Study on the Effectiveness of Okra as an Environmentally Friendly and Economical Lubricant for Drilling Fluid
Abstract
1. Introduction
2. Materials and Methods
2.1. Materials
2.2. Drilling Fluids Properties Evaluation
2.3. Particle Distribution Experiment
2.4. Mechanism Analysis Characterization
2.4.1. TGA and SEM
2.4.2. Fourier Transform Infrared Analysis (FT-IR)
2.4.3. Contact Angle Test
3. Results and Commentary
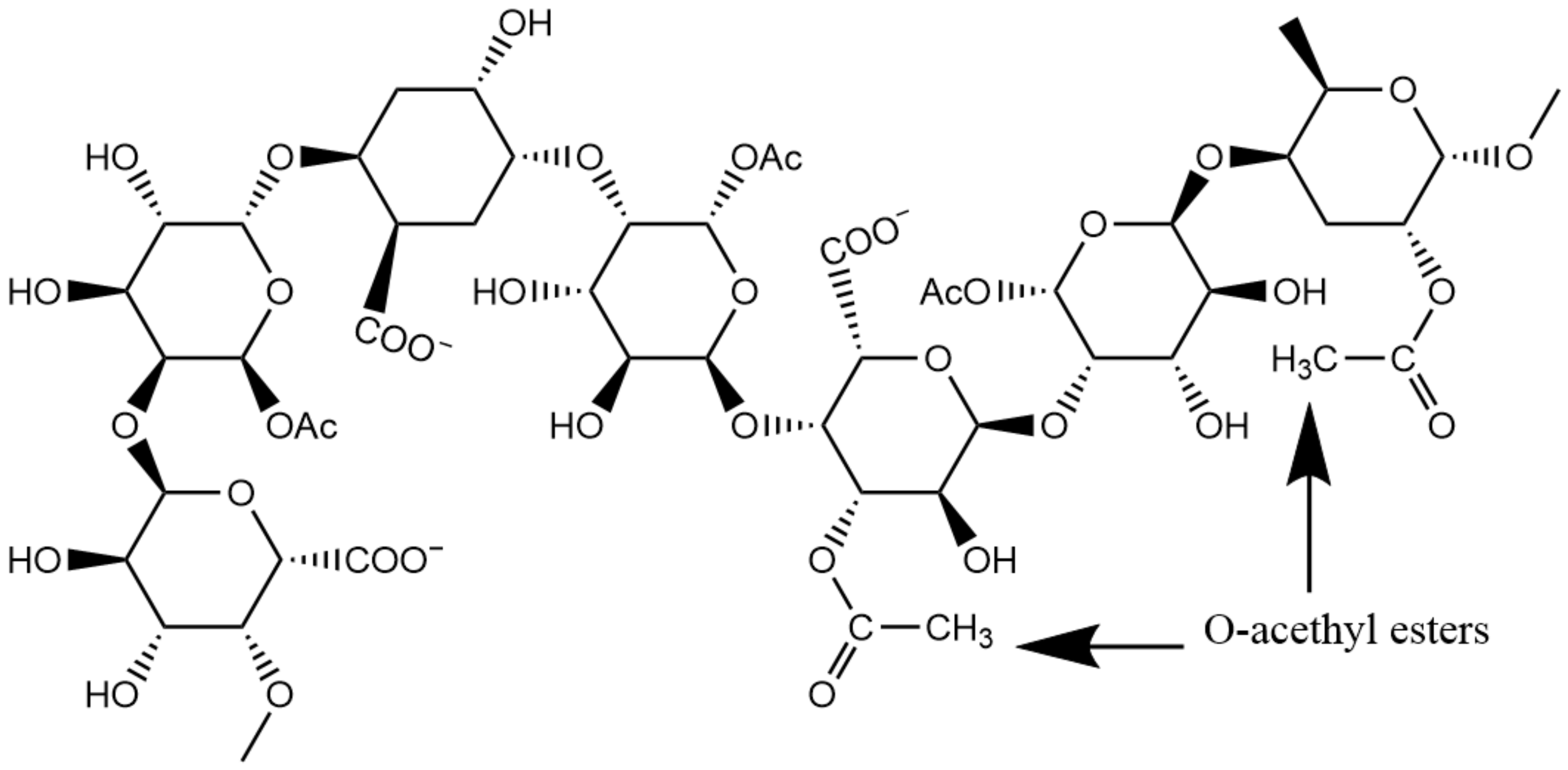
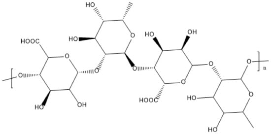
3.1. Chemicals in Okra
3.2. Performance Evaluation of Okra Slurry
3.3. Particle Distribution
3.4. Mechanism
3.4.1. Scanning Electron Microscopy
3.4.2. Fourier Transform Infrared
3.4.3. Thermogravimetric Analysis
3.4.4. Contact Angle Analysis
3.4.5. Economic Analysis
4. Conclusions
Author Contributions
Funding
Data Availability Statement
Acknowledgments
Conflicts of Interest
References
- Kaiser, M.J. Indices describe complexity of drilling directional, extended-reach wells. Oil Gas J. 2007, 105, 46+48+50–52. [Google Scholar]
- Qin, G.; Xu, M.; He, M.; Chen, K. Synergistic effect of polyaspartate and polyethylene glycol on lubrication performance of the water-based drilling mud. ACS Omega 2021, 6, 13817–13830. [Google Scholar] [CrossRef]
- Wang, Q.; Slaný, M.; Gu, X.; Miao, Z.; Du, W.; Zhang, J.; Gang, C. Lubricity and rheological properties of highly dispersed graphite in clay-water-based drilling fluids. Materials 2022, 15, 1083. [Google Scholar] [CrossRef]
- Lathi, P.S.; Mattiasson, B. Green approach for the preparation of biodegradable lubricant base stock from epoxidized vegetable oil. Appl. Catal. B Environ. 2007, 69, 207–212. [Google Scholar] [CrossRef]
- Medved, I.; Gaurina-Međimurec, N.; Novak Mavar, K.; Mijić, P. Waste mandarin peel as an eco-friendly water-based drilling fluid additive. Energies 2022, 15, 2591. [Google Scholar] [CrossRef]
- Bergstra, R. Green means go. Lubes-N-Greases 2004, 10, 36–38. [Google Scholar]
- Mallick, R.; Kumar, R.; Panda, A.; Sahoo, A.K. Current status of hard turning in manufacturing: Aspects of cooling strategy and sustainability. Lubricants 2023, 11, 108. [Google Scholar] [CrossRef]
- Ikram, R.; Mohamed Jan, B.; Sidek, A.; Kenanakis, G. Utilization of eco-friendly waste generated nanomaterials in water-based drilling fluids; state of the art review. Materials 2021, 14, 4171. [Google Scholar] [CrossRef] [PubMed]
- Ma, J.; Xu, J.; Pang, S.; Zhou, W.; Xia, B.; An, Y. Novel environmentally friendly lubricants for drilling fluids applied in shale formation. Energy Fuels 2021, 35, 8153–8162. [Google Scholar] [CrossRef]
- Wang, Z.-L.; Sun, J.-S.; Liu, J.-P.; Lv, K.-H.; Shao, Z.-H.; Zhang, X.-F.; Xu, Z.; Dai, Z.-W.; Huang, N. Synthesis and mechanism of environmentally friendly high temperature and high salt resistant lubricants. Pet. Sci. 2023, 20, 3110–3118. [Google Scholar] [CrossRef]
