The Association of Serum Uric Acid Levels and Various Uric Acid-Related Ratios with Insulin Resistance and Obesity: A Preliminary Study in Adolescents
Abstract
1. Introduction
2. Materials and Methods
2.1. Study Design and Population
2.2. Laboratory Analysis
2.3. Calculations of Uric Acid-Related Ratios
2.4. Ethical Approval
2.5. Statistical Analysis
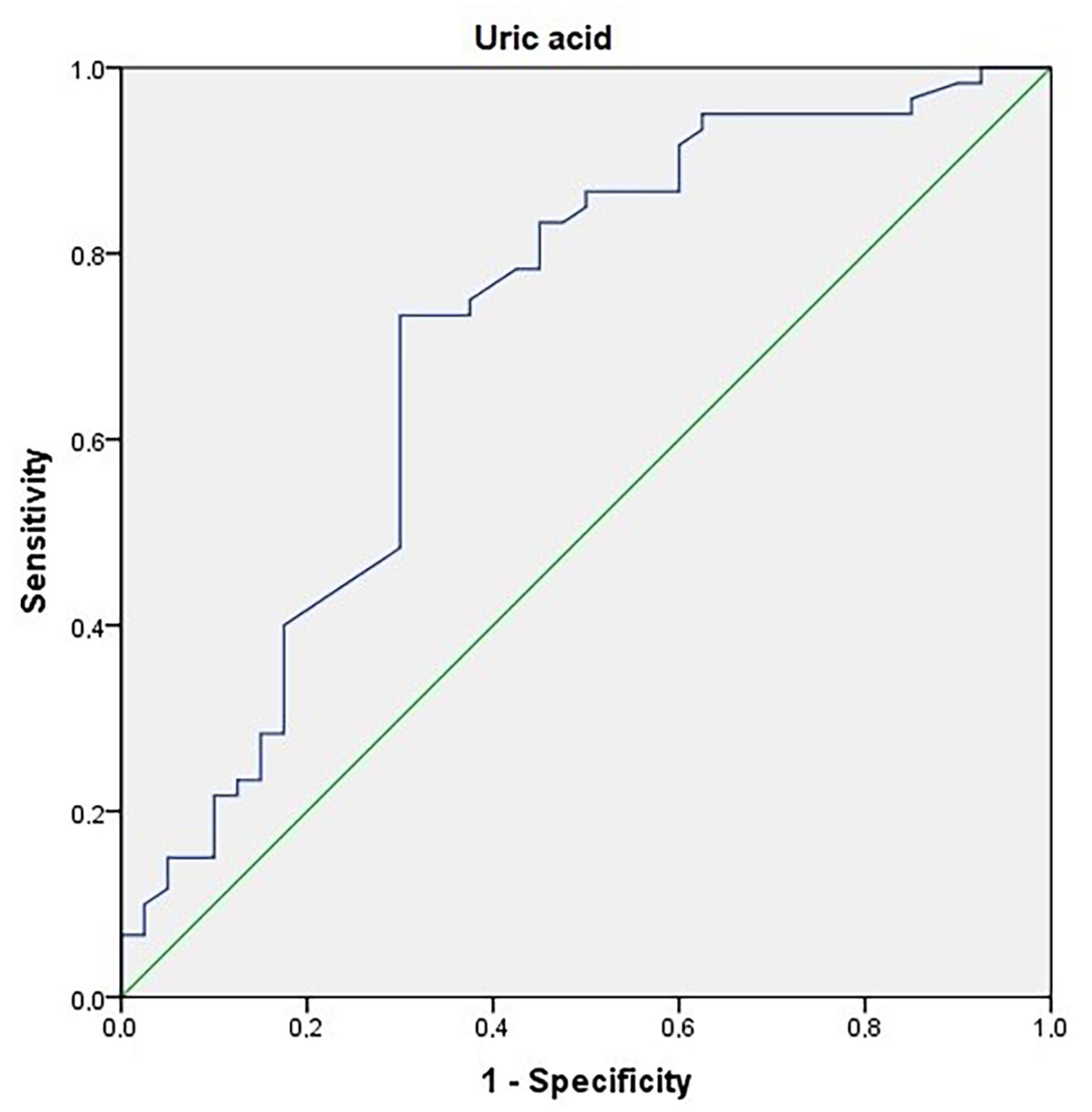
3. Results
4. Discussion
4.1. Assessment of High Uric Acid Levels
4.2. Assessment of High UAR
4.3. Assessment of High UCR
4.4. Assessment of High UHR
4.5. Assessment of ULR
4.6. Limitations
5. Conclusions
Author Contributions
Funding
Institutional Review Board Statement
Informed Consent Statement
Data Availability Statement
Conflicts of Interest
References
- Calcaterra, V.; Vandoni, M.; Marin, L.; Carnevale Pellino, V.; Rossi, V.; Gatti, A.; Patanè, P.; Cavallo, C.; Re, F.; Albanese, I.; et al. Exergames to limit weight gain and to fight sedentarism in children and adolescents with obesity. Children 2023, 10, 928. [Google Scholar] [CrossRef] [PubMed]
- Suren, G.S.; Kushwaha, K.; Dubey, R.; Gupta, J. Association between obesity, inflammation and insulin resistance: Insights into signaling pathways and therapeutic interventions. Diabetes. Res. Clin. Pract. 2023, 200, 110691. [Google Scholar] [CrossRef] [PubMed]
- Man, K.; Kallies, A.; Vasanthakumar, A. Resident and migratory adipose immune cells control systemic metabolism and thermogenesis. Cell. Mol. Immunol. 2022, 19, 421–431. [Google Scholar] [CrossRef] [PubMed]
- Álvarez-Lario, B.; Macarrón-Vicente, J. Uric acid and evolution. Rheumatology 2010, 49, 2010–2015. [Google Scholar] [CrossRef] [PubMed]
- Xu, J.; Tong, L.; Mao, J. Hyperuricemia and associated factors in children with chronic kidney disease: A cross-sectional study. Children 2022, 9, 6. [Google Scholar] [CrossRef] [PubMed]
- Niu, Y.; Tang, Q.; Zhao, X.; Zhao, X.; Mao, X.; Sheng, J.; Cai, W.; Feng, Y. Obesity-induced insulin resistance is mediated by high uric acid in obese children and adolescents. Front. Endocrinol. 2021, 12, 773820. [Google Scholar] [CrossRef] [PubMed]
- Liu, S.; Wei, W.; Cheng, Y.; Chen, J.Y.; Liu, Y.; Wu, Z.P.; Hu, M.D.; Zhao, H.; Li, X.F.; Chen, X. Combining body mass index and waist height ratio to assess the relationship between obesity and serum uric acid levels in adolescents. Front. Pediatr. 2023, 11, 1176897. [Google Scholar] [CrossRef]
