Investigation and Characterisation of New Eco-Friendly Cosmetic Ingredients Based on Probiotic Bacteria Ferment Filtrates in Combination with Alginite Mineral
Abstract
1. Introduction
2. Materials and Methods
2.1. The Fermentation
2.2. Skin Moisturising Measurement
2.3. Antioxidant Capacity Measurement
2.4. Mushroom Tyrosinase Inhibition
3. Results
3.1. Skin Moisture Effect Determination
3.2. The Antioxidant Capacity
3.3. Mushroom Tyrosinase Inhibition
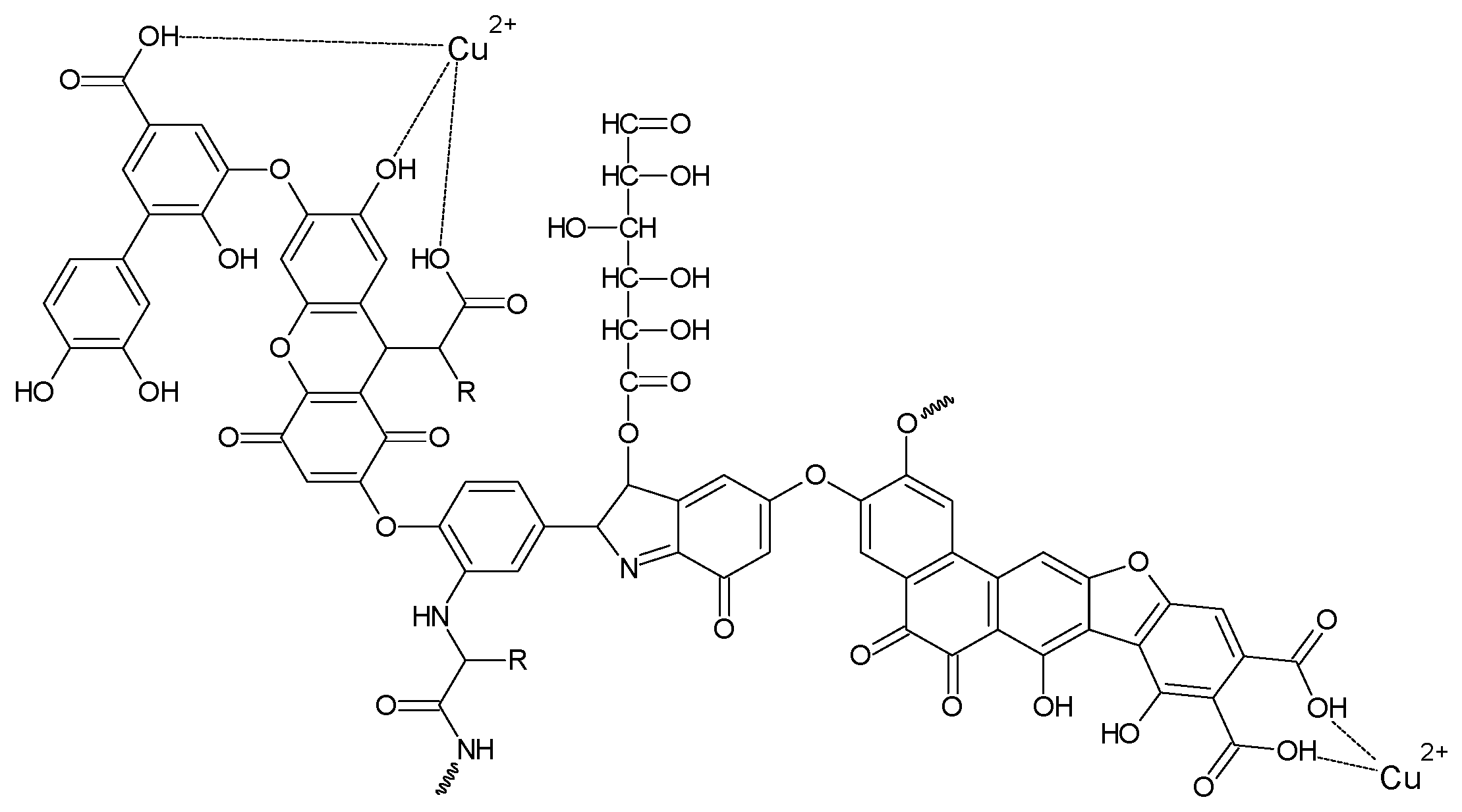
4. Discussion
5. Conclusions
Author Contributions
Funding
Informed Consent Statement
Data Availability Statement
Acknowledgments
Conflicts of Interest
References
- Solano, F. Metabolism and functions of amino acids in the skin. Adv. Exp. Med. Biol. 2020, 1265, 187–199. [Google Scholar] [CrossRef]
- Izawa, N.; Sone, T. Cosmetic ingredients fermented by lactic acid bacteria. In Microbial Production: From Genome Design to Cell Engineering; Springer: Tokyo, Japan, 2014; pp. 233–242. [Google Scholar] [CrossRef]
- Spier, H.W.; Pascher, G. Zur analytischen und funktionellen Physiologie der Hautoberfl äche. Anal. Funct. Physiol. Ski. Surface 1956, 7, 55–60. [Google Scholar] [CrossRef]
- Laine, P.; Kontio, R.; Lindqvist, C.; Suuronen, R. Are there any complications with bioabsorbable fixation devices?: A 10 year review in orthognathic surgery. Int. J. Oral Maxillofac. Surg. 2004, 33, 240–244. [Google Scholar] [CrossRef] [PubMed]
- Macarini, L.; Milillo, P.; Mocci, A.; Vinci, R.; Gettorre, G. Poly-L-lactic acid-hydroxyapatite (PLLA-HA) bioabsorbable interference screws for tibial graft fixation in anterior cruciate ligament (ACL) reconstruction surgery: MR evaluation of osteointegration and degradation features. La Radiologia Medica 2008, 113, 1185–1197. [Google Scholar] [CrossRef] [PubMed]
- Ochi, M.; Adachi, N.; Nobuto, H.; Yanada, S.; Ito, Y.; Agung, M. Articular cartilage repair using tissue engineering technique: Novel approach with minimally invasive procedure. Artif. Organs 2004, 28, 28–32. [Google Scholar] [CrossRef]
- Natarajan, V.; Krithica, N.; Madhan, B.; Sehgal, P.K. Formulation and Evaluation of Quercetin Polycaprolactone Microspheres for the Treatment of Rheumatoid Arthritis. J. Pharm. Sci. 2011, 100, 195–205. [Google Scholar] [CrossRef]
- van Dijk, M.; Smit, T.H.; Sugihara, S.; Burger, E.H.; Wuisman, P. The Effect of Cage Stiffness on the Rate of Lumbar Interbody Fusion. Spine 2002, 27, 682–688. [Google Scholar] [CrossRef]
