Thermodynamic Justification for the Effectiveness of the Oxidation—Soda Conversion of Ilmenite Concentrates
Abstract
1. Introduction
2. Materials and Methods
2.1. Thermodynamic Analysis
2.2. Physicochemical and Experimental Studies
3. Results and Discussion
3.1. Characteristics of Ore Raw Materials and Ilmenite Concentrate
3.2. Mechanism of Oxidizing-Soda Conversion of Ilmenite Concentrate
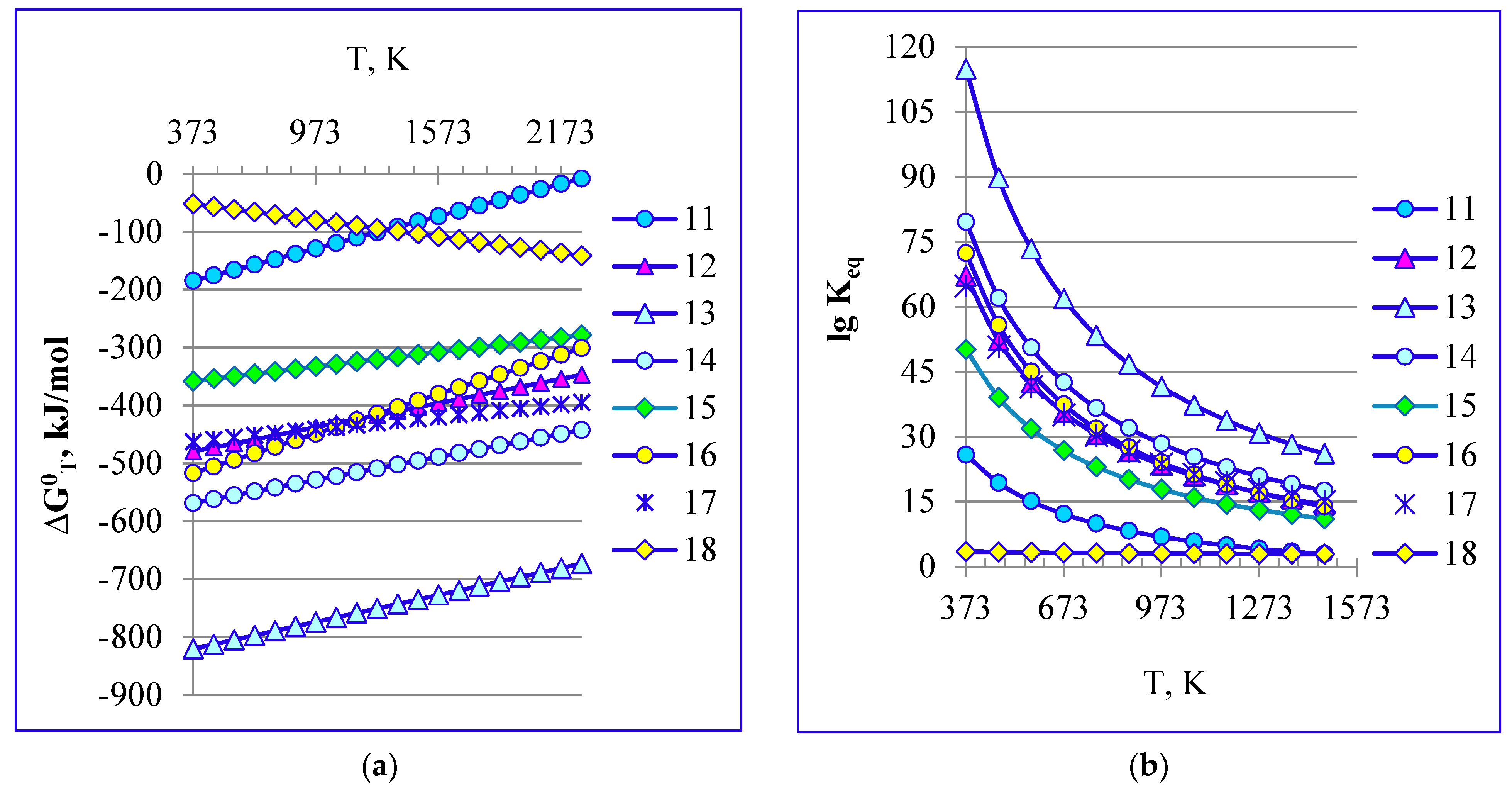
3.2.1. Thermodynamics of Ilmenite Decomposition Reactions
3.2.2. Thermodynamics of Pseudorutile Decomposition Reactions
3.2.3. Thermodynamics of Pseudobrookite Decomposition Reactions
3.2.4. Thermodynamics of Titanium Disilicide Decomposition Reactions
3.2.5. Thermodynamics of Chromite Decomposition Reactions
3.2.6. Thermodynamics of Spessartine Decomposition Reactions
3.2.7. Thermodynamics of Zircon Decomposition Reactions
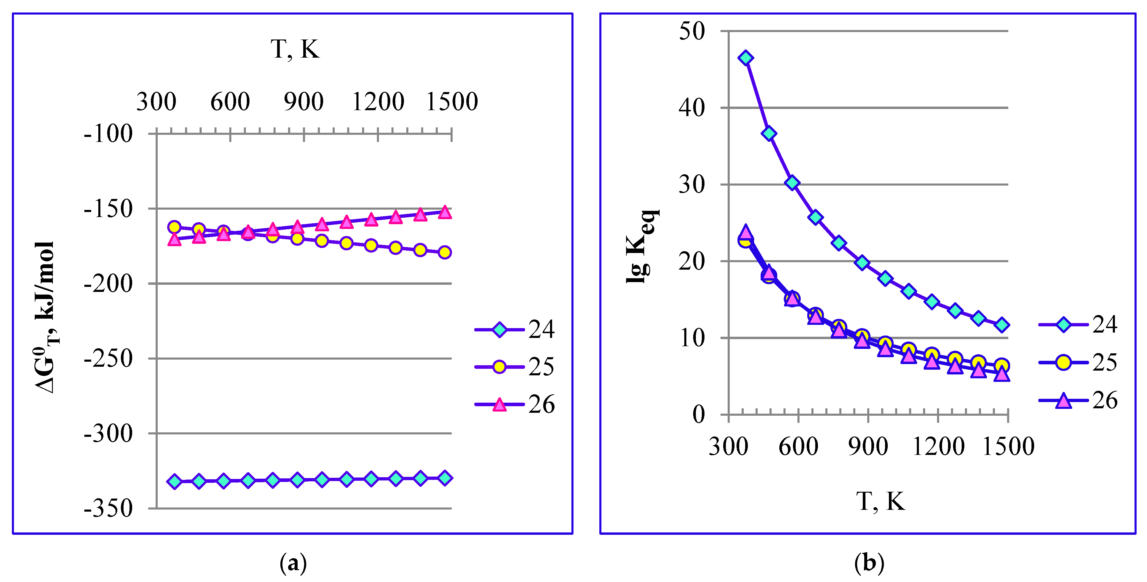
3.3. Evaluation of the Efficiency of Oxidizing Soda Conversion of Polymineral Ilmenite Concentrate
4. Conclusions
- The thermodynamic parameters of simple and complex minerals, which are absent in the reference literature, can be determined using the incremental Kumok method, the additive Neumann–Kopp rule, and the Mostafa group contribution method;
- The stability of ilmenite concentrate minerals depends on the oxidation degree and the reaction properties of structural metal and silicon oxides. The oxides of iron (III), silicon (IV), and manganese (VI) have the best reactivity in solid-phase oxidizing–alkaline medium;
