Identification and Elimination of Antifungal Tolerance in Candida auris
Abstract
1. Introduction
2. Materials and Methods
2.1. Strains, Media, and Growth Conditions
2.2. DNA Extractions, PCR, and Sequencing
2.3. Broth Microdilution and Disk Diffusion Assays
2.4. Photography and Image Preprocessing
2.5. Quantifying Tolerance via Supra-MIC Growth and Fraction of Growth
2.6. Experiments to Determine Effectiveness Adjuvant-Antifungal Treatment
3. Results
3.1. Identification of Resistance in C. auris from Broth Microdilution Assays
3.2. Identification of Resistance in C. auris from Disk Diffusion Assays
3.3. Identification of Tolerance in C. auris from Broth Microdilution Assays
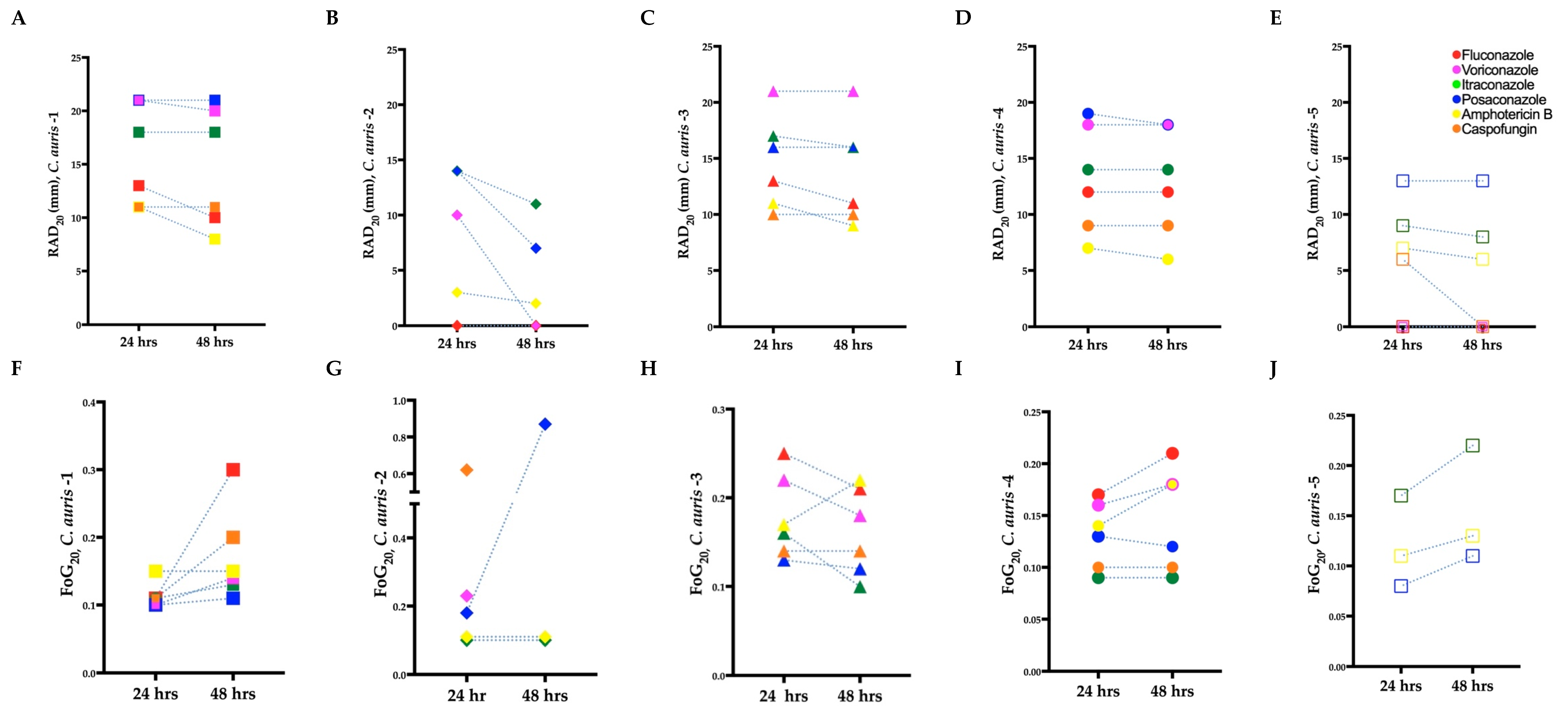
3.4. Identification of Tolerance in C. auris from Disk Diffusion Assays
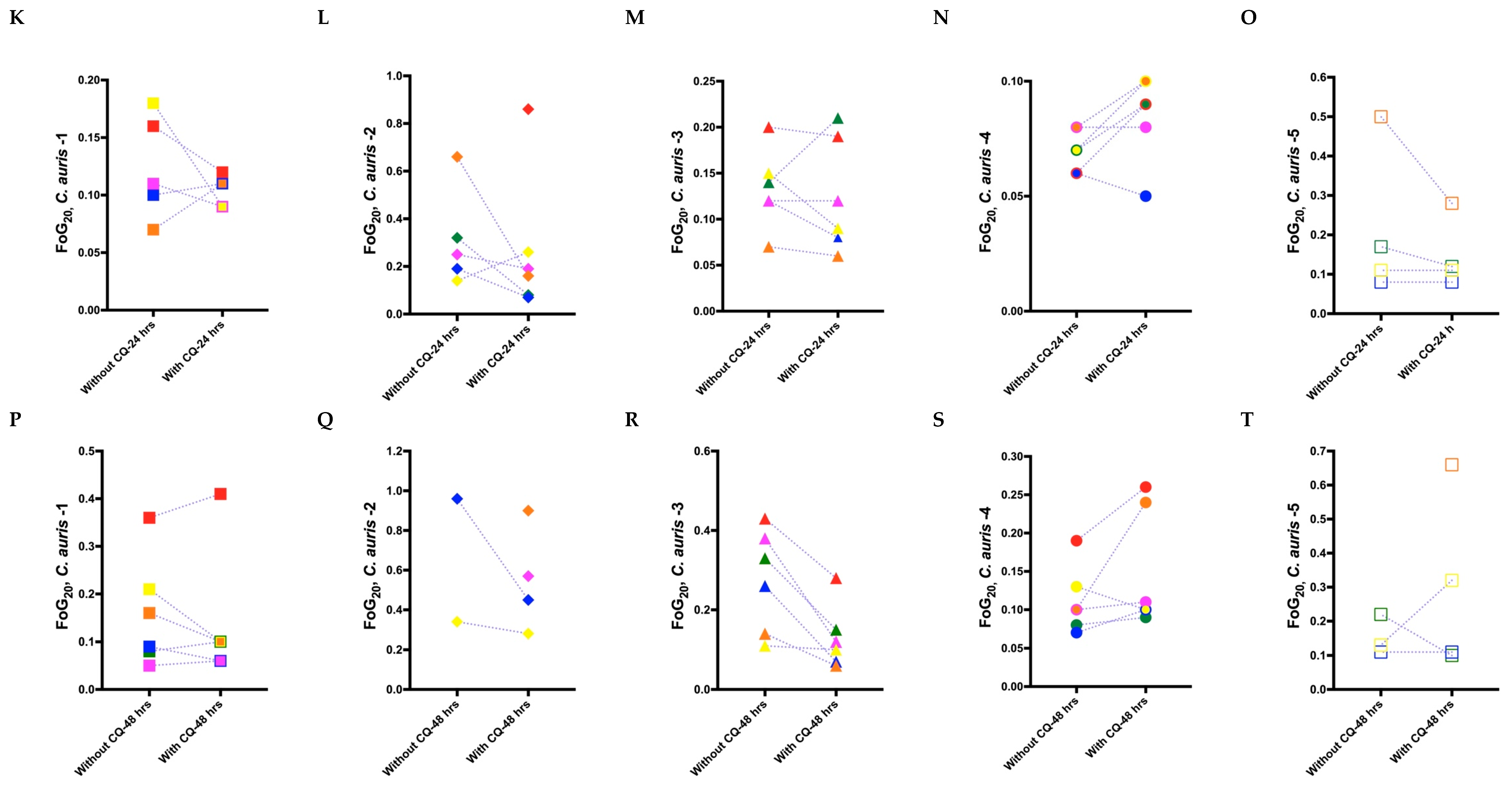
3.5. Tolerance in C. auris Is a Reversable Phenomenon
3.6. Elimination of Tolerance and Resistance in C. auris via Adjuvant-Antifungal Treatment
4. Discussion
Supplementary Materials
Author Contributions
Funding
Institutional Review Board Statement
Informed Consent Statement
Data Availability Statement
Acknowledgments
Conflicts of Interest
References
- Perlin, D.S.; Rautemaa-Richardson, R.; Alastruey-Izquierdo, A. The Global Problem of Antifungal Resistance: Prevalence, Mechanisms, and Management. Lancet Infect. Dis. 2017, 17, e383–e392. [Google Scholar] [CrossRef] [PubMed]
