Simultaneous Anaerobic Ammonium Oxidation and Electricity Generation in Microbial Fuel Cell: Performance and Electrochemical Characteristics
Abstract
1. Introduction
2. Materials and Methods
2.1. Consruction of the Anode Anammox MFCs
2.2. Operating Conditions
2.3. Analyses and Calculations
3. Results and Discussion
3.1. Nitrogen Removal
3.2. Electricity Generation
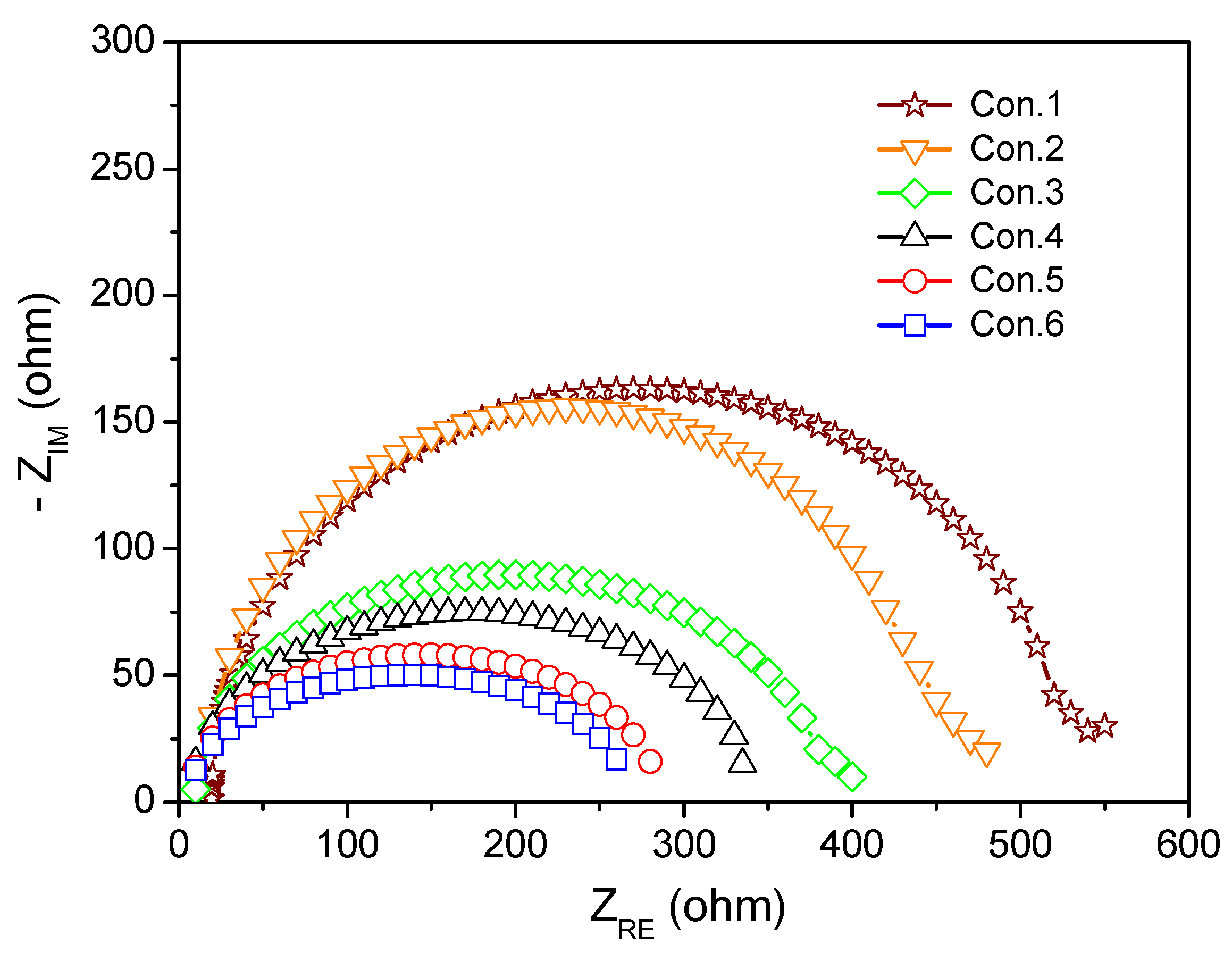
3.3. Electrochemical Characteristics
4. Conclusions
Author Contributions
Funding
Data Availability Statement
Conflicts of Interest
References
- Logan, B.E.; Rabaey, K. Conversion of Wastes into Bioelectricity and Chemicals by Using Microbial Electrochemical Technologies. Science 2012, 337, 686–690. [Google Scholar] [CrossRef]
- McCarty, P.L.; Bae, J.; Kim, J. Domestic Wastewater Treatment as a Net Energy Producer–Can This be Achieved? Environ. Sci. Technol. 2011, 45, 7100–7106. [Google Scholar] [CrossRef] [PubMed]
- Heidrich, E.S.; Curtis, T.P.; Dolfing, J. Determination of the Internal Chemical Energy of Wastewater. Environ. Sci. Technol. 2011, 45, 827–832. [Google Scholar] [CrossRef] [PubMed]
- Rozendal, R.A.; Hamelers, H.; Rabaey, K.; Keller, J.; Buisman, C.J. Towards practical implementation of bioelectrochemical wastewater treatment. Trends Biotechnol. 2008, 26, 450–459. [Google Scholar] [CrossRef]
- Logan, B.E.; Regan, J.M. Microbial Fuel Cells—Challenges and Applications. Environ. Sci. Technol. 2006, 40, 5172–5180. [Google Scholar] [CrossRef]
- Li, W.-W.; Yu, H.-Q.; He, Z. Towards sustainable wastewater treatment by using microbial fuel cells-centered technologies. Energy Environ. Sci. 2014, 7, 911–924. [Google Scholar] [CrossRef]
- Bond, D.R.; Holmes, D.E.; Tender, L.M.; Lovley, D.R. Electrode-Reducing Microorganisms That Harvest Energy from Marine Sediments. Science 2002, 295, 483–485. [Google Scholar] [CrossRef]
- Chae, K.-J.; Choi, M.-J.; Lee, J.-W.; Kim, K.-Y.; Kim, I.S. Effect of different substrates on the performance, bacterial diversity, and bacterial viability in microbial fuel cells. Bioresour. Technol. 2009, 100, 3518–3525. [Google Scholar] [CrossRef]
- Pandey, P.; Shinde, V.N.; Deopurkar, R.L.; Kale, S.P.; Patil, S.A.; Pant, D. Recent advances in the use of different substrates in microbial fuel cells toward wastewater treatment and simultaneous energy recovery. Appl. Energy 2016, 168, 706–723. [Google Scholar] [CrossRef]
- Kelly, P.T.; He, Z. Nutrients removal and recovery in bioelectrochemical systems: A review. Bioresour. Technol. 2014, 153, 351–360. [Google Scholar] [CrossRef]
- Virdis, B.; Rabaey, K.; Rozendal, R.A.; Yuan, Z.; Keller, J. Simultaneous nitrification, denitrification and carbon removal in microbial fuel cells. Water Res. 2010, 44, 2970–2980. [Google Scholar] [CrossRef] [PubMed]
