Kinematic Changes throughout Childhood in Youth with Cerebral Palsy: Influence of Age and Orthopaedic Surgery
Abstract
1. Introduction
2. Materials and Methods
2.1. Surgical Procedures
2.2. Instrumented Gait Analysis
2.3. Statistical Analysis
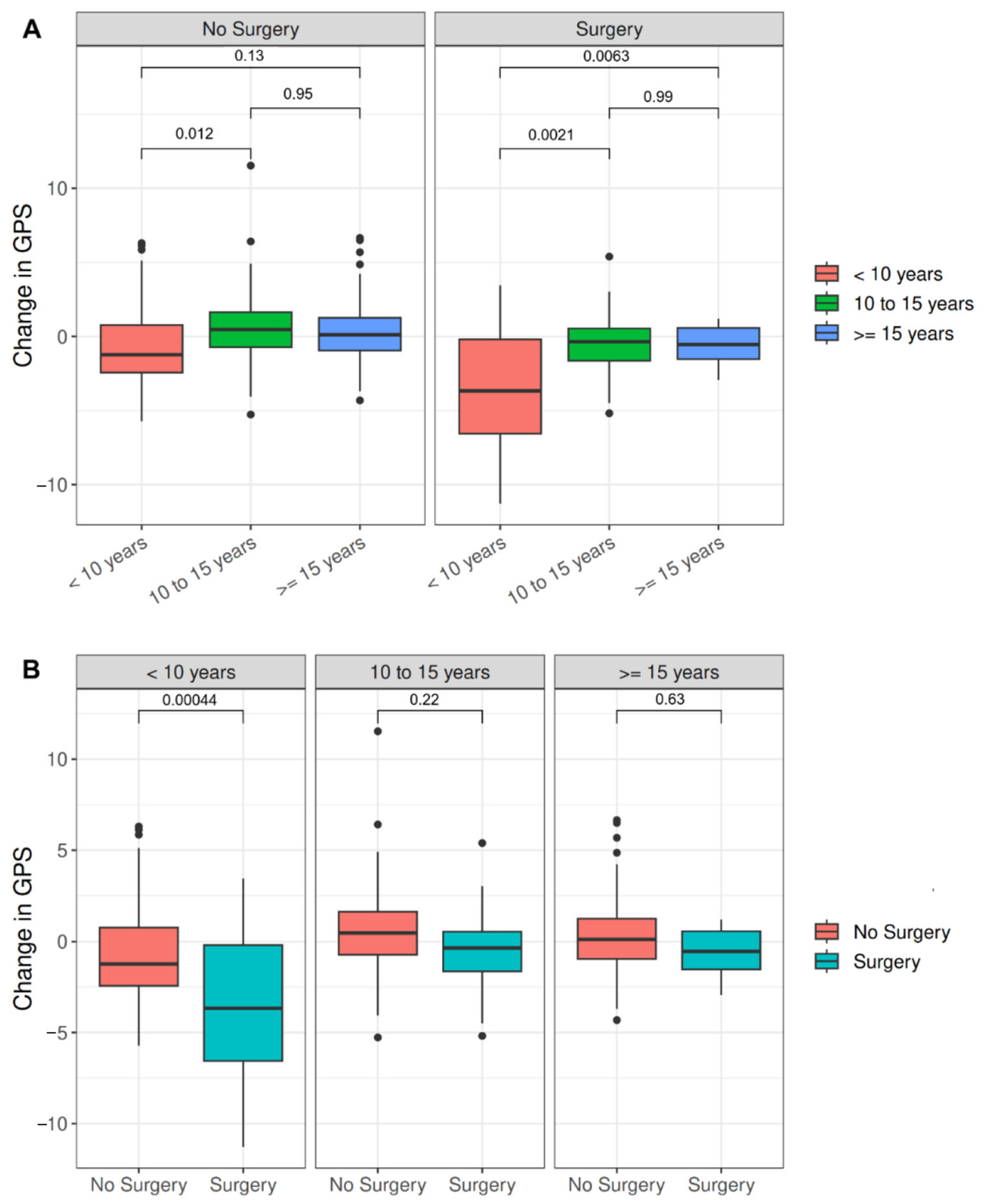
3. Results
4. Discussion
5. Conclusions
Author Contributions
Funding
Institutional Review Board Statement
Informed Consent Statement
Data Availability Statement
Acknowledgments
Conflicts of Interest
References
- Rosenbaum, P.N.; Paneth, A.; Leviton, M.; Goldstein, M.; Bax, M.; Damiano, D.; Dan, B.; Jacobsson, B. A report: The definition and classification of cerebral palsy April 2006. Dev. Med. Child Neurol. Suppl. 2007, 109, 8–14. [Google Scholar] [PubMed]
- Chang, F.M.; Rhodes, J.T.; Flynn, K.M.; Carollo, J.J. The role of gait analysis in treating gait abnormalities in cerebral palsy. Orthop. Clin. N. Am. 2010, 41, 489–506. [Google Scholar] [CrossRef] [PubMed]
- Bell, K.J.; Õunpuu, S.; DeLuca, P.A.; Romness, M.J. Natural progression of gait in children with cerebral palsy. J. Pediatr. Orthop. 2002, 22, 677–682. [Google Scholar] [CrossRef] [PubMed]
- Kanashvili, B.; Miller, F.; Church, C.; Lennon, N.; Howard, J.J.; Henley, J.D.; Niller, T.; Sees, J.P.; Rogers, K.J.; Shrader, M.W. The change in sagittal plane gait patterns from childhood to maturity in bilateral cerebral palsy. Gait Posture 2021, 90, 154–160. [Google Scholar] [CrossRef]
- Morgan, P.; McGinley, J. Gait function and decline in adults with cerebral palsy: A systematic review. Disabil. Rehabil. 2014, 36, 1–9. [Google Scholar] [CrossRef]
- McGinley, J.L.; Dobson, F.; Ganeshalingam, R.; Shore, B.J.; Rutz, E.; Graham, H.K. Single-event multilevel surgery for children with cerebral palsy: A systematic review. Dev. Med. Child Neurol. 2012, 54, 117–128. [Google Scholar] [CrossRef]