- Gow, N.A.R.; Johnson, C.; Berman, J.; Coste, A.T.; Cuomo, C.A.; Perlin, D.S.; Bicanic, T.; Harrison, T.S.; Wiederhold, N.; Bromley, M.; et al. The Importance of Antimicrobial Resistance in Medical Mycology. Nat. Commun. 2022, 13, 5352. [Google Scholar] [CrossRef] [PubMed]
- Alangaden, G.J. Nosocomial Fungal Infections: Epidemiology, Infection Control, and Prevention. Infect. Dis. Clin. North Am. 2011, 25, 201–225. [Google Scholar] [CrossRef] [PubMed]
- Andes, D.R.; Safdar, N.; Baddley, J.W.; Alexander, B.; Brumble, L.; Freifeld, A.; Hadley, S.; Herwaldt, L.; Kauffman, C.; Lyon, G.M.; et al. The Epidemiology and Outcomes of Invasive Candida Infections among Organ Transplant Recipients in the United States: Results of the Transplant-Associated Infection Surveillance Network (TRANSNET). Transpl. Infect. Dis. 2016, 18, 921–931. [Google Scholar] [CrossRef] [PubMed]
- O’Neill, J. Tackling Drug-Resistant Infections Globally: Final Report and Recommendations: The Review on Antimicrobial Resistanc. 2016. Available online: https://Amr-Review.Org (accessed on 10 November 2022).
- Woolhouse, M.; Farrar, J. Policy: An Intergovernmental Panel on Antimicrobial Resistance. Nature 2014, 509, 555–557. [Google Scholar] [CrossRef]
- Krysan, D.J. The Unmet Clinical Need of Novel Antifungal Drugs. Virulence 2017, 8, 135–137. [Google Scholar] [CrossRef]
- Wall, G.; Lopez-Ribot, J.L. Current Antimycotics, New Prospects, and Future Approaches to Antifungal Therapy. Antibiotics 2020, 9, 445. [Google Scholar] [CrossRef]
- McCarty, T.P.; Pappas, P.G. Antifungal Pipeline. Front. Cell. Infect. Microbiol. 2021, 11, 1–11. [Google Scholar] [CrossRef]
