Security-Guaranteed PID Control for Discrete-Time Systems Subject to Periodic Dos Attacks
Abstract
1. Introduction
1.1. Engineering Background, Research Status and Motivation
1.2. Main Work in This Paper
2. Problem Formulation
3. Main Results
3.1. Performance Analysis of Stability and Noise Rejection
3.2. Parameter Design of Observer and PID Controller
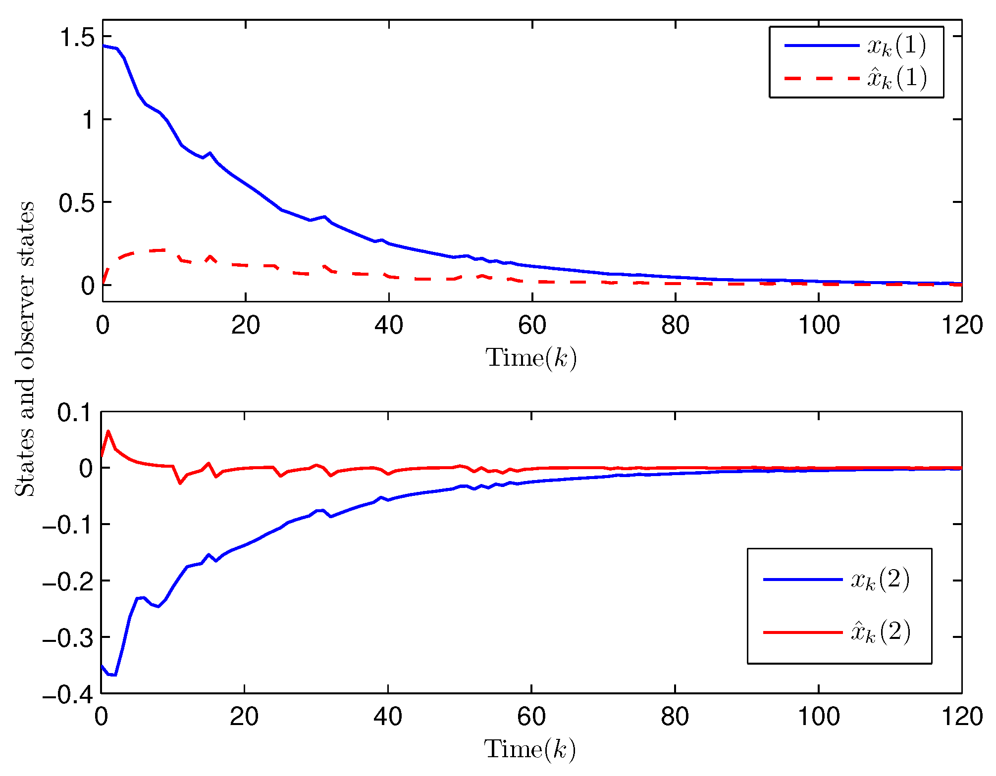
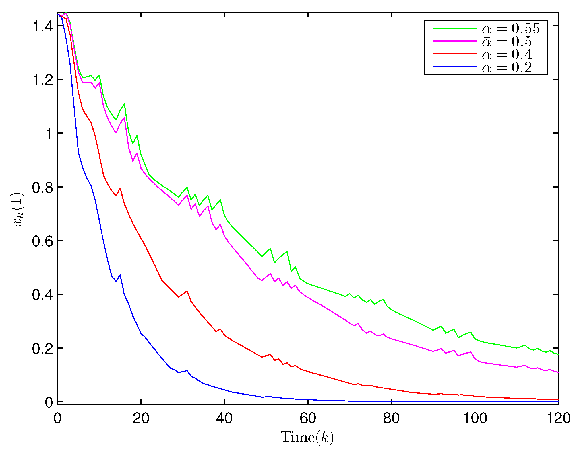
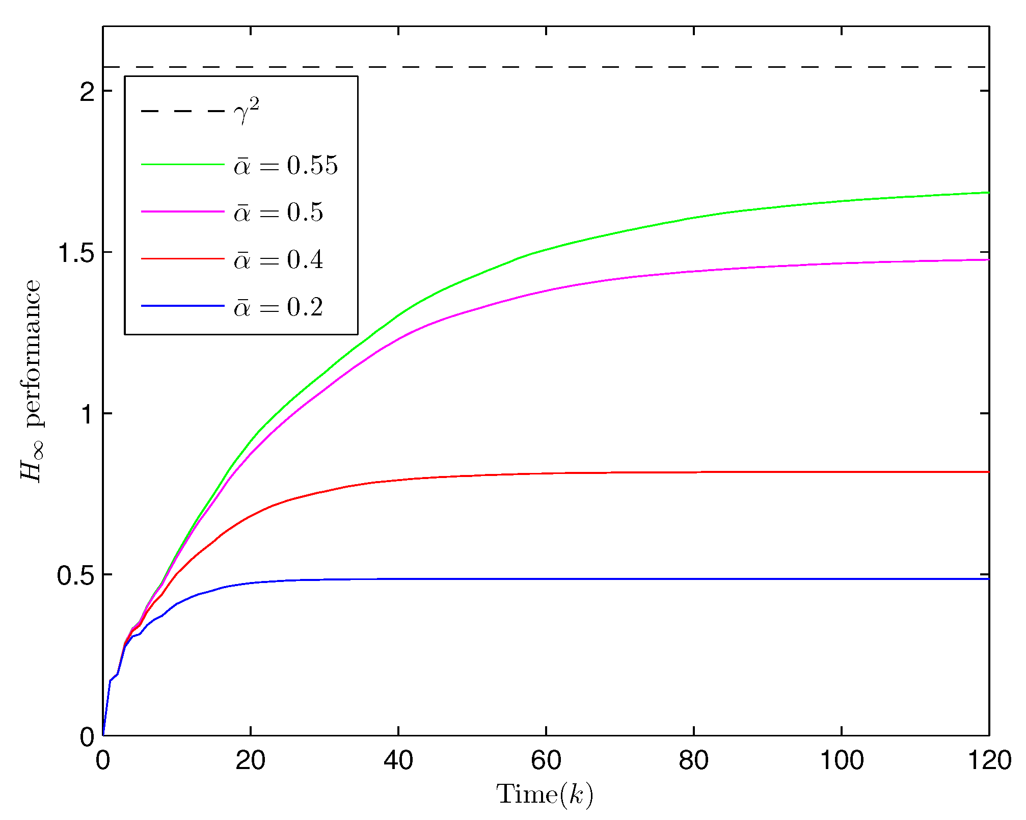
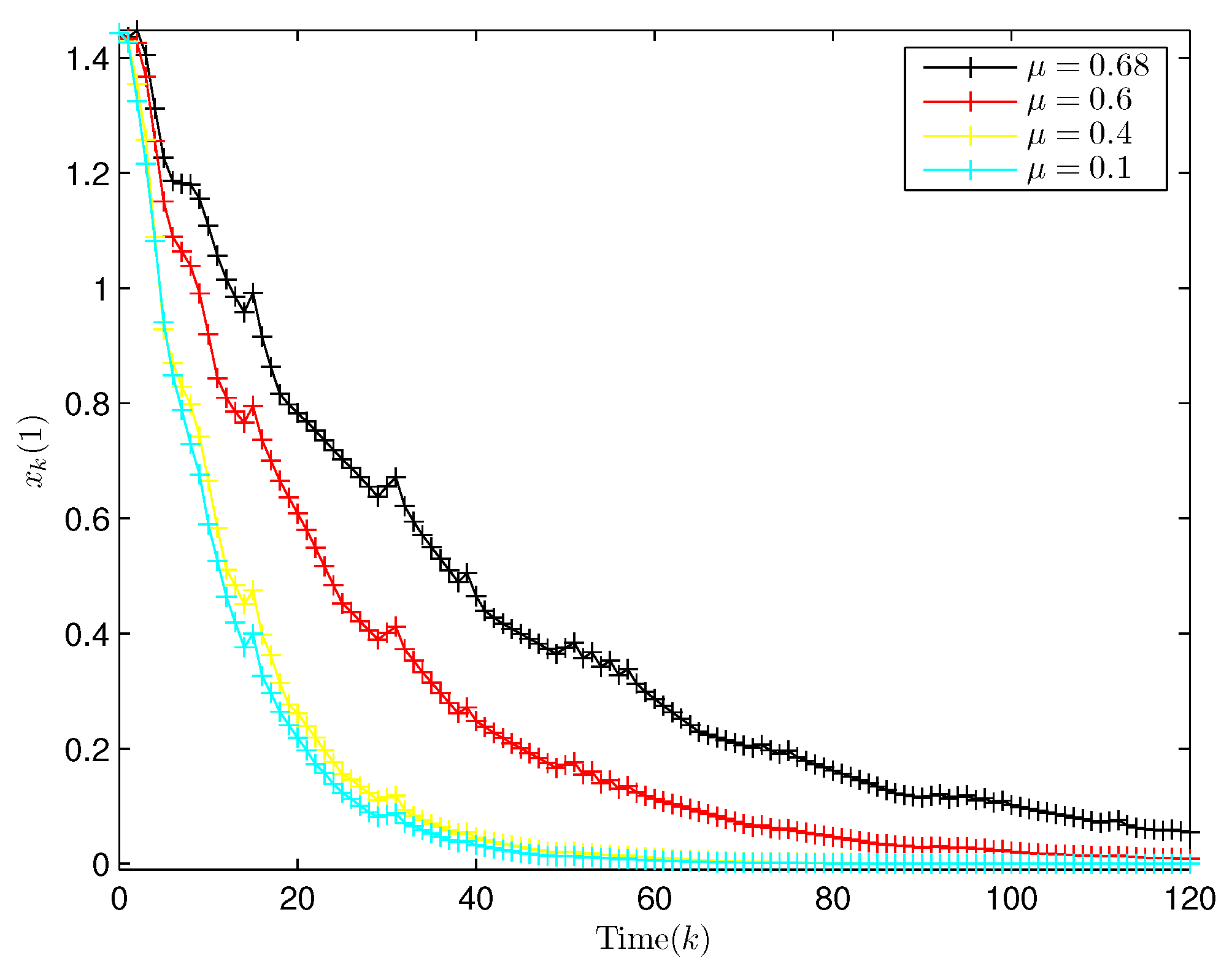
4. Simulation Example
5. Discussion and Conclusions
Author Contributions
Funding
Data Availability Statement
Conflicts of Interest
References
- Wang, L.; Zhao, D.; Zhang, Y.; Ding, D.; Yi, X. Gain-scheduled state estimation for discrete-time complex networks under bit-rate constraints. Neurocomputing 2022, 488, 120–129. [Google Scholar] [CrossRef]
- Shi, P.; Sun, W.; Yang, X.; Rudas, I.J.; Gao, H. Master-slave synchronous control of dual drive gantry stage with cogging force compensation. IEEE Trans. Syst. Man Cybern. Syst. 2023, 53, 216–225. [Google Scholar] [CrossRef]
- Tan, H.; Shen, B.; Peng, K.; Liu, H. Robust recursive filtering for uncertain stochastic systems with amplify-and-forward relays. Int. J. Syst. Sci. 2020, 51, 1188–1199. [Google Scholar] [CrossRef]
- Liu, Z.; Gao, H.; Lin, W.; Qiu, J.; Rodríguez-Andina, J.J.; Qu, D. B-spline wavelet neural network-based adaptive control for linear motor-driven systems via a novel gradient descent algorithm. IEEE Trans. Ind. Electron. 2023, in press. [Google Scholar] [CrossRef]
- Cai, M.; He, X.; Zhou, D. Performance-improved finite-time fault-tolerant control for linear uncertain systems with intermittent faults: An overshoot suppression strategy. Int. J. Syst. Sci. 2022, 53, 3408–3425. [Google Scholar] [CrossRef]
- Bu, X.; Hou, Z.; Zhang, H. Data-Driven multiagent systems consensus tracking using model free adaptive control. IEEE Trans. Neural Netw. Learn. Syst. 2018, 29, 1514–1524. [Google Scholar] [CrossRef]