- Thomason, P.; Baker, R.; Dodd, K.; Taylor, N.; Selber, P.; Wolfe, R.; Graham, H.K. Single-event multilevel surgery in children with spastic diplegia: A pilot randomized controlled trial. J. Bone Jt. Surg. Am. 2011, 93, 451–460. [Google Scholar] [CrossRef]
- Gough, M.; Eve, L.C.; Robinson, R.O.; Shortland, A.P. Short-term outcome of multilevel surgical intervention in spastic diplegic cerebral palsy compared with the natural history. Dev. Med. Child Neurol. 2004, 46, 91–97. [Google Scholar] [CrossRef]
- Dreher, T.; Thomason, P.; Švehlík, M.; Doederlein, L.; Wolf, S.I.; Putz, C.; Uehlein, O.; Chia, K.; Steinwender, G.; Sangeux, M.; et al. Long-term development of gait after multilevel surgery in children with cerebral palsy: A multicentre cohort study. Dev. Med. Child Neurol. 2018, 60, 88–93. [Google Scholar] [CrossRef]
- Visscher, R.; Hasler, N.; Freslier, M.; Singh, N.B.; Taylor, W.R.; Brunner, R.; Rutz, E. Long-term follow-up after multilevel surgery in cerebral palsy. Arch. Orthop. Trauma Surg. 2022, 142, 2131–2138. [Google Scholar] [CrossRef]
- Jones, M.D.; Gardner, R.; Pyman, J.; Gargan, M.F.; Witherow, P.; Monsell, F. Long-term outcomes following multilevel surgery in cerebral palsy. J. Pediatr. Orthop. 2020, 40, 351–356. [Google Scholar] [CrossRef] [PubMed]
- Putz, C.; Blessing, A.K.; Erhard, S.; Fiethen, K.; Geisbüsch, A.; Niklasch, M.; Döderlein, L.; Wolf, S.I.; Dreher, T. Long-term results of multilevel surgery in adults with cerebral palsy. Int. Orthop. 2019, 43, 255–260. [Google Scholar] [CrossRef] [PubMed]
- World Health Organization. International Classification of Functioning, Disability, and Health: Children & Youth Version: ICF-CY. 2007. Available online: https://www.who.int/standards/classifications/international-classification-of-functioning-disability-and-health (accessed on 1 November 2023).