- The destructive effect on the minerals of ilmenite concentrate is exerted by air oxygen and sodium oxide of soda ash, decomposing in the low-temperature region by absorbing heat and evaporating moisture in the process of dehydrating goethite, lepidocrocite, manganite, and clay minerals and dehydration via heating briquetted soda charge concentrate with an aqueous binder solution;
- The oxidative soda conversion mechanism of ilmenite concentrate is explained by the decomposition of ilmenite, zhikinite, chromite, and spessartine by air oxygen and the transition of iron, silicon, and manganese from the lowest divalent to the reactive oxide state reacting with strongly basic sodium soda oxide to form ferrite, inert sodium titanates, metasilicate, manganate, metachromite, and sodium aluminate. For pseudorutile and pseudobrukite, due to the presence of reactive iron trioxide and zircon in the structure, strongly acid-reactive silicon dioxide catalytically decomposes strongly basic sodium soda oxide without the participation of oxygen to form first ferrite and metasilicate and then meta-titanate and sodium zirconate;
- The one-stage soda conversion of high-chromium, silica, rutilized and leucoxene ilmenite concentrates via air oxygen with the subsequent refining of concentrate cinder with water, followed by diluted hydrochloric acid, simplifies the process of obtaining high-purity synthetic rutile and reduces the cost of producing metallic titanium and titanium pigments.