- Park, Y.; Park, S.; Nguyen, V.K.; Yu, J.; Torres, C.I.; Rittmann, B.E.; Lee, T. Complete nitrogen removal by simultaneous nitrification and denitrification in flat-panel air-cathode microbial fuel cells treating domestic wastewater. Chem. Eng. J. 2017, 316, 673–679. [Google Scholar] [CrossRef]
- He, Z.; Kan, J.; Wang, Y.; Huang, Y.; Mansfeld, F.; Nealson, K.H. Electricity Production Coupled to Ammonium in a Microbial Fuel Cell. Environ. Sci. Technol. 2009, 43, 3391–3397. [Google Scholar] [CrossRef]
- Xie, Z.; Chen, H.; Zheng, P.; Zhang, J.; Cai, J.; Abbas, G. Influence and mechanism of dissolved oxygen on the performance of Ammonia-Oxidation Microbial Fuel Cell. Int. J. Hydrogen Energy 2013, 38, 10607–10615. [Google Scholar] [CrossRef]
- Quan, X.-C.; Quan, Y.-P.; Tao, K. Effect of anode aeration on the performance and microbial community of an air–cathode microbial fuel cell. Chem. Eng. J. 2012, 210, 150–156. [Google Scholar] [CrossRef]
- Kuypers, M.M.M.; Marchant, H.K.; Kartal, B. The microbial nitrogen-cycling network. Nat. Rev. Microbiol. 2018, 16, 263–276. [Google Scholar] [CrossRef] [PubMed]
- Kartal, B.; Maalcke, W.J.; de Almeida, N.M.; Cirpus, I.; Gloerich, J.; Geerts, W.; Op den Camp, H.J.M.; Harhangi, H.R.; Janssen-Megens, E.M.; Francoijs, K.-J.; et al. Molecular mechanism of anaerobic ammonium oxidation. Nature 2011, 479, 127–130. [Google Scholar] [CrossRef] [PubMed]
- Tang, C.-J.; Zheng, P.; Wang, C.-H.; Mahmood, Q.; Zhang, J.-Q.; Chen, X.-G.; Zhang, L.; Chen, J.-W. Performance of high-loaded ANAMMOX UASB reactors containing granular sludge. Water Res. 2011, 45, 135–144. [Google Scholar] [CrossRef]
- Du, R.; Cao, S.; Li, B.; Niu, M.; Wang, S.; Peng, Y. Performance and microbial community analysis of a novel DEAMOX based on partial-denitrification and anammox treating ammonia and nitrate wastewaters. Water Res. 2017, 108, 46–56. [Google Scholar] [CrossRef]
- Xu, M.Y.; Zhou, S.Q.; Liu, Z.J.; Wang, J.P.; Ma, F.Z. Study on performance of dual-chamber MFC coupled with Anammox process in a high nitrogen load circumstance. Acta Sci. Circumstant. 2017, 37, 154–161. (In Chinese) [Google Scholar]
- Zu, B.; Ma, L.; Liu, B.; Lu, P.-L.; Xu, J. Effects of Organic Substrates on ANAMMOX-MFC Denitrification Electrogenesis Performance. Environ. Sci. 2018, 39, 3937–3945. [Google Scholar]
- Shaw, D.R.; Ali, M.; Katuri, K.P.; Gralnick, J.A.; Reimann, J.; Mesman, R.; van Niftrik, L.; Jetten, M.S.M.; Saikaly, P.E. Extracellular electron transfer-dependent anaerobic oxidation of ammonium by anammox bacteria. Nat. Commun. 2020, 11, 2058. [Google Scholar] [CrossRef]
- Zhang, J.; Zheng, P.; Zhang, M.; Chen, H.; Chen, T.; Xie, Z.; Cai, J.; Abbas, G. Kinetics of substrate degradation and electricity generation in anodic denitrification microbial fuel cell (AD-MFC). Bioresour. Technol. 2013, 149, 44–50. [Google Scholar] [CrossRef] [PubMed]