- Nnadi, N.E.; Carter, D.A. Climate Change and the Emergence of Fungal Pathogens. PLoS Pathog. 2021, 17, e1009503. [Google Scholar] [CrossRef]
- Turner, S.A.; Butler, G. The Candida Pathogenic Species Complex. Cold Spring Harb. Perspect. Med. 2014, 4, a019778. [Google Scholar] [CrossRef]
- Cendejas-Bueno, E.; Kolecka, A.; Alastruey-Izquierdo, A.; Theelen, B.; Groenewald, M.; Kostrzewa, M.; Cuenca-Estrella, M.; Gómez-López, A.; Boekhout, T. Reclassification of the Candida Haemulonii Complex as Candida Haemulonii (C. Haemulonii Group I), C. Duobushaemulonii Sp. Nov. (C. Haemulonii Group II), and C. Haemulonii Var. Vulnera Var. Nov.: Three Multiresistant Human Pathogenic Yeasts. J. Clin. Microbiol. 2012, 50, 3641–3651. [Google Scholar] [CrossRef] [PubMed]
- Forsberg, K.; Woodworth, K.; Walters, M.; Berkow, E.L.; Jackson, B.; Chiller, T.; Vallabhaneni, S. Candida Auris: The Recent Emergence of a Multidrug-Resistant Fungal Pathogen. Med. Mycol. 2019, 57, 1–12. [Google Scholar] [CrossRef] [PubMed]
- Chow, N.A.; Gade, L.; Tsay, S.V.; Forsberg, K.; Greenko, J.A.; Southwick, K.L.; Barrett, P.M.; Kerins, J.L.; Lockhart, S.R.; Chiller, T.M.; et al. Multiple Introductions and Subsequent Transmission of Multidrug-Resistant Candida Auris in the {USA}: A Molecular Epidemiological Survey. Lancet Infect. Dis. 2018, 18, 1377–1384. [Google Scholar] [CrossRef]
- Centers for Disease Control and Prevention Tracking Candida Auris: Candida Auris Fungal Diseases CDC. Available online: https://www.cdc.gov/fungal/candida-auris/tracking-c-auris.html (accessed on 1 April 2021).