- İnanır, M. Serum uric acid (SUA) in morbidly obese patients and its relationship with metabolic syndrome. Aging Male 2020, 23, 1165–1169. [Google Scholar] [CrossRef]
- Ozgur, Y.; Akin, S.; Yilmaz, N.G.; Gucun, M.; Keskin, Ö. Uric acid albumin ratio as a predictive marker of short-term mortality in patients with acute kidney injury. Clin. Exp. Emerg. Med. 2021, 8, 82–88. [Google Scholar] [CrossRef]
- Yalcinkaya, D.; Karacali, K.; Ilhan, B.C.; Yarlioglues, M. Relation between serum uric acid to albumin ratio and severity of chronic coronary artery disease. Angiology 2023. Online ahead of print. [Google Scholar] [CrossRef]
- Şaylık, F.; Çınar, T.; Selçuk, M.; Tanboğa, İ.H. The relationship between uric acid/albumin ratio and carotid intima-media thickness in patients with hypertension. Arq. Bras. Cardiol. 2023, 120, e20220819. [Google Scholar] [CrossRef] [PubMed]
- Çınar, T.; Saylık, F.; Hayiroglu, M.İ.; Asal, S.; Selcuk, M.; Cicek, V.; Tanboga, İ.H. The association of serum uric acid/albumin ratio with no-reflow in patients with st elevation myocardial infarction. Angiology 2023, 74, 381–386. [Google Scholar] [CrossRef] [PubMed]
- Tao, J.; Shen, X.; Li, J.; Cha, E.; Gu, P.P.; Liu, J.; Zhu, W.; He, L.L.; Li, G.Q.; Wang, Z. Serum uric acid to creatinine ratio and metabolic syndrome in postmenopausal Chinese women. Medicine 2020, 99, e19959. [Google Scholar] [CrossRef] [PubMed]
- Li, M.; Gu, L.; Yang, J.; Lou, Q. Serum uric acid to creatinine ratio correlates with β-cell function in type 2 diabetes. Diabetes Metab. Res. Rev. 2018, 34, e3001. [Google Scholar] [CrossRef] [PubMed]
- Wang, X.; Han, Y.; Liu, Y.; Hu, H. Association between serum uric acid-to-creatinine ratio and non-alcoholic fatty liver disease: A cross-sectional study in Chinese non-obese people with a normal range of low-density lipoprotein cholesterol. BMC Gastroenterol. 2022, 22, 419. [Google Scholar] [CrossRef] [PubMed]
- Kawamoto, R.; Kikuchi, A.; Ninomiya, D.; Tokumoto, Y.; Kumagi, T. Serum uric acid to creatinine ratio is a useful predictor of all-cause mortality among hypertensive patients. Clin. Hypertens. 2023, 29, 10. [Google Scholar] [CrossRef]
- Chen, L.; Zhu, Z.; Ye, S.; Zheng, M. The Serum uric acid to serum creatinine ratio is an independent risk factor for diabetic kidney disease. Diabetes Metab. Syndr. Obes. Targets Ther. 2022, 15, 3693–3703. [Google Scholar] [CrossRef] [PubMed]