- American Public Health Association (APHA). Standard Methods for the Examination of Water and Wastewater, 21st ed.; American Public Health Association: Washington, DC, USA, 2005; ISBN 087-553-047-8. [Google Scholar]
- Logan, B.E.; Hamelers, B.; Rozendal, R.; Schröder, U.; Keller, J.; Freguia, S.; Aelterman, P.; Verstraete, W.; Rabaey, K. Microbial Fuel Cells: Methodology and Technology. Environ. Sci. Technol. 2006, 40, 5181–5192. [Google Scholar] [CrossRef] [PubMed]
- Wang, B.; Han, J.-I. A single chamber stackable microbial fuel cell with air cathode. Biotechnol. Lett. 2009, 31, 387–393. [Google Scholar] [CrossRef] [PubMed]
- Manohar, A.K.; Bretschger, O.; Nealson, K.H.; Mansfeld, F. The use of electrochemical impedance spectroscopy (EIS) in the evaluation of the electrochemical properties of a microbial fuel cell. Bioelectrochemistry 2008, 72, 149–154. [Google Scholar] [CrossRef] [PubMed]
- Tang, C.-J.; Zheng, P.; Mahmood, Q.; Chen, J.-W. Start-up and inhibition analysis of the Anammox process seeded with anaerobic granular sludge. J. Ind. Microbiol. Biotechnol. 2009, 36, 1093–1100. [Google Scholar] [CrossRef] [PubMed]
- Jin, R.-C.; Yang, G.-F.; Yu, J.-J.; Zheng, P. The inhibition of the Anammox process: A review. Chem. Eng. J. 2012, 197, 67–79. [Google Scholar] [CrossRef]
- Hong, S.; De Clippeleir, H.; Goel, R. Response of mixed community anammox biomass against sulfide, nitrite and recalcitrant carbon in terms of inhibition coefficients and functional gene expressions. Chemosphere 2022, 308, 136232. [Google Scholar] [CrossRef]
- Li, Y.-Y.; Huang, X.-W.; Li, X.-Y. Use of a packed-bed biofilm reactor to achieve rapid formation of anammox biofilms for high-rate nitrogen removal. J. Clean. Prod. 2021, 321, 128999. [Google Scholar] [CrossRef]
- Li, B.; Wang, Y.; Wang, W.; Huang, X.; Kou, X.; Wu, S.; Shao, T. High-rate nitrogen removal in a continuous biofilter anammox reactor for treating low-concentration nitrogen wastewater at moderate temperature. Bioresour. Technol. 2021, 337, 125496. [Google Scholar] [CrossRef] [PubMed]
- Juang, D.-F.; Yang, P.-C.; Chou, H.-Y.; Chiu, L.-J. Effects of microbial species, organic loading and substrate degradation rate on the power generation capability of microbial fuel cells. Biotechnol. Lett. 2011, 33, 2147–2160. [Google Scholar] [CrossRef] [PubMed]
- Cai, J.; Qaisar, M.; Sun, Y.; Wang, K.; Lou, J.; Wang, R. Coupled substrate removal and electricity generation in microbial fuel cells simultaneously treating sulfide and nitrate at various influent sulfide to nitrate ratios. Bioresour. Technol. 2020, 306, 123174. [Google Scholar] [CrossRef]
- Wei, J.; Liang, P.; Cao, X.; Huang, X. A New Insight into Potential Regulation on Growth and Power Generation of Geobacter sulfurreducens in Microbial Fuel Cells Based on Energy Viewpoint. Environ. Sci. Technol. 2010, 44, 3187–3191. [Google Scholar] [CrossRef] [PubMed]
