Characterisation of the Overflow Pipe Structure on the Internal Flow Field of a Hydrocyclone
Abstract
1. Introduction
2. Model Description
3. Numerical Method
3.1. Boundary Condition Setting
3.2. Model Validation
4. Discussion of Results
4.1. Static Pressure
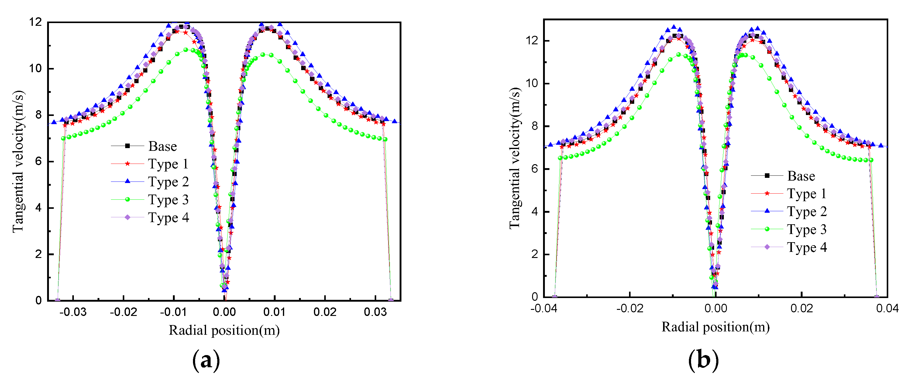
4.2. Tangential Velocity
4.3. Axial Velocity
4.4. Turbulence Intensity
4.5. Circular and Short-Circuit Flows
4.6. Air Columns
5. Conclusions
Author Contributions
Funding
Data Availability Statement
Acknowledgments
Conflicts of Interest
References
- Tripathy, S.K.; Bhoja, S.K.; Kumar, C.R.; Suresh, N. A short review on hydraulic classification and its development in mineral industry. Powder Technol. 2015, 270 Pt A, 205–220. [Google Scholar] [CrossRef]
- Yang, J.; Sun, G.; Zhan, M. Prediction of the maximum-efficiency inlet velocity in cyclones. Powder Technol. 2015, 286, 124–131. [Google Scholar] [CrossRef]
- Zhang, C.; Wei, D.; Cui, B.; Li, T.; Luo, N. Effects of curvature radius on separation behaviors of the hydrocyclone with a tangent-circle inlet. Powder Technol. 2017, 305, 156–165. [Google Scholar] [CrossRef]
- Song, C.; Pei, B.; Jiang, M.; Wang, B.; Xu, D.; Chen, Y. Numerical analysis of forces exerted on particles in cyclone separators. Powder Technol. 2016, 294, 437–448. [Google Scholar] [CrossRef]
- Pukkella, A.K.; Vega-Garcia, D.; Hadler, K.; Cilliers, J. The influence of surface-wall roughness on hydrocyclone performance. Sep. Purif. Technol. 2025, 360, 131109. [Google Scholar] [CrossRef]
- Liu, Y.; Ren, J.; Ma, K.; Li, J.; Fu, P.; Lin, K.; Wang, H. Hydrocyclone-induced classification reduction and spin desorption of contaminated soil remediation with heavy metal and organics. J. Hazard. Mater. 2024, 480, 136456. [Google Scholar] [CrossRef] [PubMed]
- Yuan, S.; Sun, G.; Xiao, L.; Sun, J.; Qian, Z.; Cao, G. Experimental and numerical study of maximum efficiency vortex finder insertion depth of a Stairmand cyclone. Particuology 2024, 95, 343–355. [Google Scholar] [CrossRef]
- Zhu, H.P.; Zhou, Z.Y.; Yang, R.Y.; Yu, A.B. Discrete particle simulation of particulate systems: Theoretical developments. Chem. Eng. Sci. 2007, 302, 3378–3396. [Google Scholar] [CrossRef]
- Pérez, D.; Cornejo, P.; Rodríguez, C.; Concha, F. Transition from spray to roping in hydrocyclones. Miner. Eng. 2018, 123, 71–84. [Google Scholar] [CrossRef]
- Zubrik, A.; Hredzak, S.; Turcaniova, L.; Lovás, M.; Bergmann, I.; Becker, K.D.; Lukčová, M.; Šepelák, V. Distribution of inorganic and organic substances in the hydrocyclone separated Slovak sub-bituminous coal. Fuel 2010, 89, 2126–2132. [Google Scholar] [CrossRef]
- Zhao, Q.; Cui, B.; Wei, D.; Song, T.; Feng, Y. Numerical analysis of the flow field and separation performance in hydrocyclones with different vortex finder wall thickness. Powder Technol. 2019, 345, 478–491. [Google Scholar] [CrossRef]