Author Contributions
Funding
Data Availability Statement
Conflicts of Interest
Appendix A
| Mn3Al2[SiO4]3 + 3O2 +7Na2O = 3Na2MnO4 + 2NaAlO2 + Na2SiO3 | |||||||
| −5,551,450 | 0 | −430,600 | −1,134,110 | −1,133,000 | −1,554,000 | ||
| 345.86 | 205 | 71.1 | 176.02 | 70.71 | 114.80 | ||
| 336.72 | 29.36 | 72.43 | 149.72 | 73.3 | 111.88 | ||
| 1 approx. | 2 approx. | ||||||
| H, J | −1,764,680 | t, C | T, K | G, kJ | H, J | S | G, kJ | 
| S | −444.68 | 100 | 373 | −1598.81 | −1,764,711.0 | −444.8 | −1598.8 | 
| Cp | −0.413 | 200 | 473 | −1554.35 | −1,764,752.3 | −444.9 | −1554.3 | 
| 300 | 573 | −1509.88 | −1,764,793.6 | −445.0 | −1509.9 | ||
| 400 | 673 | −1465.41 | −1,764,834.9 | −445.0 | −1465.4 | ||
| 500 | 773 | −1420.94 | −1,764,876.2 | −445.1 | −1420.9 | ||
| 600 | 873 | −1376.47 | −1,764,917.5 | −445.1 | −1376.4 | ||
| 700 | 973 | −1332.01 | −1,764,958.8 | −445.2 | −1331.9 | ||
| 800 | 1073 | −1287.54 | −1,765,000.1 | −445.2 | −1287.5 | ||
| 900 | 1173 | −1243.07 | −1,765,041.4 | −445.2 | −1243.0 | ||
| 1000 | 1273 | −1198.60 | −1,765,082.7 | −445.3 | −1198.5 | ||
| 1100 | 1373 | −1154.13 | −1,765,124.0 | −445.3 | −1154.0 | ||
| 1200 | 1473 | −1109.67 | −1,765,165.3 | −445.3 | −1109.6 | ||
| 1300 | 1573 | −1065.20 | −1,765,206.6 | −445.4 | −1065.1 | ||
| 1400 | 1673 | −1020.73 | −1,765,247.9 | −445.4 | −1020.6 | ||
| 1500 | 1773 | −976.26 | −1,765,289.2 | −445.4 | −976.1 | ||
| 1600 | 1873 | −931.79 | −1,765,330.5 | −445.4 | −931.7 | ||
| 1700 | 1973 | −887.33 | −1,765,371.8 | −445.5 | −887.2 | ||
| 1800 | 2073 | −842.86 | −1,765,413.1 | −445.5 | −842.7 | ||
| 1900 | 2173 | −798.39 | −1,765,454.4 | −445.5 | −798.2 | ||
| 2000 | 2273 | −753.92 | −1,765,495.7 | −445.5 | −753.7 | ||
| Name | ΔH298 (1) Neumann–Kopp Method | ΔH298 (4) Kumok Method | ΔH298 (Average) | 
|---|---|---|---|
| Spessartine Mn3Al2[SiO4]3 | 5409.25 | 5693.65 | 5551.45 | 
| Name | ΔS298 (1) Neumann–Kopp Method | ΔS298 (5) Kumok Method | ΔS298 (Average) | 
|---|---|---|---|
| Spessartine Mn3Al2[SiO4]3 | 356.35 | 345.1 | 345.86 | 