- Lu, M.; Qian, Y.; Huang, L.; Xie, X.; Huang, W. Improving the performance of microbial fuel cells through anode manipulation. ChemPlusChem 2015, 80, 1216–1225. [Google Scholar] [CrossRef] [PubMed]
- Gao, Y.; Yin, F.; Ma, W.; Wang, S.; Liu, Y.; Liu, H. Rapid detection of biodegradable organic matter in polluted water with microbial fuel cell sensor: Method of partial coulombic yield. Bioelectrochemistry 2020, 133, 107488. [Google Scholar] [CrossRef]
- Jadhav, G.; Ghangrekar, M. Performance of microbial fuel cell subjected to variation in pH, temperature, external load and substrate concentration. Bioresour. Technol. 2009, 100, 717–723. [Google Scholar] [CrossRef]
- Logan, B.E. Exoelectrogenic bacteria that power microbial fuel cells. Nat. Rev. Microbiol. 2009, 7, 375–381. [Google Scholar] [CrossRef]
- de los Ángeles Fernandez, M.; de los Ángeles Sanromán, M.; Marks, S.; Makinia, J.; Del Campo, A.G.; Rodrigo, M.; Fernandez, F.J. A grey box model of glucose fermentation and syntrophic oxidation in microbial fuel cells. Bioresour. Technol. 2016, 200, 396–404. [Google Scholar] [CrossRef]
- Mei, X.; Lu, B.; Yan, C.; Gu, J.; Ren, N.; Ren, Z.J.; Xing, D. The interplay of active energy harvesting and wastewater organic loading regulates fermentation products and microbiomes in microbial fuel cells. Resour. Conserv. Recycl. 2022, 183, 106366. [Google Scholar] [CrossRef]
- Esquivel, D.Y.A.; Guo, Y.; Brown, R.K.; Müller, S.; Schröder, U.; Harnisch, F. Investigating Community Dynamics and Performance During Microbial Electrochemical Degradation of Whey. ChemElectroChem 2020, 7, 989–997. [Google Scholar] [CrossRef]
- Lee, H.-S.; Parameswaran, P.; Kato-Marcus, A.; Torres, C.I.; Rittmann, B.E. Evaluation of energy-conversion efficiencies in microbial fuel cells (MFCs) utilizing fermentable and non-fermentable substrates. Water Res. 2008, 42, 1501–1510. [Google Scholar] [CrossRef] [PubMed]
- Rabaey, K.; Clauwaert, P.; Aelterman, P.; Verstraete, W. Tubular Microbial Fuel Cells for Efficient Electricity Generation. Environ. Sci. Technol. 2005, 39, 8077–8082. [Google Scholar] [CrossRef] [PubMed]
- Kim, K.-Y.; Chae, K.-J.; Choi, M.-J.; Ajayi, F.F.; Jang, A.; Kim, C.-W.; Kim, I.S. Enhanced Coulombic efficiency in glucose-fed microbial fuel cells by reducing metabolite electron losses using dual-anode electrodes. Bioresour. Technol. 2011, 102, 4144–4149. [Google Scholar] [CrossRef]
- Vilajeliu-Pons, A.; Koch, C.; Balaguer, M.D.; Colprim, J.; Harnisch, F.; Puig, S. Microbial electricity driven anoxic ammonium removal. Water Res. 2018, 130, 168–175. [Google Scholar] [CrossRef]
- Qu, B.; Fan, B.; Zhu, S.; Zheng, Y. Anaerobic ammonium oxidation with an anode as the electron acceptor. Environ. Microbiol. Rep. 2014, 6, 100–105. [Google Scholar] [CrossRef]
- Jetten, M.S.M.; Van Niftrik, L.; van Strous, M.; Kartal, B.; Keltjens, J.T.; op den Camp, H.J.M. Biochemistry and molecular biology of anammox bacteria. Crit. Rev. Biochem. Mol. Biol. 2009, 44, 65–84. [Google Scholar] [CrossRef]
