Development of Fiber-Reinforced Polymer Composites for Additive Manufacturing and Multi-Material Structures in Sustainable Applications
Abstract
1. Introduction
2. Materials and Methods
2.1. Material Specifications
2.2. Filament Fabrication
2.3. Specimen Manufacturing
2.4. Multi-Material Design
2.5. Experimentation
2.5.1. Filament Fixation
2.5.2. Tensile and Compressive Testing of Additively Manufactured Specimens
2.5.3. Tensile Properties of Multi-Material Composites
3. Results and Discussion
3.1. Original Filament Tensile Test
3.2. Additively Manufactured Specimen Tensile Testing
3.3. Additively Manufactured Specimen Compressive Test
3.4. Re-Manufactured Filament Tensile Test
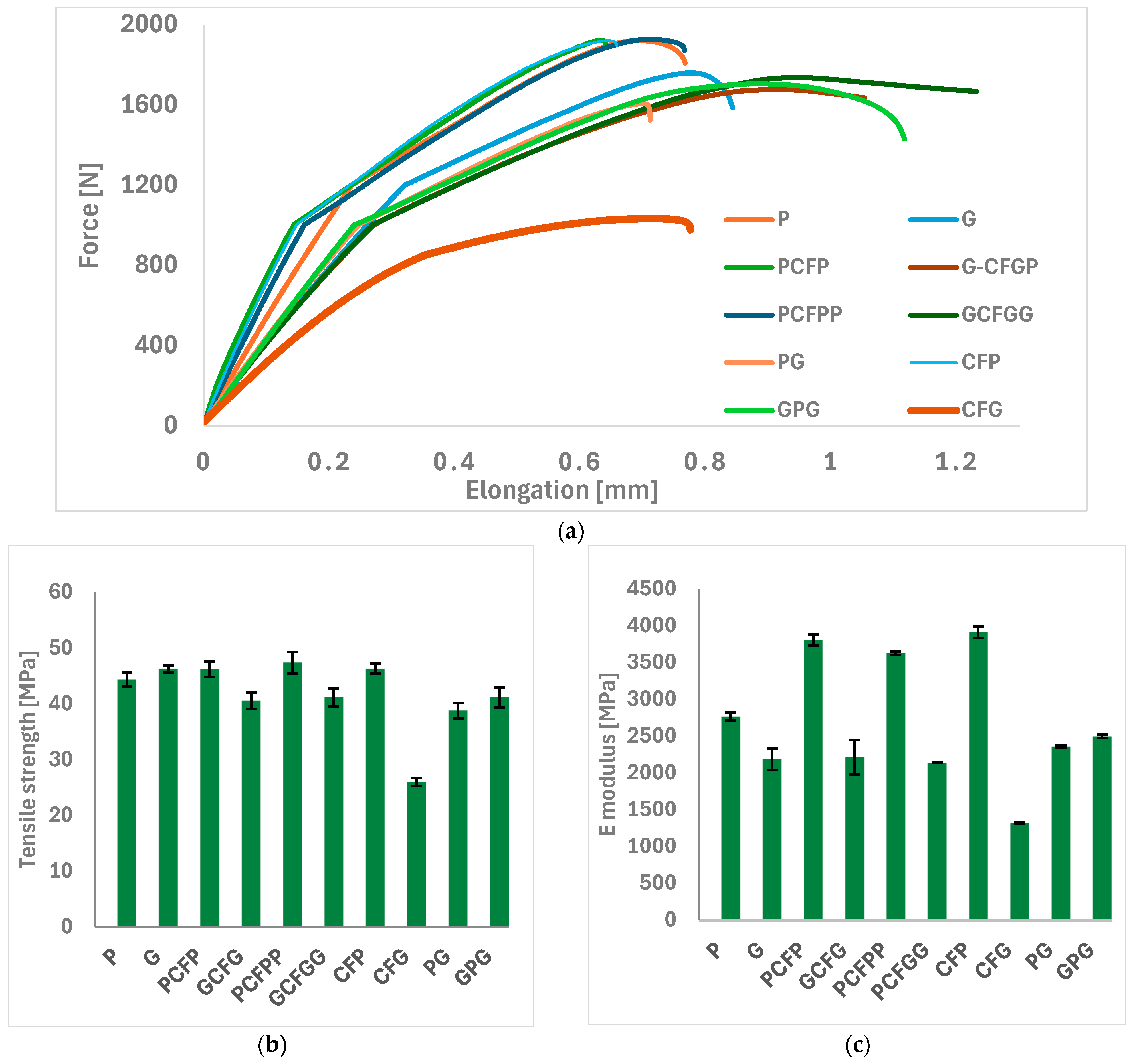
3.5. Tensile Features of Multi-Gradient and Single PLA, PETG, CF–PLA, and CF–PETG Composites
4. Conclusions
- Among the tested original filaments, CF–PETG achieved the highest maximum stress at 50.14 MPa, outperforming rPLA, PLA, CF–PLA, and PETG.