- Yazdi, F.; Baghaei, M.H.; Baniasad, A.; Naghibzadeh-Tahami, A.; Najafipour, H.; Gozashti, M.H. Investigating the relationship between serum uric acid to high-density lipoprotein ratio and metabolic syndrome. Endocrinol. Diabetes Metab. J. 2022, 5, e00311. [Google Scholar] [CrossRef]
- Sun, H.; Su, H.; Zheng, R.; Liu, C.; Wang, Y.; Fang, C. Serum uric acid to high-density lipoprotein cholesterol ratio is associated with visceral fat in patients with type 2 diabetes. Diabetes Metab. Syndr. Obes. 2023, 16, 959–967. [Google Scholar] [CrossRef]
- Aktas, G.; Kocak, M.Z.; Bilgin, S.; Atak, B.M.; Duman, T.T.; Kurtkulagi, O. Uric acid to HDL cholesterol ratio is a strong predictor of diabetic control in men with type 2 diabetes mellitus. Aging Male 2020, 23, 1098–1102. [Google Scholar] [CrossRef]
- Xie, Y.; Huang, K.; Zhang, X.; Wu, Z.; Wu, Y.; Chu, J.; Kong, W.; Qian, G. Association of serum uric acid-to-high-density lipoprotein cholesterol ratio with non-alcoholic fatty liver disease in American adults: A population-based analysis. Front. Med. 2023, 10, 1164096. [Google Scholar] [CrossRef] [PubMed]
- Aktas, G.; Khalid, A.; Kurtkulagi, O.; Duman, T.T.; Bilgin, S.; Kahveci, G.; Atak Tel, B.M.; Sincer, I.; Gunes, Y. Poorly controlled hypertension is associated with elevated serum uric acid to HDL-cholesterol ratio: A cross-sectional cohort study. Postgrad. Med. 2022, 134, 297–302. [Google Scholar] [CrossRef]
- Tian, X.; Wang, P.; Chen, S.; Zhang, Y.; Zhang, X.; Xu, Q.; Luo, Y.; Wu, S.; Wang, A. Association of serum uric acid to lymphocyte ratio, a novel inflammatory biomarker, with risk of stroke: A prospective cohort study. CNS Neurosci. Ther. Apr. 2023, 29, 1168–1177. [Google Scholar] [CrossRef] [PubMed]
- Ekici Günay, N.; Baktır, A.O.; Çakır, İ.; Muhtaroğlu, S.; Nisari, M. Uric acid-lymphocyte ratios and myocardial damage parameters in ST elevated myocardial infarction. J. Contemp. Med. 2020, 10, 108–113. [Google Scholar] [CrossRef]
- Yang, Z.; Li, S.; Zhao, L.; Lv, W.; Ju, J.; Zhang, W.; Li, J.; Che, G. Serum uric acid to lymphocyte ratio: A novel prognostic biomarker for surgically resected early-stage lung cancer. A propensity score matching analysis. Clin. Chim. Acta. 2020, 503, 35–44. [Google Scholar] [CrossRef] [PubMed]
- Neyzi, O.; Bundak, R.; Gökçay, G.; Günöz, H.; Furman, A.; Darendeliler, F.; Baş, F. Reference Values for Weight, Height, Head Circumference, and Body Mass Index in Turkish Children. J. Clin. Res. Pediatr. Endocrinol. 2015, 7, 280–293. [Google Scholar] [CrossRef] [PubMed]