- Solti, G. Az alginit; Magyar Állami Földtani Intézet: Budapest, Hungary, 1987; ISBN 963 671 073 2. [Google Scholar]
- Cukor, J.; Linhart, L.; Vacek, Z.; Baláš, M.; Linda, R. The effects of Alginite fertilisation on selected tree species seedlings performance on afforested agricultural lands. Cent. Eur. For. J. 2017, 63, 48–56. [Google Scholar] [CrossRef]
- Tužinský, M.; Kupka, I.; Podrázský, V.; Prknová, H. Influence of the mineral rock alginite on survival rate and re-growth of selected tree species on agricultural land. J. For. Sci. 2015, 61, 399–405. [Google Scholar] [CrossRef]
- Hlubeňová, K.; Mudroňová, D.; Nemcová, R.; Gancarčíková, S.; Maďar, M.; Sciranková, Ľ. The Effect of Probiotic Lactobacilli and Alginite on the Cellular Immune Response in Salmonella Infected Mice. Folia Vet. 2017, 61, 61–66. [Google Scholar] [CrossRef]
- Strompfová, V.; Kubašová, I.; Farbáková, J.; Maďari, A.; Gancarčíková, S.; Mudroňová, D.; Lauková, A. Evaluation of Probiotic Lactobacillus fermentum CCM 7421 Administration with Alginite in Dogs. Probiotics Antimicrob. Proteins 2017, 10, 577–588. [Google Scholar] [CrossRef] [PubMed]
- Dogan, M.; Ozpinar, H. Investigation of probiotic features of bacteria isolated from some food products. Kafkas Univ. Vet. Fak. Derg. 2017, 23, 555–562. [Google Scholar] [CrossRef]
- Wu, W.; Li, H. Metabolites of lactic acid bacteria. In Lactic Acid Bacteria in Foodborne Hazards Reduction; Springer: Singapore, 2018; pp. 87–113. [Google Scholar] [CrossRef]
- Handa, S.; Sharma, N. In vitro study of probiotic properties of Lactobacillus plantarum F22 isolated from chhang–A traditional fermented beverage of Himachal Pradesh. J. Genet. Eng. Biotechnol. 2016, 14, 91–97. [Google Scholar] [CrossRef]
- Väkeväinen, K.; Valderrama, A.; Espinosa, J.; Centurión, D.; Rizo, J.; Reyes-Duarte, D.; Díaz-Ruiz, G.; von Wright, A.; Elizaquível, P.; Esquivel, K.; et al. Characterisation of lactic acid bacteria recovered from atole agrio, a traditional Mexican fermented beverage. LWT 2018, 88, 109–118. [Google Scholar] [CrossRef]
- Gaisawat, M.B.; Iskandar, M.M.; MacPherson, C.W.; Tompkins, T.A.; Kubow, S. Probiotic supplementation is associated with increased antioxidant capacity and copper chelation in C. difficile-infected fecal water. Nutrients 2019, 11, 2007. [Google Scholar] [CrossRef] [PubMed]
- Chugh, B.; Kamal-Eldin, A. Bioactive compounds produced by probiotics in food products. Curr. Opin. Food Sci. 2020, 32, 76–82. [Google Scholar] [CrossRef]
