Molecular Dynamics Simulation on the Pyrolysis Process of PODE3-5
Abstract
1. Introduction
2. Computational Procedures
2.1. Density Functional Theory (DFT) Calculation
2.2. ReaxFF Molecular Dynamic (MD) Simulation
3. Results and Discussions
3.1. Initial C-O Bond Dissociation of PODEn
3.2. Bond Dissociation Energies of PODEn
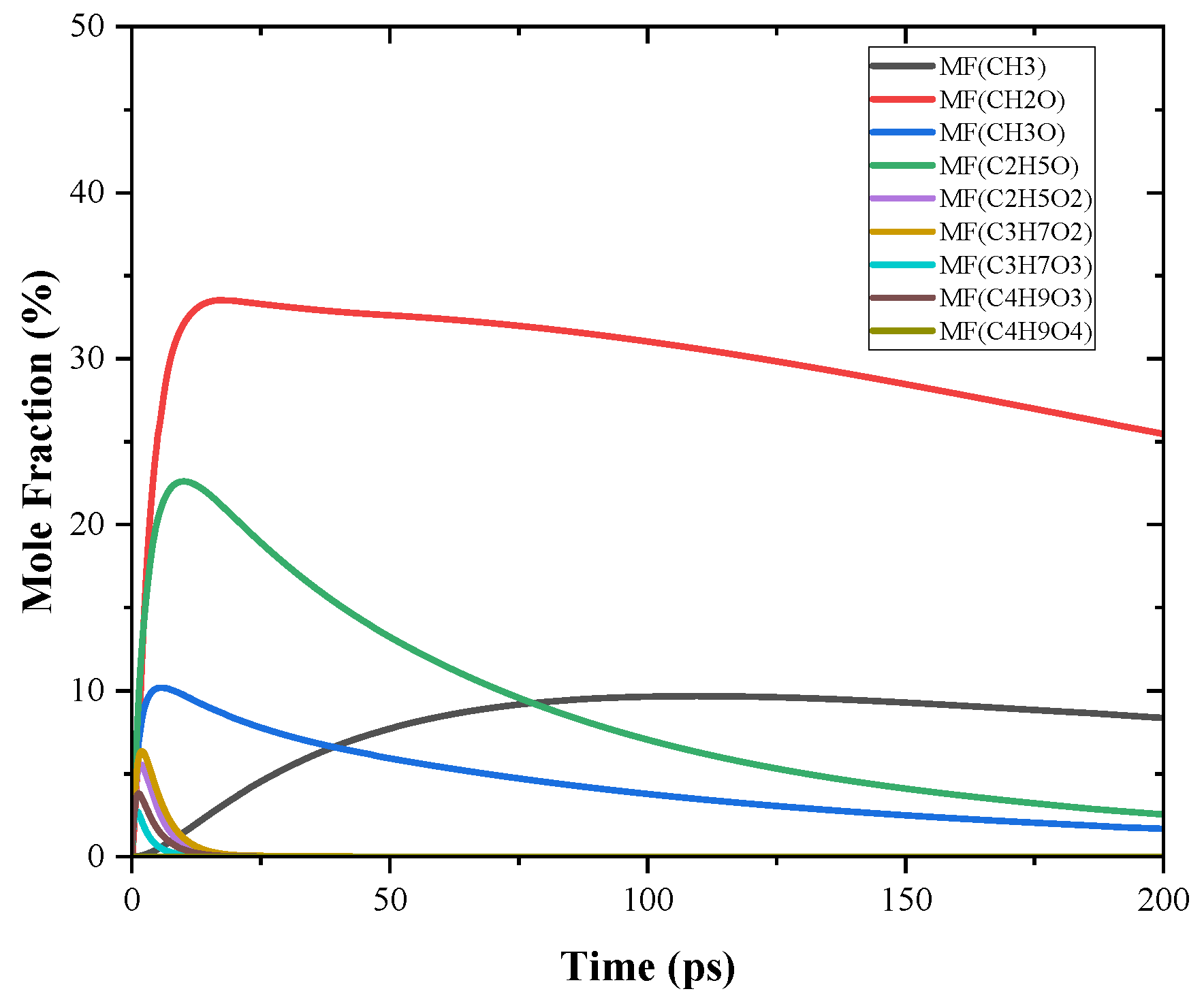
3.3. Pyrolysis of PODEn and Its Initial Decomposition Products
3.4. C0-C2 Species in the Pyrolysis of PODEn
3.5. Chemical Kinetic Study on PODE3 Pyrolysis
4. Conclusions
Supplementary Materials
Author Contributions
Funding
Institutional Review Board Statement
Informed Consent Statement
Data Availability Statement
Acknowledgments
Conflicts of Interest
References
- Heywood, J.B. Internal Combustion Engine Fundamentals; McGraw-Hill Book Company: New York, NY, USA, 1988. [Google Scholar]
- Shindell, D.; Kuylenstierna, J.C.; Vignati, E.; van Dingenen, R.; Amann, M.; Klimont, Z.; Anenberg, S.C.; Muller, N.; Janssens-Maenhout, G. Simultaneously mitigating near-term climate change and improving human health and food security. Science 2012, 335, 183–189. [Google Scholar] [CrossRef] [PubMed]
- Crippa, M.; Janssens-Maenhout, G.; Guizzardi, D.; Galmarini, S. EU effect: Exporting emission standards for vehicles through the global market economy. J. Environ. Manag. 2016, 183, 959–971. [Google Scholar]
- Cetinkaya, M.; Karaosmanoglu, F. The effect of oxygenated fuels on emissions from a modern heavy-duty diesel engine. Energy Fuels 2007, 19, 645–652. [Google Scholar]
- Liotta, F.J.; Montalvo, D.M. The Effect of Oxygenated Fuels on Emissions from a Modern Heavy-Duty Diesel Engine; SAE Technical Paper 932734; SAG: Los Angeles, CA, USA, 1993. [Google Scholar]
- Miyamoto, N.; Ogawa, H.; Nurun, N.M.; Obata, K.; Arima, T. Smokeless, Low NOx, High Thermal Efficiency, and Low Noise Diesel Combustion with Oxygenated Agents as Main Fuel; SAE Technical Paper 980506; SAG: Los Angeles, CA, USA, 1998; pp. 171–177. [Google Scholar]