- Knopfholz, J.; Disserol, C.C.; Pierin, A.J.; Schirr, F.L.; Streisky, L.; Takito, L.L.; Massucheto Ledesma, P.; Faria-Neto, J.R.; Olandoski, M.; da Cunha, C.L.; et al. Validation of the friedewald formula in patients with metabolic syndrome. Cholesterol 2014, 261878. [Google Scholar] [CrossRef]
- Borai, A.; Livingstone, C.; Ferns, G.A. The biochemical assessment of insulin resistance. Ann. Clin. Biochem. 2007, 44, 324–342. [Google Scholar] [CrossRef]
- De Miranda, J.A.; Almeida, G.G.; Martins, R.I.; Cunha, M.B.; Belo, V.A.; dos Santos, J.E.; Mourão-Júnior, C.A.; Lanna, C.M. The role of uric acid in the insulin resistance in children and adolescents with obesity. Rev. Paul. Pediatr. 2015, 33, 431–436. [Google Scholar] [CrossRef][Green Version]
- Zeng, J.; Lawrence, W.R.; Yang, J.; Tian, J.; Li, C.; Lian, W.; He, J.; Qu, H.; Wang, X.; Liu, H.; et al. Association between serum uric acid and obesity in Chinese adults: A 9-year longitudinal data analysis. BMJ Open. 2021, 11, e041919. [Google Scholar] [CrossRef]
- Li, F.; Chen, S.; Qiu, X.; Wu, J.; Tan, M.; Wang, M. Serum uric acid levels and metabolic indices in an obese population: A cross-sectional study. Diabetes. Metab. Syndr. Obes. 2021, 14, 627–635. [Google Scholar] [CrossRef] [PubMed]
- Gil-Campos, M.; Aguilera, C.M.; Cañete, R.; Gil, A. Uric acid is associated with features of insulin resistance syndrome in obese children at prepubertal stage. Nutr. Hosp. 2009, 24, 607–613. [Google Scholar]
- Yeter, H.H.; Eyüpoğlu, D.; Paşayev, T.; Çetik, S.; Akçay, Ö.F.; Yıldırım, T. Role of uric acid albumin ratio in predicting development of acute kidney injury and mortality in intensive care unit patients. Turk. J. Nephrol. 2019, 28, 160–167. [Google Scholar] [CrossRef]
- Selçuk, M.; Çınar, T.; Şaylık, F.; Akbulut, T.; Asal, S.; Çiçek, V.; Hayıroğlu, M.İ.; Tanboğa, İ.H. Predictive value of uric acid/albumin ratio for the prediction of new-onset atrial fibrillation in patients with ST-Elevation myocardial infarction. Rev. Investig. Clin. 2022, 74, 156–164. [Google Scholar]
- Liu, J.; Peng, H.; Wang, C.; Wang, Y.; Wang, R.; Liu, J.; Zhou, T.; Yao, S. Correlation between the severity of metabolic dysfunction-associated fatty liver disease and serum uric acid to serum creatinine ratio. Int. J. Endocrinol. 2023, 2023, 6928117. [Google Scholar] [CrossRef]