- Gao, C.; He, X.; Dong, H.; Liu, H.; Lyu, G. A survey on fault-tolerant consensus control of multi-agent systems: Trends, methodologies and prospects. Int. J. Syst. Sci. 2022, 53, 2800–2813. [Google Scholar] [CrossRef]
- Wang, L.; Zhao, D.; Wang, Y.-A.; Ding, D.; Liu, H. Partial-neurons-based state estimation for artificial neural networks under constrained bit rate: The finite-time case. Neurocomputing 2022, 488, 144–153. [Google Scholar] [CrossRef]
- Su, Y.; Cai, H.; Huang, J. The cooperative output regulation by the distributed observer approach. Int. J. Netw. Dynam. Int. 2022, 1, 20–35. [Google Scholar] [CrossRef]
- Liu, Y.; Wang, Z.; Liu, C.; Coombes, M.; Chen, W.-H. Auxiliary particle filtering over sensor networks under protocols of amplify-and-forward and decode-and-forward relays. IEEE Trans. Signal Inf. Process. Netw. 2022, 8, 883–893. [Google Scholar] [CrossRef]
- Tan, H.; Shen, B.; Li, Q.; Qian, W. Recursive filtering for nonlinear systems with self-interferences over full-duplex relay networks. IEEE-CAA J. Autom. 2022, 9, 2037–2040. [Google Scholar] [CrossRef]
- Zhao, D.; Wang, Z.; Wei, G.; Han, Q.-L. A dynamic event-triggered approach to observer-based PID security control subject to deception attacks. Automatica 2020, 120, 109128:1–109128:13. [Google Scholar] [CrossRef]
- Zhao, D.; Wang, Z.; Ho, D.W.C.; Wei, G. Observer-based PID security control for discrete time-delay systems under cyber-attacks. IEEE Trans. Syst. Man Cybern. Syst. 2021, 51, 3926–3938. [Google Scholar] [CrossRef]
- Su, C.-L.; Chang, W.-J.; Pen, C.-L. Decentralized multi-performance fuzzy control for nonlinear large-scale descriptor systems. Processes 2022, 10, 2578. [Google Scholar] [CrossRef]
- Zhang, Q.; Zhou, Y. Recent advances in non-Gaussian stochastic systems control theory and its applications. Int. J. Netw. Dynam. Int. 2022, 1, 111–119. [Google Scholar] [CrossRef]
- Chang, W.-J.; Lin, Y.-W.; Lin, Y.-H.; Pen, C.-L.; Tsai, M.-H. Actuator saturated fuzzy controller design for interval Type-2 Takagi-Sugeno fuzzy models with multiplicative noises. Processes 2021, 9, 823. [Google Scholar] [CrossRef]