- Re-manufactured filaments showed mixed results. Both CF–PLA and recycled PLA (rPLA) exhibited improved tensile strengths over their original versions, with rPLA’s strength increasing by 29% with hemp fiber reinforcement. Recycled CF–PLA experienced a slight 4% reduction in strength compared to the original. Re-manufactured PETG displayed lower tensile strength than original PETG, but the addition of jute fiber increased the strength of both recycled and original PETG by 15% and 12%, respectively.
- The highest tensile strengths were found in additively manufactured specimens made from rPLA and CF–PLA, with values of 50 MPa and 46.5 MPa, respectively, indicating the reinforcing effect of carbon fiber. The PETG and pure PLA also performed well, although CF–PETG showed lower tensile strength (31 MPa), likely due to insufficient fiber-matrix bonding.
- The rPLA exhibited the highest compressive stress at 81.7 MPa, demonstrating strong resistance to compressive loads. The CF–PLA showed a 61% higher compressive stress compared to CF–PETG, while both PETG and CF–PETG displayed lower resistance to compressive deformation.
- Specimens made entirely of CF–PLA showed a tensile modulus of 3914 MPa, while a 50% PLA + 50% CF–PLA multi-material composite demonstrated effective reinforcement with a tensile modulus of 3805 MPa. However, 100% CF–PETG had the lowest tensile modulus at 1318 MPa, pointing to potential fiber-matrix interaction issues.
- Multi-layered PLA and PETG composites showed reduced mechanical performance, largely due to sharp interfaces between the materials causing stress at the transition points, which can lead to delamination. Ensuring strong adhesion between materials in multi-layered composites is essential to avoid this issue.
Author Contributions
Funding
Data Availability Statement
Conflicts of Interest
Abbreviations
| AM | Additive Manufacturing |
| MEX | Material Extrusion |
| PLA | Polylactic Acid |
| PETG | Polyethylene Terephthalate Glycol |
| CF | Carbon Fiber |
| rPLA | Recycled Polylactic Acid |
| CF-PLA | Carbon Fiber-Reinforced Polylactic Acid |
| CF-PETG | Carbon Fiber-Reinforced Polyethylene Terephthalate Glycol |
| re-PLA + Hemp | Re-manufactured PLA with adding 7 wt% hemp fiber |
| re-rPLA + hemp | Re- manufactured rPLA with adding 7 wt% hemp fiber |
| re-PETG + Jute | Re-manufactured PETG with adding 7 wt% jute fiber |
| P | 100% PLA |
| G | 100% PETG |
| PCFP | 50% PLA + 50% CF-PLA |
| GCFG | 50% PETG + 50% CF-PETG |
| PCFPP | 25% PLA + 50% CF-PLA + 25% PLA |
| GCFGG | 25% PETG + 50% CF-PETG + 25% PETG |
| CFP | 100% CF-PLA |
| CFG | 100% CF-PETG |
| PG | 50% PLA+ 50% PETG |
| GPG | 25% PETG + 50% PLA+ 25% PETG |
References
- Pajonk, A.; Prieto, A.; Blum, U.; Knaack, U. Multi-Material Additive Manufacturing in Architecture and Construction: A Review. J. Build. Eng. 2022, 45, 103603. [Google Scholar] [CrossRef]