- Milin, L.; Hsieh, K.T.; Rajamani, R.K. The leakage mechanisms in the hydrocyclone. Miner. Eng. 1992, 5, 779–794. [Google Scholar] [CrossRef]
- Hwang, K.J.; Wu, W.H.; Qian, S.; Nagase, Y. CFD study on the effect of hydrocyclone structure on the separation efficiency of fine particles. Sep. Sci. Technol. 2008, 43, 3777–3797. [Google Scholar] [CrossRef]
- Lim, E.W.; Chen, Y.R.; Wang, C.H.; Wu, R.M. Experimental and computational studies of multiphase hydrodynamics in a hydrocyclone separator system. Chem. Eng. Sci. 2010, 65, 6415–6424. [Google Scholar] [CrossRef]
- Qian, F.P.; Zhang, M.Y. Effects of the inlet section angle on the separation performance of a cyclone. Chem. Eng. Res. Des. 2010, 5, 1564–1570. [Google Scholar] [CrossRef]
- Tang, B.; Xu, Y.; Song, X.; Sun, Z.; Yu, J. Numerical study on the relationship between high sharpness and configurations of the vortex finder of a hydrocyclone by central composite design. Chem. Eng. J. 2015, 278, 504–516. [Google Scholar] [CrossRef]
- Li, F.; Liu, P.; Yang, X.; Zhang, Y.; Li, X.; Jiang, L.; Wang, H.; Fu, W. Purification of granular sediments from wastewater using a novel hydrocyclone. Powder Technol. 2021, 393, 751–763. [Google Scholar] [CrossRef]
- Tian, J.; Ni, L.; Song, T.; Olson, J.; Zhao, J. An overview of operating parameters and conditions in hydrohydrocyclones for enhanced separations. Sep. Purif. Technol. 2018, 206, 268–285. [Google Scholar] [CrossRef]
- Bradley, D.A. The Hydrohydrocyclone; Pergamon Press: Oxford, UK, 1965. [Google Scholar]
- Yang, L.; Tian, J.L.; Yang, Z.; Li, Y.; Fu, C.H.; Zhu, Y.H.; Pang, X.L. Numerical analysis of non-Newtonian rheology effect on hydrohydrocyclone flow field. Petroleum 2015, 1, 68–74. [Google Scholar] [CrossRef]
- Hsieh, K.T.; Rajamani, K. Phenomenological model of hydrohydrocyclone: Model development and verification for single-phase flow. Int. J. Miner. Process. 1988, 22, 223–237. [Google Scholar] [CrossRef]
- Rietema, K. Performance and design of hydrohydrocyclones-II Pressure drop in the hydrocyclone. Chem. Eng. Sci. 1961, 15, 320–325. [Google Scholar] [CrossRef]
- Ghodrat, M.; Kuang, S.B.; Yu, A.B.; Vince, A.; Barnett, G.D.; Barnett, P.J. Numerical analysis of hydrohydrocyclones with different conical section designs. Miner. Eng. 2014, 62, 74–84. [Google Scholar] [CrossRef]
- Kuang, S.B.; Chu, K.W.; Yu, A.B.; Vince, A. Numerical study of liquid-gas-solid flow in classifying hydrohydrocyclones: Effect of feed solids concentration. Miner. Eng. 2021, 31, 17–31. [Google Scholar] [CrossRef]
- Delgadillo, J.A.; Rajamani, R.K. Exploration of hydrohydrocyclone designs using computational fluid dynamics. Int. J. Miner. Process. 2007, 84, 252–261. [Google Scholar] [CrossRef]