- Wen, P.; Dong, H.; Huo, F.; Li, J.; Lu, X. Observer-based PID control for actuator-saturated systems under binary encoding scheme. Neurocomputing 2022, 499, 54–62. [Google Scholar] [CrossRef]
- Zhao, D.; Wang, Z.; Ding, D.; Wei, G. H∞ PID control with fading measurements: The output-feedback case. IEEE Trans. Syst. Man Cybern. Syst. 2020, 50, 2170–2180. [Google Scholar] [CrossRef]
- Lian, S.; Meng, W.; Lin, Z.; Shao, K.; Zheng, J.; Li, H.; Lu, R. Adaptive attitude control of a quadrotor using fast nonsingular terminal sliding mode. IEEE Trans. Ind. Electron. 2022, 69, 1597–1607. [Google Scholar] [CrossRef]
- Liu, Z.; Lin, W.; Yu, X.; Rodríguez-Andina, J.J.; Gao, H. Approximation-free robust synchronization control for dual-linear-motors-driven systems with uncertainties and disturbances. IEEE Trans. Ind. Electron. 2022, 69, 10500–10509. [Google Scholar] [CrossRef]
- Bao, G.; Ma, L.; Yi, X. Recent advances on cooperative control of heterogeneous multi-agent systems subject to constraints: A survey. Syst. Sci. Control Eng. 2022, 10, 539–551. [Google Scholar] [CrossRef]
- Zhao, D.; Wang, Z.; Wang, L.; Wei, G. Proportional-integral observer design for multirate-networked systems under constrained bit rate: An encoding-decoding mechanism. IEEE Trans. Cybern. 2022, in press. [Google Scholar] [CrossRef] [PubMed]
- Zhao, D.; Wang, Z.; Chen, Y.; Wei, G.; Sheng, W. Partial-neurons-based proportional-integral observer design for artificial neural networks: A multiple description encoding scheme. IEEE Trans. Neural Netw. Learn. Syst. 2022, in press. [Google Scholar] [CrossRef]
- Yang, F.; Li, J.; Dong, H.; Shen, Y. Proportional-integral-type estimator design for delayed recurrent neural networks under encoding-decoding mechanism. Int. J. Syst. Sci. 2022, 53, 2729–2741. [Google Scholar] [CrossRef]
- Meng, X.; Chen, Y.; Ma, L.; Liu, H. Protocol-based variance-constrained distributed secure filtering with measurement censoring. Int. J. Syst. Sci. 2022, 53, 3322–3338. [Google Scholar] [CrossRef]
- Sun, Y.; Tian, X.; Wei, G. Finite-time distributed resilient state estimation subject to hybrid cyber-attacks: A new dynamic event-triggered case. Int. J. Syst. Sci. 2022, 53, 2832–2844. [Google Scholar] [CrossRef]