- Arendrup, M.C.; Patterson, T.F. Multidrug-Resistant Candida: Epidemiology, Molecular Mechanisms, and Treatment. J. Infect. Dis. 2017, 216, S445–S451. [Google Scholar] [CrossRef] [PubMed]
- Rhodes, J.; Fisher, M.C. Global Epidemiology of Emerging Candida Auris. Curr. Opin. Microbiol. 2019, 52, 84–89. [Google Scholar] [CrossRef] [PubMed]
- Magiorakos, A.-P.; Srinivasan, A.; Carey, R.B.; Carmeli, Y.; Falagas, M.E.; Giske, C.G.; Harbarth, S.; Hindler, J.F.; Kahlmeter, G.; Olsson-Liljequist, B.; et al. Multidrug-Resistant, Extensively Drug-Resistant and Pandrug-Resistant Bacteria: An International Expert Proposal for Interim Standard Definitions for Acquired Resistance. Clin. Microbiol. Infect. 2012, 18, 268–281. [Google Scholar] [CrossRef]
- Lyman, M.; Forsberg, K.; Reuben, J.; Dang, T.; Free, R.; Seagle, E.E.; Sexton, D.J.; Soda, E.; Jones, H.; Hawkins, D.; et al. Notes from the Field: Transmission of Pan-Resistant and Echinocandin-Resistant Candida Auris in Health Care Facilities ― Texas and the District of Columbia, January–April 2021. MMWR. Morb. Mortal. Wkly. Rep. 2021, 70, 1022–1023. [Google Scholar] [CrossRef] [PubMed]
- Chen, J.; Tian, S.; Han, X.; Chu, Y.; Wang, Q.; Zhou, B.; Shang, H. Is the Superbug Fungus Really so Scary? A Systematic Review and Meta-Analysis of Global Epidemiology and Mortality of Candida Auris. BMC Infect. Dis. 2020, 20, 827. [Google Scholar] [CrossRef]
- Berman, J.; Krysan, D.J. Drug Resistance and Tolerance in Fungi. Nat. Rev. Microbiol. 2020, 18, 319–331. [Google Scholar] [CrossRef]
- Kukurudz, R.J.; Chapel, M.; Wonitowy, Q.; Adamu Bukari, A.-R.; Sidney, B.; Sierhuis, R.; Gerstein, A.C. Acquisition of Cross-Azole Tolerance and Aneuploidy in Candida Albicans Strains Evolved to Posaconazole. G3 Genes|Genomes|Genetics 2022, 12, jkac156. [Google Scholar] [CrossRef]
- Kim, S.H.; Iyer, K.R.; Pardeshi, L.; Muñoz, J.F.; Robbins, N.; Cuomo, C.A.; Wong, K.H.; Cowen, L.E. Genetic Analysis of Candida Auris Implicates Hsp90 in Morphogenesis and Azole Tolerance and Cdr1 in Azole Resistance. MBio 2019, 10, e02529-18. [Google Scholar] [CrossRef]
- Healey, K.R.; Kordalewska, M.; Ortigosa, C.J.; Singh, A.; Berrío, I.; Chowdhary, A.; Perlin, D.S. Limited ERG11 Mutations Identified in Isolates of Candida Auris Directly Contribute to Reduced Azole Susceptibility. Antimicrob. Agents Chemother. 2018, 62, e01427-18. [Google Scholar] [CrossRef]
- Mount, H.O.; Revie, N.M.; Todd, R.T.; Anstett, K.; Collins, C.; Costanzo, M.; Boone, C.; Robbins, N.; Selmecki, A.; Cowen, L.E. Global Analysis of Genetic Circuitry and Adaptive Mechanisms Enabling Resistance to the Azole Antifungal Drugs. PLoS Genet. 2018, 14, e1007319. [Google Scholar] [CrossRef]
- Coenye, T.; De Vos, M.; Vandenbosch, D.; Nelis, H. Factors Influencing the Trailing Endpoint Observed in Candida Albicans Susceptibility Testing Using the CLSI Procedure. Clin. Microbiol. Infect. 2008, 14, 495–497. [Google Scholar] [CrossRef] [PubMed]