- Cui, B.Y.; Wei, D.Z.; Gao, S.L.; Liu, W.G.; Feng, Y.Q. Numerical and experimental studies of flowfield in hydrohydrocyclone with air core. Trans. Nonferrous Met. Soc. China 2014, 24, 2642–2649. [Google Scholar] [CrossRef]
- Yu, A.B.; Standish, N. A study of particle size distributions. Powder Technol. 1990, 62, 101–118. [Google Scholar] [CrossRef]
- Zhang, Y.; Ge, J.; Liu, Z.; Yao, J.; Li, G.; Li, Z.; Liu, M.; Zhao, J. Research progress on the detection of circulating tumor cells by in vivo flow cytometry. Opt. Lasers Eng. 2025, 186, 108731. [Google Scholar] [CrossRef]
- Ye, Q.; Kuang, S.; Duan, P.; Zou, R.; Yu, A. Fast prediction and control of air core in hydrocyclone by machine learning to stabilize operations. J. Environ. Chem. Eng. 2024, 12, 111699. [Google Scholar] [CrossRef]













| Parameter | Value |
|---|---|
| Diameter of the body | 75 mm |
| Inlet size | 25 mm |
| Vortex finder diameter | 25 mm |
| Vortex finder length | 75 mm |
| Diameter of apex | 15 mm |
| Cone angle | 20° |
| Length of cylindrical part | 120 mm |
| Length of conical part | 170 mm |
| Control equation for Type 1 | |
| Control equation for Type 2 | |
| Control equation for Type 3 | |
| Control equation for Type 4 |
| Mesh Number (×103) | Pressure Drop (kPa) |
|---|---|
| 150 | 55 |
| 180 | 53 |
| 230 | 50 |
| 260 | 45 |
| 300 | 45 |
| 320 | 45 |
Disclaimer/Publisher’s Note: The statements, opinions and data contained in all publications are solely those of the individual author(s) and contributor(s) and not of MDPI and/or the editor(s). MDPI and/or the editor(s) disclaim responsibility for any injury to people or property resulting from any ideas, methods, instructions or products referred to in the content. |
© 2025 by the authors. Licensee MDPI, Basel, Switzerland. This article is an open access article distributed under the terms and conditions of the Creative Commons Attribution (CC BY) license (https://creativecommons.org/licenses/by/4.0/).
Share and Cite
Wang, Y.; Li, P.; Liang, Z.; Yang, H.; Li, F. Characterisation of the Overflow Pipe Structure on the Internal Flow Field of a Hydrocyclone. Processes 2025, 13, 248. https://doi.org/10.3390/pr13010248
Wang Y, Li P, Liang Z, Yang H, Li F. Characterisation of the Overflow Pipe Structure on the Internal Flow Field of a Hydrocyclone. Processes. 2025; 13(1):248. https://doi.org/10.3390/pr13010248
Chicago/Turabian StyleWang, Yanchao, Peiyang Li, Zhitao Liang, Huanbo Yang, and Feng Li. 2025. "Characterisation of the Overflow Pipe Structure on the Internal Flow Field of a Hydrocyclone" Processes 13, no. 1: 248. https://doi.org/10.3390/pr13010248
APA StyleWang, Y., Li, P., Liang, Z., Yang, H., & Li, F. (2025). Characterisation of the Overflow Pipe Structure on the Internal Flow Field of a Hydrocyclone. Processes, 13(1), 248. https://doi.org/10.3390/pr13010248