- Rudnik, M.; Hanon, M.M.; Szot, W.; Beck, K.; Gogolewski, D.; Zmarzły, P.; Kozior, T. Tribological Properties of Medical Material (MED610) Used in 3D Printing PJM Technology. Teh. Vjesn. 2022, 29, 1100–1108. [Google Scholar] [CrossRef]
- Dizon, J.R.C.; Espera, A.H.; Chen, Q.; Advincula, R.C. Mechanical Characterization of 3D-Printed Polymers. Addit. Manuf. 2018, 20, 44–67. [Google Scholar] [CrossRef]
- Hanon, M.M.; Zsidai, L. Sliding Surface Structure Comparison of 3D Printed Polymers Using FDM and DLP Technologies. IOP Conf. Ser. Mater. Sci. Eng. 2020, 749, 012015. [Google Scholar] [CrossRef]
- Popescu, D.; Zapciu, A.; Amza, C.; Baciu, F.; Marinescu, R. FDM Process Parameters Influence over the Mechanical Properties of Polymer Specimens: A Review. Polym. Test. 2018, 69, 157–166. [Google Scholar] [CrossRef]
- Dobos, J.; Hanon, M.M.; Oldal, I. Effect of Infill Density and Pattern on the Specific Load Capacity of FDM 3D-Printed PLA Multi-Layer Sandwich. J. Polym. Eng. 2022, 42, 118–128. [Google Scholar] [CrossRef]
- Rasheed, R.K.; Mansoor, N.S.; Mohammed, N.H.; Qasim, S.S.B. Subtractive and Additive Technologies in Fixed Dental Restoration: A Systematic Review. J. Tech. 2023, 5, 162–167. [Google Scholar] [CrossRef]
- Fonseca, J.; Ferreira, I.A.; de Moura, M.F.S.F.; Machado, M.; Alves, J.L. Study of the Interlaminar Fracture under Mode I Loading on FFF Printed Parts. Compos. Struct. 2019, 214, 316–324. [Google Scholar] [CrossRef]
- Taylor, G.; Anandan, S.; Murphy, D.; Leu, M.; Chandrashekhara, K. Fracture Toughness of Additively Manufactured ULTEM 1010. Virtual Phys. Prototyp. 2019, 14, 277–283. [Google Scholar] [CrossRef]
- Rashid, F.L.; Hashim, A.; Dulaimi, A.; Hadi, A.; Ibrahim, H.; Al-Obaidi, M.A.; Ameen, A. Enhancement of Polyacrylic Acid/Silicon Carbide Nanocomposites’ Optical Properties for Potential Application in Renewable Energy. J. Compos. Sci. 2024, 8, 123. [Google Scholar] [CrossRef]
- Sweeney, C.B.; Lackey, B.A.; Pospisil, M.J.; Achee, T.C.; Hicks, V.K.; Moran, A.G.; Teipel, B.R.; Saed, M.A.; Green, M.J. Welding of 3D-Printed Carbon Nanotube–Polymer Composites by Locally Induced Microwave Heating. Sci. Adv. 2017, 3, e1700262. [Google Scholar] [CrossRef] [PubMed]
- Fatima Faidallah, R.; Hanon, M.M.; Szakál, Z.; Oldal, I. Study of the Mechanical Characteristics of Sandwich Structures FDM 3D-Printed. Acta Polytech. Hung. 2023, 20, 7–26. [Google Scholar] [CrossRef]
- Delgado, G.F.; Pinho, A.C.; Piedade, A.P. 3D Printing for Cartilage Replacement: A Preliminary Study to Explore New Polymers. Polymers 2022, 14, 1044. [Google Scholar] [CrossRef] [PubMed]
- Ansari, M.Q.; Redmann, A.; Osswald, T.A.; Bortner, M.J.; Baird, D.G. Application of Thermotropic Liquid Crystalline Polymer Reinforced Acrylonitrile Butadiene Styrene in Fused Filament Fabrication. Addit. Manuf. 2019, 29, 100813. [Google Scholar] [CrossRef]
