Co-Gelatinization Modification of Iodine–Starch and Its Performance in Drilling Fluid
Abstract
1. Introduction
2. Experimental Materials and Procedures
2.1. Reagents and Raw Materials
2.2. Screening of the Optimal Starch
2.3. Screening of the Optimal ITS
2.4. Evaluation of Drilling Fluid
2.5. Linear Swelling
2.6. Compatibility Evaluation
2.7. Evaluation of Salt-Resistance Performance
2.8. Mud-Ball Experiment
2.9. Fourier-Transform Infrared (FTIR) Spectroscopy
2.10. Particle Size Distribution Measurement
2.11. Scanning Electron Microscopy (SEM) and Thermal Analysis
2.12. Environmental Protection Evaluation
3. Results and Discussion
3.1. Screening of Optimal Gelatinized Starch
3.2. Screening of ITS Complex with the Best Performance
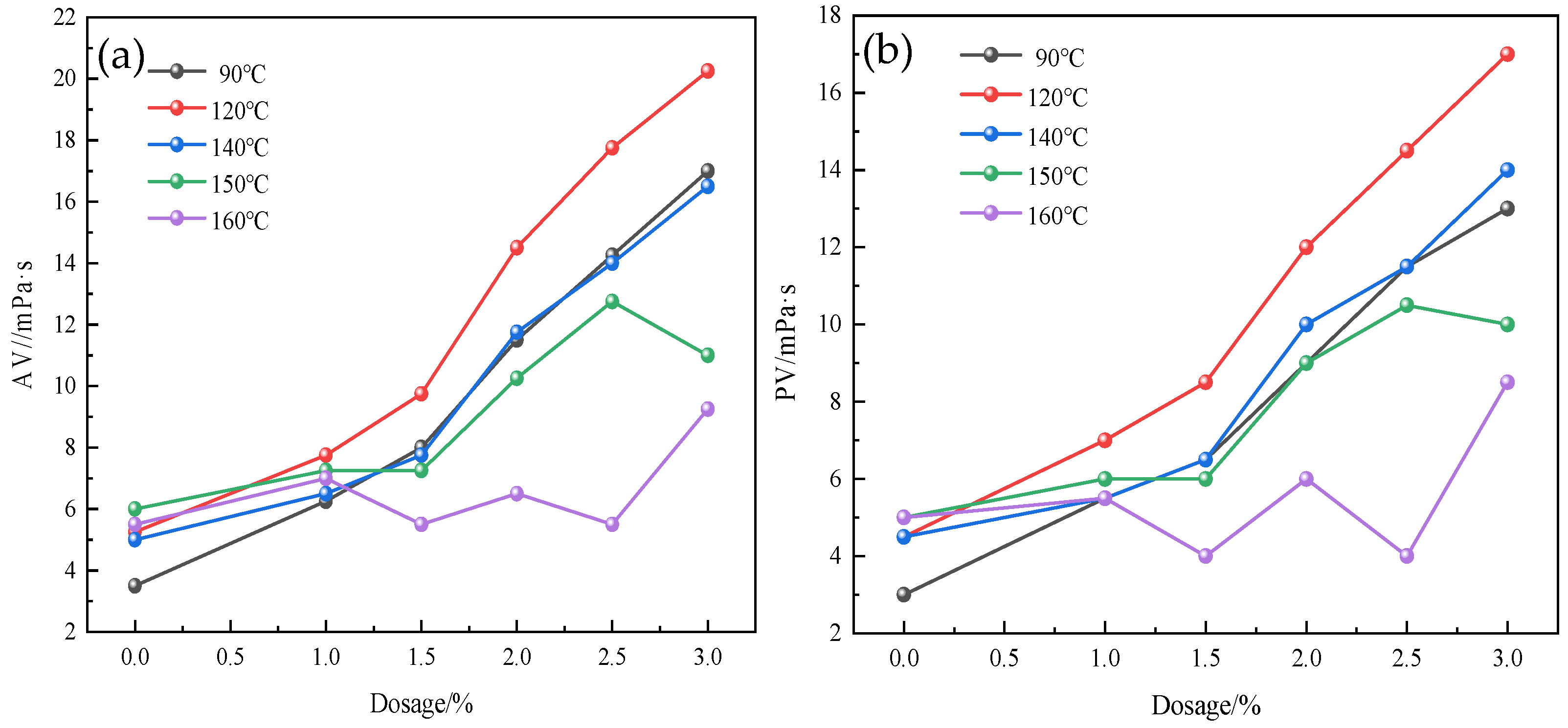
3.3. Effect of Modification Methods on ITS Drilling Fluid
3.4. Linear Expansion of Bentonite
3.5. Mud-Ball Experiment
3.6. Compatibility Evaluation
3.7. Evaluation of Salt-Resistance Performance
3.8. FTIR Analysis
3.9. Particle Size Distribution of Bentonite
3.10. SEM
3.11. TGA
3.12. Environmental Evaluation
3.13. Mechanisms
4. Conclusions
- (1)
- ITS exhibits excellent temperature resistance at a dosage of 2.5%, reaching 150 °C, which is superior to traditional polymers (PS) and modified starch (CS).