- Zare, A.; Bodisco, T.A.; Nabi, M.N.; Hossain, F.M.; Ristovski, Z.D.; Brown, R.J. A comparative investigation into cold-start and hot-start operation of diesel engine performance with oxygenated fuels during transient and steady-state operation. Fuel 2018, 228, 390–404. [Google Scholar] [CrossRef]
- Nabi, M.N.; Rasul, M.; Anwar, M.; Mullins, B. Energy, exergy, performance, emission and combustion characteristics of diesel engine using new series of non-edible biodiesels. Renew. Energy 2019, 140, 647–657. [Google Scholar] [CrossRef]
- Zheng, Y.; Tang, Q.; Wang, T.; Liao, Y.; Wang, J. Synthesis of a green fuel additive over cation resins. Chem. Eng. Technol. 2013, 36, 1951–1956. [Google Scholar]
- Zhao, Y.; Xu, Z.; Chen, H.; Fu, Y.; Shen, J. Mechanism of chain propagation for the synthesis of polyoxymethylene dimethyl ethers. J. Energy Chem. 2013, 22, 833–836. [Google Scholar]
- Lumpp, B.; Rothe, D.; Pastötter, C.; Lämmermann, R.; Jacob, E. Oxymethylene ethers as diesel fuel additives of the future. MTZ Worldw. 2011, 72, 34–38. [Google Scholar]
- Liu, J.; Sun, P.; Huang, H.; Meng, J.; Yao, X. Experimental investigation on performance, combustion and emission characteristics of a common-rail diesel engine fueled with polyoxymethylene dimethyl ethers-diesel blends. Appl. Energy 2017, 202, 527–536. [Google Scholar]
- Zhu, Q.; Zong, Y.; Yu, W.; Yang, W.; Kraft, M. Understanding the blending effect of polyoxymethylene dimethyl ethers as additive in a common-rail diesel engine. Appl. Energy 2021, 300, 117380. [Google Scholar]
- Sun, W.; Wang, G.; Li, S.; Zhang, R.; Yang, B.; Yang, J.; Li, Y.; Westbrook, C.K.; Law, C.K. Speciation and the laminar burning velocities of poly (oxymethylene) dimethyl ether 3 (POMDME3) flames: An experimental and modeling study. Proc. Combust. Inst. 2017, 36, 1269–1278. [Google Scholar]
- He, T.; Wang, Z.; You, X.; Liu, H.; Wang, Y.; Li, X.; He, X. A chemical kinetic mechanism for the low-and intermediate-temperature combustion of Polyoxymethylene Dimethyl Ether 3 (PODE3). Fuel 2018, 212, 223–235. [Google Scholar] [CrossRef]
- Cai, L.; Jacobs, S.; Langer, R.; vom Lehn, F.; Heufer, K.A.; Pitsch, H. Auto-ignition of oxymethylene ethers (OMEn, n = 2–4) as promising synthetic e-fuels from renewable electricity: Shock tube experiments and automatic mechanism generation. Fuel 2020, 264, 116711. [Google Scholar] [CrossRef]