- Manohar, A.K.; Bretschger, O.; Nealson, K.H.; Mansfeld, F. The polarization behavior of the anode in a microbial fuel cell. Electrochim. Acta 2008, 53, 3508–3513. [Google Scholar] [CrossRef]
- Zhang, Y.; Mo, G.; Li, X.; Zhang, W.; Zhang, J.; Ye, J.; Huang, X.; Yu, C. A graphene modified anode to improve the performance of microbial fuel cells. J. Power Sources 2011, 196, 5402–5407. [Google Scholar] [CrossRef]
- He, Z.; Mansfeld, F. Exploring the use of electrochemical impedance spectroscopy (EIS) in microbial fuel cell studies. Energy Environ. Sci. 2009, 2, 215–219. [Google Scholar] [CrossRef]
- Wang, H.; Long, X.; Sun, Y.; Wang, D.; Wang, Z.; Meng, H.; Jiang, C.; Dong, W.; Lu, N. Electrochemical impedance spectroscopy applied to microbial fuel cells: A review. Front. Microbiol. 2022, 13, 973501. [Google Scholar] [CrossRef]
- Sindhuja, M.; Kumar, N.S.; Sudha, V.; Harinipriya, S. Equivalent circuit modeling of microbial fuel cells using impedance spectroscopy. J. Energy Storage 2016, 7, 136–146. [Google Scholar] [CrossRef]
- Shi, L.; Dong, H.; Reguera, G.; Beyenal, H.; Haluk, B.; Liu, J.; Yu, H.-Q.; Fredrickson, J.K. Extracellular electron transfer mechanisms between microorganisms and minerals. Nat. Rev. Microbiol. 2016, 14, 651–662. [Google Scholar] [CrossRef] [PubMed]
- Light, S.H.; Su, L.; Rivera-Lugo, R.; Cornejo, J.A.; Louie, A.; Iavarone, A.T.; Ajo-Franklin, C.M.; Portnoy, D.A. A flavin-based extracellular electron transfer mechanism in diverse Gram-positive bacteria. Nature 2018, 562, 140–144. [Google Scholar] [CrossRef] [PubMed]
- Hirose, A.; Kouzuma, A.; Watanabe, K. Towards development of electrogenetics using electrochemically active bacteria. Biotechnol. Adv. 2019, 37, 107351. [Google Scholar] [CrossRef] [PubMed]
- Sonawane, J.M.; Yadav, A.; Ghosh, P.C.; Adeloju, S.B. Recent advances in the development and utilization of modern anode materials for high performance microbial fuel cells. Biosens. Bioelectron. 2017, 90, 558–576. [Google Scholar] [CrossRef]
- Kumar, R.; Singh, L.; Zularisam, A. Exoelectrogens: Recent advances in molecular drivers involved in extracellular electron transfer and strategies used to improve it for microbial fuel cell applications. Renew. Sustain. Energy Rev. 2016, 56, 1322–1336. [Google Scholar] [CrossRef]
- Xie, R.; Wang, S.; Wang, K.; Wang, M.; Chen, B.; Wang, Z.; Tan, T. Improved energy efficiency in microbial fuel cells by bioethanol and electricity co-generation. Biotechnol. Biofuels 2022, 15, 84. [Google Scholar] [CrossRef]








| MFC Types | Maximum Output Voltage (mV) | Maximum Power Density (mW/m3) | CE (%) | Anode Reactions and Potentials (vs. SHE) | References |
|---|---|---|---|---|---|