- (2)
- At 140 °C, ITS effectively increased the viscosity of drilling fluid and significantly reduced filtration losses, meeting the technical requirements of oilfield drilling.
- (3)
- ITS effectively inhibited the hydration and dispersion of bentonite, and the linear swelling rate of 1.0% ITS solution at 120 min was 10.85%. Compared with 4.0% KCl, the 1.0% ITS solution reduced by 76.00%. It improved the overall performance of drilling fluid.
- (4)
- Research on temperature-resistance mechanism: The temperature-resistance mechanism of ITS was analyzed by FTIR, particle size analysis, SEM, and TGA, revealing that modified starch provides multiple adsorption sites on the surface of bentonite, increasing adsorption efficiency and reducing filtration losses.
Author Contributions
Funding
Data Availability Statement
Acknowledgments
Conflicts of Interest
References
- Zhu, W.; Zheng, X.; Shi, J.; Wang, Y. Grafted Starch Foam Stabilizer ESt-g-NAA for High-Temperature Resistant CGA Drilling Fluid via Inverse Emulsion Polymerization. Starch-Starke 2021, 73, 2000240. [Google Scholar] [CrossRef]
- Wang, Q.D.; Slany, M.; Gu, X.F.; Miao, Z.P.; Du, W.C.; Zhang, J.; Gang, C. Lubricity and Rheological Properties of Highly Dispersed Graphite in Clay-Water-Based Drilling Fluids. Materials 2022, 15, 1083. [Google Scholar] [CrossRef] [PubMed]
- Ilyushin, Y.V.; Fetisov, V. Experience of virtual commissioning of a process control system for the production of high-paraffin oil. Sci. Rep. 2022, 12, 18415. [Google Scholar] [CrossRef] [PubMed]
- Wu, Y.; You, F.; Hou, S.; Zhou, S. Study of a novel cross linked graft copolymer starch in water-based drilling fluid. Mater. Res. Express 2023, 10, 055501. [Google Scholar] [CrossRef]
- Kong, X.; Chen, M.; Zhang, C.; Liu, Z.; Jin, Y.; Wang, X.; Liu, M.; Li, S. Optimization of High Temperature-Resistant Modified Starch Polyamine Anti-Collapse Water-Based Drilling Fluid System for Deep Shale Reservoir. Molecules 2022, 27, 8936. [Google Scholar] [CrossRef]
- Ahmad, M.; Ali, I.; Bins Safri, M.S.; Bin Mohammad Faiz, M.A.I.; Zamir, A. Synergetic Effects of Graphene Nanoplatelets/Tapioca Starch on Water-Based Drilling Muds: Enhancements in Rheological and Filtration Characteristics. Polymers 2021, 13, 2655. [Google Scholar] [CrossRef]
- Apaleke, A.S.; Al-Majed, A.; Hossain, M.E. Drilling fluid: State of the art and future trend. In Proceedings of the SPE North Africa Technical Conference and Exhibition, Cairo, Egypt, 20–22 February 2012; p. SPE-149555-MS. [Google Scholar]
- Ashogbon, A.O. Dual modification of various starches: Synthesis, properties and applications. Food Chem. 2021, 342, 128325. [Google Scholar] [CrossRef]
- Zhong, H.; Kong, X.; Chen, S.; Grady, B.P.; Qiu, Z. Preparation, characterization and filtration control properties of crosslinked starch nanospheres in water-based drilling fluids. J. Mol. Liq. 2021, 325, 115221. [Google Scholar] [CrossRef]