- Ferreira, I.; Vale, D.; Machado, M.; Lino, J. Additive Manufacturing of Polyethylene Terephthalate Glycol /Carbon Fiber Composites: An Experimental Study from Filament to Printed Parts. Proc. Inst. Mech. Eng. Part L J. Mater. Des. Appl. 2019, 233, 1866–1878. [Google Scholar] [CrossRef]
- Santo, J.; Penumakala, P.K.; Adusumalli, R.B. Mechanical and Electrical Properties of Three-Dimensional Printed Polylactic Acid–Graphene–Carbon Nanofiber Composites. Polym. Compos. 2021, 42, 3231–3242. [Google Scholar] [CrossRef]
- Vidakis, N.; Petousis, M.; Grammatikos, S.; Papadakis, V.; Korlos, A.; Mountakis, N. High Performance Polycarbonate Nanocomposites Mechanically Boosted with Titanium Carbide in Material Extrusion Additive Manufacturing. Nanomaterials 2022, 12, 1068. [Google Scholar] [CrossRef]
- Cole, R.G.; Fayazbakhsh, K.; Avalos, A.; Nadeau, N.A. Improved Test Methods for Polymer Additive Manufacturing Interlayer Weld Strength and Filament Mechanical Properties. ASTM Spec. Tech. Publ. STP 2022, 1637, 325–338. [Google Scholar] [CrossRef]
- Rahimizadeh, A.; Kalman, J.; Fayazbakhsh, K.; Lessard, L. Recycling of Fiberglass Wind Turbine Blades into Reinforced Filaments for Use in Additive Manufacturing. Compos. Part B Eng. 2019, 175, 107101. [Google Scholar] [CrossRef]
- Liu, W.; Huang, H.; Zhu, L.; Liu, Z. Integrating Carbon Fiber Reclamation and Additive Manufacturing for Recycling CFRP Waste. Compos. Part B Eng. 2021, 215, 108808. [Google Scholar] [CrossRef]
- Pierson, H.A.; Celik, E.; Abbott, A.; De Jarnette, H.; Sierra Gutierrez, L.; Johnson, K.; Koerner, H.; Baur, J.W. Mechanical Properties of Printed Epoxy-Carbon Fiber Composites. Exp. Mech. 2019, 59, 843–857. [Google Scholar] [CrossRef]
- Ferreira, R.T.L.; Amatte, I.C.; Dutra, T.A.; Bürger, D. Experimental Characterization and Micrography of 3D Printed PLA and PLA Reinforced with Short Carbon Fibers. Compos. Part B Eng. 2017, 124, 88–100. [Google Scholar] [CrossRef]
- Hanon, M.M.; Marczis, R.; Zsidai, L. Anisotropy Evaluation of Different Raster Directions, Spatial Orientations, and Fill Percentage of 3D Printed PETG Tensile Test Specimens. Key Eng. Mater. 2019, 821, 167–173. [Google Scholar] [CrossRef]
- Kichloo, A.F.; Raina, A.; Haq, M.I.U.; Wani, M.S. Impact of Carbon Fiber Reinforcement on Mechanical and Tribological Behavior of 3D-Printed Polyethylene Terephthalate Glycol Polymer Composites—An Experimental Investigation. J. Mater. Eng. Perform. 2022, 31, 1021–1038. [Google Scholar] [CrossRef]
- Singh, A.K.; Saltonstall, B.; Patil, B.; Hoffmann, N.; Doddamani, M.; Gupta, N. Additive Manufacturing of Syntactic Foams: Part 2: Specimen Printing and Mechanical Property Characterization. JOM 2018, 70, 310–314. [Google Scholar] [CrossRef]