- Yao, F.; Ding, Y.; Hong, S.; Yang, S.-H. A survey on evolved LoRa-based communication technologies for emerging internet of things applications. Int. J. Netw. Dynam. Int. 2022, 1, 4–19. [Google Scholar] [CrossRef]
- Pang, Z.H.; Fan, L.Z.; Guo, H.; Shi, Y.; Chai, R.; Sun, J.; Liu, G. Security of networked control systems subject to deception attacks: A survey. Int. J. Syst. Sci. 2022, 53, 3577–3598. [Google Scholar] [CrossRef]
- Zou, L.; Wang, Z.; Hu, J.; Liu, Y.; Liu, X. Communication-protocol-based analysis and synthesis of networked systems: Progress, prospects and challenges. Int. J. Syst. Sci. 2021, 52, 3013–3034. [Google Scholar] [CrossRef]
- Tao, H.; Tan, H.; Chen, Q.; Liu, H.; Hu, J. H∞ state estimation for memristive neural networks with randomly occurring DoS attacks. Syst. Sci. Control Eng. 2022, 10, 154–165. [Google Scholar] [CrossRef]
- Su, L.; Ye, D. Reprint of: Observer-based output feedback H∞ control for cyber-physical systems under randomly occurring packet dropout and periodic DoS attacks. ISA Trans. 2020, 104, 26–35. [Google Scholar] [CrossRef] [PubMed]
- Li, X.-M.; Yao, D.; Li, P.; Meng, W.; Li, H.; Lu, R. Secure finite-horizon consensus control of multiagent systems against cyber attacks. IEEE Trans. Cybern. 2022, 52, 9230–9239. [Google Scholar] [CrossRef] [PubMed]
- Yu, G.-R.; Chang, Y.-D.; Chang, C.-H. Synthesis of polynomial fuzzy model-based designs with synchronization and secure communications for chaos systems with H∞ performance. Processes 2021, 9, 2088. [Google Scholar] [CrossRef]
- Wu, J.; Peng, C.; Yang, H.; Wang, Y.L. Recent advances in event-triggered security control of networked systems: A survey. Int. J. Syst. Sci. 2022, 53, 2624–2643. [Google Scholar] [CrossRef]
- Xiao, B.; Hu, Q.; Zhang, Y. Adaptive sliding mode fault tolerant attitude tracking control for flexible spacecraft under actuator saturation. IEEE Trans. Control Syst. Technol. 2012, 20, 1605–1612. [Google Scholar] [CrossRef]