| Name | ΔCp,298 (1) Neumann–Kopp Method | ΔCP,298 (6) Kumok Method | ΔCP,298 (Average) | 
|---|---|---|---|
| Spessartine Mn3Al2[SiO4]3 | 338.06 | 335.38 | 336.72 | 
Appendix B
| 2Na2O = Na2O2 + 2Na+ | |||||
| −430,600 | −510,900 | 611,000 | |||
| 71.1 | 93.3 | 148 | |||
| 72.43 | 89.33 | 128.2 | |||
| H, J | 1,572,300 | ||||
| S | 247.1 | ||||
| Cp | 200.87 | ||||
| 1 approx. | 2 approx. | ||||
| t, C | T, K | G, kJ | H | S | G, kJ | 
| 100 | 373 | 1480.13 | 1,587,365 | 292.19 | 1478.4 | 
| 200 | 473 | 1455.42 | 1,607,452 | 339.90 | 1449.2 | 
| 300 | 573 | 1430.71 | 1627,539 | 378.43 | 1419.9 | 
| 400 | 673 | 1406.00 | 1,647,626 | 410.74 | 1390.7 | 
| 500 | 773 | 1381.29 | 1,667,713 | 438.57 | 1361.5 | 
| 600 | 873 | 1356.58 | 1,687,800 | 463.00 | 1332.3 | 
| 700 | 973 | 1331.87 | 1,707,887 | 484.79 | 1303.1 | 
| 800 | 1073 | 1307.16 | 1,727,974 | 504.44 | 1273.8 | 
| 900 | 1173 | 1282.45 | 1,748,061 | 522.34 | 1244.6 | 
| 1000 | 1273 | 1257.74 | 1,768,148 | 538.77 | 1215.4 | 
| 1100 | 1373 | 1233.03 | 1,788,235 | 553.96 | 1186.2 | 
| 1200 | 1473 | 1208.32 | 1,808,322 | 568.08 | 1157.0 | 
| 1300 | 1573 | 1183.61 | 1,828,409 | 581.28 | 1127.7 | 
| 1400 | 1673 | 1158.90 | 1,848,496 | 593.66 | 1098.5 | 
| 1500 | 1773 | 1134.19 | 1,868,583 | 605.32 | 1069.3 | 
| 1600 | 1873 | 1109.48 | 1,888,670 | 616.34 | 1040.1 | 
| 1700 | 1973 | 1084.77 | 1,908,757 | 626.79 | 1010.9 | 
| 1800 | 2073 | 1060.06 | 1,928,844 | 636.72 | 981.7 | 
| 1900 | 2173 | 1035.35 | 1,948,931 | 646.18 | 952.4 | 
| 2000 | 2273 | 1010.64 | 1,969,018 | 655.22 | 923.2 | 
References
- Global Titanium Minerals Reserves 2010–2023. Available online: https://www.statista.com/statistics/759972/mine-production-titanium-minerals-worldwide-by-country (accessed on 4 May 2024).
- Perks, C.; Mudd, G. A detailed assessment of global Zr and Ti production. Miner. Econ. 2021, 34, 345–370. [Google Scholar] [CrossRef]
- Naqrale, P. Titanium Dioxide Market Size & Share/Global Forecast Report 2032. June 2024, p. 185. Available online: https://www.marketresearchfuture.com/reports/titanium-dioxide-market-1081 (accessed on 12 June 2024).