- Talukdar, P.; Gogoi, S.B. A study on the role of pre-gelatinized starch (PGS) in the non damaging drilling fluid (NDDF) for the Tipam sand of Geleki oilfield of upper Assam Basin. Int. J. Appl. Sci. Biotechnol. 2015, 3, 291–300. [Google Scholar] [CrossRef]
- Davoodi, S.; Al-Shargabi, M.; Wood, D.A.; Minaev, K.M.; Rukavishnikov, V.S. Modified-starch applications as fluid-loss reducers in water-based drilling fluids: A review of recent advances. J. Clean. Prod. 2023, 434, 140430. [Google Scholar] [CrossRef]
- Li, X.; Jiang, G.; He, Y.; Chen, G. Novel starch composite fluid loss additives and their applications in environmentally friendly water-based drilling fluids. Energy Fuels 2021, 35, 2506–2513. [Google Scholar] [CrossRef]
- Elkatatny, S. Enhancing the Rheological Properties of Water-Based Drilling Fluid Using Micronized Starch. Arab. J. Sci. Eng. 2019, 44, 5433–5442. [Google Scholar] [CrossRef]
- Jiang, G.; Peng, S.; Li, X.; Yang, L.; Soares, J.B.P.; Li, G. Preparation of amphoteric starch-based flocculants by reactive extrusion for removing useless solids from water-based drilling fluids. Colloids Surf. A-Physicochem. Eng. Asp. 2018, 558, 343–350. [Google Scholar] [CrossRef]
- Amanullah, M.; Yu, L. Environment friendly fluid loss additives to protect the marine environment from the detrimental effect of mud additives. J. Pet. Sci. Eng. 2005, 48, 199–208. [Google Scholar] [CrossRef]
- Dias, F.; Souza, R.; Lucas, E. Influence of modified starches composition on their performance as fluid loss additives in invert-emulsion drilling fluids. Fuel 2015, 140, 711–716. [Google Scholar] [CrossRef]
- Rendleman Jr, J.A. The reaction of starch with iodine vapor. Determination of iodide-ion content of starch–iodine complexes. Carbohydr. Polym. 2003, 51, 191–202. [Google Scholar] [CrossRef]
- Afolabi, R.O.; Orodu, O.D.; Efeovbokhan, V.E. Properties and application of Nigerian bentonite clay deposits for drilling mud formulation: Recent advances and future prospects. Appl. Clay Sci. 2017, 143, 39–49. [Google Scholar] [CrossRef]
- Du, W.; Slany, M.; Wang, X.; Chen, G.; Zhang, J. The Inhibition Property and Mechanism of a Novel Low Molecular Weight Zwitterionic Copolymer for Improving Wellbore Stability. Polymers 2020, 12, 708. [Google Scholar] [CrossRef]
- GB/T 16783.1-2014; Oil and Gas Industry, On Site Testing of Drilling Fluids—Part 1: Water Based Drilling Fluids. Sinopec Shengli Petroleum Management Bureau Drilling Technology Research Institute: Tianjin, China, 2014.
- SY/T 6335-1997; Evaluation Method for Shale Inhibitors Used in Drilling Fluids. Drilling Institute of Petroleum Exploration and Development Science Research Institute: Beijing, China, 1997; 10P.;A14.