- Wang, Y.; Ren, W.; Liu, Z.; Li, J.; Zhang, D. T-S fuzzy model-based fault detection for continuous stirring tank reactor. Processes 2021, 9, 2127. [Google Scholar] [CrossRef]
- Wang, X.; Sun, Y.; Ding, D. Adaptive dynamic programming for networked control systems under communication constraints: A survey of trends and techniques. Int. J. Netw. Dynam. Int. 2022, 1, 85–98. [Google Scholar] [CrossRef]
- Hou, Z.; Xiong, S. On model-free adaptive control and its stability analysis. IEEE Trans. Autom. Control 2019, 64, 4555–4569. [Google Scholar] [CrossRef]
- Wang, L.; Liu, S.; Zhang, Y.; Ding, D.; Yi, X. Non-fragile l2-l∞ state estimation for time-delayed artificial neural networks: An adaptive event-triggered approach. Int. J. Syst. Sci. 2022, 53, 2247–2259. [Google Scholar] [CrossRef]
- Zhang, Y.; Jiang, J. Fault tolerant control system design with explicit consideration of performance degradation. IEEE Trans. Aerosp. Electron. Syst. 2003, 39, 838–848. [Google Scholar] [CrossRef]
- Zhuang, G.; Wang, X.; Xia, J.; Wang, Y. Observer-based asynchronous feedback H∞ control for delayed fuzzy implicit jump systems under HMM and event-trigger mechanisms. Inf. Sci. 2023, 631, 45–64. [Google Scholar] [CrossRef]
- Liu, Y.; Wang, Z.; Liang, J.; Liu, X. Synchronization and state estimation for discrete-time complex networks with distributed delays. IEEE Trans. Syst. Man Cybern. Part B (Cybern.) 2008, 38, 1314–1325. [Google Scholar]
- Xu, J.; Sheng, L.; Gao, M. Fault estimation for nonlinear systems with sensor gain degradation and stochastic protocol based on strong tracking filtering. Syst. Sci. Control Eng. 2021, 9, 60–70. [Google Scholar] [CrossRef]
- Shakiba, F.M.; Shojaee, M.; Azizi, S.M.; Zhou, M. Real-time sensing and fault diagnosis for transmission lines. Int. J. Netw. Dynam. Int. 2022, 1, 36–47. [Google Scholar] [CrossRef]
- Voortman, Q.; Efimov, D.; Pogromsky, A.Y.; Richard, J.-P.; Nijmeijer, H. An event-triggered observation scheme for systems with perturbations and data rate constraints. Automatica 2022, 145, 110512:1–110512:10. [Google Scholar] [CrossRef]