| Anode anammox MFC | 225.48 | 1308.23 ± 40.38 | 4.09~5.99 | ① NO2− + 2H+ + e− → NO + H2O (EΘ′ = +0.38 V) ② NO + NH4+ + 2H+ + 3e− →N2H4 + H2O (EΘ′ = +0.06 V) ③ N2H4 → N2 + 4H+ + 4e− (EΘ′ = −0.75 V) ④ NO2− + H2O → NO3− + 2e− + 2H+ (EΘ′ = −0.43 V) | This research |
| 48 | – | – | [20] | ||
| 201.6 | 90.3 | – | [21] | ||
| Anode nitrification MFC | 98.5 | 2.43 ± 0.07 | 0.31~1.1 | ① NH4+ + O2 + H+ + 2e− → NH2OH + H2O (EΘ′ = +0.73 V) ② NH2OH + H2O → NO2− + 5H+ + 4e− (EΘ′ = −0.06 V) ③ NO2− + H2O → NO3− + 2e− + 2H+ (EΘ′ = −0.43 V) | [13] |
| 82 | 93.3 | – | [14] | ||
| Organic MFC | 340 | 902.8 | 72.3 | CH3COO− + 2H2O → 2CO2 + 7H+ + 8e− (EΘ′ = −0.29 V) | [8] |
| 466 | 7250 | 71 | [43] | ||
| 540 | 66,000 | 43 | C6H12O6 + 6H2O → 6CO2 + 24H+ + 24e− (EΘ′ = −0.428 V) | [44] | |
| 198 | 885 ± 346 | 59 ± 4 | [45] |
| NH4+-N Concentration (mg/L) | Rct (Ω) | Ro (Ω) | Rd (Ω) | Rct/Rin (%) |
|---|---|---|---|---|
| 25 | 407.4 ± 15.3 | 19.4 ± 2.3 | 5.5 ± 0.9 | 68.2 ± 3.6 |
| 50 | 346.3 ± 6.4 | 14.8 ± 1.5 | 3.5 ± 1.1 | 66.1 ± 4.7 |
| 100 | 298.8 ± 7.2 | 9.7 ± 2.9 | 2.1 ± 0.8 | 65.2 ± 3.3 |
| 150 | 267.2 ± 2.8 | 6.3 ± 1.8 | 1.8 ± 0.6 | 68.1 ± 9.5 |
| 200 | 223.4 ± 9.1 | 6.0 ± 2.6 | 0.9 ± 0.2 | 59.7 ± 4.8 |
| 250 | 209.2 ± 3.4 | 5.9 ± 1.2 | 0.6 ± 0.1 | 58.6 ± 8.1 |
Publisher’s Note: MDPI stays neutral with regard to jurisdictional claims in published maps and institutional affiliations. |
© 2022 by the authors. Licensee MDPI, Basel, Switzerland. This article is an open access article distributed under the terms and conditions of the Creative Commons Attribution (CC BY) license (https://creativecommons.org/licenses/by/4.0/).
Share and Cite
Zhang, J.; Zhang, Z.; Rong, K.; Guo, H.; Cai, J.; Xing, Y.; Ren, L.; Ren, J.; Wu, T.; Li, J.; et al. Simultaneous Anaerobic Ammonium Oxidation and Electricity Generation in Microbial Fuel Cell: Performance and Electrochemical Characteristics. Processes 2022, 10, 2379. https://doi.org/10.3390/pr10112379
Zhang J, Zhang Z, Rong K, Guo H, Cai J, Xing Y, Ren L, Ren J, Wu T, Li J, et al. Simultaneous Anaerobic Ammonium Oxidation and Electricity Generation in Microbial Fuel Cell: Performance and Electrochemical Characteristics. Processes. 2022; 10(11):2379. https://doi.org/10.3390/pr10112379
Chicago/Turabian StyleZhang, Jiqiang, Zaiwang Zhang, Kun Rong, Haiying Guo, Jing Cai, Yajuan Xing, Lili Ren, Jiayun Ren, Tao Wu, Jialiang Li, and et al. 2022. "Simultaneous Anaerobic Ammonium Oxidation and Electricity Generation in Microbial Fuel Cell: Performance and Electrochemical Characteristics" Processes 10, no. 11: 2379. https://doi.org/10.3390/pr10112379
APA StyleZhang, J., Zhang, Z., Rong, K., Guo, H., Cai, J., Xing, Y., Ren, L., Ren, J., Wu, T., Li, J., & Zheng, P. (2022). Simultaneous Anaerobic Ammonium Oxidation and Electricity Generation in Microbial Fuel Cell: Performance and Electrochemical Characteristics. Processes, 10(11), 2379. https://doi.org/10.3390/pr10112379