- Movahedi, H.; Farahani, M.V.; Jamshidi, S. Application of Hydrated Basil Seeds (HBS) as the herbal fiber on hole cleaning and filtration control. J. Pet. Sci. Eng. 2017, 152, 212–228. [Google Scholar] [CrossRef]
- Wang, Q.; Li, Y.; Huang, F.; Song, S.; Ai, G.; Xin, X.; Zhao, B.; Zheng, Y.; Zhang, Z. Recent advances in g-C3N4-based materials and their application in energy and environmental sustainability. Molecules 2023, 28, 432. [Google Scholar] [CrossRef] [PubMed]
- Sheu, S.-C.; Lai, M.-H. Composition analysis and immuno-modulatory effect of okra (Abelmoschus esculentus L.) extract. Food Chem. 2012, 134, 1906–1911. [Google Scholar] [CrossRef] [PubMed]
- Farahani, M.V.; Shams, R.; Jamshidi, S. A robust modeling approach for predicting the rheological behavior of thixotropic fluids. In Proceedings of the 80th EAGE Conference and Exhibition 2018, Copenhagen, Denmark, 10 June–15 July 2018; pp. 1–5. [Google Scholar]
- Adelakun, O.; Ade-Omowaye, B.; Adeyemi, I.; Venter, M.v.d. Functional properties and mineral contents of a Nigerian okra seed (Abelmoschus esculentus Moench) flour as influenced by pretreatments. J. Food Technol. 2010, 8, 39–45. [Google Scholar] [CrossRef]
- Georgiadis, N.; Ritzoulis, C.; Sioura, G.; Kornezou, P.; Vasiliadou, C.; Tsioptsias, C. Contribution of okra extracts to the stability and rheology of oil-in-water emulsions. Food Hydrocoll. 2011, 25, 991–999. [Google Scholar] [CrossRef]
- Alba, K. Isolation, Characterization and Functional Properties of Okra Pectin; University of Huddersfield: Huddersfield, UK, 2015. [Google Scholar]
- Ndjouenkeu, R.; Goycoolea, F.; Morrisa, E.; Akingbala, J. Rheology of okra (Hibiscus esculentus L.) and dika nut (Irvingia gabonensis) polysaccharides. Carbohydr. Polym. 1996, 29, 263–269. [Google Scholar] [CrossRef]
- Bemiller, J.N.; Whistler, R.L.; Barkalow, D.G.; Chen, C.-C. Aloe, chia, flaxseed, okra, psyllium seed, quince seed, and tamarind gums. In Industrial Gums; Elsevier: Amsterdam, The Netherlands, 1993; pp. 227–256. [Google Scholar]
- Sharma, N.; Kulkarni, G.T.; Sharma, A.; Bhatnagar, A.; Kumar, N. Natural mucoadhesive microspheres of Abelmoschus esculentus polysaccharide as a new carrier for nasal drug delivery. J. Microencapsul. 2013, 30, 589–598. [Google Scholar] [CrossRef]
- Kanlayavattanakul, M.; Rodchuea, C.; Lourith, N. Moisturizing effect of alcohol-based hand rub containing okra polysaccharide. Int. J. Cosmet. Sci. 2012, 34, 280–283. [Google Scholar] [CrossRef]
- Murtaza, M.; Ahmad, H.M.; Zhou, X.; Al-Shehri, D.; Mahmoud, M.; Kamal, M.S. Okra mucilage as environment friendly and non-toxic shale swelling inhibitor in water based drilling fluids. Fuel 2022, 320, 123868. [Google Scholar] [CrossRef]