- Bartlett, D.J.; Hanna, S.E.; Avery, L.; Stevenson, R.D.; Galuppi, B. Correlates of decline in gross motor capacity in adolescents with cerebral palsy in Gross Motor Function Classification System levels III to V: An exploratory study. Dev. Med. Child Neurol. 2010, 52, e155–e160. [Google Scholar] [CrossRef] [PubMed]
- Russell, D.J.; Rosenbaum, P.; Wright, M.; Avery, L.M. Gross Motor Function Measure (GMFM-66 & GMFM-88) User’s Manual; Mac Keith Press: London, UK, 2002. [Google Scholar]
- Hanna, S.E.; Bartlett, D.J.; Rivard, L.M.; Russell, D.J. Reference curves for the Gross Motor Function Measure: Percentiles for clinical description and tracking over time among children with cerebral palsy. Phys. Ther. 2008, 88, 596–607. [Google Scholar] [CrossRef] [PubMed]
- Rosenbaum, P.L.; Walter, S.D.; Hanna, S.E.; Palisano, R.J.; Russell, D.J.; Raina, P.; Wood, E.; Bartlett, D.J.; Galuppi, B.E. Prognosis for gross motor function in cerebral palsy: Creation of motor development curves. JAMA 2002, 288, 1357–1363. [Google Scholar] [CrossRef]
- Bax, M.; Goldstein, M.; Rosenbaum, P.; Leviton, A.; Paneth, N.; Dan, B.; Jacobsson, B.; Damiano, D. Executive Committee for the Definition of Cerebral Palsy. Proposed definition and classification of cerebral palsy, April 2005. Dev. Med. Child Neurol. 2005, 47, 571–576. [Google Scholar] [CrossRef]
- Haumont, T.; Church, C.; Hager, S.; Cornes, M.J.; Poljak, D.; Lennon, N.; Henley, J.; Taylor, D.; Niiler, T.; Miller, F. Flexed-knee gait in children with cerebral palsy: A 10-year follow-up study. J. Child. Orthop. 2013, 7, 435–443. [Google Scholar] [CrossRef]
- de Freitas Guardini, K.M.; Kawamura, C.M.; Lopes, J.A.F.; Fujino, M.H.; Blumetti, F.C.; de Morais Filho, M. Factors related to better outcomes after single-event multilevel surgery (SEMLS) in patients with cerebral palsy. Gait Posture 2021, 86, 260–265. [Google Scholar] [CrossRef]
- Church, C.; Lennon, N.; Alton, R.; Schwartz, J.; Niiler, T.; Henley, J.; Miller, F. Longitudinal change in foot posture in children with cerebral palsy. J. Child. Orthop. 2017, 11, 229–236. [Google Scholar] [CrossRef]
- Nordmark, E.; Hägglund, G.; Lauge-Pedersen, H.; Wagner, P.; Westbom, L. Development of lower limb range of motion from early childhood to adolescence in cerebral palsy: A population-based study. BMC Med. 2009, 7, 65. [Google Scholar] [CrossRef]
- Kadhim, M.; Holmes, L., Jr.; Miller, F. Long-term outcome of planovalgus foot surgical correction in children with cerebral palsy. J. Foot Ankle Surg. 2013, 52, 697–703. [Google Scholar] [CrossRef] [PubMed]
- Gannotti, M.E.; Gorton, G.E., III; Nahorniak, M.T.; Masso, P.D. Walking abilities of young adults with cerebral palsy: Changes after multilevel surgery and adolescence. Gait Posture 2010, 32, 46–52. [Google Scholar] [CrossRef] [PubMed]
- Bache, C.E.; Selber, P.; Graham, H.K. (ii) The management of spastic diplegia. Curr. Orthop. 2003, 17, 88–104. [Google Scholar] [CrossRef]