- Liu, H.; Liang, J.; He, R.; Li, X.; Zheng, M.; Ren, C.; An, G.; Xu, X.; Zheng, Z. Overall mechanism of JP-10 pyrolysis unraveled by large-scale reactive molecular dynamics simulation. Combust. Flame 2022, 237, 111865. [Google Scholar]
- Xin, L.; Liu, C.; Liu, Y.; Huo, E.; Li, Q.; Wang, X.; Cheng, Q. Thermal decomposition mechanism of some hydrocarbons by ReaxFF-based molecular dynamics and density functional theory study. Fuel 2020, 275, 117885. [Google Scholar]
- Chenoweth, K.; Van Duin, A.C.; Goddard, W.A. ReaxFF reactive force field for molecular dynamics simulations of hydrocarbon oxidation. J. Phys. Chem. A 2008, 112, 1040–1053. [Google Scholar]
- Van Duin, A.C.; Dasgupta, S.; Lorant, F.; Goddard, W.A. ReaxFF: A reactive force field for hydrocarbons. J. Phys. Chem. A 2001, 105, 9396–9409. [Google Scholar]
- Wang, L.; Sun, W.; Yang, Q. Exploration of the Influences of the PODE3 Additive on the Initial Pyrolysis of Diesel by ReaxFF Molecular Dynamics Simulations. Energy Fuels 2021, 35, 9825–9835. [Google Scholar] [CrossRef]
- McLean, A.; Chandler, G. Contracted Gaussian basis sets for molecular calculations. I. Second row atoms, Z = 11–18. J. Chem. Phys. 1980, 72, 5639–5648. [Google Scholar] [CrossRef]
- Krishnan, R.; Binkley, J.S.; Seeger, R.; Pople, J.A. Self-consistent molecular orbital methods. XX. A basis set for correlated wave functions. J. Chem. Phys. 1980, 72, 650–654. [Google Scholar]
- Zhao, Y.; Truhlar, D.G. The M06 suite of density functionals for main group thermochemistry, thermochemical kinetics, noncovalent interactions, excited states, and transition elements: Two new functionals and systematic testing of four M06-class functionals and 12 other functionals. Theor. Chem. Acc. 2008, 120, 215–241. [Google Scholar]
- Frisch, M.E.; Trucks, G.; Schlegel, H.; Scuseria, G.; Robb, M.; Cheeseman, J.; Scalmani, G.; Barone, V.; Petersson, G.; Nakatsuji, H. Gaussian 16. 12 September 2016. Available online: https://www.ansys.com/products/fluids/ansys-chemkin-pro (accessed on 12 September 2022).