- Mansour, M.; Tsongas, K.; Tzetzis, D.; Antoniadis, A. Mechanical and Dynamic Behavior of Fused Filament Fabrication 3D Printed Polyethylene Terephthalate Glycol Reinforced with Carbon Fibers. Polym.-Plast. Technol. Eng. 2018, 57, 1715–1725. [Google Scholar] [CrossRef]
- Hsueh, M.-H.; Lai, C.-J.; Wang, S.-H.; Zeng, Y.-S.; Hsieh, C.-H.; Pan, C.-Y.; Huang, W.-C. Effect of Printing Parameters on the Thermal and Mechanical Properties of 3D-Printed PLA and PETG, Using Fused Deposition Modeling. Polymers 2021, 13, 1758. [Google Scholar] [CrossRef] [PubMed]
- Niu, C.; Luan, C.; Shen, H.; Song, X.; Fu, J.; Zhang, L.; Sun, Y.; Xu, G.; Ruan, Z. Tunable Soft–Stiff Hybridized Fiber-Reinforced Thermoplastic Composites Using Controllable Multimaterial Additive Manufacturing Technology. Addit. Manuf. 2022, 55, 102836. [Google Scholar] [CrossRef]
- Faidallah, R.F.; Hanon, M.M.; Vashist, V.; Habib, A.; Szakál, Z.; Oldal, I. Effect of Different Standard Geometry Shapes on the Tensile Properties of 3D-Printed Polymer. Polymers 2023, 15, 3029. [Google Scholar] [CrossRef] [PubMed]
- Salcedo, E.; Baek, D.; Berndt, A.; Ryu, J.E. Simulation and Validation of Three Dimension Functionally Graded Materials by Material Jetting. Addit. Manuf. 2018, 22, 351–359. [Google Scholar] [CrossRef]
- Baca, D.; Ahmad, R. The Impact on the Mechanical Properties of Multi-Material Polymers Fabricated with a Single Mixing Nozzle and Multi-Nozzle Systems via Fused Deposition Modeling. Int. J. Adv. Manuf. Technol. 2020, 106, 4509–4520. [Google Scholar] [CrossRef]
- Manaia, J.P.; Manaia, A.T.; Rodriges, L. Industrial Hemp Fibers: An Overview. Fibers 2019, 7, 106. [Google Scholar] [CrossRef]
- Gupta, A.; Hasanov, S.; Fidan, I. Processing and Characterization of 3D-Printed Polymer Matrix Composites Reinforced with Discontinuous Fibers. In Proceedings of the 2019 International Solid Freeform Fabrication Symposium, Austin, TX, USA, 12–14 August 2019. [Google Scholar]
- Zhang, J.; Chevali, V.S.; Wang, H.; Wang, C.H. Current Status of Carbon Fibre and Carbon Fibre Composites Recycling. Compos. Part B Eng. 2020, 193, 108053. [Google Scholar] [CrossRef]
- ISO 527-2:2012; Plastics—Determination of Tensile Properties—Part 2: Test Conditions for Moulding and Extrusion Plastics. European Committee for Standardisation: Brussels, Belgium, 2012.
- ASTM D695-23; Standard Test Method for Compressive Properties of Rigid Plastics. American Society for Testing and Materials: West Conshohocken, PA, USA, 2023. [CrossRef]
- Palaniyappan, S.; Annamalai, G.; kumar Sivakumar, N.; Muthu, P. Development of Functional Gradient Multi-Material Composites Using Poly Lactic Acid and Walnut Shell Reinforced Poly Lactic Acid Filaments by Fused Filament Fabrication Technology. J. Build. Eng. 2023, 65, 105746. [Google Scholar] [CrossRef]