- Ma, F.Y.P.; Selber, P.; Nattrass, G.R.; Harvey, A.R.; Wolfe, R.; Graham, H.K. Lengthening and transfer of hamstrings for a flexion deformity of the knee in children with bilateral cerebral palsy: Technique and preliminary results. J. Bone Jt. Surg. Br. 2006, 88, 248–254. [Google Scholar] [CrossRef]
- Altuntas, A.O.; Dagge, B.; Chin, T.Y.P.; Palamara, J.E.A.; Eizenberg, N.; Wolfe, R.; Graham, H.K. The effects of intramuscular tenotomy on the lengthening characteristics of tibialis posterior: High versus low intramuscular tenotomy. J. Child. Orthop. 2011, 5, 225–230. [Google Scholar] [CrossRef]
- Campbell, K.R. Expert Vision, Data Acquisition and Analysis. In Proceedings of the ASME International Computers in Engineering Conference and Exhibition, New York, NY, USA, 9 August 1987. [Google Scholar]
- Baker, R.; McGinley, J.L.; Schwartz, M.H.; Beynon, S.; Rozumalski, A.; Graham, H.K.; Tirosh, O. The Gait Profile Score and movement analysis profile. Gait Posture 2009, 30, 265–269. [Google Scholar] [CrossRef]
- Beynon, S.; McGinley, J.L.; Dobson, F.; Baker, R. Correlations of the Gait Profile Score and the Movement Analysis Profile relative to clinical judgments. Gait Posture 2010, 32, 129–132. [Google Scholar] [CrossRef]
- Baker, R.; McGinley, J.L.; Schwartz, M.; Thomason, P.; Rodda, J.; Graham, H.K. The minimal clinically important difference for the Gait Profile Score. Gait Posture 2012, 35, 612–615. [Google Scholar] [CrossRef]
- R Core Team. R: A Language and Environment for Statistical Computing; R Foundation for Statistical Computing: Austria, Vienna, 2015. [Google Scholar]
- Rasmussen, H.M.; Nielsen, D.B.; Pedersen, N.W.; Overgaard, S.; Holsgaard-Larsen, A. Gait Deviation Index, Gait Profile Score and Gait Variable Score in children with spastic cerebral palsy: Intra-rater reliability and agreement across two repeated sessions. Gait Posture 2015, 42, 133–137. [Google Scholar] [CrossRef]
- McMulkin, M.L.; MacWilliams, B.A. Application of the Gillette Gait Index, Gait Deviation Index and Gait Profile Score to multiple clinical pediatric populations. Gait Posture 2015, 41, 608–612. [Google Scholar] [CrossRef]
- Rutz, E.; Donath, S.; Tirosh, O.; Graham, H.K.; Baker, R. Explaining the variability improvements in gait quality as a result of single event multi-level surgery in cerebral palsy. Gait Posture 2013, 38, 455–460. [Google Scholar] [CrossRef] [PubMed]
- Stotts, A.K.; Carroll, K.L.; Naatz, E.; MacWilliams, B.A. Outcome of gastrocnemius soleus facial lengthening in ambulatory patients with cerebral palsy. J. Pediatr. Orthop. 2022, 42, e65–e71. [Google Scholar] [CrossRef] [PubMed]
- Thomason, P.; Tan, A.; Donnan, A.; Rodda, J.; Graham, H.K.; Narayanan, U. The Gait Outcomes Assessment List (GOAL): Validation of a new assessment of gait function for children with cerebral palsy. Dev. Med. Child Neurol. 2018, 60, 618–623. [Google Scholar] [CrossRef] [PubMed]
- Firth, G.B.; Passmore, E.; Sangeux, M.; Thomason, P.; Rodda, J.; Donath, S.; Selber, P.; Graham, H.K. Multilevel surgery for equinus gait in children with spastic diplegic cerebral palsy: Medium-term follow-up with gait analysis. J. Bone Jt. Surg. Am. 2013, 95, 931–938. [Google Scholar] [CrossRef] [PubMed]