- Arendrup, M.C.; Cuenca-Estrella, M.; Lass-Flörl, C.; Hope, W.; Arendrup, M.C.; Hope, W.W.; Flörl, C.; Cuenca-Estrella, M.; Arikan, S.; Barchiesi, F.; et al. EUCAST Technical Note on the EUCAST Definitive Document EDef 7.2: Method for the Determination of Broth Dilution Minimum Inhibitory Concentrations of Antifungal Agents for Yeasts EDef 7.2 (EUCAST-AFST). Clin. Microbiol. Infect. 2012, 18, E246–E247. [Google Scholar] [CrossRef]
- Rosenberg, A.; Ene, I.V.; Bibi, M.; Zakin, S.; Segal, E.S.; Ziv, N.; Dahan, A.M.; Colombo, A.L.; Bennett, R.J.; Berman, J. Antifungal Tolerance Is a Subpopulation Effect Distinct from Resistance and Is Associated with Persistent Candidemia. Nat. Commun. 2018, 9, 2470. [Google Scholar] [CrossRef]
- Gerstein, A.C.; Rosenberg, A.; Hecht, I.; Berman, J. DiskimageR: Quantification of Resistance and Tolerance to Antimicrobial Drugs Using Disk Diffusion Assays. Microbiology 2016, 162, 1059–1068. [Google Scholar] [CrossRef] [PubMed]
- Lepak, A.J.; Andes, D.R. Antifungal Pharmacokinetics and Pharmacodynamics. Cold Spring Harb. Perspect. Med. 2014, 5, a019653. [Google Scholar] [CrossRef] [PubMed]
- Bhattacharya, S.; Holowka, T.; Orner, E.P.; Fries, B.C. Gene Duplication Associated with Increased Fluconazole Tolerance in Candida Auris Cells of Advanced Generational Age. Sci. Rep. 2019, 9, 5052. [Google Scholar] [CrossRef]
- Astvad, K.M.T.; Sanglard, D.; Delarze, E.; Hare, R.K.; Arendrup, M.C. Implications of the EUCAST Trailing Phenomenon in Candida Tropicalis for the In Vivo Susceptibility in Invertebrate and Murine Models. Antimicrob. Agents Chemother. 2018, 62, e01624-18. [Google Scholar] [CrossRef]
- Colombo, A.L.; Guimarães, T.; Sukienik, T.; Pasqualotto, A.C.; Andreotti, R.; Queiroz-Telles, F.; Nouér, S.A.; Nucci, M. Prognostic Factors and Historical Trends in the Epidemiology of Candidemia in Critically Ill Patients: An Analysis of Five Multicenter Studies Sequentially Conducted over a 9-Year Period. Intensive Care Med. 2014, 40, 1489–1498. [Google Scholar] [CrossRef] [PubMed]
- Islahudin, F.; Khozoie, C.; Bates, S.; Ting, K.-N.; Pleass, R.J.; Avery, S. V Cell Wall Perturbation Sensitizes Fungi to the Antimalarial Drug Chloroquine. Antimicrob. Agents Chemother. 2013, 57, 3889–3896. [Google Scholar] [CrossRef]
- Levitz, S.M.; Harrison, T.S.; Tabuni, A.; Liu, X. Chloroquine Induces Human Mononuclear Phagocytes to Inhibit and Kill Cryptococcus Neoformans by a Mechanism Independent of Iron Deprivation. J. Clin. Investig. 1997, 100, 1640–1646. [Google Scholar] [CrossRef] [PubMed]