- Subasinghe, H.C.S.; Ratnayake, A.S. Mechanical activation and physicochemical factors controlling pyrometallurgical, hydrometallurgical and electrometallurgical processing of titanium ore. J. S. Afr. Inst. Min. Metall. 2023, 123, 399–414. [Google Scholar] [CrossRef]
- Nurul, A. Chemical and Electrochemical Leaching Studies of Synthetic and Natural Ilmenite in Hydrochloric Acid Solution. Ph.D. Thesis, Murdoch University, Perth, Australia, 2016. [Google Scholar]
- Zhang, W.; Zhu, Z.; Cheng, C.Y. A literature review of titanium metallurgical processes. Hydrometallurgy 2011, 108, 177–188. [Google Scholar] [CrossRef]
- Verhulst, D.; Sabachy, B.; Spitler, T.; Dyuvesteyn, W. The Altair TiO2 pigment process and its extension into the field of nanomaterials. CIM Bull. 2002, 95, 89–94. [Google Scholar]
- Formanek, L.; Lommert, H.; Beyzavi, A.-N. Synthetic Putile Manufacture by the SL/RN-Becher Process. Heavy Miner. 1997, 161–168. [Google Scholar]
- Walpole, E.A.; Winter, J.D. The Austpac ERVS and EARS Processes for the Manufacture of High-Grade Synthetic Rutile by Hydrochloric Asid Leaching of Ilmenite. In Proceedings of the International Conference on the Practice and Theory of Chloride, Metal Interaction, Montreal, QC, Canada, 19–23 October 2002. [Google Scholar]
- Zhaowang, D.; Yang, X.; Xueyi, G.; Jinlong, Z.; Linfeng, J.; Linfeng, J.; Qinghua, T.; Yang, L. Direct reduction of upgraded titania slag by magnesium for making low-oxygen containing titanium alloy hydride powder. Powder Technol. 2020, 368, 160–196. [Google Scholar]
- Guéguin, M.; Cardarelli, F. Chemistry and mineralogy of titania-rich slags. Part 1—Hemo-ilmenite, sulphate, and upgraded titania slags. Miner. Process. Extr. Metall. Rev. 2007, 28, 1–58. [Google Scholar] [CrossRef]
- Morsi, I.M.; Abdullah, F.H.A.; Mohamed, O.A.; Shalabi, M.E.H.; El-Tawil, S.Z. Processing of ilmenite ore by sintering/roasting technique. In Proceedings of the 3rd Mining, Petroleum and Metallurgy Conference, Cairo, Egypt, 2–4 February 1992. [Google Scholar]
- Lasheen, T.A. Soda ash roasting of titana slag product from Rosetta ilmenite. Hydrometallurgy 2008, 93, 124–128. [Google Scholar] [CrossRef]
- Nafeaa, I.A.; Zekry, A.F.; Khalifa, M.G.; Farag, A.B.; El-Hussiny, N.A.; Shalabi, M.E.H. Kinetics of Reaction of Roasting of Soda Ash and Ilmenite Ore Concentrate for Formation of Sodium Titanates. Sci. Sinter. 2015, 47, 319–329. [Google Scholar] [CrossRef]
- Abhishek, L.; Animesh, J. Kinetics and Reaction Mechanism of Soda Ash Roasting of Ilmenite Ore for the Extraction of Titanium Dioxide. Metall. Mater. Trans. B 2007, 38, 939–948. [Google Scholar]
- Kenzhaliev, B.K.; Akhmetova, K.S.; Trebukhov, S.A.; Gladyshev, S.V.; Tuleutai, F.H.; Zinovieva, L.V. Method of Processing Ilmenite Concentrates. Patent 34030 RK, 26 November 2019. [Google Scholar]
- Lidin, L.A.; Andreeva, L.L.; Molochko, V.A. Constants of Inorganic Substances (Reference Book); Drofa: Moscow, Russia, 2008; 685p. [Google Scholar]