- GB/T 16783.1-2006; Oil and Gas Industry, On Site Testing of Drilling Fluids, Part 1. Water Based Drilling Fluids. China Standards: Beijing, China, 2006.
- SY/T 6094-1994; Evaluation Procedure for Lubricants Used in Drilling Fluids. China Standards: Beijing, China, 1995.
- Yin, X.; Zhang, L.; Li, Z. Studies on new ampholytic cellulose derivative as clay-hydration inhibitor in oil field drilling fluid. J. Appl. Polym. Sci. 1998, 70, 921–926. [Google Scholar] [CrossRef]
- Saikia, T.; Mahto, V. Experimental investigations of clathrate hydrate inhibition in water based drilling fluid using green inhibitor. J. Pet. Sci. Eng. 2016, 147, 647–653. [Google Scholar] [CrossRef]
- Li, Y.; Liu, J.; Li, W.; Dou, M.; Ma, L.; Wang, Q.; Zhao, B.; Chen, G. Enhanced sorption for the oil spills by SDS-modified rice straw. Gels 2023, 9, 285. [Google Scholar] [CrossRef]
- Bhat, U.R.; Tharanathan, R. Functional properties of okra (Hibiscus esculentus) mucilage. Starch-Stärke 1987, 39, 165–167. [Google Scholar] [CrossRef]
- Akkouche, A.; Benmounah, A.; Gueciouer, A.; Chalah, K. Valorization of mixed metal hydroxide on Algerian Na-Bentonite suspensions: Application to water-based drilling fluid. Egypt. J. Pet. 2020, 29, 127–131. [Google Scholar] [CrossRef]
- Sengkhamparn, N.; Verhoef, R.; Schols, H.A.; Sajjaanantakul, T.; Voragen, A.G. Characterisation of cell wall polysaccharides from okra (Abelmoschus esculentus (L.) Moench). Carbohydr. Res. 2009, 344, 1824–1832. [Google Scholar] [CrossRef]
- Zhang, B.; Wang, Q.; Du, W.; Li, Y.; Zhang, J.; Zhang, J.; Matejdes, M.; Slaný, M.; Gang, C. Multi-mixed metal hydroxide as a strong stratigraphic nanoclay inhibitor in solid-free drilling fluid. Nanomaterials 2022, 12, 3863. [Google Scholar] [CrossRef]
- Ahmed, H.M.; Kamal, M.S.; Al-Harthi, M. Polymeric and low molecular weight shale inhibitors: A review. Fuel 2019, 251, 187–217. [Google Scholar] [CrossRef]
- Luo, Z.; Wang, L.; Yu, P.; Chen, Z. Experimental study on the application of an ionic liquid as a shale inhibitor and inhibitive mechanism. Appl. Clay Sci. 2017, 150, 267–274. [Google Scholar] [CrossRef]
- Li, Y.; Wang, Y.; Wang, Q.; Liu, Z.; Tang, L.; Liang, L.; Zhang, C.; Li, Q.; Xu, N.; Sun, J. Achieving the super gas-wetting alteration by functionalized nano-silica for improving fluid flowing capacity in gas condensate reservoirs. ACS Appl. Mater. Interfaces 2021, 13, 10996–11006. [Google Scholar] [CrossRef]
- Zang, Y.; Liu, G.; Ji, W.; Li, Y.; Chen, G. Resource utilization of expired progesterone medicines as flow improver for waxy crude oils. J. Environ. Manag. 2024, 349, 119524. [Google Scholar] [CrossRef]









| Dosage/% | AV/mPa·s | AV Err | PV/mPa·s | PV Err | YP/Pa | YP Err | YP/PV | YP/PV Err | FL(API)/mL | FL Err |
|---|---|---|---|---|---|---|---|---|---|---|