- Medhi, S.; Chowdhury, S.; Dehury, R.; Khaklari, G.H.; Puzari, S.; Bharadwaj, J.; Talukdar, P.; Sangwai, J.S. Comprehensive Review on the Recent Advancements in Nanoparticle-Based Drilling Fluids: Properties, Performance, and Perspectives. Energy Fuels 2024, 38, 13455–13513. [Google Scholar] [CrossRef]
- Li, Z.; Xiang, C. Experimental investigation of a new weak-gel-type clay-free and water-based drilling fluid with high-temperature and high-salt resistance for determining its optimized formulation. Energy Sources Part A Recovery Util. Environ. Eff. 2024, 46, 7928–7945. [Google Scholar] [CrossRef]
- Sun, J.-S.; Wang, Z.-L.; Liu, J.-P.; Lv, K.-H.; Zhang, F.; Shao, Z.-H.; Dong, X.-D.; Dai, Z.-W.; Zhang, X.-F. Notoginsenoside as an environmentally friendly shale inhibitor in water-based drilling fluid. Pet. Sci. 2022, 19, 608–618. [Google Scholar] [CrossRef]
- Verma, S.K.; Deb, M.K. Nondestructive and rapid determination of nitrate in soil, dry deposits and aerosol samples using KBr-matrix with diffuse reflectance Fourier transform infrared spectroscopy (DRIFTS). Anal. Chim. Acta 2007, 582, 382–389. [Google Scholar] [CrossRef]
- Tian, Y.; Liu, X.; Luo, P.; Huang, J.; Xiong, J.; Liang, L.; Li, W. Study of a polyamine inhibitor used for shale water-based drilling fluid. ACS Omega 2021, 6, 15448–15459. [Google Scholar] [CrossRef] [PubMed]
- Gift, M.M.; Pattnaik, B.; Nandi, S.S.; Jeelani, S.H.; Gandhi, A.M.; Chakaravarthi, A. Determination of prohibition mechanism of cationic polymer/SiO2 composite as inhibitor in water using drilling fluid. Mater. Today Proc. 2022, 69, 1080–1086. [Google Scholar]
- SY/T 6788-2010; Evaluation Method for Environmental Protection Technology of Water-Soluble Oilfield Chemicals. China National Petroleum Corporation Environmental Monitoring Station; HSE Testing Center of China Petroleum Group Safety and Environmental Protection Technology Research Institute: Beijing, China, 2010; 13P.;A14.
- Gu, X.; Cheng, C.; Zhang, J.; Zhang, J.; Chen, G.; Ma, C.; Zhang, Z. Stabilization of Montmorillonite by Ammoniated Lignosulfonates and Its Use in Water-Based Drilling Fluid. Sci. Adv. Mater. 2017, 9, 928–933. [Google Scholar] [CrossRef]
- Kamal, M.S.; Sultan, A.S.; Al-Mubaiyedh, U.A.; Hussein, I.A. Review on Polymer Flooding: Rheology, Adsorption, Stability, and Field Applications of Various Polymer Systems. Polym. Rev. 2015, 55, 491–530. [Google Scholar] [CrossRef]