- Chumilina, L.G.; Belokopytova, D.V.; Denisov, V.M. Calculation of the thermodynamic properties of the Ca3R2Ge3O12 germanates (R = Y, Er - Lu). J. Sib. Fed. Chem. 2022, 15, 409–419. (In Russian) [Google Scholar]
- Ivanova, V.P. Thermal Analysis of Minerals and Rocks; Nedra: Leningrad, Russia, 1974; 49p. (In Russian) [Google Scholar]
- Ramadan, A.M.; Farghaly, M.; Fathy, W.M.; Ahmed, M.M. Leaching and kinetics studies on processing of Abu-Ghalaga ilmenite ore. Int. Res. J. Eng. Technol. (IRJET) 2016, 3, 46–60. [Google Scholar]
- Swanepoel, J.J. Process Development for the Removal of Iron from Nitrided Ilmenite. Master’s Thesis, Department of Chemical Engineering Faculty of Engineering, Built Environment & Information Technology, University of Pretoria, Pretoria, South Africa, October 2010; 151p. Submitted in partial fulfilment of the requirements for the degree of Master of Engineing (chem eng). [Google Scholar]
- James, E. Inorganic Chemistry: Principles of Structure and Reactivity, 3rd ed.; Harper & Row: New York, NY, USA, 1987; p. 698. [Google Scholar]
- Ripan, R.; Cheteanu, I. Inorganic Chemistry. Chemistry of Metals; Mir: Moscow, Russia, 1972; Volume 2, p. 871. (In Russian) [Google Scholar]
















| Yield, % | Components | Formula | Content, in wt % | 
|---|---|---|---|
| Sample size from −0.071 to +0.063 мм (a) | |||
| 11.47 | Quarts, syn | SiO2 | 40.8 | 
| Rutil, syn | TiO2 | 16.9 | |
| Pseudorutil | Fe2(TiO3)3 | 16.9 | |
| Pseudobrukite | Fe2(TiO5) | 11.3 | |
| Spessartine | Mn3AI2[SiO4]3 | 14.2 | |
| Sample size from −0.063 to +0.044 мм (b) | |||
| 88.53 | Rutil, syn | TiO2 | 27.1 | 
| Pseudorutil | Fe2(TiO3)3 | 23.5 | |
| Zhiqinite | TiSi2 | 15.9 | |
| Aluminian Chomit | Fe(Cr,Al)2O4 | 16.6 | |
| Aluminian Manganese | MnAI6 | 17.0 | |
| Sample size from +0.071 to −0 мм (c) | |||
| 100 | Ilmenit | FeTiO3 | 20.0 | 
| Rutil | TiO2 | 20.8 | |
| Pseudorutil | Fe2(TiO3)3 | 25.9 | |
| Zircon, metamict | ZrSiO4 | 23.0 | |
| Quarts, syn | SiO2 | 10.3 | |
| Mineral | Formula | Temperature, °C | Processes | ||
|---|---|---|---|---|---|
| Samples | |||||
| a | b | c | |||
| Goethite | FeO(OH) | 479.2 * | 459.2 * | 457.8 * | Dehydration | 
| Lepidocrocite | γ-FeO(OH) | 414.3 * | 414.3 * | 415 * | Dehydration and formation of γ-Fe2O3 | 
| 537.5 ** | 537.4 ** | 536 ** | Transition to α-Fe2O3 | ||
| Manganite | γ-MnO(OH) | 479.2 * | − | − | Dehydration and formation of β-Mn2O3 | 
| 965.5–949 * | Decomposition with oxygen scavenging and formation of β-Mn3O4 | ||||
| 1169.8 * | Enantiotropic polymorphic transformation to γ-Mn3O4 | ||||
| Ilmenite | 887.9 ** | 853.9 ** | 310.2 **–898.9 ** | Oxidation of Fe+2 and formation of amorphous Fe2O3 and TiO2 | |
| Rutile | TiO2 | 1005.3 ** | 1010.1 ** | 1005.6 ** | Crystallization | 
| Pseudobrookite | |||||
| Quartz | SiO2 | 562.2 * | 562.2 * | 563.4 * | Enantiotropic polymorphic transformation | 
| Clay mineral | 517.4 * | 508.1 * | 504.8 * | Oxidation | |
| Samples | Coarseness, mm | Initial Mass, g | Residual Mass, % | Weight Loss, % | 