- Rappe, A.K.; Goddard, W.A. III Charge equilibration for molecular dynamics simulations. J. Phys. Chem. 1991, 95, 3358–3363. [Google Scholar]
- Mortier, W.J.; Ghosh, S.K.; Shankar, S. Electronegativity-equalization method for the calculation of atomic charges in molecules. J. Am. Chem. Soc. 1986, 108, 4315–4320. [Google Scholar]
- Ashraf, C.; Van Duin, A.C. Extension of the ReaxFF combustion force field toward syngas combustion and initial oxidation kinetics. J. Phys. Chem. A 2017, 121, 1051–1068. [Google Scholar] [CrossRef] [PubMed]
- Martínez, L.; Andrade, R.; Birgin, E.G.; Martínez, J.M. PACKMOL: A package for building initial configurations for molecular dynamics simulations. J. Comput. Chem. 2009, 30, 2157–2164. [Google Scholar]
- Stukowski, A. Visualization and analysis of atomistic simulation data with OVITO–the Open Visualization Tool. Model. Simul. Mater. Sci. Eng. 2009, 18, 015012. [Google Scholar]
- Huo, E.; Liu, C.; Xu, X.; Dang, C. A ReaxFF-based molecular dynamics study of the pyrolysis mechanism of HFO-1336mzz (Z). Int. J. Refrig. 2017, 83, 118–130. [Google Scholar] [CrossRef]
- Lu, X.; Wang, X.; Li, Q.; Huang, X.; Han, S.; Wang, G. A ReaxFF-based molecular dynamics study of the pyrolysis mechanism of polyimide. Polym. Degrad. Stab. 2015, 114, 72–80. [Google Scholar]
- Zeng, J.; Cao, L.; Chin, C.-H.; Ren, H.; Zhang, J.Z.; Zhu, T. ReacNetGenerator: An automatic reaction network generator for reactive molecular dynamics simulations. Phys. Chem. Chem. Phys. 2020, 22, 683–691. [Google Scholar]
- Tan, Y.R.; Salamanca, M.; Pascazio, L.; Akroyd, J.; Kraft, M. The effect of poly (oxymethylene) dimethyl ethers (PODE3) on soot formation in ethylene/PODE3 laminar coflow diffusion flames. Fuel 2021, 283, 118769. [Google Scholar] [CrossRef]
- Tan, Y.R.; Botero, M.L.; Sheng, Y.; Dreyer, J.A.; Xu, R.; Yang, W.; Kraft, M. Sooting characteristics of polyoxymethylene dimethyl ether blends with diesel in a diffusion flame. Fuel 2018, 224, 499–506. [Google Scholar]
- DESIGNS, M.E. Chemkin-pro. 12 September 2011. Available online: https://gaussian.com/ (accessed on 12 September 2022).











| C-O Bond | ReaxFF Method (kcal/mol) |
|---|---|
| PODE3 α | 71.71 |
| PODE3 β | 67.96 |
| PODE3 γ | 64.61 |
| PODE3 δ | 62.67 |
| PODE4 α | 71.79 |
| PODE4 β | 72.82 |
| PODE4 γ | 64.73 |
| PODE4 δ | 63.03 |
| PODE4 ε | 62.53 |
| PODE5 α | 71.94 |
| PODE5 β | 73.87 |
| PODE5 γ | 64.46 |
| PODE5 δ | 67.54 |
| PODE5 ε | 62.30 |
| PODE5 ζ | 62.54 |
Publisher’s Note: MDPI stays neutral with regard to jurisdictional claims in published maps and institutional affiliations. |
© 2022 by the authors. Licensee MDPI, Basel, Switzerland. This article is an open access article distributed under the terms and conditions of the Creative Commons Attribution (CC BY) license (https://creativecommons.org/licenses/by/4.0/).
Share and Cite
Zhu, Q.; Wang, F.; Lyu, J.-Y.; Li, Y.; Chen, D.; Yang, W. Molecular Dynamics Simulation on the Pyrolysis Process of PODE3-5. Processes 2022, 10, 2378. https://doi.org/10.3390/pr10112378
Zhu Q, Wang F, Lyu J-Y, Li Y, Chen D, Yang W. Molecular Dynamics Simulation on the Pyrolysis Process of PODE3-5. Processes. 2022; 10(11):2378. https://doi.org/10.3390/pr10112378
Chicago/Turabian StyleZhu, Qiren, Fang Wang, Jie-Yao Lyu, Yang Li, Dongping Chen, and Wenming Yang. 2022. "Molecular Dynamics Simulation on the Pyrolysis Process of PODE3-5" Processes 10, no. 11: 2378. https://doi.org/10.3390/pr10112378
APA StyleZhu, Q., Wang, F., Lyu, J.-Y., Li, Y., Chen, D., & Yang, W. (2022). Molecular Dynamics Simulation on the Pyrolysis Process of PODE3-5. Processes, 10(11), 2378. https://doi.org/10.3390/pr10112378