- Newman, S.L.; Gootee, L.; Brunner, G.; Deepe, G.S. Chloroquine Induces Human Macrophage Killing of Histoplasma Capsulatum by Limiting the Availability of Intracellular Iron and Is Therapeutic in a Murine Model of Histoplasmosis. J. Clin. Investig. 1994, 93, 1422–1429. [Google Scholar] [CrossRef] [PubMed]
- Li, Y.; Wan, Z.; Liu, W.; Li, R. Synergistic Activity of Chloroquine with Fluconazole against Fluconazole-Resistant Isolates of Candida Species. Antimicrob. Agents Chemother. 2015, 59, 1365–1369. [Google Scholar] [CrossRef]
- Bjelle, A.; Björnham, A.; Larsen, A.; Mjörndal, T. Chloroquine in Long-Term Treatment of Rheumatoid Arthritis. Clin. Rheumatol. 1983, 2, 393–399. [Google Scholar] [CrossRef]
- Powell, S.J. Therapy of Amebiasis. Bull. N. Y. Acad. Med. 1971, 47, 469–477. [Google Scholar]
- Dima, A.; Jurcut, C.; Chasset, F.; Felten, R.; Arnaud, L. Hydroxychloroquine in Systemic Lupus Erythematosus: Overview of Current Knowledge. Ther. Adv. Musculoskelet. Dis. 2022, 14, 1759720X211073001. [Google Scholar] [CrossRef]
- Lan, C.-Y.; Rodarte, G.; Murillo, L.A.; Jones, T.; Davis, R.W.; Dungan, J.; Newport, G.; Agabian, N. Regulatory Networks Affected by Iron Availability in Candida Albicans. Mol. Microbiol. 2004, 53, 1451–1469. [Google Scholar] [CrossRef]
- Singhal, N.; Kumar, M.; Kanaujia, P.K.; Virdi, J.S. MALDI-TOF Mass Spectrometry: An Emerging Technology for Microbial Identification and Diagnosis. Front. Microbiol. 2015, 6, 791. [Google Scholar] [CrossRef]
- Dingle, T.C.; Butler-Wu, S.M. Maldi-Tof Mass Spectrometry for Microorganism Identification. Clin. Lab. Med. 2013, 33, 589–609. [Google Scholar] [CrossRef]
- Turenne, C.Y.; Sanche, S.E.; Hoban, D.J.; Karlowsky, J.A.; Kabani, A.M. Rapid Identification of Fungi by Using the ITS2 Genetic Region and an Automated Fluorescent Capillary Electrophoresis System. J. Clin. Microbiol. 1999, 37, 1846–1851. [Google Scholar] [CrossRef] [PubMed]
- National Library of Medicine. Available online: https://blast.ncbi.nlm.nih.gov/Blast.cgi?PROGRAM=blastn&BLAST_SPEC=GeoBlast&PAGE_TYPE=BlastSearch (accessed on 12 October 2022).
- CLSI. Reference Method for Broth Dilution Antifungal Susceptibility Testing of Yeasts; Clinical and Laboratory Standards Institute: Wayne, PA, USA, 2017. [Google Scholar]
- CLSI. Method for Antifungal Disk Diffusion Susceptibility Testing of Yeasts: Approved Guideline—Second Edition, 2nd ed.; Clinical and Laboratory Standards Institute: Wayne, PA, USA, 2008; ISBN 1562385321. [Google Scholar]
- CLSI. Performance Standards for Antifungal Susceptibility Testing of Yeasts, 1st ed.; CLS.; Clinical and Laboratory Standards Institute: Wayne, PA, USA, 2017. [Google Scholar]
- CDC 2019 Antifungal Susceptibility Testing and Interpretation | Candida Auris | Fungal Diseases | CDC. Available online: https://www.cdc.gov/fungal/candida-auris/c-auris-antifungal.html (accessed on 24 December 2019).
- ImageJ. Available online: https://imagej.nih.gov/ij/ (accessed on 28 July 2022).
