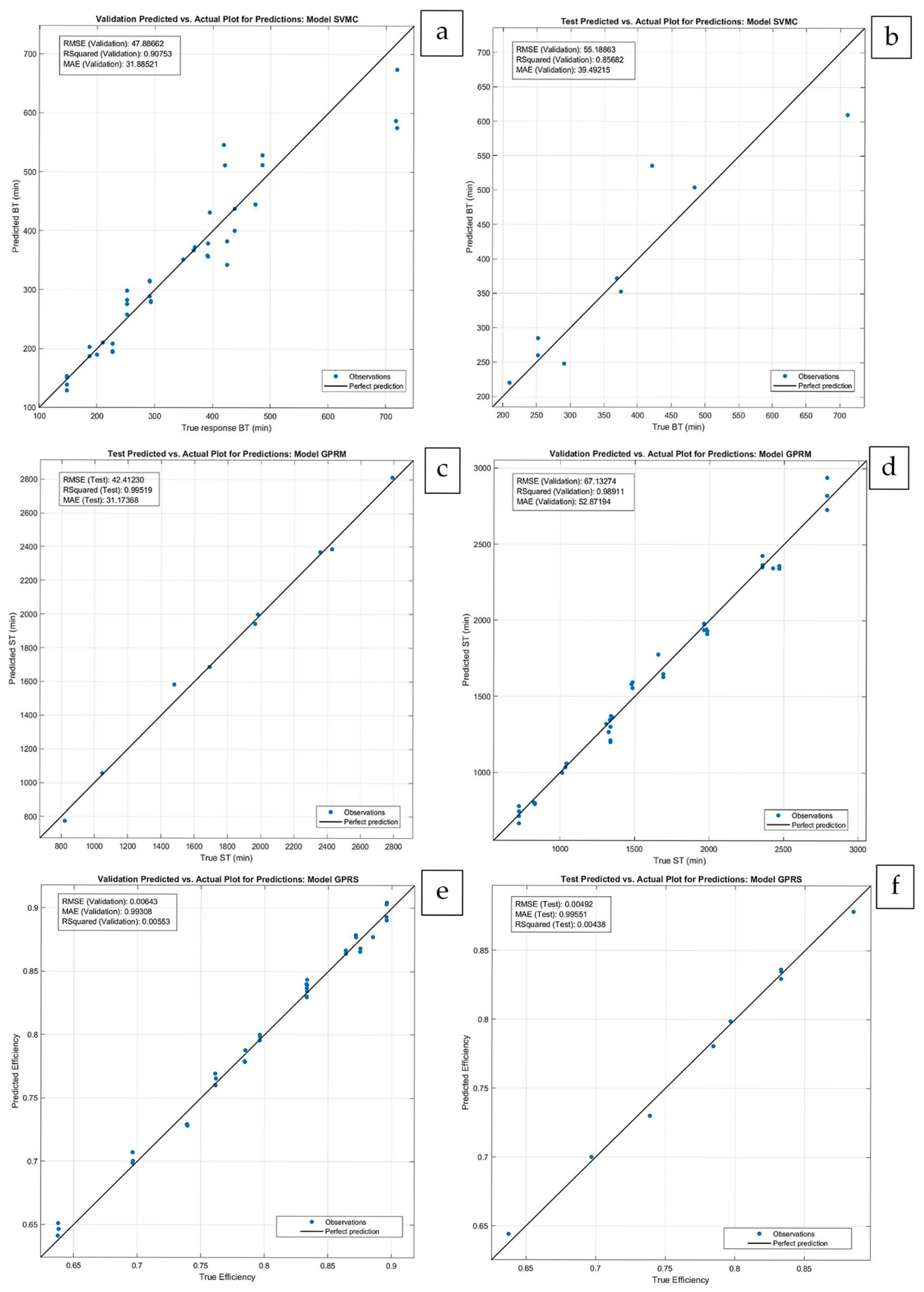
| Response | Model Type | RSquared | RMSE | MAE | |||
|---|---|---|---|---|---|---|---|
| Validation | Test | Validation | Test | Validation | Test | ||
| SVMC | 0.90753 | 0.85682 | 47.88662 | 55.18863 | 31.98521 | 39.49215 | |
| GPRS | 0.98901 | 0.99522 | 67.43840 | 42.24897 | 54.51624 | 27.98275 | |
| GPRS | 0.99308 | 0.99551 | 0.00643 | 0.00492 | 0.00553 | 0.00438 | |
| Parameter | Acetaminophen | Acetaminophen | Acetaminophen/Ciprofloxacin |
|---|---|---|---|
| Adsorbent | Sugarcane bagasse | Sugarcane bagasse/Corn cob | Activated carbon made from banana peel |
| Initial concentration (mg/L) | 57 | 50 | 50 |
| Inlet flow rate (m3/day) | 0.036 | 0.382 | 250 |
| Bed height (m) | 0.43 | 0.23 | 3 |
| Breakthrough time (min) | 15 | 13.97/27.31 | 148 |
| Saturation time (min) | 30 | 33.91/91.03 | 725 |
| Source | [43] | [44] | This study |
Disclaimer/Publisher’s Note: The statements, opinions and data contained in all publications are solely those of the individual author(s) and contributor(s) and not of MDPI and/or the editor(s). MDPI and/or the editor(s) disclaim responsibility for any injury to people or property resulting from any ideas, methods, instructions or products referred to in the content. |
© 2025 by the authors. Licensee MDPI, Basel, Switzerland. This article is an open access article distributed under the terms and conditions of the Creative Commons Attribution (CC BY) license.
Share and Cite
Tejada-Tovar, C.; Villabona-Ortiz, Á.; Coronado-Hernández, O.E.; Haeckermann-Ruiz, E.; Méndez-Anillo, R.D. Assessing Banana-Based Activated Carbon as a Biomaterial for the Adsorption of Drug Metabolites in Wastewater: Simulation of an Industrial-Scale Packed Column. Processes 2026, 14, 129. https://doi.org/10.3390/pr14010129
Tejada-Tovar C, Villabona-Ortiz Á, Coronado-Hernández OE, Haeckermann-Ruiz E, Méndez-Anillo RD. Assessing Banana-Based Activated Carbon as a Biomaterial for the Adsorption of Drug Metabolites in Wastewater: Simulation of an Industrial-Scale Packed Column. Processes. 2026; 14(1):129. https://doi.org/10.3390/pr14010129
Chicago/Turabian StyleTejada-Tovar, Candelaria, Ángel Villabona-Ortiz, Oscar E. Coronado-Hernández, Esmeralda Haeckermann-Ruiz, and Rafael D. Méndez-Anillo. 2026. "Assessing Banana-Based Activated Carbon as a Biomaterial for the Adsorption of Drug Metabolites in Wastewater: Simulation of an Industrial-Scale Packed Column" Processes 14, no. 1: 129. https://doi.org/10.3390/pr14010129
APA StyleTejada-Tovar, C., Villabona-Ortiz, Á., Coronado-Hernández, O. E., Haeckermann-Ruiz, E., & Méndez-Anillo, R. D. (2026). Assessing Banana-Based Activated Carbon as a Biomaterial for the Adsorption of Drug Metabolites in Wastewater: Simulation of an Industrial-Scale Packed Column. Processes, 14(1), 129. https://doi.org/10.3390/pr14010129