- Ma, C.; Liu, Y.; He, S.; Zeng, J.; Li, P.; Ma, C.; Ping, F.; Zhang, H.; Xu, L.; Li, W.; et al. C-Peptide: A mediator of the association between serum uric acid to creatinine ratio and non-alcoholic fatty liver disease in a chinese population with normal serum uric acid levels. Front. Endocrinol. 2020, 11, 600472. [Google Scholar] [CrossRef]
- Al-Daghri, N.M.; Al-Attas, O.S.; Wani, K.; Sabico, S.; Alokail, M.S. Serum uric acid to creatinine ratio and risk of metabolic syndrome in saudi type 2 diabetic patients. Sci. Rep. 2017, 7, 12104. [Google Scholar] [CrossRef]
- Cobos-Palacios, L.; Muñoz-Úbeda, M.; Gallardo-Escribano, C.; Ruiz-Moreno, M.I.; Vilches-Pérez, A.; Vargas-Candela, A.; Leiva-Gea, I.; Tinahones, F.J.; Gómez-Huelgas, R.; Bernal-López, M.R. Adipokines profile and inflammation biomarkers in prepubertal population with obesity and healthy metabolic state. Children 2022, 9, 42. [Google Scholar] [CrossRef]
- Kurtkulagi, O.; Tel, B.M.A.; Kahveci, G.; Bilgin, S.; Duman, T.T.; Ertürk, A.; Balci, B.; Aktas, G. Hashimoto’s thyroiditis is associated with elevated serum uric acid to high density lipoprotein-cholesterol ratio. Rom. J. Intern. Med. 2021, 59, 403–408. [Google Scholar] [CrossRef]
- Anık, A.; Çelik, E.; Anık, A. The relation of complete blood count parameters with metabolic and clinical parameters in overweight and obese children. J. Pediatr. Res. 2021, 8, 161–170. [Google Scholar] [CrossRef]
- Wei, X.B.; Chen, W.J.; Duan, C.Y.; Qin, T.H.; Yu, Y.; Geng, Q.S.; Jiang, L. Joint effects of uric acid and lymphocyte count on adverse outcomes in elderly patients with rheumatic heart disease undergoing valve replacement surgery. J. Thorac. Cardiovasc. Surg. 2019, 158, 420–427. [Google Scholar] [CrossRef]




| Obese Adolescents (n: 60) | Healthy Control (n: 40) | ||
|---|---|---|---|
| Mean ± SD (Median) | Mean ± SD (Median) | p | |
| Demographic data | |||
| Age Mean ± SD | 13.62 ± 2.15 | 14.02 ± 2.29 | 0.367 1 |
| BMI Mean ± SD | 31.66 ± 4.58 | 20.70 ± 2.40 | 0.001 1 |
| Gender n (%) | |||
| Female | 26 (%65) | 30 (%50) | 0.202 3 |
| Male | 14 (%35) | 30 (%50) | |
| Serum uric acid and uric acid-related ratios | |||
| Uric acid (mg/dL) | 5.19 ± 1.3 (4.9) | 4.32 ± 1.12 (3.9) | 0.001 2 |
| UAR | 1.16 ± 0.28 (1.1) | 0.94 ± 0.24 (0.9) | 0.001 2 |
| UCR | 9.36 ± 2.53 (9.4) | 7.86 ± 2.45 (7.1) | 0.001 2 |
| UHR | 0.12 ± 0.04 (0.1) | 0.09 ± 0.03 (0.1) | 0.001 2 |
| ULR | 1.99 ± 0.76 (1.9) | 1.82 ± 0.58 (1.7) | 0.218 2 |
| Other laboratory data | |||