- Cuvas-Limon, R.B.; Nobre, C.; Cruz, M.; Rodriguez-Jasso, R.M.; Ruíz, H.A.; Loredo-Treviño, A.; Texeira, J.A.; Belmares, R. Spontaneously fermented traditional beverages as a source of bioactive compounds: An overview. Crit. Rev. Food Sci. Nutr. 2020, 61, 2984–3006. [Google Scholar] [CrossRef]
- Oláh, K.; Németh, Á. Examination of probiotic Bifidobacteria via impedimetric method. In Chemcys; Blankenberge, Belgium, 2018. [Google Scholar]
- Hetényi, K.; Németh, Á.; Sevella, B. Investigation and modeling of lactic acid fermentation on wheat starch via SSF, CHF and SHF technology. Period. Polytech. Chem. Eng. 2011, 55, 11–16. [Google Scholar] [CrossRef]
- Vidra, A.; Tóth, A.J.; Németh, Á. Lactic acid production from cane molasses. Liq. Waste Recovery 2017, 2, 13–16. [Google Scholar] [CrossRef]
- Áron, N. Application of impedimetric measurements in lactic acid, propionic acid and succinic acid fermentation. Acta Microbiol. Et Immunol. Hung. 2017, 64 (Suppl. 1), 153. [Google Scholar]
- Tóth, P.; Németh, Á. Investigations Into the usage of the mineral alginite fermented with Lactobacillus paracasei for cosmetic purposes. Hung. J. Ind. Chem. 2022, 50, 16–20. [Google Scholar] [CrossRef]
- De Menezes, B.B.; Frescura, L.M.; Duarte, R.; Villetti, M.A.; da Rosa, M.B. A critical examination of the DPPH method: Mistakes and inconsistencies in stoichiometry and IC50 determination by UV–Vis spectroscopy. Anal. Chim. Acta 2021, 1157, 338398. [Google Scholar] [CrossRef] [PubMed]
- Masuda, T.; Yamashita, D.; Takeda, Y.; Yonemori, S. Screening for tyrosinase inhibitors among extracts of seashore plants and identification of potent inhibitors from Garcinia subelliptica. Biosci. Biotechnol. Biochem. 2005, 69, 197–201. [Google Scholar] [CrossRef] [PubMed]
- Bowser, P.; Evenson, A.; Rawlings, A.V. Cosmetic Composition Containing a Lipid and a Hydroxy acid. European Patent Appl. EP058788A1, 21 July 1993. [Google Scholar]
- Youssef, M.M.; Moharram, H.A. Methods for Determining the Antioxidant Activity: A Review. Alex. J. Food Sci. Technol. 2014, 11, 31–42. [Google Scholar] [CrossRef]
- Khang, D.T.; Tien, L.T.T.; Men, T.T.; Thuy, N.P. Potential of Fermented Fruit Peel Liquid in Cosmetics as a Skin Care Agent. Cosmetics 2021, 8, 33. [Google Scholar] [CrossRef]
- Avvakumova, N.P.; Gerchikov, A.Y.; Khairullina, V.R. Antioxidant properties of humic substances isolated from peloids. Pharm. Chem. J. 2011, 45, 192. [Google Scholar] [CrossRef]