- Wilson, M.J.; Wilson, L. Clay mineralogy and shale instability: An alternative conceptual analysis. Clay Miner. 2014, 49, 127–145. [Google Scholar] [CrossRef]













| T/°C | Dosage/% | AV /mPa·s | PV /mPa·s | YP /Pa | YP/PV /m·s | Φ600 | Φ300 | FL /mL (API) | tg |
|---|---|---|---|---|---|---|---|---|---|
| 90 | BM | 3.50 | 3.00 | 0.50 | 0.17 | 7.0 | 4.0 | 46.0 | 0.5137 |
| BM + 1.0% PS | 20.00 | 17.00 | 3.00 | 0.18 | 40.0 | 23.0 | 12.0 | 0.1853 | |
| BM + 1.5% PS | 34.00 | 31.50 | 2.50 | 0.08 | 68.0 | 36.5 | 8.8 | 0.1495 | |
| BM + 2.0% PS | 50.00 | 48.00 | 2.00 | 0.04 | 100.0 | 52.0 | 6.0 | 0.3939 | |
| BM + 2.5% PS | 65.00 | 60.00 | 5.00 | 0.08 | 130.0 | 70.0 | 5.6 | 0.4747 | |
| BM + 3.0% PS | 82.50 | 76.50 | 6.00 | 0.08 | 165.0 | 88.5 | 5.0 | 0.1673 | |
| 120 | BM | 5.25 | 4.50 | 0.75 | 0.17 | 10.5 | 6.0 | 60.0 | 0.4894 |
| BM + 1.0% PS | 12.50 | 9.50 | 3.00 | 0.32 | 25.0 | 15.5 | 7.0 | 0.3057 | |
| BM + 1.5% PS | 12.75 | 9.50 | 3.25 | 0.34 | 25.5 | 16.0 | 9.2 | 0.2217 | |
| BM + 2.0% PS | 19.50 | 15.50 | 4.00 | 0.26 | 39.0 | 23.5 | 6.0 | 0.2586 | |
| BM + 2.5% PS | 23.25 | 18.50 | 4.75 | 0.26 | 46.5 | 28.0 | 6.2 | 0.1853 | |
| BM + 3.0% PS | 35.00 | 25.50 | 9.50 | 0.37 | 70.0 | 44.5 | 6.0 | 0.1228 | |
| 140 | BM | 5.00 | 4.50 | 0.50 | 0.11 | 10.0 | 5.5 | 78.0 | 0.3652 |
| BM + 1.0% PS | 7.00 | 6.00 | 1.00 | 0.17 | 14.0 | 8.0 | 32.0 | 0.1853 | |
| BM + 1.5% PS | 8.75 | 7.50 | 1.25 | 0.17 | 17.5 | 10.0 | 34.0 | 0.1228 | |
| BM + 2.0% PS | 11.25 | 9.50 | 1.75 | 0.18 | 22.5 | 13.0 | 25.0 | 0.1317 | |
| BM + 2.5% PS | 13.25 | 11.00 | 2.25 | 0.20 | 26.5 | 15.5 | 36.0 | 0.0963 | |
| BM + 3.0% PS | 18.50 | 15.00 | 3.50 | 0.23 | 37.0 | 22.0 | 31.0 | 0.1317 |
| T/°C | Dosage/% | AV /mPa·s | PV /mPa·s | YP /Pa | YP/PV /m·s | Φ600 | Φ300 | FL /mL (API) | tg |
|---|---|---|---|---|---|---|---|---|---|
| 90 | TM | 14.25 | 11.50 | 2.75 | 0.24 | 28.5 | 17.0 | 5.2 | 0.3429 |
| TM + 0.5% I2 | 15.00 | 13.00 | 2.00 | 0.15 | 30.0 | 17.0 | 4.0 | 0.3341 | |
| TM + 1.0% I2 | 15.00 | 13.00 | 2.00 | 0.15 | 30.0 | 17.0 | 4.0 | 0.3274 | |
| TM + 2.0% I2 | 17.75 | 15.00 | 2.75 | 0.18 | 35.5 | 20.5 | 4.8 | 0.3261 | |
| TM + 5.0% I2 | 20.00 | 17.00 | 3.00 | 0.18 | 40.0 | 23.0 | 4.0 | 0.3096 | |
| TM + 10.0% I2 | 20.75 | 14.50 | 2.25 | 0.16 | 33.5 | 19.0 | 4.0 | 0.2856 | |
| 120 | TM | 17.75 | 14.50 | 3.25 | 0.22 | 35.5 | 21.0 | 5.2 | 0.3071 |
| TM + 0.5% I2 | 13.50 | 11.00 | 2.50 | 0.23 | 27.0 | 16.0 | 5.2 | 0.3452 | |