| 0.0 | 15.2 | 0.6 | 10.7 | 1.5 | 4.5 | 1.0 | 0.4 | 0.2 | 32.6 | 0.9 |
| 0.5 | 14.8 | 0.8 | 10.7 | 1.2 | 4.2 | 0.8 | 0.4 | 0.1 | 26.3 | 0.4 |
| 1.0 | 16.0 | 0.5 | 12.3 | 0.6 | 3.7 | 0.3 | 0.3 | 0.0 | 24.6 | 0.2 |
| 1.5 | 17.2 | 0.3 | 12.7 | 1.2 | 4.5 | 0.9 | 0.4 | 0.1 | 23.1 | 0.6 |
| 2.0 | 20.2 | 0.8 | 14.7 | 2.5 | 5.5 | 1.8 | 0.4 | 0.2 | 20.3 | 0.3 |
| 2.5 | 23.0 | 1.0 | 15.3 | 2.9 | 7.7 | 2.1 | 0.5 | 0.2 | 19.6 | 0.2 |
| Treatment 25 °C | Mean (μm) | Mean (μm) Err | Median (μm) | Median (μm) Err |
|---|---|---|---|---|
| Water-treated | 55.32 | 0.3 | 39.76 | 0.5 |
| 2.5% Okra slurry-treated | 49.62 | 0.4 | 38.23 | 0.4 |
| Classification | Product | Price (USD/t) |
|---|---|---|
| Okra lubricant | Abelmoschus esculentus (L.) Moench | 640 |
| Synthetic lubricants | Synthol 1500, ClearLube 2000 | 430–850 |
| Vegetable oil-based lubricants | EcoLube 500, BioLube 3000 | 350–770 |
| Mineral oil-based lubricants | DrillFluid 1000, PetroLube 1500 | 250–430 |
| Polymer-based lubricants | PolyLube 2000, ViscoLube 3000 | 360–720 |
| Natural clay-based lubricant | ClayLube 500, Bentonite Gel 1000 | 150–300 |
| Bio-based lubricants | BioLube 4000, EcoLube 6000 | 430–730 |
Disclaimer/Publisher’s Note: The statements, opinions and data contained in all publications are solely those of the individual author(s) and contributor(s) and not of MDPI and/or the editor(s). MDPI and/or the editor(s) disclaim responsibility for any injury to people or property resulting from any ideas, methods, instructions or products referred to in the content. |
© 2024 by the authors. Licensee MDPI, Basel, Switzerland. This article is an open access article distributed under the terms and conditions of the Creative Commons Attribution (CC BY) license (https://creativecommons.org/licenses/by/4.0/).
Share and Cite
He, H.; Chang, X.; Sun, Y.; Xue, L.; Bai, B.; Chen, G. Study on the Effectiveness of Okra as an Environmentally Friendly and Economical Lubricant for Drilling Fluid. Processes 2024, 12, 2417. https://doi.org/10.3390/pr12112417
He H, Chang X, Sun Y, Xue L, Bai B, Chen G. Study on the Effectiveness of Okra as an Environmentally Friendly and Economical Lubricant for Drilling Fluid. Processes. 2024; 12(11):2417. https://doi.org/10.3390/pr12112417
Chicago/Turabian StyleHe, Huifeng, Xiaofeng Chang, Yan Sun, Le Xue, Bingbing Bai, and Gang Chen. 2024. "Study on the Effectiveness of Okra as an Environmentally Friendly and Economical Lubricant for Drilling Fluid" Processes 12, no. 11: 2417. https://doi.org/10.3390/pr12112417
APA StyleHe, H., Chang, X., Sun, Y., Xue, L., Bai, B., & Chen, G. (2024). Study on the Effectiveness of Okra as an Environmentally Friendly and Economical Lubricant for Drilling Fluid. Processes, 12(11), 2417. https://doi.org/10.3390/pr12112417