- Khil’ko, S.L.; Efimova, I.V.; Smirnova, O.V. Antioxidant Properties of Humic Acids from Brown Coal. Solid Fuel Chem. 2011, 45, 367–371. [Google Scholar] [CrossRef]
- Zykova, M.V.; Schepetkin, I.A.; Belousov, M.V.; Krivoshchekov, S.V.; Logvinova, L.A.; Bratishko, K.A.; Yusubov, M.S.; Romanenko, S.V.; Quinn, M.T. Physicochemical Characterization and Antioxidant Activity of Humic Acids Isolated from Peat of Various Origins. Molecules 2018, 23, 753. [Google Scholar] [CrossRef]
- Karadirek, S.; Kanmaz, N.; Balta, Z.; Demircivi, P.; Üzer, A.; Hizal, J.; Apak, R. Determination of total antioxidant capacity of humic acids using CUPRAC, Folin-Ciocalteu, noble metal nanoparticle- and solid-liquid extraction-based methods. Talanta 2016, 153, 120–129. [Google Scholar] [CrossRef]
- Klein, O.I.; Kulikova, N.A.; Konstantinov, A.I.; Zykova, M.V.; Perminova, I.V. A Systematic Study of the Antioxidant Capacity of Humic Substances against Peroxyl Radicals: Relation to Structure. Polymers 2021, 13, 3262. [Google Scholar] [CrossRef]
- Tseng, T.-S.; Tsai, K.-C.; Chen, W.-C.; Wang, Y.-T.; Lee, Y.-C.; Lu, C.-K.; Don, M.-J.; Chang, C.-Y.; Lee, C.-H.; Lin, H.-H.; et al. Discovery of Potent Cysteine-Containing Dipeptide Inhibitors against Tyrosinase: A Comprehensive Investigation of 20 × 20 Dipeptides in Inhibiting Dopachrome Formation. J. Agric. Food Chem. 2015, 63, 6181–6188. [Google Scholar] [CrossRef] [PubMed]
- Stevenson, F.J. Humus Chemistry: Genesis, Composition, Reactions; John, Wiley & Sons: New York, NY, USA, 1994; ISBN 0-471-59474-1. [Google Scholar]
- Nagy, L.; Mucsi, G.; Halyag, N. Műszaki Földtudományi Közlemények; University of Miskolc: Miskolc, Hungary, 2020; Volume 89, pp. 50–59. ISSN 2063-5508. [Google Scholar]
- Gheibi, N.; Saboury, A.A.; Haghbeen, K. Substrate construes the copper and nickel ions impacts on the mushroom tyrosinase activities. Bull. Korean Chem. Soc. 2006, 27, 642–648. [Google Scholar] [CrossRef][Green Version]
- Gheibi, N.; Saboury, A.; Sarreshtehdari, M. Non-essential activation of Co2+ and Zn2+ on mushroom tyrosinase: Kinetic and structural stability. Bull. Korean Chem. Soc. 2011, 32, 1500–1506. [Google Scholar] [CrossRef][Green Version]







| Lactic Acid Conc. (g/L) | Calculated Moisturising Effect (%) | Mean of Measured Moisturising Effect (%) | |||||
|---|---|---|---|---|---|---|---|
| with A. | without A. | with A. | without A. | with A. | without A. | p * | |
| B. adolescentis | 14.6 | 14.6 | 5.33 | 5.33 | 4.00 ± 0.71 | 8.89 ± 2.86 | 0.000138 |
| L. lactis | 5.0 | 5.5 | −1.34 | −0.99 | 8.78 ± 0.73 | 9.00 ± 1.12 | 0.623876 |