| HbA1c (%) | 5.42 ± 0.31 (5.4) | 5.04 ± 0.43 (5) | 0.001 1 |
| Glucose (mg/dL) | 87.98 ± 8.48 (87) | 88.33 ± 8.44 (88) | 0.844 1 |
| Urea (mg/dL) | 22.72 ± 6.62 (21.5) | 21.53 ± 6.01 (21) | 0.432 2 |
| Creatinine (mg/dL) | 0.57 ± 0.12 (0.5) | 0.58 ± 0.16 (0.6) | 0.740 1 |
| Albumin (mg/dL) | 4.48 ± 0.24 (4.5) | 4.59 ± 0.39 (4.7) | 0.070 1 |
| AST (U/L) | 22.5 ± 10.46 (20) | 17.43 ± 4.75 (16.5) | 0.003 2 |
| ALT (U/L) | 23.52 ± 18.03 (18.5) | 13.85 ± 7.47 (12) | 0.001 2 |
| CRP (mg/L) | 4.88 ± 3.91 (4.3) | 1.52 ± 1.88 (0.5) | 0.001 2 |
| Cholesterol (mg/dL) | 156.98 ± 31.87 (150.5) | 149.63 ± 27.64 (150) | 0.236 1 |
| Triglyceride (mg/L) | 109.98 ± 50.59 (96) | 77.5 ± 29.01 (72) | 0.001 2 |
| HDL cholesterol (mg/dL) | 47.45 ± 10.04 (47) | 54.65 ± 12.25 (53.5) | 0.002 2 |
| LDL cholesterol (mg/dL) | 88.03 ± 24.84 (86.5) | 80.18 ± 24.67 (76) | 0.095 2 |
| TSH (mU/L) | 2.48 ± 1.23 (2.2) | 1.98 ± 1.02 (1.9) | 0.034 1 |
| Free T4 (ng/L) | 9.76 ± 1.82 (9.4) | 11.77 ± 2.17 (11.8) | 0.001 1 |
| Insulin (IU/L) | 18.39 ± 11.95 (15.8) | 10.21 ± 4.4 (9.7) | 0.001 1 |
| HOMA-IR | 4.09 ± 3.14 (3.3) | 2.26 ± 1.07 (2.1) | 0.001 2 |
| WBC (103) | 8.05 ± 1.51 (8.1) | 7.33 ± 1.72 (7) | 0.029 1 |
| Neutrophil count (103) | 4.56 ± 1.39 (4.3) | 4.1 ± 1.37 (3.8) | 0.077 2 |
| Lymphocyte count (103) | 2.78 ± 0.68 (2.8) | 2.47 ± 0.61 (2.4) | 0.027 1 |
| RBC (106) | 4.88 ± 0.38 (4.9) | 4.86 ± 0.46 (4.8) | 0.814 1 |
| Platelet count (103) | 329.45 ± 73.54 (329.5) | 313.13 ± 69.72 (308.5) | 0.270 1 |
| MPV (fL) | 9.52 ± 1.08 (9.5) | 9.78 ± 0.95 (9.8) | 0.224 1 |
| Uric Acid | UAR | UCR | UHR | ULR | ||
|---|---|---|---|---|---|---|
| 1 Age | r | 0.023 | 0.023 | −0.416 | 0.032 | 0.229 |
| p | 0.863 | 0.862 | 0.001 | 0.806 | 0.079 | |
| 1 BMI | r | 0.196 | 0.222 | −0.049 | 0.099 | 0.122 |
| p | 0.133 | 0.088 | 0.710 | 0.451 | 0.353 | |
| 1 HbA1c | r | −0.214 | −0.142 | −0.134 | −0.185 | −0.074 |
| p | 0.100 | 0.278 | 0.307 | 0.157 | 0.574 | |
| 1 Glucose | r | 0.185 | 0.132 | 0.046 | 0.213 | 0.001 |
| p | 0.157 | 0.314 | 0.727 | 0.102 | 0.991 | |
| 1 Albumin | r | 0.218 | - | 0.085 | 0.222 | 0.089 |
| p | 0.095 | - | 0.517 | 0.088 | 0.499 | |
| 2 CRP | r | 0.052 | 0.083 | 0.251 | 0.068 | −0.017 |
| p | 0.693 | 0.527 | 0.053 | 0.605 | 0.899 | |
| 1 Cholesterol | r | −0.158 | −0.102 | −0.032 | −0.346 | −0.263 |
| p | 0.229 | 0.439 | 0.811 | 0.007 | 0.042 | |
| 2 Triglyceride | r | 0.091 | 0.101 | 0.118 | 0.180 | −0.063 |
| p | 0.491 | 0.442 | 0.370 | 0.169 | 0.631 | |