| TM + 1.0% I2 | 15.00 | 12.50 | 2.50 | 0.20 | 30.0 | 17.5 | 5.2 | 0.3688 | |
| TM + 2.0% I2 | 15.50 | 13.00 | 2.50 | 0.19 | 31.0 | 18.0 | 5.6 | 0.3641 | |
| TM + 5.0% I2 | 16.00 | 12.50 | 3.50 | 0.28 | 32.0 | 19.5 | 5.6 | 0.3379 | |
| TM + 10.0% I2 | 17.50 | 14.00 | 3.50 | 0.25 | 35.0 | 21.0 | 6.0 | 0.3261 | |
| 140 | TM | 14.00 | 11.50 | 2.50 | 0.22 | 28.0 | 16.5 | 7.6 | 0.2861 |
| TM + 0.5% I2 | 9.25 | 7.50 | 1.75 | 0.23 | 18.0 | 10.0 | 7.2 | 0.3066 | |
| TM + 1.0% I2 | 9.50 | 7.50 | 2.00 | 0.27 | 18.0 | 10.5 | 5.2 | 0.3103 | |
| TM + 2.0% I2 | 10.75 | 9.00 | 1.75 | 0.19 | 21.5 | 12.5 | 6.4 | 0.2913 | |
| TM + 5.0% I2 | 12.00 | 10.00 | 2.00 | 0.20 | 24.0 | 14.0 | 8.0 | 0.2562 | |
| TM + 10.0% I2 | 12.50 | 10.00 | 2.50 | 0.25 | 25.0 | 15.0 | 7.8 | 0.2483 | |
| 150 | TM | 12.75 | 10.50 | 2.25 | 0.21 | 25.5 | 15.0 | 12.6 | 0.2489 |
| TM + 0.5% I2 | 7.50 | 6.50 | 1.00 | 0.15 | 15.0 | 8.5 | 18.8 | 0.2391 | |
| TM + 1.0% I2 | 7.50 | 6.50 | 1.00 | 0.15 | 15.0 | 8.5 | 25.6 | 0.2355 | |
| TM + 2.0% I2 | 9.00 | 8.00 | 1.00 | 0.13 | 18.0 | 10.0 | 14.8 | 0.2309 | |
| TM + 5.0% I2 | 10.00 | 9.00 | 1.00 | 0.11 | 20.0 | 11.0 | 14.4 | 0.2294 | |
| TM + 10.0% I2 | 10.50 | 9.00 | 1.50 | 0.17 | 21.0 | 12.0 | 13.4 | 0.1853 |
| T/°C | Way | AV /mPa·s | PV /mPa·s | YP /Pa | YP/PV /m·s | Φ600 | Φ300 | FL /mL | tg |
|---|---|---|---|---|---|---|---|---|---|
| 140 | Co-gelatinization | 9.50 | 7.50 | 2.00 | 0.20 | 18.0 | 10.5 | 5.2 | 0.3103 |
| Non-gelatinized | 17.50 | 15.00 | 2.50 | 0.17 | 35.0 | 20.0 | 10.6 | 0.3256 | |
| 150 | Co-gelatinization | 7.50 | 6.50 | 1.00 | 0.15 | 15.0 | 8.5 | 25.6 | 0.2355 |
| Non-gelatinized | 14.50 | 12.00 | 2.50 | 0.21 | 29.0 | 17.0 | 26.4 | 0.3128 |
| TM | T/°C | AV /mPa·s | PV /mPa·s | YP /Pa | YP/PV /m·s | Φ600 | Φ300 | FL /mL | tg |
|---|---|---|---|---|---|---|---|---|---|
| Formula (1) | 25 | 30.00 | 25.00 | 5.00 | 0.20 | 60.0 | 35.0 | 6.0 | 0.1853 |
| Formula (1) + 1.0% ITS | 63.50 | 45.00 | 18.50 | 0.29 | 127.0 | 82.0 | 4.0 | 0.1317 | |
| Formula (2) | 25.00 | 20.00 | 5.00 | 0.25 | 50.0 | 30.0 | 6.0 | 0.3640 | |
| Formula (2) + 1.0% ITS | 50.50 | 34.00 | 16.50 | 0.33 | 101.0 | 67.0 | 3.0 | 0.2493 | |
| Formula (1) | 120 | 25.00 | 22.00 | 3.00 | 014 | 50.0 | 28.0 | 10.0 | 0.1904 |
| Formula (1) + 1.0% ITS | 30.50 | 27.00 | 3.50 | 0.13 | 61.0 | 34.0 | 5.0 | 0.2217 | |
| Formula (2) | 5.00 | 5.00 | 0.00 | 0.00 | 10.0 | 5.0 | 14.0 | 0.4245 | |
| Formula (2) + 1.0% ITS | 11.00 | 10.00 | 1.00 | 0.09 | 22.0 | 12.0 | 6.0 | 0.7265 |