| L. reuteri | 17.0 | 19.2 | 6.99 | 8.52 | 7.89 ± 2.49 | 9.11 ± 2.32 | 0.296743 |
| L. rhamnosus | 18.4 | 22.0 | 7.97 | 10.47 | 9.78 ± 2.05 | 9.78 ± 1.01 | 0.999997 |
| L. acidophilus | 20.0 | 18.7 | 9.08 | 8.17 | 5.67 ± 0.65 | 12.08 ± 0.79 | 0.000000 |
| Sample | Regression Equation | IC50 |
|---|---|---|
| B. adolescentis with. A. | f = −8.1871 × x + 1 (R2 = 0.9995) | 6.1% |
| B. adolescentis without | f = −8.9354 × x + 1 (R2 = 0.9985) | 5.6% |
| L. lactis with. A. | f = −15.508 × x + 1 (R2 = 0.9984) | 3.2% |
| L. lactis without | f = −16.942 × x + 1 (R2 = 0.9998) | 3.0% |
| L. reuteri with. A. | f = −4.618 × x + 1 (R2 = 0.9952) | 10.8% |
| L. reuteri without | f = −5.3366 × x + 1 (R2 = 0.9923) | 9.4% |
| L. rhamnosus with. A. | f = −3.9569 × x + 1 (R2 = 0.9993) | 12.6% |
| L. rhamnosus without | f = −4.223 × x + 1 (R2 = 0.9957) | 11.8% |
| L. acidophilus with. A. | f = −6.5685 × x + 1 (R2 = 0.9976) | 7.6% |
| L. acidophilus without | f = −6.2333 × x + 1 (R2 = 0.9885) | 8.0% |
| L-ascorbic acid | f = −0.128 × x + 1 (R2 = 0.9988) | 39.0 µmol/L |
Publisher’s Note: MDPI stays neutral with regard to jurisdictional claims in published maps and institutional affiliations. |
© 2022 by the authors. Licensee MDPI, Basel, Switzerland. This article is an open access article distributed under the terms and conditions of the Creative Commons Attribution (CC BY) license (https://creativecommons.org/licenses/by/4.0/).
Share and Cite
Tóth, P.; Németh, Á. Investigation and Characterisation of New Eco-Friendly Cosmetic Ingredients Based on Probiotic Bacteria Ferment Filtrates in Combination with Alginite Mineral. Processes 2022, 10, 2672. https://doi.org/10.3390/pr10122672
Tóth P, Németh Á. Investigation and Characterisation of New Eco-Friendly Cosmetic Ingredients Based on Probiotic Bacteria Ferment Filtrates in Combination with Alginite Mineral. Processes. 2022; 10(12):2672. https://doi.org/10.3390/pr10122672
Chicago/Turabian StyleTóth, Pál, and Áron Németh. 2022. "Investigation and Characterisation of New Eco-Friendly Cosmetic Ingredients Based on Probiotic Bacteria Ferment Filtrates in Combination with Alginite Mineral" Processes 10, no. 12: 2672. https://doi.org/10.3390/pr10122672
APA StyleTóth, P., & Németh, Á. (2022). Investigation and Characterisation of New Eco-Friendly Cosmetic Ingredients Based on Probiotic Bacteria Ferment Filtrates in Combination with Alginite Mineral. Processes, 10(12), 2672. https://doi.org/10.3390/pr10122672