- Yermurat, B.; Seçgin, Ö.; Taşdemir, V. Multi-Material Additive Manufacturing: Investigation of the Combined Use of ABS and PLA in the Same Structure. Mater. Test. 2023, 65, 1119–1126. [Google Scholar] [CrossRef]
- Amza, C.G.; Zapciu, A.; Constantin, G.; Baciu, F.; Vasile, M.I. Enhancing Mechanical Properties of Polymer 3D Printed Parts. Polymers 2021, 13, 562. [Google Scholar] [CrossRef]




















| Properties | Materials | ||||
|---|---|---|---|---|---|
| PLA | rPLA | PETG | CF–PLA | CF–PETG | |
| Density [g/cm3] | 1.25 | 1.24 | 1.29 | 1.3 | 1.32 |
| Tensile strength [MPa] | 51 | 63 | 61 | 65 | 45 |
| Elastic Modulus [MPa] | 2400 | 3251 | 3100 | 12,500 | 4250 |
| Elongation at break [%] | 3.5 | 4 | 4 | 0.5 | 4.9 |
| Manufacturer | Creality | 3D JAKE | Extruder | Spectrum | Spectrum |
| Fibers | Length [mm] | Density [g/cm3] | Tensile Strength [MPa] | Young’s Modulus [GPa] |
|---|---|---|---|---|
| Jute | 2–120 | 1.5 | 393–773 | 10–30 |
| Hemp | 5–55 | 1.4 | 550–1110 | 30–70 |
| Specimens | Re-Manufactured Filament Diameters [mm] | ||||||
|---|---|---|---|---|---|---|---|
| PLA | rPLA | PETG | CF–PLA | PLA + Hemp | rPLA + hemp | PETG + Jute | |
| 1 | 1.1 | 1.2 | 1.4 | 1.2 | 1 | 1.3 | 1.3 |
| 2 | 1.2 | 1.2 | 1.5 | 1.2 | 0.9 | 1.3 | 1.3 |
| 3 | 1.2 | 1.2 | 1.5 | 1.2 | 0.7 | 1.2 | 1.3 |
| 4 | 1.1 | 1.1 | 1.5 | 1.1 | 0.7 | 0.9 | 1.2 |
| 5 | 1.1 | 1.1 | 1.4 | 1.2 | 0.9 | 1.2 | 1.2 |
| Printing Parameters | Materials | ||||
|---|---|---|---|---|---|
| rPLA | PLA | PETG | CF–PLA | CF–PETG | |
| Layer thickness [mm] | 0.2 | 0.2 | 0.2 | 0.2 | 0.2 |
| Initial layer height [mm] | 0.2 | 0.2 | 0.2 | 0.2 | 0.2 |
| Print speed [mm/s] | 50 | 50 | 50 | 50 | 50 |
| Infill density [%] | 100 | 100 | 100 | 100 | 100 |
| Wall loops | 2 | 2 | 2 | 2 | 2 |
| Top/bottom layers | 2 | 2 | 2 | 2 | 2 |
| Infill pattern | Rectilinear | Rectilinear | Rectilinear | Rectilinear | Rectilinear |
| Platform temperature [°C] | 60 | 60 | 70 | 45 | 75 |
| Printing temperature [°C] | 210 | 205 | 230 | 200 | 240 |
| Nozzle diameter [mm] | 0.4 | 0.4 | 0.4 | 0.4 | 0.4 |
| Printing Settings | PLA | PETG | CF–PLA | CF–PETG |
|---|---|---|---|---|
| Layer height [mm] | 0.12 | 0.12 | 0.12 | 0.12 |
| Initial layer height [mm] | 0.2 | 0.2 | 0.2 | 0.2 |
| Wall loops | 2 | 2 | 2 | 2 |
| Top/bottom layers | 2 | 2 | 2 | 2 |
| Infill density [%] | 100 | 100 | 100 | 100 |
| Infill pattern | Rectilinear | Rectilinear | Rectilinear | Rectilinear |
| Printing temperature [°C] | 210 | 220 | 220 | 240 |
| Platform temperature [°C] | 45 | 70 | 45 | 70 |
| Printing speed [mm/s] | 50 | 50 | 50 | 50 |
| Filaments | Foriginal filament | Fre-filament | UTSre-filament | UTSoriginal filament |
|---|---|---|---|---|
| re-PLA | 71.51 ± 2.7 | 18 ± 1.2 | 30.6 ± 1.8 | 29.7 ± 3.2 |
| re-rPLA | 120 ± 4.8 | 50 ± 1.7 | 58.6 ± 2.5 | 50 ± 3.7 |
| re-PETG | 105 ± 2.5 | 72 ± 3.1 | 42.43 ± 2.3 | 43.86 ± 2.6 |
| re-CFPLA | 113 ± 3.4 | 66.8 ± 2.6 | 42.4 ± 3.1 | 47 ± 3.6 |