- Ries, A.J.; Novacheck, T.F.; Schwartz, M.H. The efficacy of ankle-foot orthoses on improving the gait of children with diplegic cerebral palsy: A multiple outcome analysis. PM R 2015, 7, 922–929. [Google Scholar] [CrossRef]
- Galli, M.; Cimolin, V.; Rigoldi, C.; Albertini, G. Quantitative evaluation of the effects of ankle foot orthosis on gait in children with cerebral palsy using the Gait Profile Score and Gait Variable Scores. J. Dev. Phys. Disabil. 2016, 28, 367–379. [Google Scholar] [CrossRef]




| Bony Procedures | n | Soft-Tissue Procedures | n |
|---|---|---|---|
| Femoral osteotomy | 12 | Hamstring lengthening | 47 |
| Calcaneal lengthening | 12 | Gastrocnemius lengthening | 40 |
| Tibial osteotomy | 9 | Achilles tendon lengthening | 18 |
| Metatarsal osteotomy | 8 | Adductor lengthening | 16 |
| Akin osteotomy | 6 | Rectus femoris transfer | 11 |
| Medial column correction | 4 | Tibialis anterior transfer | 7 |
| Cuneiform osteotomy | 3 | Iliopsoas lengthening | 6 |
| Distal femoral extension osteotomy | 2 | Knee capsulotomy | 5 |
| Pemberton osteotomy | 1 | Tibialis posterior lengthening | 4 |
| Dega pelvic osteotomy | 1 | Tibialis posterior transfer | 3 |
| Cuboid osteotomy | 1 | Plantaris tenotomy | 3 |
| Patellar plication | 2 | ||
| Total | 59 | Total | 162 |
Disclaimer/Publisher’s Note: The statements, opinions and data contained in all publications are solely those of the individual author(s) and contributor(s) and not of MDPI and/or the editor(s). MDPI and/or the editor(s) disclaim responsibility for any injury to people or property resulting from any ideas, methods, instructions or products referred to in the content. |
© 2024 by the authors. Licensee MDPI, Basel, Switzerland. This article is an open access article distributed under the terms and conditions of the Creative Commons Attribution (CC BY) license (https://creativecommons.org/licenses/by/4.0/).
Share and Cite
Lennon, N.; Church, C.; Wagner, D.; Niiler, T.; Henley, J.; Miller, F.; Shrader, M.W.; Howard, J.J. Kinematic Changes throughout Childhood in Youth with Cerebral Palsy: Influence of Age and Orthopaedic Surgery. Children 2024, 11, 1240. https://doi.org/10.3390/children11101240
Lennon N, Church C, Wagner D, Niiler T, Henley J, Miller F, Shrader MW, Howard JJ. Kinematic Changes throughout Childhood in Youth with Cerebral Palsy: Influence of Age and Orthopaedic Surgery. Children. 2024; 11(10):1240. https://doi.org/10.3390/children11101240
Chicago/Turabian StyleLennon, Nancy, Chris Church, Daniel Wagner, Tim Niiler, John Henley, Freeman Miller, Michael Wade Shrader, and Jason J. Howard. 2024. "Kinematic Changes throughout Childhood in Youth with Cerebral Palsy: Influence of Age and Orthopaedic Surgery" Children 11, no. 10: 1240. https://doi.org/10.3390/children11101240
APA StyleLennon, N., Church, C., Wagner, D., Niiler, T., Henley, J., Miller, F., Shrader, M. W., & Howard, J. J. (2024). Kinematic Changes throughout Childhood in Youth with Cerebral Palsy: Influence of Age and Orthopaedic Surgery. Children, 11(10), 1240. https://doi.org/10.3390/children11101240