- Li, M.; Liang, J.; Wang, F. Robust set-membership filtering for two-dimensional systems with sensor saturation under the Round-Robin protocol. Int. J. Syst. Sci. 2022, 53, 2773–2785. [Google Scholar] [CrossRef]
- Wen, P.; Li, X.; Hou, N.; Mu, S. Distributed recursive fault estimation with binary encoding schemes over sensor networks. Syst. Sci. Control Eng. 2022, 10, 417–427. [Google Scholar] [CrossRef]
- Li, X.; Han, F.; Hou, N.; Dong, H.; Liu, H. Set-membership filtering for piecewise linear systems with censored measurements under Round-Robin protocol. Int. J. Syst. Sci. 2020, 51, 1578–1588. [Google Scholar] [CrossRef]
- Shen, W.; Liu, S.; Liu, M. Adaptive sliding mode control of hydraulic systems with the event trigger and finite-time disturbance observer. Inf. Sci. 2021, 569, 55–69. [Google Scholar] [CrossRef]
- Tan, Y.; Liu, J.; Xie, X.; Tian, E.; Liu, J. Event-triggered sliding-mode control for fuzzy semi-Markovian jump systems with dead zone input and application to circuit systems. IEEE Trans. Circuits Syst. II Express Briefs 2023, in press. [Google Scholar] [CrossRef]
- Li, C.; Wang, Z.; Song, W.; Zhao, S.; Wang, J.; Shan, J. Resilient unscented Kalman filtering fusion with dynamic event-triggered scheme: Applications to multiple unmanned aerial vehicles. IEEE Trans. Control Syst. Technol. 2023, 31, 370–381. [Google Scholar] [CrossRef]
- Jia, C.; Hu, J.; Chen, D.; Cao, Z.; Huang, J.; Tan, H. Adaptive event-triggered state estimation for a class of stochastic complex networks subject to coding-decoding schemes and missing measurements. Neurocomputing 2022, 494, 297–307. [Google Scholar] [CrossRef]
- Shen, Y.; Wu, Z.-G.; Shi, P.; Chen, B. H∞ control of constrained Markov jump systems with intermittent mode information loss. IEEE Trans. Autom. Control 2023, in press. [CrossRef]
- Boyd, S.; Ghaoui, L.E.; Feron, E.; Balakrishnan, V. Linear Matrix Inequalities in System and Control Theory; SIAM: Philadelphia, PA, USA, 1994; pp. 7–8. [Google Scholar]
- Li, Z.; Wang, Z.; Ding, D.; Shu, H. Non-fragile H∞ control with randomly occurring gain variations, distributed delays and channel fadings. IET Control Theory Appl. 2015, 9, 222–231. [Google Scholar] [CrossRef]