| re-PLA + Hemp | - | 18 ± 1.1 | 38.5 ± 0.9 | - |
| re-rPLA + Hemp | - | 50 ± 2.8 | 53.5 ± 2.7 | - |
| re-PETG + Jute | - | 62.38 ± 3.2 | 49 ± 3.3 | - |
| Materials | Maximum Applied Load [N] | Elongation at Maximum Applied Load [mm] | Maximum Stress [MPa] | E-Modulus [Mpa] |
|---|---|---|---|---|
| P | 1920 ± 65.2 | 0.69 ± 0.07 | 44.4 ± 2.5 | 2768 ± 96 |
| G | 1759 ± 119.5 | 0.77 ± 0.09 | 42.9 ± 3.19 | 2185 ± 105 |
| PCFP | 1921.7 ± 82.1 | 0.63 ± 0.13 | 46.2 ± 3.56 | 3805 ± 173 |
| GCFG | 1675 ± 96.7 | 0.91 ± 0.05 | 40.6 ± 1.47 | 2214 ± 151 |
| PCFPP | 1926.2 ± 102.6 | 0.71 ± 0.04 | 47.4 ± 2.41 | 3626 ± 127 |
| GCFGG | 1736 ± 67.7 | 0.94 ± 0.16 | 41.2 ± 1.53 | 2138 ± 208 |
| CFP | 1919.8 ± 76.1 | 0.64 ± 0.15 | 46.3 ± 1.62 | 3914 ± 76 |
| CFG | 1032 ± 82.8 | 0.7 ± 0.06 | 26 ± 2.61 | 1318 ± 84 |
| PG | 1606 ± 99.7 | 0.69 ± 0.09 | 38.8 ± 2.2 | 2356 ± 169 |
| GPG | 1705 ± 52.9 | 0.88 ± 0.17 | 41.19 ± 1.84 | 2498 ± 197 |
Disclaimer/Publisher’s Note: The statements, opinions and data contained in all publications are solely those of the individual author(s) and contributor(s) and not of MDPI and/or the editor(s). MDPI and/or the editor(s) disclaim responsibility for any injury to people or property resulting from any ideas, methods, instructions or products referred to in the content. |
© 2024 by the authors. Licensee MDPI, Basel, Switzerland. This article is an open access article distributed under the terms and conditions of the Creative Commons Attribution (CC BY) license (https://creativecommons.org/licenses/by/4.0/).
Share and Cite
Faidallah, R.F.; Hanon, M.M.; Salman, N.D.; Ibrahim, Y.; Babu, M.N.; Gaaz, T.S.; Szakál, Z.; Oldal, I. Development of Fiber-Reinforced Polymer Composites for Additive Manufacturing and Multi-Material Structures in Sustainable Applications. Processes 2024, 12, 2217. https://doi.org/10.3390/pr12102217
Faidallah RF, Hanon MM, Salman ND, Ibrahim Y, Babu MN, Gaaz TS, Szakál Z, Oldal I. Development of Fiber-Reinforced Polymer Composites for Additive Manufacturing and Multi-Material Structures in Sustainable Applications. Processes. 2024; 12(10):2217. https://doi.org/10.3390/pr12102217
Chicago/Turabian StyleFaidallah, Rawabe Fatima, Muammel M. Hanon, Nihal D. Salman, Yousef Ibrahim, Md. Noman Babu, Tayser Sumer Gaaz, Zoltán Szakál, and István Oldal. 2024. "Development of Fiber-Reinforced Polymer Composites for Additive Manufacturing and Multi-Material Structures in Sustainable Applications" Processes 12, no. 10: 2217. https://doi.org/10.3390/pr12102217
APA StyleFaidallah, R. F., Hanon, M. M., Salman, N. D., Ibrahim, Y., Babu, M. N., Gaaz, T. S., Szakál, Z., & Oldal, I. (2024). Development of Fiber-Reinforced Polymer Composites for Additive Manufacturing and Multi-Material Structures in Sustainable Applications. Processes, 12(10), 2217. https://doi.org/10.3390/pr12102217