| Dosage of KCl/% | AV /mPa·s | PV /mPa·s | YP /Pa | YP/PV /m·s | Φ600 | Φ300 | FL /mL | tg |
|---|---|---|---|---|---|---|---|---|
| 0 | 10.75 | 7.50 | 3.25 | 0.43 | 21.5 | 14.0 | 4.4 | 0.2493 |
| 3 | 16.50 | 12.00 | 4.50 | 0.38 | 33.0 | 21.0 | 28.0 | 0.2586 |
| 6 | 18.00 | 13.00 | 5.00 | 0.38 | 36.0 | 23.0 | 20.0 | 0.2680 |
| 9 | 15.00 | 10.00 | 5.00 | 0.50 | 30.0 | 20.0 | 26.0 | 0.2401 |
| 12 | 15.50 | 9.00 | 6.50 | 0.72 | 31.0 | 22.0 | 18.0 | 0.2962 |
| 15 | 16.75 | 12.50 | 4.25 | 0.34 | 33.5 | 21.0 | 14.0 | 0.2773 |
| 20 | 20.00 | 14.50 | 5.50 | 0.38 | 40.0 | 25.5 | 14.0 | 0.2586 |
| Addition (140 °C) | Average Diameter/μm | Median Diameter/μm |
|---|---|---|
| BM | 14.59 | 11.31 |
| TSM | 21.54 | 15.11 |
| ITSM | 22.19 | 18.32 |
| Environmentality Index | Measurement Value | Prescribed Value |
|---|---|---|
| BOD5 | 8345.5 | \ |
| CODcr | 13,562.7 | \ |
| BOD5/CODcr | 0.61 | 0.4–0.65 |
Disclaimer/Publisher’s Note: The statements, opinions and data contained in all publications are solely those of the individual author(s) and contributor(s) and not of MDPI and/or the editor(s). MDPI and/or the editor(s) disclaim responsibility for any injury to people or property resulting from any ideas, methods, instructions or products referred to in the content. |
© 2024 by the authors. Licensee MDPI, Basel, Switzerland. This article is an open access article distributed under the terms and conditions of the Creative Commons Attribution (CC BY) license (https://creativecommons.org/licenses/by/4.0/).
Share and Cite
Xue, L.; Wang, Q.; Liu, L.; Zhang, L.; Wang, K.; Chen, G.; Zhang, J. Co-Gelatinization Modification of Iodine–Starch and Its Performance in Drilling Fluid. Processes 2024, 12, 2386. https://doi.org/10.3390/pr12112386
Xue L, Wang Q, Liu L, Zhang L, Wang K, Chen G, Zhang J. Co-Gelatinization Modification of Iodine–Starch and Its Performance in Drilling Fluid. Processes. 2024; 12(11):2386. https://doi.org/10.3390/pr12112386
Chicago/Turabian StyleXue, Le, Quande Wang, Liming Liu, Liyuan Zhang, Kun Wang, Gang Chen, and Jie Zhang. 2024. "Co-Gelatinization Modification of Iodine–Starch and Its Performance in Drilling Fluid" Processes 12, no. 11: 2386. https://doi.org/10.3390/pr12112386
APA StyleXue, L., Wang, Q., Liu, L., Zhang, L., Wang, K., Chen, G., & Zhang, J. (2024). Co-Gelatinization Modification of Iodine–Starch and Its Performance in Drilling Fluid. Processes, 12(11), 2386. https://doi.org/10.3390/pr12112386