- Zhang, H.; Shi, Y.; Mehr, A.S. Robust static output feedback control and remote PID design for networked motor systems. IEEE Trans. Ind. Electron. 2011, 58, 5396–5405. [Google Scholar] [CrossRef]
- Zhang, X.-M.; Han, Q.-L. A decentralized event-triggered dissipative control scheme for systems with multiple sensors to sample the system outputs. IEEE Trans. Cybern. 2016, 46, 2745–2757. [Google Scholar] [CrossRef] [PubMed]
- Su, L.; Ye, D. A cooperative detection and compensation mechanism against denial-of-service attack for cyber-physical systems. Inform. Sci. 2018, 444, 122–134. [Google Scholar] [CrossRef]











Disclaimer/Publisher’s Note: The statements, opinions and data contained in all publications are solely those of the individual author(s) and contributor(s) and not of MDPI and/or the editor(s). MDPI and/or the editor(s) disclaim responsibility for any injury to people or property resulting from any ideas, methods, instructions or products referred to in the content. |
© 2023 by the authors. Licensee MDPI, Basel, Switzerland. This article is an open access article distributed under the terms and conditions of the Creative Commons Attribution (CC BY) license (https://creativecommons.org/licenses/by/4.0/).
Share and Cite
Hou, N.; Zhang, D.; Yang, F.; Li, W.; Sui, Y. Security-Guaranteed PID Control for Discrete-Time Systems Subject to Periodic Dos Attacks. Processes 2023, 11, 1375. https://doi.org/10.3390/pr11051375
Hou N, Zhang D, Yang F, Li W, Sui Y. Security-Guaranteed PID Control for Discrete-Time Systems Subject to Periodic Dos Attacks. Processes. 2023; 11(5):1375. https://doi.org/10.3390/pr11051375
Chicago/Turabian StyleHou, Nan, Duo Zhang, Fan Yang, Weijian Li, and Yang Sui. 2023. "Security-Guaranteed PID Control for Discrete-Time Systems Subject to Periodic Dos Attacks" Processes 11, no. 5: 1375. https://doi.org/10.3390/pr11051375
APA StyleHou, N., Zhang, D., Yang, F., Li, W., & Sui, Y. (2023). Security-Guaranteed PID Control for Discrete-Time Systems Subject to Periodic Dos Attacks. Processes, 11(5), 1375. https://doi.org/10.3390/pr11051375