|---|---|---|---|---|
| a | −0.071 +0.063 | 0.301 | 98.62 | 1.38 | 
| b | −0.063 +0.044 | 0.306 | 98.77 | 1.23 | 
| c | +0.071 −0 | 0.304 | 98.65 | 1.35 | 
| Components | Content, in wt % | |||||
|---|---|---|---|---|---|---|
| Kazakhstan | Ukraine | Australia [9] | South Africa [20] | Egypt [21] | India [15] | |
| Obukhovskyi | Volnogorskyi | Capel | Hillendale | Abu Ghalaga | Bomar | |
| TiO2 | 51.16 | 66.8 | 55.43 | 48.40 | 36.78 | 69.25 | 
| FeO | 3.15 | 20.5 | 22.51 | 36.15 | 25.85 | 15.2 | 
| Fe2O3 | 28.78 | n/a | 18.16 | 12.29 | 29.86 | 6.1 | 
| SiO2 | 1.8 | 0.82 | 1.41 | 0.44 | 4.46 | 3.8 | 
| Al2O3 | 2.0 | 1.8 | 0.25 | 0.27 | 0.72 | 2.4 | 
| Cr2O3 | 7.49 | 1.5 | 0.03 | 0.09 | 0.21 | 0.2 | 
| CaO | 0.1 | 0.57 | n/a | 0.02 | 0.15 | 0.10 | 
| MgO | 0.71 | 0.89 | n/a | 0.50 | 0.81 | 0.9 | 
| MnO | 1.61 | 0.85 | 1.44 | 1.06 | 0.36 | 0.37 | 
| V2O5 | 0.18 | 0.38 | 0.13 | 0.25 | 0.38 | - | 
| P2O5 | 0.18 | 0.25 | 0.15 | 0.01 | 0.03 | 0.3 | 
| ZrO2 | 0.41 | 0.12 | 0.08 | 0.08 | LOI 0.17 | LOI 0.8 | 
| Other 2.43 | Other 5.52 | Other 0.41 | Other 0.44 | |||
| Name | Formula | % | 
|---|---|---|
| Rutile, syn | Ti0.912O2 | 98.2 | 
| Silicon Oxide | SiO2 | 1.8 | 
| Disclaimer/Publisher’s Note: The statements, opinions and data contained in all publications are solely those of the individual author(s) and contributor(s) and not of MDPI and/or the editor(s). MDPI and/or the editor(s) disclaim responsibility for any injury to people or property resulting from any ideas, methods, instructions or products referred to in the content. | 
© 2024 by the authors. Licensee MDPI, Basel, Switzerland. This article is an open access article distributed under the terms and conditions of the Creative Commons Attribution (CC BY) license (https://creativecommons.org/licenses/by/4.0/).
Share and Cite
Akhmetova, K.; Tusupbayev, N.; Kenzhaliyev, B.; Gladyshev, S.; Akhmadiyeva, N.; Imangaliyeva, L. Thermodynamic Justification for the Effectiveness of the Oxidation—Soda Conversion of Ilmenite Concentrates. Processes 2024, 12, 2276. https://doi.org/10.3390/pr12102276
Akhmetova K, Tusupbayev N, Kenzhaliyev B, Gladyshev S, Akhmadiyeva N, Imangaliyeva L. Thermodynamic Justification for the Effectiveness of the Oxidation—Soda Conversion of Ilmenite Concentrates. Processes. 2024; 12(10):2276. https://doi.org/10.3390/pr12102276
Chicago/Turabian StyleAkhmetova, Kuralay, Nesipbay Tusupbayev, Bagdaulet Kenzhaliyev, Sergey Gladyshev, Nazym Akhmadiyeva, and Leila Imangaliyeva. 2024. "Thermodynamic Justification for the Effectiveness of the Oxidation—Soda Conversion of Ilmenite Concentrates" Processes 12, no. 10: 2276. https://doi.org/10.3390/pr12102276
APA StyleAkhmetova, K., Tusupbayev, N., Kenzhaliyev, B., Gladyshev, S., Akhmadiyeva, N., & Imangaliyeva, L. (2024). Thermodynamic Justification for the Effectiveness of the Oxidation—Soda Conversion of Ilmenite Concentrates. Processes, 12(10), 2276. https://doi.org/10.3390/pr12102276
 
        





 
       