- R Core Team. R: A Language and Environment for Statistical Computing; R Foundation for Statistical Computing: Vienna, Austria, 2018. [Google Scholar]
- Abràmoff, M.D.; Magalhães, P.J.; Ram, S.J. Image Processing with ImageJ. Biophotonics Int. 2004, 11, 36–41. [Google Scholar] [CrossRef]
- Levinson, T.; Dahan, A.; Novikov, A.; Paran, Y.; Berman, J.; Ben-Ami, R. Impact of Tolerance to Fluconazole on Treatment Response in Candida Albicans Bloodstream Infection. Mycoses 2021, 64, 78–85. [Google Scholar] [CrossRef] [PubMed]
- Marcos-Zambrano, L.J.; Escribano, P.; Bouza, E.; Guinea, J. Susceptibility of Candida Albicans Biofilms to Caspofungin and Anidulafungin Is Not Affected by Metabolic Activity or Biomass Production. Med. Mycol. 2016, 54, 155–161. [Google Scholar] [CrossRef]
- Delarze, E.; Sanglard, D. Defining the Frontiers between Antifungal Resistance, Tolerance and the Concept of Persistence. Drug Resist. Updat. 2015, 23, 12–19. [Google Scholar] [CrossRef]
- Farquhar, K.S.; Rasouli Koohi, S.; Charlebois, D.A. Does Transcriptional Heterogeneity Facilitate the Development of Genetic Drug Resistance? BioEssays 2021, 43, 2100043. [Google Scholar] [CrossRef]
- Farquhar, K.S.; Flohr, H.; Charlebois, D.A. Advancing Antimicrobial Resistance Research Through Quantitative Modeling and Synthetic Biology. Front. Bioeng. Biotechnol. 2020, 8, 583415. [Google Scholar] [CrossRef]
- Jo, M.C.; Liu, W.; Gu, L.; Dang, W.; Qin, L. High-Throughput Analysis of Yeast Replicative Aging Using a Microfluidic System. Proc. Natl. Acad. Sci. USA 2015, 112, 9364–9369. [Google Scholar] [CrossRef]
- Charlebois, D.A.; Hauser, K.; Marshall, S.; Balázsi, G. Multiscale Effects of Heating and Cooling on Genes and Gene Networks. Proc. Natl. Acad. Sci. USA 2018, 115, E10797–E10806. [Google Scholar] [CrossRef]
- Yang, F.; Lu, H.; Wu, H.; Fang, T.; Berman, J.; Jiang, Y. Aneuploidy Underlies Tolerance and Cross-Tolerance to Drugs in Candida Parapsilosis. Microbiol. Spectr. 2021, 9, e00508-21. [Google Scholar] [CrossRef] [PubMed]
- Prasad, T.; Chandra, A.; Mukhopadhyay, C.K.; Prasad, R. Unexpected Link between Iron and Drug Resistance of Candida Spp.: Iron Depletion Enhances Membrane Fluidity and Drug Diffusion, Leading to Drug-Susceptible Cells. Antimicrob. Agents Chemother. 2006, 50, 3597–3606. [Google Scholar] [CrossRef] [PubMed]
- Ostrowsky, B.; Greenko, J.; Adams, E.; Quinn, M.; O’Brien, B.; Chaturvedi, V.; Berkow, E.; Vallabhaneni, S.; Forsberg, K.; Chaturvedi, S.; et al. Candida Auris Isolates Resistant to Three Classes of Antifungal Medications—New York, 2019. MMWR Morb. Mortal. Wkly. Rep. 2020, 69, 6–9. [Google Scholar] [CrossRef] [PubMed]







Disclaimer/Publisher’s Note: The statements, opinions and data contained in all publications are solely those of the individual author(s) and contributor(s) and not of MDPI and/or the editor(s). MDPI and/or the editor(s) disclaim responsibility for any injury to people or property resulting from any ideas, methods, instructions or products referred to in the content. |
© 2023 by the authors. Licensee MDPI, Basel, Switzerland. This article is an open access article distributed under the terms and conditions of the Creative Commons Attribution (CC BY) license (https://creativecommons.org/licenses/by/4.0/).
Share and Cite
Rasouli Koohi, S.; Shankarnarayan, S.A.; Galon, C.M.; Charlebois, D.A. Identification and Elimination of Antifungal Tolerance in Candida auris. Biomedicines 2023, 11, 898. https://doi.org/10.3390/biomedicines11030898
Rasouli Koohi S, Shankarnarayan SA, Galon CM, Charlebois DA. Identification and Elimination of Antifungal Tolerance in Candida auris. Biomedicines. 2023; 11(3):898. https://doi.org/10.3390/biomedicines11030898
Chicago/Turabian StyleRasouli Koohi, Samira, Shamanth A. Shankarnarayan, Clare Maristela Galon, and Daniel A. Charlebois. 2023. "Identification and Elimination of Antifungal Tolerance in Candida auris" Biomedicines 11, no. 3: 898. https://doi.org/10.3390/biomedicines11030898
APA StyleRasouli Koohi, S., Shankarnarayan, S. A., Galon, C. M., & Charlebois, D. A. (2023). Identification and Elimination of Antifungal Tolerance in Candida auris. Biomedicines, 11(3), 898. https://doi.org/10.3390/biomedicines11030898