| 2 HDL cholesterol | r | −0.168 | −0.151 | −0.192 | - | −0.070 |
| p | 0.198 | 0.250 | 0.141 | - | 0.595 | |
| 2 LDL cholesterol | r | −0.004 | 0.066 | 0.112 | −0.131 | −0.188 |
| p | 0.975 | 0.616 | 0.394 | 0.319 | 0.150 | |
| 1 Insulin | r | 0.195 | 0.170 | 0.000 | 0.023 | 0.082 |
| p | 0.135 | 0.195 | 1.000 | 0.859 | 0.531 | |
| 2 HOMA-IR | r | 0.274 | 0.296 | 0.126 | 0.327 | 0.040 |
| p | 0.006 | 0.003 | 0.213 | 0.001 | 0.692 | |
| 1 Lymphocyte count | r | 0.205 | 0.176 | 0.360 | 0.159 | - |
| p | 0.116 | 0.178 | 0.005 | 0.225 | - | |
| 1 MPV | r | −0.112 | −0.132 | −0.321 | 0.001 | 0.075 |
| p | 0.394 | 0.313 | 0.012 | 0.991 | 0.571 |
Disclaimer/Publisher’s Note: The statements, opinions and data contained in all publications are solely those of the individual author(s) and contributor(s) and not of MDPI and/or the editor(s). MDPI and/or the editor(s) disclaim responsibility for any injury to people or property resulting from any ideas, methods, instructions or products referred to in the content. |
© 2023 by the authors. Licensee MDPI, Basel, Switzerland. This article is an open access article distributed under the terms and conditions of the Creative Commons Attribution (CC BY) license (https://creativecommons.org/licenses/by/4.0/).
Share and Cite
Dikker, O.; Aktaş, A.; Şahin, M.; Doğan, M.; Dağ, H. The Association of Serum Uric Acid Levels and Various Uric Acid-Related Ratios with Insulin Resistance and Obesity: A Preliminary Study in Adolescents. Children 2023, 10, 1493. https://doi.org/10.3390/children10091493
Dikker O, Aktaş A, Şahin M, Doğan M, Dağ H. The Association of Serum Uric Acid Levels and Various Uric Acid-Related Ratios with Insulin Resistance and Obesity: A Preliminary Study in Adolescents. Children. 2023; 10(9):1493. https://doi.org/10.3390/children10091493
Chicago/Turabian StyleDikker, Okan, Ayşe Aktaş, Mustafa Şahin, Murat Doğan, and Hüseyin Dağ. 2023. "The Association of Serum Uric Acid Levels and Various Uric Acid-Related Ratios with Insulin Resistance and Obesity: A Preliminary Study in Adolescents" Children 10, no. 9: 1493. https://doi.org/10.3390/children10091493
APA StyleDikker, O., Aktaş, A., Şahin, M., Doğan, M., & Dağ, H. (2023). The Association of Serum Uric Acid Levels and Various Uric Acid-Related Ratios with Insulin Resistance and Obesity: A Preliminary Study in Adolescents. Children, 10(9), 1493. https://doi.org/10.3390/children10091493

